Abstract
With increasing penetration of distributed renewable energy sources (RES) in distribution networks, spatiotemporal mismatches arise between static time-of-use (TOU) pricing and real-time carbon emission factors. This misalignment hinders demand-side flexibility deployment, potentially increasing high-carbon-period consumption and impeding low-carbon operations. To address this, the paper proposes an adjustable carbon emission factor (ADCEF) which decouples electricity from carbon liability using storage. The strategy leverages energy storage for carbon responsibility time-shifting to build a dynamic ADCEF model, introducing a negative-carbon incentive mechanism which quantifies the value of surplus renewables. A revenue feedback mechanism couples ADCEF with electricity prices, forming dynamic price troughs during high-RES periods to guide flexible resources toward coordinated peak shaving, valley filling, and low-carbon responses. Validated on a modified IEEE 33-bus system across multiple scenarios, the strategy shifts resources to carbon-negative periods, achieving 100% on-site excess RES utilization in high-penetration scenarios and, compared to traditional TOU approaches, a 27.9% emission reduction and 8.3% revenue increase.
1. Introduction
Global climate imperatives have accelerated the decarbonization of power systems, with active distribution networks (ADNs) playing a pivotal role in integrating high-penetration renewable energy sources (RES) such as wind and solar energy [1,2]. These networks enable localized energy management, reducing reliance on fossil fuels and supporting net-zero targets. However, the inherent volatility and intermittency of RES introduce operational challenges, including supply–demand imbalances, voltage fluctuations, and potential curtailment [3]. To achieve low-carbon economic operation, ADNs require enhanced flexibility through resources like energy storage (ES) and demand response (DR) [4]. These tools facilitate spatiotemporal energy shifting, promoting RES absorption while maintaining grid stability. Effective scheduling of such flexibility is essential to align economic incentives with environmental goals, minimizing carbon emissions in real-time operations [5].
Existing research has advanced carbon-aware mechanisms to incentivize low-carbon behaviors in ADNs. Carbon flow theory [6], for instance, traces emissions along power flow paths to compute node-specific carbon emission factors (CEFs), assigning carbon responsibility to loads based on their consumption [7,8]. These approaches provide a foundation for dynamic CEFs, which serve as environmental signals in demand response strategies. Load aggregators can inform users of fluctuating CEFs, encouraging reduced consumption during high-carbon periods and increased usage during low-carbon intervals, thereby fostering emission reductions alongside cost savings [9]. To mitigate locational disparities—where loads near RES enjoy inherently lower CEFs—some studies average CEFs spatially, optimizing flexible loads for maximum carbon abatement [10]. Others discretize CEFs into high, medium, and low states to guide ES charging in low-carbon windows and discharging in high-carbon ones [11]. Integrating carbon taxes with dynamic CEFs further shifts loads to low-emission periods under fixed prices, enhancing system-wide low-carbon operation [12]. These methods effectively incorporate carbon signals into scheduling, improving RES integration and emission tracking.
Despite these advancements, current approaches exhibit critical limitations that hinder their efficacy in high-RES ADNs under static time-of-use (TOU) pricing [13]. Node-specific carbon potentials, while precise, introduce inherent unfairness: users proximate to thermal generators face higher carbon costs regardless of behavior, discouraging participation and complicating equity in demand response [14,15]. Moreover, as ADN topologies grow complex with distributed RES and multi-level interconnections [16], computing node CEFs becomes computationally burdensome and static, failing to capture dynamic user adjustments’ impacts on system carbon intensity [17,18]. This rigidity exacerbates conflicts with TOU pricing, which relies on historical averages rather than real-time RES fluctuations. For example, low nighttime TOU rates may incentivize consumption when RES output is nil, relying on high-carbon grid imports, while midday peak prices suppress absorption during abundant solar generation—creating a spatiotemporal mismatch that undermines low-carbon goals [19]. System-average CEFs simplify accounting but overlook bidirectional carbon flows in ES, leading to ambiguous responsibility allocation: users charging during low-emission periods may still incur average costs during discharge in high-emission times, eroding incentive accuracy and fairness [20,21]. Electricity–carbon ratio methods address ES bidirectional flows by linking power and carbon densities [22], yet their incentive effects remain limited, often requiring parallel carbon trading that burdens users with conflicting signals [23]. Ultimately, these methods treat CEFs as passive parameters, neglecting opportunities for proactive management. The core research gap lies in the absence of a unified market mechanism that endogenously couples electricity prices with carbon signals, resolves TOU-RES mismatches, and quantifies surplus RES value to align distribution system operator (DSO) profits with emission reductions.
Recent advancements in distribution network flexibility enhancement have explored various market mechanisms. Real-time pricing (RTP) schemes provide more granular price signals but impose computational burdens on users [24]. Transactive energy frameworks enable peer-to-peer trading but require complex settlement mechanisms [25]. Compared to these approaches, the proposed adjustable carbon emission factor (ADCEF) strategy uniquely integrates carbon signals into existing TOU structures, requiring minimal infrastructure changes while achieving comparable flexibility enhancement with superior environmental outcomes.
This paper addresses the spatiotemporal mismatch between static TOU pricing and real-time carbon intensity in high-RES ADNs by proposing an ADCEF strategy. While this approach draws on the theoretical basis of virtual carbon storage established by Hua et al. [26], it shifts the application from peer-to-peer trading to a DSO-managed incentive signal, uniquely integrating a negative-carbon mechanism to maximize surplus renewable absorption. Under this strategy, ADCEF transforms the CEF from a fixed metric into an active, DSO-managed variable, leveraging ES for carbon time-shifting. By constructing a virtual carbon pool, ES extends beyond energy arbitrage to store and release carbon responsibilities, enabling precise emission trajectory planning. A key innovation is the negative-carbon concept, which quantifies the environmental value of absorbing curtailed RES—equivalent to displacing high-carbon grid power—thus assigning negative CEF values during surplus periods. This approach generates dynamic signals that reflect real-time RES status, guiding flexible resources toward 100% green consumption without increasing user costs.
This study contributes in three ways: (1) decoupling physical electricity from carbon liability via energy storage time-shifting, quantifying surplus RES with a Negative-Carbon Factor; (2) creating a self-sustaining revenue feedback mechanism aligning TOU with carbon signals, reducing emissions by 27.9% in simulations; and (3) treating carbon factors as endogenous DSO variables in a bi-level model for active regulation.
The model uses indicator constraints instead of the Big-M method for linearization, combined with sequential convex programming (SCP) for solution. Simulations on a modified IEEE 33-bus system validate the strategy, showing improved numerical stability and convergence over Big-M and supporting real-time dispatch in ADNs.
The rest of this paper is organized as follows: Section 2 constructs the ADCEF model and the electricity–carbon coupled incentive mechanism; Section 3 establishes the bi-level optimization model for ADN coordinated dispatch; Section 4 elaborates on the solution method based on KKT condition reconstruction and sequential convex programming; Section 5 verifies the effectiveness and superiority of the proposed strategy through simulations on the modified IEEE 33-bus system; and Section 6 concludes the paper.
2. Construction of ADCEF and Electricity–Carbon Coupled Incentive Mechanism Based on the Carbon Liability Time-Shifting Characteristic of Energy Storage
2.1. Coordinated System Framework of ADNs
This paper proposes a system framework based on a bi-level optimization model, as shown in Figure 1. The upper-level decision-maker is the DSO, which is responsible for managing the ADNs containing distributed RES and ES. The DSO’s objective is to maximize the global revenue, with its core decision being to endogenously calculate and issue the ADCEF signal, based on which the revised electricity–carbon coupled price is formed. The lower level is an aggregated user model representing all flexible loads; as a price responder, its objective is to maximize its own net utility. Figure 1 illustrates the interactions between the levels: the DSO (upper level) computes and disseminates the ADCEF and coupled prices to guide user behavior; users (lower level) respond by adjusting loads to maximize utility with these adjustments feeding back into the DSO’s optimization through updated system states, forming a closed-loop coordination for flexibility enhancement. This framework supports the integration of carbon signals with operational decisions.
Figure 1.
Double-layer optimization model.
2.2. Modeling of ADCEF
ADCEF modeling draws on carbon emission flow theory and fairness principles for load locations in low-carbon response. The average carbon factor is calculated as
where denotes the average carbon emission factor of all load nodes at time t, which is a dynamic day-ahead predicted mean value. represents the load power at node i at time t and N is the number of nodes in the ADN. stands for the total carbon emissions borne by the load side at time t. With RES and ES integration, ADCEF leverages ES temporal flexibility to shift carbon responsibility, based on carbon mass conservation and time-shifting principles.
Carbon mass conservation allocates generation emissions to loads. ES is incorporated into carbon flow: as a load during charging (sharing emissions), as a source during discharging (releasing stored carbon), and neutral when idle. Net ES carbon storage must be zero over the cycle for fairness.
ES enables carbon transfer: absorbing emissions during charging and releasing them during discharging, shifting liability temporally. For regulation, the DSO introduces virtual carbon intensity variable for ES charging at t:
where is physical charging power. This allows DSO to set charging power and assign carbon responsibility independently.
ADCEF modeling is as follows:
During charging, ES shares emissions with loads as shown in Figure 2, State ①:
Figure 2.
The principle of carbon emission conservation. State ① shows ES charging mode sharing emissions with loads; State ② depicts ES discharging mode releasing stored carbon; State ③ illustrates idle mode with unchanged carbon flows.
With RES zero-carbon attribute, total emissions yield ADCEF:
where denotes the total sum of all loads at time t, is the virtual carbon intensity factor for energy storage discharge, and represents the discharge power of energy storage at time t. Therefore, the virtual carbon amount released by energy storage at time t is
To ensure fairness and prevent carbon gaming across multi-day horizons (e.g., carrying carbon liabilities from a cloudy day to a sunny day), the model enforces a strict neutrality constraint over the dispatch cycle T:
This constraint ensures that the net virtual carbon accumulated by the ES is fully cleared by the end of the dispatch period. Consequently, the ES acts solely as a buffer for intra-day carbon intensity smoothing and cannot act as a long-term carbon sink or source, maintaining rolling neutrality across consecutive days.
The model is topology-independent and upholds load liability. In idle, as shown in Figure 2, State ③, carbon flows are unchanged. ADCEF is dispatchable; DSO adjusts allocated carbon to regulate the network-average factor, generating optimal incentives. Adjustability allows DSO to resolve mismatches by creating price troughs during peak RES (e.g., PV) for surplus consumption.
2.3. ADCEF Under Zero-Carbon and Negative-Carbon States
When RES output exceeds load plus ES charging, traditional average carbon factor is 0, failing to quantify low-carbon degree or distinguish the exact match from surplus states. This hinders incentives for surplus absorption; the negative-carbon incentive coefficient, denoted as Negative-Carbon Factor (), quantifies surplus green electricity’s emission reduction as replacement for main-grid high-carbon power:
where is additional absorbed RES power and is the main-grid factor, which varies by region and time; for this study, we adopt the Eastern China grid during 2024, with typical ranges of 0.57–0.61 tCO2/MWh depending on the generation mix [27].
Based on the principle of equivalent carbon emission reduction, is allocated to local loads, thereby revising and obtaining the ADCEF during this period as
where denotes the output power of renewable energy at time t, while the actual grid-connected output power of renewable energy is . Since > 0, the ADCEF becomes negative, reflecting excess reduction contribution for price signals. ADCEF adapts to source-load dynamics, coupling network carbon state with user behavior to highlight intensity differences.
To strictly define the application scope, the accounting boundary for the ADCEF and Negative-Carbon Factor (NCF) is established as the Point of Common Coupling (PCC) and the internal nodes of the Active Distribution Network (ADN). The ADCEF functions as an internal incentive signal for the Distribution System Operator (DSO) to optimize local resource allocation, rather than as a tradable certificate for external carbon markets. The negative value derived from the NCF represents the marginal emission rate of avoided grid imports. Specifically, by consuming local surplus renewable energy, the ADN displaces high-carbon electricity that would otherwise be imported from the main grid. Since the DSO settles with the upstream grid operator at the PCC, this internal reallocation of carbon responsibility prevents double counting with upstream generation credits. Furthermore, curtailment detection is established based on day-ahead forecast surplus, identifying timestamps where predicted renewable output exceeds the sum of base load and maximum storage charging capacity.
2.4. Electricity–Carbon Coupling Incentive Mechanism Based on ADCEF
Using ADCEF and its negative-carbon extension (Section 2.3), this mechanism resolves TOU–carbon mismatches as shown in Figure 3. TOU signals often encourage high-carbon shifts (e.g., nighttime off-peak), undermining low-carbon benefits.
Figure 3.
Demand response based on electric carbon coupling.
The mechanism revises TOU with ADCEF: raise prices in high-carbon periods to curb consumption, lower prices in low-carbon periods to encourage it:
where is original price, is peak price, > 0 is the adjustment coefficient, and average network factor is . The price adjustment upper limit is determined by the coefficient, which is set to 1.5 in this study. This value is established based on empirical data from a demand response demonstration project conducted by a collaborating institution, where it was identified as the critical threshold that maximizes user participation response without triggering adverse rebound effects or excessive user dissatisfaction.
And the revised price satisfies
To formulate the carbon reduction benefit feedback mechanism described in Section 2.1, ensure the sustainability of electricity price subsidies, and prevent operator losses, this paper introduces the following hard constraints to guarantee that the total subsidy cost does not exceed the total carbon benefit:
where is the single-period subsidy cost. Total subsidies should be less than or equal to the total carbon emission reduction benefits, that is,
Substituting into Formula (12), the final explicit constraint is obtained, i.e.,
This binds benefits to subsidies for DSO self-sufficiency.
The operating range of the ADCEF is restricted by the actual carbon volume, so the ADCEF range in non-zero-carbon is
where is determined by Equation (3), i.e., the value corresponding to the carbon volume borne by energy storage being 0; similarly, the value of can be determined.
To prevent the DSO from abusing the virtual carbon intensity signal, it is necessary to impose constraints on it—for example, limiting it within the range of the main grid’s carbon emission factor:
where denotes the carbon emission factor of the main grid at time t.
To ensure that the ADCEF serves as the core signal connecting upper-level dispatching and lower-level incentives, its calculation must be embedded as an endogenous constraint in the upper-level model. The value of is uniquely determined by the system dispatching states (such as , , , , etc.):
where is a binary auxiliary variable used to determine the zero-carbon state; serves as the carbon emission factor in the negative-carbon state, calculated according to Equation (8); and acts as the carbon emission factor in the conventional state, computed based on Equation (4).
This makes endogenous, unifying DSO economics with low-carbon goals via ‘high-carbon high-price’ signals for incentive compatibility, as shown in Figure 3.
3. Bi-Level Optimization Model for ADN Collaborative Dispatching
A bi-level framework is adopted to model the leader–follower dynamics: the upper-level DSO sets’ endogenous variables like ADCEF and coupled prices to maximize net benefits, anticipating lower-level user responses for closed-loop coordination, as illustrated in Figure 1. This structure is preferable to a single-level formulation, which would merge objectives and constraints, failing to distinguish between DSO strategic decisions and user reactive adjustments, potentially leading to suboptimal representations of incentive compatibility and system flexibility. The model uses deterministic inputs, including day-ahead predictions for RES generation, without explicit uncertainty modeling; this approach prioritizes evaluation of the ADCEF strategy under baseline conditions, with RES uncertainty addressed as a future extension. In the ADCEF mechanism, upper-level DSO maximizes net benefit via variables like revised TOU prices, power flows, voltages, ES charge/discharge, ADCEF, and carbon allocation. Lower-level users maximize net utility via load adjustments in response to prices. DSO anticipates user responses for closed-loop optimization.
3.1. Upper-Level DSO Operation Optimization Model
In this framework, the DSO aims to maximize the global revenue of the distribution network, which includes electricity sales, carbon trading revenue, and operational costs.
The objective function of the upper-level ADN system operator is
where , , , and are sales revenue, carbon revenue, purchase cost, and generation cost. Decision Variables contain ADCEF signal, revised electricity price, Branch power flows, node squared voltages, current squared, and device variables such as energy storage charging/discharging power and gas turbine output. They are as follows: denotes the revised TOU price; Δt is the time interval; is the carbon price at time t and means the average value of the quota carbon potential factor; indicates the main grid electricity price; a, b and c are the cost coefficients. This captures DSO as a market entity maximizing net benefit from sales and carbon via DG/ES dispatch.
To ensure the safe and stable operation of the distribution network, this paper adopts Distflow optimal power flow for constraint modeling and uses the second-order cone programming method for relaxation. The relaxed mathematical model is as follows [28]:
where rij and xij denote the resistance and reactance values of the branch between nodes i and j in the distribution network, respectively; hij denotes the square of the current flowing from node i to j, , respectively; and vi denotes the square of the voltage amplitude at node i.
In the operation of the distribution network, various devices need to satisfy the constraints of operational safety, i.e.,
where and represent the upper and lower bounds of the variables to be solved, respectively.
The endogenous calculation of ADCEF is based on system state (Equation (16)) and the budget balance constraint, ensuring subsidies do not exceed carbon benefits (Equation (13)).
3.2. Lower-Level User Low-Carbon Response Model
The users aim to maximize their net utility, which is the difference between the satisfaction gained from electricity consumption and the cost of purchasing that electricity. Assuming similar user utilities and aggregated loads, a lower-level objective maximizes net utility:
where denotes the user’s electricity consumption utility, representing the satisfaction or welfare obtained by the user from consuming electricity at time t. Here, is the base load at time t, represents the increased load at time t, denotes the reduced load at time t, and the electric power consumed by the user at time t is . According to economic principles, the electricity consumption utility function should be a concave function. It satisfies the law of diminishing marginal utility [29]. For example, on a hot day, the first kilowatt-hour of electricity used for air conditioning brings the greatest improvement in comfort, while the additional comfort from the subsequent tenth kilowatt-hour is much smaller. Therefore, is usually modeled mathematically as
The second term in Equation (22) is the user’s electricity consumption cost. Users gain utility through electricity consumption while paying electricity fees. Net utility is the consumer surplus obtained by users from this transaction.
Adjustable loads must satisfy the constraint that they do not exceed their adjustment range within a dispatching cycle, i.e.,
The upper and lower bound constraints on the total load reduction within the full cycle are
Many demand response resources have a basically constant total electricity demand within 24 h. This constraint ensures that when users respond to high-electricity-price/high-carbon signals, the energy demand they forgo must be compensated for during low-electricity-price/low-carbon periods.
where denotes the peak value of the base load. This constraint ensures that the ADCEF incentive mechanism operates within the set safety and economic boundaries, preventing load adjustment behaviors from generating new system peaks.
The two levels are coupled through the price signal and power demand: The DSO (Leader) calculates the ADCEF based on renewable surplus and storage status, generating the revised price, which is passed to the lower level. The users (Follower) optimize their consumption based on the revised price and feedback the adjusted load to the upper level, which alters the network power flow and carbon flow distribution.
3.3. Assumptions and Limitations of the Model
To ensure the solvability of the bi-level optimization problem and focus on the efficacy of the ADCEF mechanism, this study adopts the following assumptions, which entail specific limitations:
Aggregated Lower-Level Response: The lower-level model aggregates all flexible loads into a single decision-making entity with a unified utility function. This assumption implies that all users within the network possess homogeneous response characteristics. In practice, users have diverse elasticity, which may lead to deviations between the modeled aggregate response and actual dispersed behaviors.
Complete Information and Rationality: The model is structured as a Stackelberg game with complete information. It assumes that the DSO perfectly anticipates the users’ reaction function and that users respond rationally and instantly to price signals to maximize their net utility. This overlooks potential bounded rationality, communication delays, or user indifference to price changes in real-world operations.
Deterministic Parameters: The optimization utilizes deterministic day-ahead forecasts for renewable output and base loads. Although the endogenous nature of the ADCEF allows for some adaptability, the mathematical formulation does not explicitly model the probability distribution of forecast errors. Consequently, the optimal strategy may face robustness challenges under extreme aleatory uncertainty.
4. Model Solution Method
The bi-level model is formulated as a Mathematical Equilibrium Constraint Programming (MPEC) problem, which is non-convex and NP-hard. The solution method first transforms the bi-level model into a single-level MPEC by replacing the lower-level user utility maximization problem with its KKT optimality conditions (Section 4.1). Non-convexity is then addressed through the following: second-order cone programming (SOCP) relaxation for power flow constraints (Equations (18)–(20)); indicator constraints for complementary slackness conditions and piecewise functions, replacing the Big-M method to enhance numerical stability and convergence (Section 4.2); and sequential convex programming (SCP) for linearizing bilinear terms (Equations (4), (8) and (17)) via iterative mixed-integer second-order cone programming (MISOCP) subproblems (Section 4.3).
4.1. MPEC Transformation via KKT Conditions
The bi-level model is first transformed into a single-level MPEC by replacing the lower-level user utility maximization problem with its KKT optimality conditions. The Lagrangian function corresponding to the lower-level utility function is
where are non-negative Lagrange multipliers. The Lagrangian function transforms the original constrained optimization problem into an unconstrained one. For the convex optimization problem of maximizing the lower-level utility, the KKT conditions are also sufficient conditions, specifically including the following:
- Stationarity, that is, the partial derivatives of the Lagrangian function with respect to all decision variables are zero:
- 2.
- Primal Feasibility, constraint (24)
- 3.
- Dual Feasibility, all Lagrange multipliers must be non-negative, i.e.,
- 4.
- Complementary Slackness
4.2. Single-Level MISOCP Reconstruction and Linearization of the MPEC Model
Through the KKT condition transformation in Section 4.1, the model is reconstructed into a single-level one, but two major solution challenges are introduced, making direct solution impossible. The complementary slackness constraint (Equation (30)), and the ADCEF calculation logic relies on the nonlinearity (Equation (16)). Therefore, equivalent linearization of the aforementioned non-convex and nonlinear constraints is required.
Big-M linearizes but suffers from M-value selection issues, leading to instability and poor performance. Instead, we use indicator constraints, avoiding M for stable, efficient logic modeling with stronger cuts and branching.
Equation (16) is a logic variable dependent on the system state, where = 1 indicates entry into the zero-carbon state and = 0 indicates the conventional state. A very small positive number is used to handle the strict greater-than sign, with details as follows:
According to the value of , the corresponding activated ADCEF calculation formula is
where is calculated according to Equation (8) and is calculated according to Equation (4). This set of constraints clearly implements the IF-THEN-ELSE logic without any M values.
Equation (30) contains terms of the form , which are typical non-convex constraints. Taking the complementary condition for the adjustable load increment as an example, the original constraint includes . Here, an auxiliary binary variable is introduced, and the linearization transformation process is as follows:
For , an auxiliary binary variable is similarly introduced, and the linearization transformation process is as follows:
For , an auxiliary binary variable is introduced, and the linearization transformation process is as follows:
For , a binary variable is introduced, and the linearization transformation process is as follows:
Modeling KKT complementary slackness conditions and ADCEF logic using indicator constraints improves the solution efficiency of the MISOCP model, as shown by the 93% reduction in solution time and faster convergence reported in Section 5. Its core advantage lies in that indicator constraints provide the underlying Branch-and-Cut solver with the explicit logical structure of the problem. This enables the solver to (1) automatically generate stronger and more effective disjunctive cuts, which exclude non-integer solutions violating KKT precisely and provide tighter objective bounds than the Big-M method; (2) perform more intelligent logical branching, branching directly on corelogic rather than auxiliary variables, thereby improving pruning efficiency and the overall convergence speed of the algorithm.
In summary, the indicator constraints method achieves accurate and efficient linearization of KKT conditions and piecewise logic. Combined with the second-order cone characteristics of power flow constraints, this allows the iterative subproblems in the subsequent SCP algorithm to be formulated as an efficiently solvable MISOCP problem.
4.3. Solution Process
After the bi-level optimization model constructed in this paper is reconstructed into a single-level MPEC via KKT conditions, the presence of bilinear terms such as Equations (4) and (8) in the upper-level DSO model essentially renders it a highly non-convex Mixed-Integer Nonlinear Programming (MINLP) problem. Thus, linearization transformation of these non-convex terms is required.
4.3.1. Linearization of Non-Convex Terms
For the bilinear terms in the upper-level DSO, let and . In the k + 1-th iteration of the SCP algorithm, the solution from the k-th iteration is used as the anchor point to perform a first-order Taylor expansion on the bilinear terms and , yielding their linear approximations and . Details are as follows:
4.3.2. Solution Steps and Flowchart
The execution of the algorithm is divided into two phases: model construction and iterative solution, as shown in Figure 4.
Figure 4.
Solution flowchart.
Phase 1 involves one-time model construction, including the following: (1) deriving the KKT conditions of the lower-level problem and transforming them using indicator constraints (Section 4.2); (2) formulating the single-level MPEC problem; and (3) converting the power flow constraints into the SOCP form.
Phase 2 focuses on iterative solution, where the SCP iterative algorithm is executed as illustrated in Steps 1 to 7.
Step 1: Initialization
Collect distribution network parameters: topology structure, line impedance, node limits, distributed generation (DG) capacity, ES capacity and efficiency, and user-flexible load parameters.
Acquire external input data: TOU electricity price of the main grid, renewable energy (PV/WT) output power, initial grid carbon emission factor, carbon trading price, and adjustment coefficients set by the DSO.
Obtain the base load value for each time period, set the initial iteration count k = 0, and define the convergence threshold . Initialize the anchor point by assigning a feasible initial solution to all variables of the MPEC problem.
Step 2: KKT Transformation of the Lower-Level Users’ Optimal Response Model
Based on the users’ net utility maximization model described in Section 3.3, derive its optimality conditions, namely the Karush–Kuhn–Tucker (KKT) conditions. Transform the complementary slackness conditions using indicator constraints and embed them into the constraints of the upper-level model.
Step 3: Conversion of the Bi-Level Model to a Single-Level Problem
Treat the transformed lower-level KKT conditions from Step 2 as constraints and integrate them into the upper-level DSO’s optimization model.
Step 4: Second-Order Cone (SOC) Transformation of Power Flow Constraints
According to the power flow constraints of the distribution network in Section 3.2, convert the nonlinear quadratic terms therein into the Second-Order Cone (SOC) form using standard methods.
Step 5: Based on Equations (38) and (39), use the solution from the k-th iteration to construct the linearized expressions and iteration. Replace all instances of and in the DSO objective function and ADCEF constraints with and , respectively.
Step 6: Formation and Solution of the MISOCP Model
Synthesize the results from Steps 3, 4, and 5. The final model is fully formulated as an MISOCP problem, as it includes the following: continuous variables for DSO decisions, continuous variables introduced by user responses, binary (0–1) integer variables for handling KKT complementary slackness conditions and piecewise functions, and power flow constraints in the second-order cone form.
Step 7: Convergence Check and Iteration Update
Calculate the maximum norm difference between the solution of the current iteration and the previous iteration, denoted as . If , the algorithm converges; stop the iteration, output the solution of the k + 1-th iteration as the final optimal solution, and substitute the obtained solution back into the original non-convex MPEC model to compute the residuals of its KKT conditions, so as to numerically verify that the solution is indeed a KKT point. If , set k = k + 1, take the solution of the k + 1-th iteration as the new anchor point, return to Step 5, and start the next iteration.
5. Simulation and Verification
5.1. Simulation and Parameter Scenario Settings
To verify the effectiveness of the proposed method, simulations were conducted on the modified IEEE 33-bus ADN collaborative distribution network, as shown in Figure 5. The distribution network is connected to the main grid via Bus 1 and fulfills the function of power distribution. PV and WT serve as the primary sources of RES, with the PV system installed at Bus 6 and the WT at Bus 3. ESs at Buses 7, 14, and 24 form key storage units, featuring maximum charging/discharging powers of 0.5 MW, 0.4 MW, and 0.8 MW, respectively, along with a charging efficiency of 0.92 and a discharging efficiency of 0.95. Gas turbines are deployed at Buses 12 and 25, with rated powers of 1 MW and 1.2 MW, and the corresponding cost coefficients: a1 = 0.015, b1 = 20, c1 = 100 for the former, and a2 = 0.02, b2 = 35, c2 = 150 for the latter. The simulation runs for a 24 h dispatch cycle with a 1 h time resolution. Carbon emission factors, including ADCEF, are updated hourly at each time step t to reflect real-time system dynamics, such as RES output and load variations. The TOU electricity price adopted is illustrated in Figure 6, and the carbon price for the distribution network to gain revenue by selling carbon reductions in the carbon market is CNY 73.65/ton. A typical 24 h output curves of PV and WT are shown in Figure 7, and the typical 24 h base load curve is presented in Figure 8, with the adjustable proportion of the load set at 20%. Finally, the optimization problem is solved in MATLAB 2020a by calling the Gurobi solver.
Figure 5.
Diagram of the Modified 33-Bus Active Distribution Network.
Figure 6.
TOU Electricity Price.
Figure 7.
Output Power of Renewable Power Generation Units.
Figure 8.
Demand Response Results.
Three scenarios are designed in this paper to analyze and verify the proposed method:
- -
- Scenario 1: Traditional TOU Incentive
The DSO aims to minimize electricity procurement costs, with energy storage only used for electricity price arbitrage.
- -
- Scenario 2: Comparative Scenario
TOU is combined with a static carbon price signal and the DSO’s objective includes carbon costs.
- -
- Scenario 3: Proposed Strategy in this Paper
The ADCEF incentive strategy is adopted. The DSO endogenously calculates and publishes the electricity–carbon coupled electricity price based on ADCEF, targeting the maximization of comprehensive electricity–carbon net benefits; users at the lower level respond to maximize their net utility.
5.2. Effective Verification of ADCEF
For the proposed ADCEF incentive strategy in this paper, its performance is compared and analyzed from the following four aspects to verify the effectiveness of the proposed method.
- (1)
- Economic Benefit Comparison Across Three Scenarios
As shown in Table 1, Scenario 3 yields superior outcomes relative to Scenarios 1 and 2. By capitalizing on carbon market revenues, the strategy increases DSO net revenue by 8.3% to CNY 42,500. Notably, the revenue feedback mechanism channels these gains into price subsidies, reducing user energy costs by 2.5% despite associated load-shifting expenses. This alignment enhances collaborative economic efficiency between the DSO and users.
Table 1.
Economic Performance Comparison Under Three Scenarios.
- (2)
- Environmental Benefit
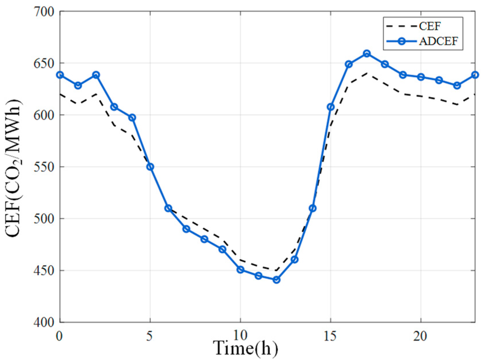
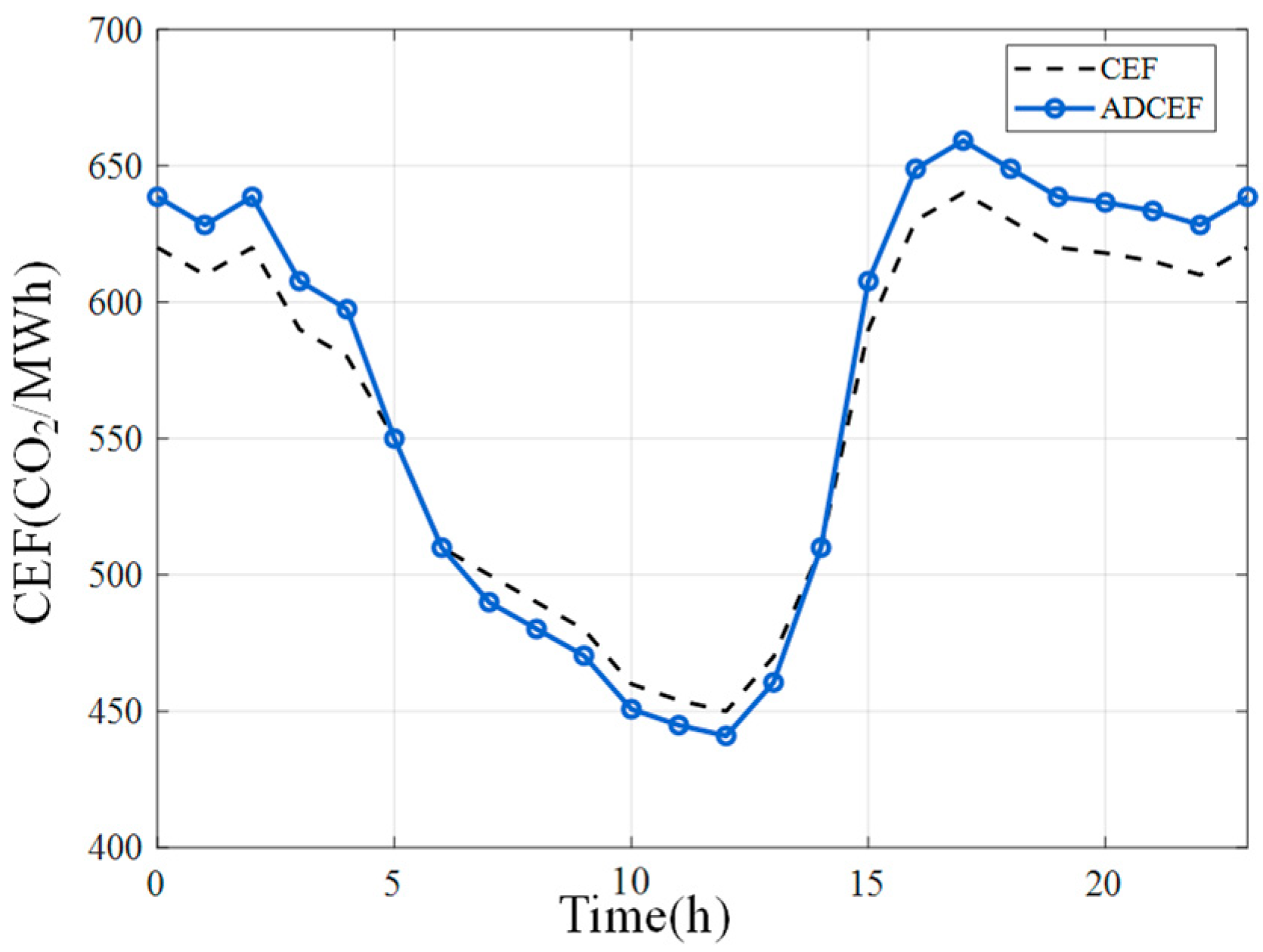
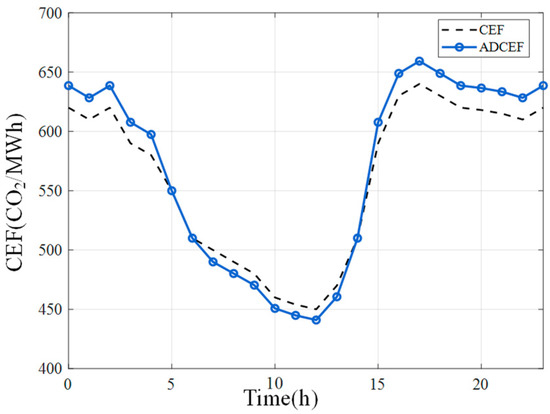
Scenario 3 achieves a 27.9% reduction in carbon emissions as shown in Table 1, surpassing Scenario 2 by 15.2% through targeted load shifting to low-carbon periods as shown in Figure 8. This efficiency stems from the dynamic ADCEF curve, as shown in Figure 9, which tracks real-time decarbonization potential—elevated during fossil-fuel-dominant intervals (e.g., 18:00–21:00) and minimized during high-RES windows (e.g., 11:00–14:00). Integrated with the electricity–carbon coupling mechanism (Equation (9)), these signals form price troughs at noon and penalties in the evening, as shown in Figure 10, guiding flexible loads toward renewable-rich periods. Complementing this, ES units charge during low-carbon early mornings (01:00–05:00) at minimal virtual carbon intensity, as shown in Figure 11, and discharge during evening peaks, as shown in Figure 12, temporally arbitraging low-carbon energy to displace high-carbon grid imports and further lower the system’s equivalent carbon factor.
Figure 9.
ADCEF Curve.
Figure 10.
Adjusted Electricity Price.
Figure 11.
Energy Storage Carbon Emission Factor Variation Curve.
Figure 12.
Energy Storage Charging and Discharging Curve.
- (3)
- Flexibility and Safety
The ADCEF strategy enhances distribution network flexibility—defined as the ability to balance supply–demand, absorb RES intermittency, and maintain stability—through coordinated use of DR and ES. First, ADCEF decouples carbon liabilities from electricity flows via ES temporal shifting as introduced in Section 2.2, enabling DSO adjustments to carbon signals that guide user behavior toward system needs, unlike static TOU pricing.
Second, the negative-carbon mechanism assigns negative factors to surplus RES, valuing them as emission reductions (Equation (7)). This creates price troughs during high-RES periods via revenue feedback, as shown in Section 2.4 and Figure 10, prompting load shifts in Figure 8 and ES charging for later discharge in Figure 11 and achieving 100% RES utilization in high-penetration cases, as expressed in Section 5.3.
Third, the bi-level optimization integrates these signals, optimizing DSO decisions and user responses for peak shaving and valley filling. Relative to Scenarios 1 and 2, Scenario 3 yields 27.9% lower emissions and higher RES absorption, constrained to avoid new peaks.
In Scenario 3, node voltages remain within safe limits (deviations ≤ ±5%) across all periods as shown in Figure 13. These results confirm that the mutual economic benefits for the DSO and users are attained without compromising grid power quality or stability, underscoring the strategy’s engineering viability.
Figure 13.
Node Voltage Diagram.
- (4)
- Algorithm Performance
The algorithm converges in 14 iterations as shown in Figure 14, with a total solution time of 43.69 s as detailed in Table 2. By employing indicator constraints, the model leverages explicit logical structures for the solver, generating effective disjunctive cuts and logical branching to accelerate identification of KKT points.
Figure 14.
Algorithm Convergence Effect.
Table 2.
Performance Comparison of Different Solution Algorithms.
5.3. Validation of the Effectiveness of the Negative-Carbon Incentive Mechanism Under the High-Penetration Scenario
- (1)
- Effectiveness of the Negative-Carbon Incentive Mechanism
Under high-RES penetration as shown in Figure 15, the NCF mechanism quantifies surplus generation’s environmental value, enabling full local absorption. Traditional carbon accounting caps emission factors at zero, but the NCF extends ADCEF into negative values during surpluses as shown in Figure 16, reflecting emission reductions from displacing grid imports (Equation (8)). This signal propagates through the revenue feedback mechanism to create pronounced price troughs below standard TOU levels as shown in Figure 17, incentivizing demand response. Consequently, flexible loads shift aggressively to the noon surplus window as shown in Figure 18, while ES units charge at maximum capacity to capture and store negative-carbon attributes for later discharge in Figure 19, achieving 100% RES utilization and converting potential curtailment into optimized low-carbon consumption.
Figure 15.
Power Curve Under High Penetration.
Figure 16.
ADCEF Curve Under High Penetration.
Figure 17.
Electricity Price Adjustment Under High Penetration.
Figure 18.
Load Response Results Under High Penetration.
Figure 19.
Energy Storage Charging and Discharging Results Under High Penetration.
To validate the accounting logic under the negative-carbon state, a numerical example based on the simulation data at 12:00 PM is analyzed. At the noon, forecasted RES Output Pres is 3.5 MW. The base load is 2.0 MW. The storage charging power is 0.5 MW. Main-grid factor is 0.60 tCO2/MWh. Potential Surplus equals 1.0 MW. According to Equation (7), the environmental value of absorbing this 1.0 MW surplus (displacing grid power) is credited to the load. So, the eneg can be calculated as
ADCEF is updated by Equation (8); assuming the local RES is zero-carbon, the revised ADCEF is −0.30$ tCO2/MWh.
This negative factor reduces the electricity price below the baseline, incentivizing users to increase demand (e.g., by 1.0 MW).
Virtual carbon responsibility assigned to the user becomes −0.30 × 2.0 = −0.6 tCO2. This value mathematically offsets the avoided emissions from the main grid (1.0 × 0.60 = 0.6 tCO2), ensuring that the net carbon accounting remains consistent with the principle of avoided emissions.
Algorithm superiority is confirmed by comparison with the Big-M method as detailed in Table 2. The indicator constraint approach converges in 14 iterations versus 74, reduces solution time from 644.40 to 43.69 s, and enhances numerical stability with an optimal gap of 5.0 × 10−5 compared to 3.0 × 10−4.
- (2)
- Feasibility and Relaxation Diagnostics
To confirm the physical feasibility of the aggressive load shifting observed in Figure 18, we examined the SOCP relaxation gap and thermal margins. The maximum relaxation error, calculated as , was found to be 1.8 × 10−5 p.u., confirming the exactness of the convex relaxation. Furthermore, regarding thermal limits, the optimization constraint (Equation (21)) successfully maintained branch flows within safety margins. During the peak absorption period (12:00), the current on the most stressed branch (feeder head) reached 92% of its rated capacity, ensuring that the 100% RES absorption was achieved without causing line overloads.
5.4. Sensitivity Analysis
To assess model robustness under Scenario 3, sensitivity analyses examine key parameters.
Carbon Price Sensitivity: Increasing carbon trading prices enhances ADCEF incentives and emission reductions, as shown in Table 3. DSO net revenue rises with carbon price due to the alignment of economic and low-carbon objectives, while users benefit from subsidized costs via revenue feedback. However, beyond saturation, further price increases yield diminishing returns on emissions and user costs.
Table 3.
Revenue Comparison Under Different Carbon Prices.
As the carbon price increases, the Carbon Market Revenue (RHS) increases (e.g., reaching CNY 397.80 at CNY 130/ton). This effectively relaxes the budget constraint, allowing the DSO to offer deeper price discounts (LHS) to incentivize further load shifting without incurring a deficit.
Load elasticity sensitivity: In the simulation, the β value of the utility function of downstream users is adjusted to simulate the level of users’ response enthusiasm. The results are shown in Table 4.
Table 4.
Load Response Comparison Under Different Utility Function Parameters.
Instead of multi-agent modeling, elasticity coefficient (β) is used as proxy for heterogeneous user classes to utilize sensitivity analysis. β = 0.5 represents highly flexible users (e.g., industrial users with discrete schedulable loads). β = 2.0 represents less flexible users (e.g., residential users sensitive to comfort loss). Table 4 demonstrates that while high elasticity yields significant emission reductions (1.64 tCO2), low elasticity yields much more modest results (4.39 tCO2), acknowledging that the single-class model only overstates shifting if β is set too low.
These results indicate that the efficacy of the proposed ADCEF strategy is positively correlated with user load elasticity. Specifically, higher elasticity levels yield greater reductions in carbon emissions, increased DSO revenues, and improved user welfare, thereby underscoring the mechanism’s advantages.
6. Conclusions
This paper proposes an ADCEF-based strategy to resolve TOU–carbon misalignments in ADNs. Simulations on a modified IEEE 33-bus system indicate that the strategy reduces carbon emissions by 27.9%, increases DSO net revenue by 8.3%, and decreases user costs by 2.5% relative to traditional TOU methods, while facilitating complete utilization of surplus RES in high-penetration cases.
The approach contributes to the literature by introducing a DSO-managed ADCEF model that decouples electricity flows from carbon liabilities using energy storage for temporal shifting, incorporating a negative-carbon mechanism to assign value to excess RES, and establishing a revenue feedback system to align TOU prices with carbon signals. The bi-level optimization framework, solved through Karush–Kuhn–Tucker conditions, indicator constraints, and sequential convex programming, provides a method for integrating these elements, with solution times reduced by 93% compared to Big-M approaches.
These elements offer a framework for analyzing carbon-aware operations in ADNs. For industrial applications, the strategy may assist DSOs and utilities in regions with RES penetration, by integrating with carbon trading markets to adjust prices based on real-time signals, potentially aiding compliance with emission regulations and supporting grid management under variable generation.
Future research will further consider the impact of uncertainties on both the generation and load sides on ADCEF calculation, as well as extending the virtual carbon storage logic to multi-day rolling horizon optimization to further validate long-term neutrality.
Author Contributions
Conceptualization, H.Z. and T.Z.; methodology, H.Z. and Q.X.; software, Q.X.; validation, H.F. and Y.C.; formal analysis, T.Z.; investigation, J.Z.; resources, H.F.; data curation, Y.C.; writing—original draft preparation, H.Z. and Q.X.; writing—review and editing, T.Z.; visualization, Y.C.; supervision, H.Z.; project administration, J.Z. All authors have read and agreed to the published version of the manuscript.
Funding
This research was funded by The Jiangsu Provincial Natural Science Youth Fund Project, grant number BK20230353 and The Key Research and Development Program Project was funded by Jiangsu Provincial Department of Science and Technology, grant number BE2023838.
Data Availability Statement
The original contributions presented in this study are included in the article. Further inquiries can be directed to the corresponding author.
Conflicts of Interest
Authors Hao Fu and Jian Zhu were employed by Guodian Nanjing Automation Co., Ltd. The remaining authors declare that the research was conducted in the absence of any commercial or financial relationships that could be construed as a potential conflict of interest.
Nomenclature
| Symbol | Description | Unit |
| Sets and Indices | ||
| t, T | Time index and total dispatch period (24 h) | h |
| i,j | Indices for distribution network nodes | - |
| N | Set of all nodes in the distribution network | - |
| Parameters | ||
| The average carbon emission factor at time t | tCO2/MWh | |
| Carbon emission factor of the main grid at time t | tCO2/MWh | |
| e0 | Binary auxiliary variable | - |
| δt | Average carbon emission factor of load nodes at time t | tCO2/MWh |
| Base load power at node i at time t | MW | |
| The total carbon emissions borne by the load side at time t | tCO2/MWh | |
| Predicted output power of renewable energy (PV/Wind) | MW | |
| Actual grid-connected output power of renewable energy | MW | |
| Original Time-of-Use (TOU) electricity price | CNY/kWh | |
| Peak electricity price in the TOU scheme | CNY/kWh | |
| The single-period subsidy cost | CNY | |
| Main grid electricity price | CNY/kWh | |
| Carbon trading price | CNY/tCO2 | |
| rij,xij | Resistance and reactance of branch ij | Ω |
| ηch,ηdis | Charging and discharging efficiency of energy storage | % |
| χ | Price adjustment coefficient | - |
| β | User elasticity coefficient in the utility function | - |
| a,b,c | Cost coefficients for gas turbines | - |
| Decision Variables | ||
| Adjustable Carbon Emission Factor (ADCEF) | tCO2/MWh | |
| Negative-Carbon Factor (during surplus RES) | tCO2/MWh | |
| Virtual carbon intensity of energy storage discharging | tCO2/MWh | |
| Virtual carbon intensity of energy storage charging | tCO2/MWh | |
| Revised electricity–carbon coupled price | CNY/kWh | |
| Charging and discharging power of energy storage | MW | |
| Pij,Qij | Active and reactive power flow on branch ij | MW, MVar |
| vi | Square of voltage magnitude at node i | (kV)2 |
| lij | Square of current magnitude on branch ij | (kA)2 |
| User increased and reduced load (Response) | MW | |
| Functions | ||
| Uuser | User electricity consumption utility | CNY |
| Csell,Cco2 | DSO revenue from sales and carbon trading | CNY |
| CG,Cg | DSO costs for power purchase and generation | CNY |
References
- Ye, T.; Huang, Y.; Yang, W.; Cai, G.; Yang, Y.; Pan, F. Safe multi-agent deep reinforcement learning for decentralized low-carbon operation in active distribution networks and multi-microgrids. Appl. Energy 2025, 387, 125609. [Google Scholar] [CrossRef]
- Wang, C.; Liu, C.; Chen, J.; Zhang, G. Cooperative planning of renewable energy generation and multi-timescale flexible resources in active distribution networks. Renew. Energy 2024, 356, 122429. [Google Scholar] [CrossRef]
- Cosgrove, P.; Roulstone, T.; Zachary, S. Intermittency and periodicity in net-zero renewable energy systems with storage. Renew. Energy 2023, 212, 299–307. [Google Scholar] [CrossRef]
- Hao, J.; Feng, X.; Chen, X.; Jin, X.; Wang, X. Optimal scheduling of active distribution network considering symmetric heat and power source-load spatial-temporal characteristics. Appl. Energy 2024, 373, 123974. [Google Scholar] [CrossRef]
- Yang, X.Y.; Meng, L.Z.; Gao, X.T.; Ma, W.B.; Fan, L.W.; Yang, Y. Low-carbon economic scheduling strategy for active distribution network considering carbon emissions trading and source-load side uncertainty. Electr. Power Syst. Res. 2023, 223, 109672. [Google Scholar] [CrossRef]
- Cheng, Y.; Zhang, N.; Kang, C. Carbon emission flow: From electricity network to multiple energy systems. Glob. Energy Interconnect. 2018, 1, 433–442. [Google Scholar]
- Tu, F.; Zheng, S.; Chen, K. Optimal Active-Reactive Power Dispatch for Distribution Network with Carbon Trading Based on Improved Multi-Objective Equilibrium Optimizer Algorithm. IEEE Access 2025, 13, 1–14. [Google Scholar] [CrossRef]
- Wang, R.; Wen, X.; Ye, X.; Fu, Y.; Zhang, L. Low carbon optimal operation of integrated energy system based on carbon emission flow theory. Energy 2022, 311, 118664. [Google Scholar]
- Fleschutz, M.; Bohlayer, M.; Braun, M.; Murphy, M.D. From prosumer to flexumer: Case study on the value of flexibility in decarbonizing the multi-energy system of a manufacturing company. Appl. Energy 2023, 347, 121430. [Google Scholar] [CrossRef]
- Grunewald, P.; McKenna, R. Taking the long view on short-run marginal emissions: How much carbon does flexibility and energy storage save? Oxf. Open Energy 2023, 2, oiad008. [Google Scholar] [CrossRef]
- Beuse, M.; Steffen, B.; Dirksmeier, M.; Schmidt, T.S. Comparing CO2 emissions impacts of electricity storage across applications and energy systems. Joule 2021, 5, 1501–1520. [Google Scholar] [CrossRef]
- Yang, C.; He, B.; Liao, H.; Ruan, J.; Zhao, J. Price-based low-carbon demand response considering the conduction of carbon emission costs in smart grids. Front. Energy Res. 2022, 10, 959786. [Google Scholar] [CrossRef]
- Miao, L.; Di, L.; Zhao, J.; Liu, H.; Hu, Y.; Wei, X. Optimal Scheduling of Active Distribution Networks with Hybrid Energy Storage Systems Under Real Road Network Topology. Processes 2025, 13, 1492. [Google Scholar] [CrossRef]
- Hu, T.; Wang, C.; Miller, C. Identification of marginal generation units based on publicly available information. Appl Energy 2021, 281, 116073. [Google Scholar] [CrossRef]
- Park, B.; Dong, J.; Liu, B.; Kuruganti, T. Decarbonizing the grid: Utilizing demand-side flexibility for carbon emission reduction through locational marginal emissions in distribution networks. Appl. Energy 2023, 330, 120303. [Google Scholar] [CrossRef]
- Zou, H.; Wang, Y.; Mao, S.; Zhang, F.; Chen, X. Distributed Online Energy Management in Interconnected Microgrids. IEEE Internet Things J. 2020, 7, 2738–2750. [Google Scholar] [CrossRef]
- Sang, L.; Xu, Y.; Sun, H.; Wu, Z.; Wu, Q.; Wu, W. Distribution Locational Marginal Emission for Carbon Alleviation in Distribution Networks: Formulation, Calculation, and Implication. IEEE Trans. Autom. Sci. Eng. 2025, 22, 15006–15017. [Google Scholar] [CrossRef]
- Azmi, K.H.M.; Ramadan, A.; Sheikh, M.A.; Lazim, T.M.; Jaber, A.A. Active Electric Distribution Network: Applications, Challenges, and Opportunities. IEEE Access 2022, 10, 134655–134689. [Google Scholar] [CrossRef]
- Muttaqee, M.; Stelmach, G.; Zanocco, C.; Flora, J.; Rajagopal, R.; Boudet, H. Time of use pricing and likelihood of shifting energy activities, strategies, and timing. Energy Policy 2024, 187, 114019. [Google Scholar] [CrossRef]
- Qian, B.; Hu, H.; Tang, J.; Xiao, Y.; Lin, X.; Chen, Z. Low-Carbon Optimization Scheduling for Systems Considering Carbon Responsibility Allocation and Electric Vehicle Demand Response. Sustainability 2025, 17, 4299. [Google Scholar] [CrossRef]
- Xie, L.; Li, G.; Dong, X.; Cai, Y.; Guo, Z.; Pan, N. Sustainability-Oriented Indirect Carbon Emission Accounting for Electricity Considering Bidirectional System Integration in the Power Market Environment. Sustainability 2025, 17, 9583. [Google Scholar] [CrossRef]
- Zhang, Y.; Sun, P.; Ji, X.; Wen, F.; Yang, M.; Ye, P. Low-Carbon Economic Dispatch of Integrated Energy System Considering Expanding Carbon Emission Flow. IEEE Access 2024, 12, 1798–1809. [Google Scholar] [CrossRef]
- Ouyang, T.; Li, Y.; Xie, S.; Wang, C.; Mo, C. Low-carbon economic dispatch strategy for integrated power system based on the substitution effect of carbon tax and carbon trading. Energy 2024, 294, 130960. [Google Scholar] [CrossRef]
- Alsokhiry, F.; Siano, P.; Annuk, A.; Mohamed, M.A. A novel time-of-use pricing based energy management system for smart home appliances: Cost-effective method. Sustainability 2022, 14, 14556. [Google Scholar] [CrossRef]
- Zhou, H.; Li, B.; Zong, X.; Chen, D. Transactive energy system: Concept, configuration, and mechanism. Front. Energy Res. 2023, 10, 1057106. [Google Scholar] [CrossRef]
- Hua, H.; Xin, S.; Chen, X.; Yu, K.; Liu, D.; Ding, Y.; Shen, J. Demand Side Electricity-carbon Coupling Trading Mechanism Based on “Virtual Carbon Storage”. Proc. CSEE 2024, 44, 2131–2143. [Google Scholar]
- Bai, M.; Li, C. Research on the allocation scheme of carbon emission allowances for China’s provincial power grids. Energy 2024, 299, 131551. [Google Scholar] [CrossRef]
- Gan, L.; Li, N.; Topcu, U.; Low, S.H. Exact Convex Relaxation of Optimal Power Flow in Radial Networks. IEEE Trans. Autom. Control 2015, 60, 72–87. [Google Scholar] [CrossRef]
- Choi, W.; Im, J.; Lee, J.; Chung, J.H.; Lee, D. Operating strategy for load service entities using flexible real-time pricing through stochastic dual dynamic programming. Sci. Rep. 2025, 15, 33576. [Google Scholar] [CrossRef]
Disclaimer/Publisher’s Note: The statements, opinions and data contained in all publications are solely those of the individual author(s) and contributor(s) and not of MDPI and/or the editor(s). MDPI and/or the editor(s) disclaim responsibility for any injury to people or property resulting from any ideas, methods, instructions or products referred to in the content. |
© 2025 by the authors. Licensee MDPI, Basel, Switzerland. This article is an open access article distributed under the terms and conditions of the Creative Commons Attribution (CC BY) license (https://creativecommons.org/licenses/by/4.0/).


















