Sign in to use this feature.

Years

Between: -

Subjects

remove_circle_outline
remove_circle_outline
remove_circle_outline
remove_circle_outline
remove_circle_outline
remove_circle_outline
remove_circle_outline
remove_circle_outline
remove_circle_outline

Journals

remove_circle_outline
remove_circle_outline
remove_circle_outline
remove_circle_outline
remove_circle_outline
remove_circle_outline
remove_circle_outline
remove_circle_outline
remove_circle_outline
remove_circle_outline
remove_circle_outline
remove_circle_outline

Article Types

Countries / Regions

remove_circle_outline
remove_circle_outline
remove_circle_outline
remove_circle_outline
remove_circle_outline
remove_circle_outline
remove_circle_outline

Search Results (1,896)

Search Parameters:
Keywords = electronic charge density

Order results
Result details
Results per page
Select all
Export citation of selected articles as:
21 pages, 3086 KB  
Review
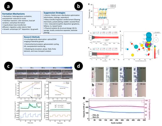
Polymer-Based Artificial Solid Electrolyte Interphase Layers for Li- and Zn-Metal Anodes: From Molecular Engineering to Operando Visualization
by Jae-Hee Han and Joonho Bae
Polymers 2025, 17(22), 2999; https://doi.org/10.3390/polym17222999 - 11 Nov 2025
Abstract
Metal anodes promise improvements in energy density and cost; however, their performance is determined within the first several nanometers at the interface. This review reports on how polymer-based artificial solid electrolyte interphases (SEIs) are engineered to stabilize Li and aqueous-Zn anodes, and how [...] Read more.
Metal anodes promise improvements in energy density and cost; however, their performance is determined within the first several nanometers at the interface. This review reports on how polymer-based artificial solid electrolyte interphases (SEIs) are engineered to stabilize Li and aqueous-Zn anodes, and how these designs are now evaluated against operando readouts rather than post-mortem snapshots. We group the related molecular strategies into three classes: (i) side-chain/ionomer chemistry (salt-philic, fluorinated, zwitterionic) to increase cation selectivity and manage local solvation; (ii) dynamic or covalently cross-linked networks to absorb microcracks and maintain coverage during plating/stripping; and (iii) polymer–ceramic hybrids that balance modulus, wetting, and ionic transport characteristics. We then benchmark these choices against metal-specific constraints—high reductive potential and inactive Li accumulation for Li, and pH, water activity, corrosion, and hydrogen evolution reaction (HER) for Zn—showing why a universal preparation method is unlikely. A central element is a system of design parameters and operando metrics that links material parameters to readouts collected under bias, including the nucleation overpotential (ηnuc), interfacial impedance (charge transfer resistance (Rct)/SEI resistance (RSEI)), morphology/roughness statistics from liquid-cell or cryogenic electron microscopy (Cryo-EM), stack swelling, and (for Li) inactive-Li inventory. By contrast, planar plating/stripping and HER suppression are primary success metrics for Zn. Finally, we outline parameters affecting these systems, including the use of lean electrolytes, the N/P ratio, high areal capacity/current density, and pouch-cell pressure uniformity, and discuss closed-loop workflows that couple molecular design with multimodal operando diagnostics. In this view, polymer artificial SEIs evolve from curated “recipes” into predictive, transferable interfaces, paving a path from coin-cell to prototype-level Li- and Zn-metal batteries. Full article
(This article belongs to the Special Issue Advanced Preparation and Characterization of Polymer-Based Thin Films)
Show Figures

Figure 1

26 pages, 7300 KB  
Review
Recent Advances in the Design and Structure–Activity Relationships of Oxygen Evolution Catalysts for Alkaline Water Electrolysis
by Limin Wang, Xinyue Liu, Cunxiao Lai, Jiabao Liu, Wenqi Wang, Xiaomei Wang, Xin Bo, Tao Cheng, Jianfeng Li, Zenglin Wang and Xubin Lu
Molecules 2025, 30(22), 4350; https://doi.org/10.3390/molecules30224350 - 10 Nov 2025
Abstract
Electrocatalytic water splitting offers a promising route to sustainable H2, but the oxygen evolution reaction (OER) in alkaline media remains the principal bottleneck for activity and durability. This review focuses on alkaline OER and integrates mechanism, kinetics, materials design, and cell-level [...] Read more.
Electrocatalytic water splitting offers a promising route to sustainable H2, but the oxygen evolution reaction (OER) in alkaline media remains the principal bottleneck for activity and durability. This review focuses on alkaline OER and integrates mechanism, kinetics, materials design, and cell-level considerations. Reaction mechanisms are outlined, including the adsorbate evolution mechanism (AEM) and the lattice oxygen mediated mechanism (LOM), together with universal scaling constraints and operando reconstruction of precatalysts into active oxyhydroxides. Strategies for electronic tuning, defect creation, and heterointerface design are linked to measurable kinetics, including iR-corrected overpotential, Tafel slope, charge transfer resistance, and electrochemically active surface area (ECSA). Representative catalyst families are critically evaluated, covering Ir and Ru oxides, Ni-, Fe-, and Co-based compounds, carbon-based materials, and heterostructure systems. Electrolyte engineering is discussed, including control of Fe impurities and cation and anion effects, and gas management at current densities of 100–500 mA·cm−2 and higher. Finally, we outline challenges and directions that include operando discrimination between mechanisms and possible crossover between AEM and LOM, strategies to relax scaling relations using dual sites and interfacial water control, and constant potential modeling with explicit solvation and electric fields to enable efficient, scalable alkaline electrolyzers. Full article
(This article belongs to the Topic Electrocatalytic Advances for Sustainable Energy)
Show Figures

Figure 1

15 pages, 3349 KB  
Article
Digging SiC Semiconductor Efficiency for Trapping Main Group Metals in Cell Batteries: Application of Computational Chemistry by Mastering the Density Functional Theory Study
by Fatemeh Mollaamin and Majid Monajjemi
Computation 2025, 13(11), 265; https://doi.org/10.3390/computation13110265 - 8 Nov 2025
Viewed by 179
Abstract
In this research article, a silicon carbide (SiC) nanocluster has been designed and characterized as an anode electrode for lithium (Li), sodium (Na), potassium (K), beryllium (Be), magnesium (Mg), boron (B), aluminum (Al) and gallium (Ga)-ion batteries through the formation of SiLiC, SiNaC, [...] Read more.
In this research article, a silicon carbide (SiC) nanocluster has been designed and characterized as an anode electrode for lithium (Li), sodium (Na), potassium (K), beryllium (Be), magnesium (Mg), boron (B), aluminum (Al) and gallium (Ga)-ion batteries through the formation of SiLiC, SiNaC, SiKC, SiBeC, SiMgC, SiBC, SiAlC and SiGaC nanoclusters. A vast study on energy-saving by SiLiC, SiNaC, SiKC, SiBeC, SiMgC, SiBC, SiAlC and SiGaC complexes was probed using computational approaches accompanying density state analysis of charge density differences (CDDs), total density of states (TDOS) and molecular electrostatic potential (ESP) for hybrid clusters of SiLiC, SiNaC, SiKC, SiBeC, SiMgC, SiBC, SiAlC and SiGaC. The functionalization of Li, Na, K, Be, Mg, B, Al and Ga metal/metalloid elements can raise the negative charge distribution of carbon elements as electron acceptors in SiLiC, SiNaC, SiKC, SiBeC, SiMgC, SiBC, SiAlC and SiGaC nanoclusters. Higher Si/C content can increase battery capacity through SiLiC, SiNaC, SiKC, SiBeC, SiMgC, SiBC, SiAlC and SiGaC nanoclusters for energy storage processes and to improve the rate performance by enhancing electrical conductivity. Full article
(This article belongs to the Section Computational Chemistry)
Show Figures

Figure 1

21 pages, 4241 KB  
Article
Measuring Serotonin Binding to Its Receptors In Vitro via Charge Transfer to ANAP
by Olivia G. Brado, Aspen T. Hawkins, Adam D. Hill and Michael C. Puljung
Int. J. Mol. Sci. 2025, 26(22), 10815; https://doi.org/10.3390/ijms262210815 - 7 Nov 2025
Viewed by 227
Abstract
Serotonin (5-HT) is a vital intercellular messenger with diverse signaling functions throughout the human body. We have characterized and implemented a novel, in vitro fluorescence-based method of measuring 5-HT binding to gain a fuller understanding of the interactions between 5-HT and its receptors. [...] Read more.
Serotonin (5-HT) is a vital intercellular messenger with diverse signaling functions throughout the human body. We have characterized and implemented a novel, in vitro fluorescence-based method of measuring 5-HT binding to gain a fuller understanding of the interactions between 5-HT and its receptors. This method involves expression of 5-HT receptor proteins in cultured cells with the fluorescent, non-canonical amino acid l-3-(6-acetylnaphthalen-2-ylamino)-2-aminopropanoic acid (ANAP) incorporated into the ligand binding site. ANAP fluorescence was quenched in solution by both 5-HT and dopamine. Time-resolved photoluminescence and transient absorption spectroscopy confirmed that ANAP quenching by 5-HT occurs via a charge-transfer process that recovers through back-electron transfer on the nanosecond timescale. Supported by density functional theory calculations, this process likely involved an ANAP reduction by 5-HT. To test this method on intact receptors in a cellular context, we expressed 5-HT3A receptors (5-HT-gated ion channels) in HEK293T cells with ANAP inserted co-translationally into the transmitter binding site. Fluorescently labeled 5-HT3A receptors were functional and activated by 5-HT, as assessed by whole-cell patch clamp. Addition of 5-HT caused a concentration-dependent quenching of fluorescence from ANAP-tagged channels in intact cells and unroofed plasma membranes, demonstrating the utility of this method for measuring 5-HT binding to its receptors. Collectively, these results delineate a technique for measuring transmitter binding that can be widely adopted to explore 5-HT binding not only to 5-HT3 receptors, but to any 5-HT receptor, transporter, or binding protein in heterologous expression systems. Full article
(This article belongs to the Special Issue Advances in Fluorescent Sensors)
Show Figures

Figure 1

19 pages, 4235 KB  
Article
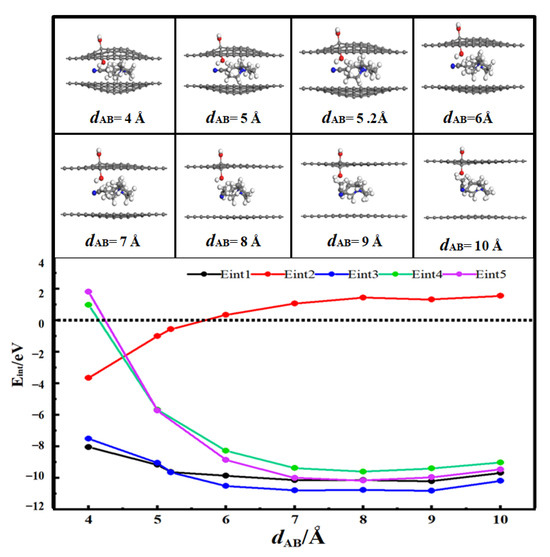
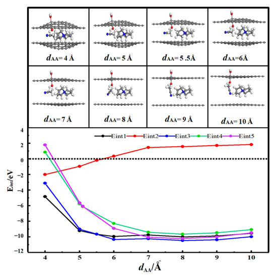
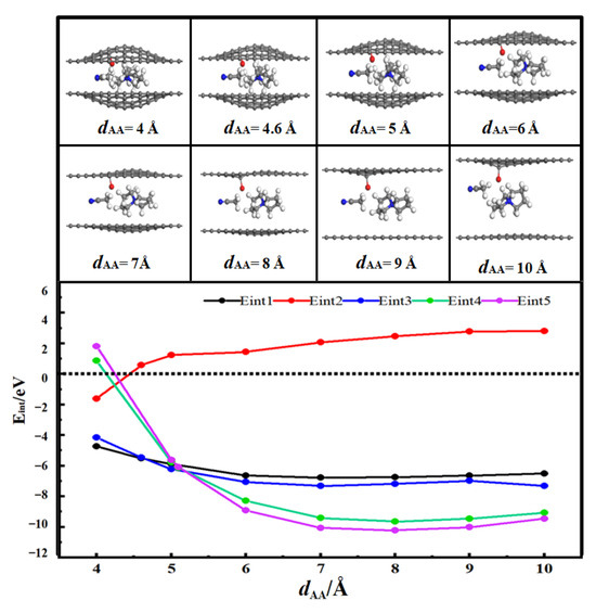
First-Principles Study on Desolvation and Capacitive Performance of Bispyrrolidinium Cations in Pristine/Oxygen-Functionalized Bilayer Graphene Flat Pores
by Fudong Liu, Yi Cao, Sinan Li, Xin Qi and Bing Liu
Coatings 2025, 15(11), 1299; https://doi.org/10.3390/coatings15111299 - 6 Nov 2025
Viewed by 156
Abstract
Supercapacitors are limited by electrolyte cation desolvation, which directly impacts ion storage efficiency and capacitance. This study uses density functional tight-binding (DFTB+) first-principles calculations to investigate the desolvation of bispyrrolidinium cation complexes ([SBP(AN)]+, acetonitrile as solvent) in pristine (FP) and oxygen-functionalized [...] Read more.
Supercapacitors are limited by electrolyte cation desolvation, which directly impacts ion storage efficiency and capacitance. This study uses density functional tight-binding (DFTB+) first-principles calculations to investigate the desolvation of bispyrrolidinium cation complexes ([SBP(AN)]+, acetonitrile as solvent) in pristine (FP) and oxygen-functionalized (OFP: hydroxyl-HFP, carbonyl-CFP, aldehyde-AFP) bilayer graphene flat pores with AA/AB stacking. Critical desolvation diameters were determined: 5.0 Å (FP), 5.2 Å (HFP), 5.0 Å (AFP), and 4.6 Å (CFP). Hydroxyl functionalization expanded the critical diameter, reduced SBP+ intercalation energy, and increased relative capacitance by 1.02~1.03 times; carbonyl groups had the opposite effect, while aldehyde groups showed no significant impact. Density of States (DOS) analysis revealed enhanced conductivity for HFP and AFP after SBP+ embedding, but reduced conductivity for CFP. Charge density difference and Bader charge analysis confirmed electron transfer primarily between SBP+ (electron donor) and oxygen atoms in functional groups (electron acceptor), with SBP+ interacting mainly with functional groups rather than the carbon basal plane. This work provides theoretical guidance for optimizing graphene-based supercapacitor electrodes via pore structure and surface functionalization. Full article
Show Figures

Figure 1

15 pages, 6946 KB  
Article
Unveiling Vacancy-Driven Stability: Atomic and Electronic Insights into Ni/Al2O3 Interfaces
by Lili Duan, Renwei Li, Haifeng Yang and Dehao Kong
Molecules 2025, 30(21), 4285; https://doi.org/10.3390/molecules30214285 - 4 Nov 2025
Viewed by 173
Abstract
The Ni/Al2O3 interface bears the load transfer and energy dissipation, which determines the service performance of the composite materials. In this study, three distinct vacancy-defect-modified interface models (D1, D2, and D3, corresponding to vacancies [...] Read more.
The Ni/Al2O3 interface bears the load transfer and energy dissipation, which determines the service performance of the composite materials. In this study, three distinct vacancy-defect-modified interface models (D1, D2, and D3, corresponding to vacancies in the first, second, and third layers of the Ni substrate surface, respectively) were constructed to systematically investigate the regulatory mechanism of vacancies on interfacial stability. The underlying mechanism of vacancy-enhanced interfacial stability was elucidated from both atomic-scale structural and electronic property perspectives. The results demonstrate that the D1, D2, and D3 structures increase the adhesion work of the interface by 2.0%, 6.7%, and 0.3%, respectively. This enhancement effect mainly stems from vacancy-induced atomic relaxation at the interface, which optimizes the equilibrium interfacial spacing and effectively releases residual strain energy. Further electronic structure analysis reveals a notable increase in charge density at the vacancy-modified interface (particularly in the D2 structure), indicating that vacancy defects promote charge transfer and redistribution by altering local electron distribution. More importantly, the bonding strength of the interface exhibits a positive correlation with electron orbital hybridization intensity, where stronger s-, p-, and d-orbit hybridization directly leads to a more stable interface. These findings provide atomic- and electronic-scale insights into the mechanistic role of vacancy defects in governing bonding at the Ni/Al2O3 interface. Full article
Show Figures

Figure 1

23 pages, 9938 KB  
Article
Precursor Concentration-Dependent Sol–Gel Dynamics in Neodymium Oxide: From Gel Framework to Electrochemical Functionality in Asymmetric Supercapacitors
by Rutuja U. Amate, Aditya A. Patil, Aviraj M. Teli, Sonali A. Beknalkar and Chan-Wook Jeon
Gels 2025, 11(11), 883; https://doi.org/10.3390/gels11110883 - 3 Nov 2025
Viewed by 218
Abstract
Rare-earth oxides possess distinctive electronic configurations, tunable oxidation states, and inherent structural robustness, making them highly attractive for advanced energy storage applications. Among these, neodymium oxide (Nd2O3) stands out due to its high surface redox activity, structural stability, and [...] Read more.
Rare-earth oxides possess distinctive electronic configurations, tunable oxidation states, and inherent structural robustness, making them highly attractive for advanced energy storage applications. Among these, neodymium oxide (Nd2O3) stands out due to its high surface redox activity, structural stability, and favorable band alignment, enabling efficient charge storage in electrochemical devices. In this study, Nd2O3 electrodes were synthesized via a sol–gel method with systematically varied precursor concentrations (1 mM, 3 mM, and 5 mM) to elucidate the impact of synthesis on crystallinity, morphology, and electrochemical performance. X-ray diffraction (XRD) confirmed the formation of the hexagonal Nd2O3 phase, with the 3 mM sample (Nd-2) exhibiting the sharpest reflections, indicative of enhanced crystallinity and reduced lattice defects. X-ray photoelectron spectroscopy (XPS) revealed trivalent Nd species and both lattice and surface oxygen, providing abundant redox-active sites. Field Emission Scanning Electron Microscope (FE-SEM) showed Nd-2 possessed a hierarchically interconnected fibrous network decorated with fine granules, maximizing active surface area and facilitating rapid ion diffusion. Electrochemical testing demonstrated that Nd-2 achieved an areal capacitance of 20 F cm−2, a diffusion-controlled pseudocapacitive contribution of ~84.9%, and retained 86.3% capacitance over 12,000 cycles. An asymmetric supercapacitor with Nd-2 and activated carbon delivered an energy density of 0.132 mWh cm−2, power density of 1.8 mW/cm2, and 81.1% capacitance retention over 7000 cycles. These results highlight the critical role of precursor concentration in tailoring structure and electrochemical performance, establishing Nd2O3 as a promising electrode for high-performance energy storage devices. Full article
(This article belongs to the Special Issue Advances in Composite Gels (3rd Edition))
Show Figures

Figure 1

12 pages, 8391 KB  
Article
Research on Os-Modified C3N Nanosheets for Sensing and Adsorbing Dissolved Gases in 10 kV Distribution Transformer Oil for Fault Diagnosis
by Yuanhao Zheng, Haixia Wang, Fei Wang and Hongbo Zou
Processes 2025, 13(11), 3517; https://doi.org/10.3390/pr13113517 - 2 Nov 2025
Viewed by 211
Abstract
Online monitoring technology for transformers is a crucial safeguard for power supply, and diagnosing dissolved gases in 10 kV distribution transformer oil is considered an effective criterion for transformer fault detection. Using density functional theory, this paper simulated the adsorption process of five [...] Read more.
Online monitoring technology for transformers is a crucial safeguard for power supply, and diagnosing dissolved gases in 10 kV distribution transformer oil is considered an effective criterion for transformer fault detection. Using density functional theory, this paper simulated the adsorption process of five dissolved gases in a 10 kV distribution transformer on Os-modified C3N nanosheets, and by calculating the band structure, differential charge density, density of states, and work function, the related sensing and adsorption mechanisms were revealed. The results indicate that Os modification significantly enhances the gas-sensing response of C3N nanosheets, particularly for capturing C2H2 and CO, which is primarily attributed to the d-orbital electrons of the doped metal. The adsorption capability of Os-modified C3N nanosheets of dissolved gases follows the order C2H2 > CO > H2 > CO2 > CH4, with the adsorption type being physico-chemical adsorption, and these findings provide a theoretical foundation for developing high-sensitivity gas sensors for detecting dissolved gases in a 10 kV distribution transformer. Full article
(This article belongs to the Section Energy Systems)
Show Figures

Figure 1

18 pages, 4314 KB  
Article
Condition-Dependent Rate Capability of Laser-Structured Hard Carbon Anodes in Sodium-Based Batteries
by Viktoria Falkowski and Wilhelm Pfleging
Batteries 2025, 11(11), 403; https://doi.org/10.3390/batteries11110403 - 1 Nov 2025
Viewed by 313
Abstract
Changing the topography of electrodes by ultrafast laser ablation has shown great potential in enhancing electrochemical performance in lithium-ion batteries. The generation of microstructured channels within the electrodes creates shorter pathways for lithium-ion diffusion and mitigates strain from volume expansion during electrochemical cycling. [...] Read more.
Changing the topography of electrodes by ultrafast laser ablation has shown great potential in enhancing electrochemical performance in lithium-ion batteries. The generation of microstructured channels within the electrodes creates shorter pathways for lithium-ion diffusion and mitigates strain from volume expansion during electrochemical cycling. The topography modification enables faster charging, improved rate capability, and the potential to combine high-power and high-energy properties. In this study, we present a preliminary exploration of this approach for sodium-ion battery technology, focusing on the impact of laser-generated channels on hard carbon electrodes in sodium-metal half-cells. The performance was analyzed by employing different conditions, including different electrolytes, separators, and electrodes with varying compaction degrees. To identify key factors contributing to rate capability improvements, we conducted a comparative analysis of laser-structured and unstructured electrodes using methods including scanning electron microscopy, laser-induced breakdown spectroscopy, and electrochemical cycling. Despite being based on a limited sample size, the data reveal promising trends and serve as a basis for further optimization. Our findings suggest that laser structuring can enhance rate capability, particularly under conditions of limited electrolyte wetting or increased electrode density. This highlights the potential of laser structuring to optimize electrode design for next-generation sodium-ion batteries and other post-lithium technologies. Full article
(This article belongs to the Special Issue Batteries: 10th Anniversary)
Show Figures

Figure 1

32 pages, 6786 KB  
Review
Advances in DFT-Based Computational Tribology: A Review
by Haochen Feng, Ziwen Cheng, Zhibin Lu and Qichang He
Lubricants 2025, 13(11), 483; https://doi.org/10.3390/lubricants13110483 - 31 Oct 2025
Cited by 1 | Viewed by 333
Abstract
The rapid advancement of micro/nano-electromechanical systems (MEMS/NEMS) and precision manufacturing has fundamentally challenged traditional friction theories at the nanoscale. Classical continuum models fail to capture energy dissipation mechanisms at the atomic level, which are influenced by interfacial phenomena such as electron transfer, charge [...] Read more.
The rapid advancement of micro/nano-electromechanical systems (MEMS/NEMS) and precision manufacturing has fundamentally challenged traditional friction theories at the nanoscale. Classical continuum models fail to capture energy dissipation mechanisms at the atomic level, which are influenced by interfacial phenomena such as electron transfer, charge redistribution, and energy level realignment. Density functional theory (DFT), renowned for its accurate description of ground-state properties in many-electron systems, has emerged as a key tool for uncovering quantized friction mechanisms. By quantifying potential energy surface (PES) fluctuations, the evolution of interfacial charge density, and dynamic electronic band structures, DFT establishes a universal correlation between frictional dissipation and electronic behavior, transcending the limitations of conventional models in explaining stick–slip motion, superlubricity, and non-Amonton effects. Research breakthroughs in the application of DFT include characterizing frictional chemical potentials, designing heterojunction-based superlubricity, elucidating strain/load modulation mechanisms, and resolving electronic energy dissipation pathways. However, these advances remain scattered across interdisciplinary studies. This article systematically summarizes methodological innovations and cutting-edge applications of DFT in computational tribology, with the aim of constructing a unified framework for carrying out the “electronic structure–energy dissipation–frictional response” predictions. It provides a state of the art of using DFT to help design high-performance lubricants and actively control interfacial friction. Full article
Show Figures

Figure 1

12 pages, 2382 KB  
Article
Hyperfine Coupling Constants of Photoinduced Axial Symmetry NV Centers in a 6H Silicon Carbide: DFT and High-Field ENDOR Spectroscopy Study
by Yuliya Ermakova, Ekaterina Dmitrieva, Irina Gracheva, Darya Shurtakova, Margarita Sadovnikova, Fadis Murzakhanov, Georgy Mamin, Sergey Nagalyuk, Evgeny Mokhov and Marat Gafurov
Appl. Nano 2025, 6(4), 23; https://doi.org/10.3390/applnano6040023 - 31 Oct 2025
Viewed by 198
Abstract
Solid-state spin centers are at the forefront of developing advanced quantum technologies, engaging in applications of sensing, communication and computing. A semiconductor host matrix compatible with existing silicon technology provides a robust platform for holding spin defects and an opportunity for external manipulation. [...] Read more.
Solid-state spin centers are at the forefront of developing advanced quantum technologies, engaging in applications of sensing, communication and computing. A semiconductor host matrix compatible with existing silicon technology provides a robust platform for holding spin defects and an opportunity for external manipulation. In this article, negatively charged nitrogen-vacancy (NV) centers in the hexagonal hh position in a 6H polytype silicon carbide crystal was studied using high-frequency (94 GHz) electron paramagnetic (EPR) and electron nuclear double resonances (ENDOR) spectroscopy. Experimentally determined values of hyperfine and quadrupole interactions of 14N were compared with the values obtained for the centers in NVk2k1 positions. The distribution of spin density of the defect within a supercell of the SiC crystal lattice was calculated using the density functional theory approach. The theoretical estimation of electron-nuclear interaction constants turned out to be in close agreement with the experimental values, which allows us to refine the microscopic model of a point defect. The temperature dependence of the spin Hamiltonian values (δA/δT ≅ 180 Hz/K) was studied with the possibility of observing the 14N NMR signal at room temperature. The fundamental knowledge gained about interactions’ parameters’ behavior lays the foundation for the creation of promising quantum platforms. Full article
Show Figures

Figure 1

17 pages, 1277 KB  
Perspective
Nanoscale Lattice Heterostructure in High-Tc Superconductors
by Annette Bussmann-Holder, Jürgen Haase, Hugo Keller, Reinhard K. Kremer, Sergei I. Mukhin, Alexey P. Menushenkov, Andrei Ivanov, Alexey Kuznetsov, Victor Velasco, Steven D. Conradson, Gaetano Campi and Antonio Bianconi
Condens. Matter 2025, 10(4), 56; https://doi.org/10.3390/condmat10040056 - 30 Oct 2025
Viewed by 226
Abstract
Low-temperature superconductivity has been known since 1957 to be described by BCS theory for effective single-band metals controlled by the density of states at the Fermi level, very far from band edges, the electron–phonon coupling constant l, and the energy of the boson [...] Read more.
Low-temperature superconductivity has been known since 1957 to be described by BCS theory for effective single-band metals controlled by the density of states at the Fermi level, very far from band edges, the electron–phonon coupling constant l, and the energy of the boson in the pairing interaction w0, but BCS has failed to predict high-temperature superconductivity in different materials above about 23 K. High-temperature superconductivity above 35 K, since 1986, has been a matter of materials science, where manipulating the lattice complexity of high-temperature superconducting ceramic oxides (HTSCs) has driven materials scientists to grow new HTSC quantum materials up to 138 K in HgBa2Ca2Cu3O8 (Hg1223) at ambient pressure and near room temperature in pressurized hydrides. This perspective covers the major results of materials scientists over the last 39 years in terms of investigating the role of lattice inhomogeneity detected in these new quantum complex materials. We highlight the nanoscale heterogeneity in these complex materials and elucidate their special role played in the physics of HTSCs. Especially, it is highlighted that the geometry of lattice and charge complex heterogeneity at the nanoscale is essential and intrinsic in the mechanism of rising quantum coherence at high temperatures. Full article
(This article belongs to the Special Issue Superstripes Physics, 4th Edition)
Show Figures

Figure 1

19 pages, 17884 KB  
Article
Mechanism and Simulation Analysis of Acoustic Wave Excitation by Partial Discharge
by Ziqi Li, Xianmei Wu, Tao Leng, Bingwen An and Wei Dong
Appl. Sci. 2025, 15(21), 11611; https://doi.org/10.3390/app152111611 - 30 Oct 2025
Viewed by 153
Abstract
Partial discharge serves as a typical indicator of insulation defects in high-voltage electrical equipment and is often accompanied by acoustic emission. The online monitoring of partial discharge via acoustic signals makes it essential to investigate the underlying mechanism of acoustic wave excitation by [...] Read more.
Partial discharge serves as a typical indicator of insulation defects in high-voltage electrical equipment and is often accompanied by acoustic emission. The online monitoring of partial discharge via acoustic signals makes it essential to investigate the underlying mechanism of acoustic wave excitation by partial discharge. However, experimental investigation is often prohibitively expensive and struggles to capture key discharge parameters. Numerical simulation thus provides a valuable alternative for microscopic analysis. In this study, a typical needle-plane corona discharge model is employed. Based on the theory that acoustic waves are generated by gas disturbances caused by collisions between charged and neutral particles in weakly ionized gases, a numerical model for acoustic wave excitation by positive corona discharge is developed. Simulations and analyses are performed on the acoustic source characteristics and the acoustic field distribution. The results demonstrate that the spatiotemporal evolution of electron density plays a dominant role in the generation of acoustic waves during positive DC corona discharge. The characteristics of the simulated acoustic field agree well with experimental results from relevant studies, validating the effectiveness of the proposed electroacoustic coupling numerical model and providing a new tool for further research into the acoustic features of partial discharge. Full article
(This article belongs to the Section Applied Physics General)
Show Figures

Figure 1

12 pages, 2794 KB  
Article
Transmission-Reflection-Integrated Bifunctional Metasurface by Hybridizing Geometric Phase and Propagation Phase
by Zhaotang Liu, Zhenxu Wang, Tiefu Li, Jinxin Gu, Yunzhou Shi, Jie Zhang, Huiting Sun and Jiafu Wang
Electronics 2025, 14(21), 4250; https://doi.org/10.3390/electronics14214250 - 30 Oct 2025
Viewed by 227
Abstract
Multifunctional metasurfaces, capable of flexible electromagnetic wave manipulation, have become a focus of research for their high integration and utility. In particular, those operating simultaneously in transmission and reflection modes have attracted growing interest, as they integrate multiple functions within a single aperture, [...] Read more.
Multifunctional metasurfaces, capable of flexible electromagnetic wave manipulation, have become a focus of research for their high integration and utility. In particular, those operating simultaneously in transmission and reflection modes have attracted growing interest, as they integrate multiple functions within a single aperture, save physical space, and further expand wave control capabilities across full space. In this work, an inspiring strategy of transmission-reflection-integrated bifunctional metasurface by hybridizing geometric phase and propagation phase is proposed. The transmission and reflection modes can be independently and flexibly controlled in full space: the co-polarized reflection under left-handed circular polarization (LCP) incidence is governed by rotation-induced geometric phase modulation, while the co-polarized transmission under right-handed circular polarization (RCP) incidence is modulated through scaling-induced propagation phase modulation. Moreover, arbitrary amplitude modulation of the co-polarized transmission under RCP incidence can be realized by incorporating lumped resistors. As a proof of concept, a bifunctional meta-device is constructed, which can generate vortex beam carrying arbitrary topological charge for LCP reflected wave and achieve high-quality holographic imaging for RCP transmitted wave. Both the simulated and experimental results validate the feasibility of the proposed strategy, which significantly enhances the integration density of multifunctional metasurfaces while reducing inter-functional crosstalk, expanding its potential applications in electronic engineering. Moreover, it can also serve as a fundamental machine learning platform, facilitating multimodal fusion and cross-modal learning in radar signals and visual imaging. Full article
Show Figures

Figure 1

24 pages, 10390 KB  
Article
Electronic Structure and Binding Characteristics of Ionic Liquid Ions on Li-Metal Surfaces Through a DFT Approach
by Luis A. Selis, Dinau Velazco-Lorenzo, Juan Quillas and Diego E. Galvez-Aranda
Crystals 2025, 15(11), 928; https://doi.org/10.3390/cryst15110928 - 28 Oct 2025
Viewed by 385
Abstract
Understanding the interactions between ionic liquid ions and lithium-metal surfaces is critical for designing safer and more efficient lithium metal batteries. In this work, we use density functional theory to investigate the electronic structure, binding energies, work-function shifts and interfacial charge redistribution of [...] Read more.
Understanding the interactions between ionic liquid ions and lithium-metal surfaces is critical for designing safer and more efficient lithium metal batteries. In this work, we use density functional theory to investigate the electronic structure, binding energies, work-function shifts and interfacial charge redistribution of several ionic liquid ions, including FSI, TFSI, PF6, BF4, DFOB, Pyr14+, and EMIM+, on a Li-metal anode (Lim). Absorption orientation-dependent effects are examined for each molecule. Specifically, differences in charge density and electron localization function analyses revealed unique patterns of electron accumulation and delocalization that highlighted specific atomic roles in interfacial bonding. Interfacial charge transfer is analyzed through Bader charges, revealing a moderate charge redistribution for the cations (EMIM+, Pyr14+), and a more significant charge uptake for the reactive anions (FSI, TFSI, DFOB). Among cations, EMIM+ was determined to have the most interfacial stability, while Pyr14+ displayed mid-level reactivity. For the anions, varying tendencies for bond formation with lithium metal and potential fragmentation could be determined. Overall, these discoveries detail an atomistic analysis of ionic liquid to Lim interactions providing additional pathways for molecular design techniques to stabilize electrolytes performing not high-cost computational calculations. Full article
(This article belongs to the Special Issue Analysis of Halogen and Other σ-Hole Bonds in Crystals (2nd Edition))
Show Figures

Figure 1

Back to TopTop