Next Article in Journal
Expression Profiling and Interaction Effects of Three R-Genes Conferring Resistance to Blackleg Disease in Brassica napus
Previous Article in Journal
Physics-Based Machine Learning for Vibration Mitigation by Open Buried Trenches
 
 
Font Type:
Arial Georgia Verdana
Font Size:
Aa Aa Aa
Line Spacing:
Column Width:
Background:
Article

Mechanism and Simulation Analysis of Acoustic Wave Excitation by Partial Discharge

1
State Key Laboratory of Acoustics and Marine Information, Institute of Acoustics, Chinese Academy of Sciences, Beijing 100190, China
2
University of Chinese Academy of Sciences, Beijing 100049, China
*
Author to whom correspondence should be addressed.
Appl. Sci. 2025, 15(21), 11611; https://doi.org/10.3390/app152111611
Submission received: 1 October 2025 / Revised: 22 October 2025 / Accepted: 27 October 2025 / Published: 30 October 2025
(This article belongs to the Section Applied Physics General)

Abstract

Partial discharge serves as a typical indicator of insulation defects in high-voltage electrical equipment and is often accompanied by acoustic emission. The online monitoring of partial discharge via acoustic signals makes it essential to investigate the underlying mechanism of acoustic wave excitation by partial discharge. However, experimental investigation is often prohibitively expensive and struggles to capture key discharge parameters. Numerical simulation thus provides a valuable alternative for microscopic analysis. In this study, a typical needle-plane corona discharge model is employed. Based on the theory that acoustic waves are generated by gas disturbances caused by collisions between charged and neutral particles in weakly ionized gases, a numerical model for acoustic wave excitation by positive corona discharge is developed. Simulations and analyses are performed on the acoustic source characteristics and the acoustic field distribution. The results demonstrate that the spatiotemporal evolution of electron density plays a dominant role in the generation of acoustic waves during positive DC corona discharge. The characteristics of the simulated acoustic field agree well with experimental results from relevant studies, validating the effectiveness of the proposed electroacoustic coupling numerical model and providing a new tool for further research into the acoustic features of partial discharge.

1. Introduction

Partial discharge is one of the primary causes of insulation failure in electrical equipment. Identifying the characteristics of partial discharge is crucial for assessing the extent of insulation degradation. Based on its location and features, partial discharge can be classified into internal discharge, surface discharge, corona discharge, and treeing discharge [1]. The detection of partial discharge relies on measuring various physical quantities generated during its occurrence [2], mainly including the pulse current method, chemical detection method, optical detection method, and ultrasonic detection method [3]. Among these, the ultrasonic method has attracted significant attention from researchers owing to its advantages in facilitating online monitoring and effective spatial localization. However, extensive research has focused on ultrasound-based discharge localization [4], while studies on the underlying mechanism of ultrasonic generation during partial discharge remain limited.
Jiang et al. [5] applied an electroacoustic analogy to analyze the mechanism of ultrasonic wave generation by partial discharge in a gas gap, attributing the ultrasound to the damped oscillations of bubbles under a pulsed electric field force. Pan et al. [6] adopted a thermodynamic approach to study ultrasonic generation in gas gaps during partial discharge, proposing that ultrasound originates from the expansion and contraction of gas due to temperature variations induced by the discharge. In analyzing ultrasonic propagation characteristics on transformer walls, Jiang [7] introduced an exponentially decaying oscillatory pulse as the simulated acoustic source in the computational domain. While these contributions are valuable, they involve simplified representations of the acoustic emission mechanism and do not address the microscale relationship between the discharge events and the resulting sound generation.
Acoustic emission is associated with various forms of gas discharge [8]. Research on discharge-induced acoustic waves dates back to Ingard [9], who established a foundational theory by investigating acoustic generation in plasma and deriving the wave equation for small-amplitude acoustic waves in weakly ionized gases. In 1969, Fitiaire and Mantei demonstrated that fluctuations in electron temperature constitute one mechanism for acoustic excitation, achieved by modulating electron temperature in a weakly ionized gas [10]. They later advanced this work in 1972 showing through electron perturbation experiments in plasma that the acoustic source term is proportional to the time derivative of the power transferred to electrons from an external source [11]. Building on these foundations, subsequent researchers have examined the sound generation mechanism in corona discharge—a type of weakly ionized discharge. In 2001, Bequin et al. [12] simulated the electrical characteristics of negative point-to-plane corona discharge using a three-parameter equivalent circuit. In their model, the ionization and drift regions were treated as distinct acoustic sources, and expressions for the corresponding source terms were derived. Zhang et al. [13] experimentally investigated the correlation between corona current and audible sound, establishing a numerical model of corona acoustic emission based on particle interactions. Li et al. [14] constructed a single-point corona discharge setup using a corona cage configuration, studied the directivity and attenuation of audible sound from positive corona discharge, and developed a model for audible noise propagation.
However, existing mechanistic studies have largely centered on electroacoustic conversion and applications such as plasma loudspeakers, with a predominant focus on audible sound from corona discharge [13,14,15,16]. It is important to note that acoustic waves generated by corona discharge cover a broad frequency spectrum, ranging from several kHz to tens of MHz [12]. Since ultrasonic detection methods for partial discharge rely on high-frequency acoustic waves, the scarcity of studies in this specific high-frequency regime presents a critical research gap. To address this, we develop a numerical model for acoustic wave generation in needle-plane corona discharge—a typical form of partial discharge—based on particle-level interactions. The paper elucidates the mechanism of acoustic emission during corona discharge and analyzes the distribution patterns of acoustic sources and the resulting acoustic field, thereby providing a theoretical foundation for the ultrasonic characterization of partial discharge.

2. The Mechanism of Acoustic Waves Generated by Corona Discharge

DC corona discharge is a form of weakly ionized discharge. In the process of gas ionization, the density of charged particles is much smaller than that of neutral molecules, so the neutral particles dominate and the influence of charged particles is considered a minor disturbance. Therefore, the acoustic wave equation in weakly ionized gas proposed by Ingard can be used to analyze the mechanism of acoustic wave excitation in DC corona discharge.
The conversion process can be described as follows [13]. During the discharge process, the velocity and temperature of charged particles increase under the action of an external electric field. The acceleration and heating process of charged particles is fast and can be considered as an adiabatic process, while the temperature of neutral molecules remains the same as the ambient temperature. Due to the temperature difference between charged particles and neutral molecules, collisions between charged particles with a higher energy and neutral molecules involve the transfer of energy and momentum from charged particles to neutral molecules. The transferred power varies with time and space, which in turn causes changes in the density and pressure of the neutral molecules, resulting in the generation of acoustic waves.
Based on the above analysis, the three basic equations and the equation of state for neutral gas are given by [9]
δ t + ρ 0 · v = M
ρ 0 v t + p = F
ρ 0 T 0 s t = H
δ = ρ P S p + ρ S P s = 1 c 2 p ρ 0 c P s
where δ = ρ ρ 0 , p = P P 0 , and s = S S 0 represent the perturbation of the gas density, pressure, and entropy per unit mass, respectively. T 0 is the initial temperature of the gas, v is the velocity of neutral molecules, c P is the specific heat per unit mass under constant pressure, and c is the speed of sound. The source terms M, F , and H represent the changes in mass, momentum, and energy of a neutral gas per unit volume over time, that is, the rate at which mass, momentum, and energy are transferred to a neutral gas per unit volume through the interaction between charged particles and neutral particles. To determine the source terms M, F , and H, the interaction between charged particles and neutral molecules during the discharge process must be analyzed. During the gas discharge process, any particles will interact with other particles through collision processes. Particles exchange momentum, kinetic energy, internal energy, and charge through collisions, leading to physical processes such as ionization, recombination, photon emission, and absorption. The interactions between particles are very complex. This paper focuses on the main reactions during the discharge process, including the following four types, where A and B represent neutral atoms or molecules.
Neutral particle ionization caused by electron–neutral particle collisions is represented by the following reaction:
e + A 2 e + A + .
Electrons attaching to neutral particles to form negative ions is shown as
e + A A .
The recombination of electrons with positive ions to form neutral particles is given by
e + A + A .
Neutral particles are also formed through the recombination of positive and negative ions represented as follows:
A + B + A + B .
If the change in the number density of neutral gas particles caused by the imbalance between ionization and recombination reactions is ignored, it can be approximately assumed that the gas mass within a unit volume remains constant, thus M = 0 . So the wave equation can be derived from (5)–(8) as follows:
1 c 2 2 p t 2 2 p = ( γ 1 ) c 2 H t · F
where γ is the specific heat ratio γ = c P / c V .
In the process of corona discharge, the movement direction of electrons and negative ions is opposite to that of positives ions. Consequently, in the interaction with neutral molecules, the momentum exchanged between positively and negatively charged particles and neutral molecules weakens each other. Thus, · F in Equation (9) can be neglected in the calculation process. The energy transferred to neutral gas molecules per unit volume is the excitation source generated by acoustic waves. Equation (9) thus simplifies to
1 c 2 2 p t 2 2 p = ( γ 1 ) c 2 H t .
Since the energy transmitted to neutral molecules mainly comes from elastic collisions with electrons, the collision process between the electrons and the neutral molecules is analyzed. The excitation source in Equation (10) is given by
( γ 1 ) c 2 H t = P 0 m e m n 1 / 2 1 c t T e T n 3 / 2 n e σ .
σ = 6 ( γ 1 ) ( 3 / γ ) 1 / 2 σ .
where T e is the temperature of electrons, T n is the temperature of neutral molecules, P 0 is the static pressure of the gas, n e is the electron number density, and σ is the average elastic collision cross-section, which can characterize the probability of elastic collision between electrons and neutral particles.
In summary, the acoustic wave equation in weakly ionized gas during corona discharge is given by
1 c 2 2 p t 2 2 p = P 0 m e m n 1 / 2 1 c t T e T n 3 / 2 n e σ .
To solve this equation, it is necessary to numerically calculate the discharge process to obtain the distribution of electron temperature and electron number density in the corona discharge area over time and space. Then, these results are substituted into Equation (13) to solve for the acoustic field.

3. Numerical Simulation of Positive DC Corona Discharge and Exciting Acoustic Waves

Under the same electrode structure and applied voltage amplitude, the magnitude of the positive corona current is significantly higher than that of the negative corona current. Existing studies also indicate that, under identical conditions, the sound pressure level of the sound waves generated by a positive polarity DC corona is much higher than that of a negative polarity corona. Additionally, Li et al. [17] have demonstrated that there is a one-to-one correspondence between corona current pulses and acoustic pulses, and the repetition frequency of the sound wave pulses is identical to that of the corona current pulses. Therefore, by analyzing the electric field variation during a single current pulse, the generation process of a single acoustic pulse can be investigated. Based on this, the present study focuses on the investigation of a single positive corona discharge. Due to the complexity of the discharge process, it is difficult to describe the particle distribution with simple functional relationships. Zhang et al. [13] used a one-dimensional approximation method to compute this, and assumed that the electron temperature is evenly distributed and remains constant throughout the discharge process. Therefore, in this paper, a two-dimensional axisymmetric model is used to simulate the positive corona discharge pulse. Research by Samira Kacem et al. [18] suggested that the feedback effect of neutral gas variations on a single pulse discharge can be neglected. Therefore, this paper adopts the method of separating and solving the two physical fields of electric field and acoustic field, respectively, to solve the discharge problem and the acoustic excitation problem.
In this paper, we firstly establish a two-dimensional axisymmetric fluid chemistry mixed model to numerically simulate the process of needle plate positive DC corona discharge. The model is based on plasma hydrodynamics and chemical reactions. The changes in electron density and temperature in the discharge area over time and space during a single pulse current are computed. The computational results are then substituted into the acoustic wave equation as the source term. The equation is solved using the finite element method to obtain the distribution of the acoustic field.

3.1. Simulation of Positive Needle Plate DC Corona Discharge Based on Fluid–Chemical Reaction Hybrid Model

To describe DC positive corona discharge under atmospheric pressure, this paper adopts a plasma chemistry-based fluid dynamics numerical method [19]. A mixed gas composed of 79% nitrogen and 21% oxygen is used as the background gas for discharge, and a numerical model is established that includes 23 chemical reactions among 12 species, which can effectively reflect the air discharge process. This model not only describes the macroscopic processes of gas discharge but also allows for a detailed analysis of microscopic processes such as the generation, diffusion, migration, and disappearance of various microscopic particles.
The plasma chemistry-based fluid dynamics numerical model employed in this study includes the electron continuity equation, the equation for the average electron energy density, the continuity equations for positive and negative ions as well as neutral particles, and the Poisson equation that describes the potential distribution in the discharge gap.
The electron conservation is described by the following electron continuity equation:
n e t + · Γ e = R e
where R e is the electron production rate due to ionization, recombination, and secondary emission processes at the cathode and Γ e is the electron density flux, which is expressed as
Γ e = ( D e n e ) + μ e n e φ
where μ e is the electron mobility, D e is the electron diffusion coefficient, and φ is the electrostatic potential. The electron mean energy density equation is given as
t ( n e ε ¯ ) + · Γ ε = e Γ e · φ + e i = 1 I g Δ ε i e R i
where ε ¯ is the mean electron energy, e is the unit charge, Δ ε i e is the energy lost per electron in an inelastic collision described by the gas reaction i, R i is the rate of progress of reaction i with electron participation, and Γ ε is the electron energy flux described by the following equation:
Γ ε = D ε · ( n ε ε ¯ ) ( n ε ε ¯ ) μ ε · E
where the μ ε and D ε are the energy mobility and the energy diffusion coefficients, respectively. These transport coefficients of electrons are obtained from solving the Boltzmann equation. In this model, the description of positive and negative ions, as well as neutral particles, is based on a multi-component diffusion transport equation:
ρ n k t + ρ ( u · ) n k = R k + · j k .
where ρ is the total density of the fluid mixture, u is the average fluid velocity vector, R k represents the rate of change in the particle density of species k due to chemical reactions, and j k is the diffusion flux vector of species k.
Finally, the equation describing the potential distribution in the discharge gap is the Poisson equation:
2 φ = e ( n p n n n e ) ε 0 ε r .
E = φ .
where n p and n n are the number densities of positive ions and negative ions.
Corona discharge, as a typical form of partial discharge, often occurs near electrodes with a small radius of curvature. Therefore, a needle plate electrode configuration is chosen as the object of study. Figure 1 illustrates the schematic diagram of the needle plate corona discharge model used in this study (a) and the computational region (b). The model adopts a two-dimensional axisymmetric geometry with the following dimensions: the curvature radius of the needle electrode is 0.08   m m , the radius of the circular plate electrode is 2.5   m m , the gap between the needle electrode and the plate electrode is 4.5   m m , and the simulation region size is 2.5   m m × 5 m m . The external circuit is composed of a DC source and a protective resistor R. In the simulation process, the external DC voltage is set to 3 k V , the ambient temperature is T = 300   K , and the background pressure is 760 Torr.
Meanwhile, the quality of the mesh during the discretization of the corona field directly influences the stability of the model. In this model, the electric field near the discharge channel experiences drastic variations, necessitating the use of a very fine mesh. In other regions, where the electric field changes more gradually, a coarser mesh is adopted to reduce computational costs. The mesh structure of the computational domain is illustrated in Figure 2, and the corresponding mesh parameters are listed in Table 1.
The model includes one inner boundary, which is the axis of symmetry, and four outer boundaries, namely the needle electrode, plate electrode, and two open boundaries. The boundary conditions of the model are shown in Table 2. Here, D e , D p , and D n are the diffusion coefficients of electrons, positive ions, and negative ions. ω e and ω p are the drift velocities of electrons and positive ions. n is the boundary normal vector, and γ is the secondary electron emission coefficient. γ represents the average number of electrons ejected from the cathode surface per incident positive ion. This process is a crucial feedback mechanism for sustaining the corona discharge, as these newly emitted electrons are accelerated by the strong electric field to cause further ionization. The open boundaries are artificial boundaries designed to represent a connection to a much larger, effectively infinite, surrounding space. The zero-flux condition applied at these boundaries ensures that particles and fields can leave the computational domain without causing non-physical reflections, thus mimicking a smooth transition to the far-field region.

3.2. Finite Element Method for Solving Acoustic Field

Due to the fact that only a partial region in the gap between the needle and plate undergoes ionization during a single pulse, and the acoustic waves are generated by the interaction of charged particles with neutral molecules, only the partially ionized region is considered as the acoustic source Q, which is the source term of the acoustic wave equation mentioned above, given as follows:
Q = P 0 m e m n 1 / 2 1 c t T e T n 3 / 2 n e σ .
By substituting the electron number density n e and electron temperature T e obtained from the previous step of solving the electric field into the expression of the domain acoustic source, the finite element method is then applied to solve the acoustic wave equation with the source term. Figure 3a shows the solution model for the acoustic field, and the computational domain is illustrated in Figure 3b. The labeled region in Figure 3b denotes the ionized area where discharge occurs, that is the acoustic source region, and the outer region is the acoustic field solution domain with radius r = 8 mm . To prevent boundary reflections from confusing the discharge-induced acoustic waves, a perfect matching layer is set up, which can act as an almost ideal acoustic wave absorber. The ambient temperature in the model is set to 300 K , and the initial value of acoustic pressure relative to the ambient pressure is 0.

4. Simulation Results and Discussion

4.1. Numerical Simulation of Corona Discharge

To facilitate the calculation, the initial electron number density is set to 10 10 m 3 , as it has been proven that the initial conditions only accelerate the pulse formation and do not alter the discharge characteristics [19]. The calculation result of the first positive corona discharge pulse waveform is shown in Figure 4 when a voltage of 3 kV is applied to the needle electrode. This current pulse starts to rapidly increase at time a at t = 35 ns as shown in the figure, reaches a peak of 25.6 mA at time t = 47 ns at time b, and then begins to decrease. At time t = 85 ns at time c, the current begins to stabilize, and no second pulse discharge occurs until the calculation time of 150 ns.
Figure 5 shows the two-dimensional spatial distribution of electric field intensity at different moments during the discharge process, demonstrating the development of the electric field during a single discharge pulse. Figure 5a shows that at t = 35 ns , the maximum electric field intensity at the needle tip reaches 57.4 kV / cm , which is much higher than the critical breakdown field strength of 29 kV / cm 2 in air, causing gas molecules at the tip to begin ionization. When the discharge progresses, the maximum electric field intensity moves towards the cathode, equivalent to the needle electrode advancing forward.
Figure 6 shows the two-dimensional spatial distribution of electron number density at different moments during the discharge process, depicting the variation in electron number density over time. Through analysis, it can be concluded that during the rising phase of the current from t = 35 ns to t = 47 ns , the peak value of electron number density increases. During the falling phase of the current from t = 47 ns to t = 85 ns , the peak value of the electron number density decreases, and the variation trend of electron number density peak value is consistent with that of current. Meanwhile, as shown in Figure 6, electrons are mainly concentrated near the axis from the needle electrode to the center of the plate. This is because during the discharge process, the electric field intensity along the axis is higher, and the ionization reaction is more intense.

4.2. Numerical Simulation of Acoustic Source Distribution

Based on the discharge field solution, the acoustic field generated by the first current pulse is solved to investigate the characteristics of acoustic wave excitation from a single corona discharge. During the discharge process, due to the maximum electric field intensity along the axis from the tip center to the electrode plate, the variation in electron density and electron temperature are most drastic along the axial direction. As a result, the interaction between electrons and neutral particles increases. Based on this, we first solve the intensity of the acoustic source along the axial direction.
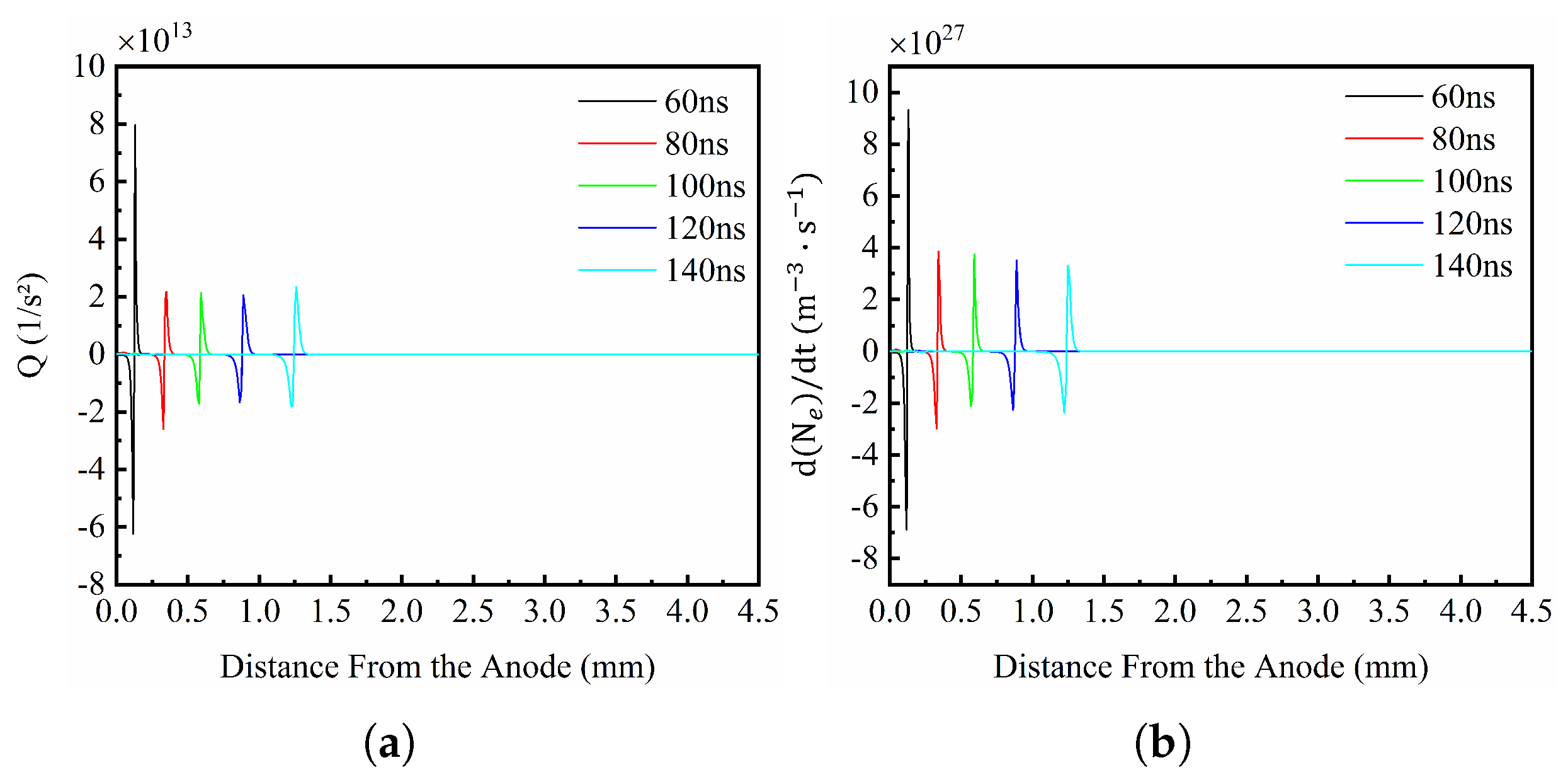
Figure 7 presents the variation in the acoustic source intensity over time at four positions: 0, 0.5, 1, and 1.2 mm away from the needle tip along the axial direction. As shown in Figure 7, the acoustic source at different positions exhibits a bipolar narrow-band pulse form, and within the calculation time of 150 ns, the acoustic source develops to a position 1.2 mm from the needle tip. Figure 8a displays the distribution of axial acoustic sources at different discharge moments, while Figure 8b shows the time derivative of the electron density over the axial cross-section. By comparing these two results, it is evident that they reveal a consistent trend, indicating that the change in electron density with time and space is a critical factor in the generation of acoustic waves during positive DC corona discharge.
To better understand the spatial distribution of acoustic source during the discharge process, as illustrated in Figure 9, parallel lines at 0.2 mm, 0.5 mm, and 1 mm from the center axis were selected to analyze the spatial distribution of the acoustic source during discharge, with calculation results shown in Figure 10. Analysis shows that the intensity of the acoustic source along the axis exceeds that at 0.2 mm off-axis by two orders of magnitude, 0.5 mm off-axis by ten orders of magnitude, and 1 mm off-axis by fourteen orders of magnitude. These results indicate that the closer the distance from the axis, the greater the electric field strength, and the stronger the acoustic source intensity. Therefore, when analyzing the excitation of acoustic waves by corona discharge, the acoustic source during the discharge process can be approximated as a point source continuously moving from the anode to the cathode with the development of the discharge channel. Furthermore, since the discharge development time is on the order of nanoseconds, it is far shorter than the time required for sound propagation, so the acoustic source can be approximated as the superposition of multiple point sources distributed along the axis, which is consistent with Zhang’s research [13].

4.3. Numerical Simulation of Acoustic Field

Based on the analysis of the distribution pattern of the acoustic sources mentioned above, the acoustic field excited by these sources is now solved. Since the acoustic field exhibits different characteristics as the discharge progresses, calculations of the acoustic field at multiple discharge moments are carried out to analyze the correlation between acoustic waves and discharge.
In the initial stage of discharge, as the discharge progresses, a comparison of the acoustic field distribution at t = 60 ns and t = 150 ns reveals that as the acoustic source develops, acoustic waves are excited sequentially from the anode to the cathode on the axis. At t = 150 ns, multiple acoustic waves are distributed along the axis, and the shape of the acoustic wave front is similar to that of the needle tip, which indicates that acoustic waves are generated throughout the entire discharge region as it develops, rather than being confined to the needle tip. Moreover, the discharge structure significantly influences the generation and propagation of acoustic waves. In practical detection, the influence of the discharge structure needs to be considered.
Next, the propagation process of acoustic signals in the acoustic field will be analyzed. As shown in Figure 11, with increasing propagation distance, the acoustic signals at t = 4 μ s and t = 10 μ s are centered around the excited acoustic source along the axis and expand outward in the form of spherical waves. Although the exciting acoustic sources are different due to the uneven change in electron density in the electric field, the superposition of acoustic waves excited by sources along the axis still exhibits regularity, which should be caused by the linear arrangement along the axis and extremely close distance of acoustic sources.
The acoustic field produced by multiple acoustic waves superimposed continues to expand over time in a spherical wave-like manner, with amplitude enhancement observed in specific directions.
To analyze the characteristics of acoustic waves excited by corona discharge, multiple monitoring points are set in the acoustic field, as shown in Figure 12. In the following sections, these monitoring points are denoted by letters A-I, and the changes in acoustic waves at the monitoring points over time are shown in Figure 13.
Firstly, the acoustic waves at points A to F along the axial direction are analyzed. Figure 13d–f represent the wave propagating along the needle towards the plate. This is similar to the situation where acoustic waves generated by corona sources on high-voltage transmission lines propagate vertically towards the ground. Figure 13d represents the acoustic wave at position D near the boundary of the discharge domain, showing that the acoustic signal is composed of multiple pulses. The reasons for the occurrence of multiple pulses are analyzed as follows. This phenomenon can be explained by the decomposition of the excitation source. Since the generation of each point acoustic source depends on the development of the discharge channel, there are differences in the generation time and intensity of different point acoustic sources. Additionally, due to the different spatial position of the acoustic source at each point, the propagation distance and the propagation time to the same monitoring point are also different. Under the combined effect of these two reasons, the acoustic waves received at a monitoring point are the superposition of multiple acoustic pulses with different arrival times and different amplitudes.
Figure 13e,f represent the acoustic waves at E and F, respectively. By comparing these two images, it can be found that the shape of the signal envelope has undergone certain changes. This is because the attenuation the of ultrasonic wave in the air medium is very large and exponentially decays with increasing frequency. Different center frequencies of pulses result in different attenuation coefficients in air, which can cause changes in the envelope shape of acoustic waves during propagaton.
Figure 13a–c show the waves propagating in the opposite direction as mentioned above. Compared with Figure 13e,f, the width of acoustic pulses shown in Figure 13a–c are almost the same, but due to the opposite propagation direction, there are significant differences in the envelopes. Comparing A and F, the two acoustic waves are approximately time-reversed.
Figure 13g represents acoustic waves propagating perpendicular to the direction of the discharge domain. Combined with Figure 11d, it can be observed that in this direction, acoustic wave amplitudes are superimposed, and the waveform in Figure 13g is similar to the superimposed waveform of a uniform line source in the axisymmetric direction. Compared with the acoustic waves propagating along the axial direction, this simulation result preliminarily indicates that acoustic waves generated by corona discharge exhibit directionality in the near field, but further analysis and research are required.
Figure 13h,i show acoustic waves at positions H and I. It is found that as the distance increases, acoustic waves continue to propagate in a multi-pulse form, but with significant amplitude attenuation. In future research, the influence of the needle tip structure should be considered for the further analysis of the directional pattern of acoustic waves generated in the discharge domain.
To analyze the frequency spectrum characteristics of acoustic waves generated by corona discharge, the frequency of acoustic waves at monitoring points D, E, and F along the path from the needle tip to the plate are analyzed, as shown in Figure 14. The highest peak in the spectrum appears at 14.6 kHz, within the audible frequency range. The second-highest peak occurs at 2.7 MHz, and the energy of the acoustic wave is mainly concentrated in the high-frequency range around 2.7 MHz. The results indicate that acoustic waves generated by corona discharge have multiple high-frequency components, with energy concentrated in the high-frequency range.

4.4. Discussion

This section provides a critical discussion of the simulation results by systematically comparing them against established experimental findings from the literature. This multi-faceted validation aims to establish the physical fidelity of our coupled electroacoustic model. The discussion is structured around three key aspects: the generation mechanism and source geometry, the acoustic waveform structure, and the frequency spectrum.
(1)
Generation Mechanism and Source Geometry
A fundamental assumption of our model is that sound waves are mainly generated by the energy transferred when electrons collide with neutral particles, and does not consider the momentum transferred by charged particles under electric field forces. This assumption is strongly supported by experimental evidence. For instance, Samara et al. [20] observed that inverting the applied voltage polarity did not invert the acoustic waveform. This crucial finding rules out momentum transfer as the dominant mechanism.
Furthermore, our simulation reveals that the acoustic source is not a static point, but rather a dynamic line source that evolves in space and time along the discharge path (as shown in Figure 8 and Figure 10). The acoustic waves generated by the discharge propagate outward, forming quasi-spherical wavefronts in the far field. These simulation results exhibit high consistency with experimental observations. Schlieren imaging by Li et al. [21] directly visualized the pressure wave originating from the entire length of the developing streamer channel, confirming the line source nature at the origin. The subsequent evolution into a spherical wave in the far field is also a well-documented experimental fact, observed through similar techniques by Ono and Oda [22].
(2)
Acoustic Waveform Structure
Our model also predicts that the acoustic signal received at any observation point is not a single clean pulse, but a complex waveform consisting of multiple overlapping oscillations (Figure 13). Importantly, the model clarifies the physical origin of this complexity: it results from the superposition of pressure waves emitted at different locations along the moving line source, which travel different paths and arrive at the sensor at slightly different times.
This complex structure is a hallmark of experimentally measured acoustic signals from partial discharge across various media. For example, the signals measured in transformer oil by Kweon et al. [15], in mineral oil by Mutakamihigashi et al. [23], and the typical waveforms reviewed by Ilkhechi and Samimi [4] all consistently show this multi-pulse, oscillatory nature. This correspondence extends to the signal’s timescale; for instance, the microsecond-scale duration of the signals measured by Kweon et al. [15] aligns remarkably well with the pulse durations generated by our simulation. This strong agreement validates that our model successfully captures a fundamental and universally observed characteristic of the PD acoustic signature.
(3)
The Frequency Spectrum
A key point for discussion is the frequency spectrum. Our simulation predicts a broadband spectrum containing significant high-frequency components up to the MHz range. This may appear to contradict many far field experimental studies that report dominant frequencies in the tens to hundreds of kHz range [24,25,26]. This apparent inconsistency is not a shortcoming of the model but can be quantitatively explained by the frequency-dependent acoustic attenuation in air. The acoustic attenuation coefficient α in air increases approximately with the square of the frequency α f 2 [27]. Under standard atmospheric conditions, this leads to a dramatic difference in attenuation: a 2.7 MHz wave (near our simulated peak) suffers a massive attenuation, whereas a 100 kHz wave experiences a much lower attenuation.
As a result, high-frequency components generated at the source are strongly attenuated over very short distances (on the order of centimeters), while lower frequency components can propagate much farther and dominate in the far field. Thus, our model correctly captures the broadband characteristics of the source, and acoustic propagation theory explains the low-frequency dominance in far field measurements.
Furthermore, this validated understanding offers a foundation for exploring the intrinsic link between discharge energy and acoustic spectra. Recent experiments by Zhou et al. [24,25] and Mutakamihigashi et al. [23] have independently reported an inverse correlation between discharge energy and characteristic acoustic frequencies. By directly relating the acoustic source to the spatiotemporal evolution of electron density and temperature, which are key microscopic parameters governing discharge energy, our model opens a new avenue to investigate this important energy–frequency relationship
In summary, through systematic comparisons with a broad range of experimental data, we have demonstrated that our model effectively captures essential physical aspects of corona-induced acoustics—including the generation mechanism, source geometry, waveform structure, and spectral properties. These results confirm that the proposed model is a reliable and useful tool for studying partial discharge phenomena.

5. Conclusions

Based on Ingard’s theoretical model, this paper sets up a numerical model for simulating the acoustic wave generated by DC corona discharge and analyzes the distribution of acoustic sources and fields during a single-pulse process. The correlation between the micro discharge process and the acoustic waves generation process is analyzed. The results showed the following:
(1)
During the positive DC corona discharge process, the variation in electron density over time and space plays a primary role in the generation of acoustic waves.
(2)
The generation of the acoustic source is related to the development of the discharge channel during the discharge process. The acoustic source can be considered as a linear source distributed along the axis of the needle electrode to the plate electrode.
(3)
The acoustic field generated by the discharge domain acoustic source is superimposed and expands over time in an approximately spherical wave form, but there is an amplitude enhancement phenomenon in specific directions.
(4)
The acoustic signals generated by discharge are composed of multiple acoustic pulses, and the envelope of the acoustic wave shows regularity in the direction of propagation from the needle tip to the electrode.
(5)
The acoustic waves generated by corona discharge are broadband signals, and the energy is mainly concentrated in the ultrasonic frequency range.
The strong agreement between these findings and a wide range of experimental observations reported in the literature substantiates the utility of the proposed model. This work provides not only a theoretical basis for the quantitative detection of partial discharge using acoustic methods but also a validated numerical tool for further investigation.
In the next step of research, we shall first validate our model through experimentation. A dedicated experiment is planned, which will replicate the simulated needle plate geometry and discharge conditions. Using a broadband ultrasonic transducer mounted on a high-precision translation stage, we will systematically map the acoustic field and perform a direct, quantitative comparison between measured and simulated waveforms in both the time and frequency domains.
It is also important to acknowledge the scope and limitations of the present study, which point to clear directions for future enhancement. Firstly, our analysis is confined to a single discharge event and does not yet address the long-term cumulative impacts of repeated discharges, such as electrode surface alteration. Secondly, a comprehensive sensitivity analysis to evaluate the model’s robustness against uncertainties in plasma parameters remains a key objective for future work. These aspects represent the primary focus of our ongoing research efforts to further refine the model.

Author Contributions

Conceptualization, Z.L. and X.W.; methodology, Z.L. and T.L.; software, Z.L.; validation, W.D. and B.A.; formal analysis, B.A.; investigation, B.A.; resources, Z.L.; data curation, W.D.; writing—original draft preparation, Z.L.; writing—review and editing, Z.L. and X.W.; visualization, T.L.; supervision, T.L.; project administration, X.W. All authors have read and agreed to the published version of the manuscript.

Funding

This work was supported by the Science and Technology Support Plan Project in Guizhou Province.

Institutional Review Board Statement

Not applicable.

Informed Consent Statement

Not applicable.

Data Availability Statement

The data underlying the results presented in this paper may be obtained from the authors upon reasonable request.

Conflicts of Interest

The authors declare no conflicts of interest.

References

  1. Kaziz, S.; Said, M.H.; Imburgia, A.; Maamer, B.; Flandre, D.; Romano, P.; Tounsi, F. Radiometric partial discharge detection: A review. Energies 2023, 16, 1978. [Google Scholar] [CrossRef]
  2. Rathod, V.B.; Kumbhar, G.B.; Bhalja, B.R. Partial discharge detection and localization in power transformers based on acoustic emission: Theory, methods, and recent trends. IETE Tech. Rev. 2022, 39, 540–552. [Google Scholar] [CrossRef]
  3. Yaacob, M.; Alsaedi, M.A.; Rashed, J.; Dakhil, A.; Atyah, S. Review on partial discharge detection techniques related to high voltage power equipment using different sensors. Photonic Sens. 2014, 4, 325–337. [Google Scholar] [CrossRef]
  4. Ilkhechi, H.D.; Samimi, M.H. Applications of the acoustic method in partial discharge measurement: A review. IEEE Trans. Dielectr. Electr. Insul. 2021, 28, 42–51. [Google Scholar] [CrossRef]
  5. Jiang, Y.; Wang, L.; Ren, X.; Wu, F.; Song, J.; Zhang, J. Partial discharge monitoring method for high voltage equipment based on ultrasound technology. In Proceedings of the 2019 IEEE 2nd International Conference on Electronic Information and Communication Technology (ICEICT), Harbin, China, 20–22 January 2019; IEEE: New York, NY, USA, 2019; pp. 853–856. [Google Scholar] [CrossRef]
  6. Pan, W.; Zhao, K.; Xie, C.; Li, X.; Chen, J.; Hu, L. Distributed online monitoring method and application of cable partial discharge based on φ-OTDR. IEEE Access 2019, 7, 144444–144450. [Google Scholar] [CrossRef]
  7. Jiang, J.; Wu, K.; Wu., X.; Ma, G.; Zhang, C. Characteristics of the propagation of partial discharge ultrasonic signals on a transformer wall based on Sagnac interference. Plasma Sci. Technol. 2019, 22, 024002. [Google Scholar] [CrossRef]
  8. Bastien, F. Acoustics and gas discharges: Applications to loudspeakers. J. Phys. D Appl. Phys. 1987, 20, 1547. [Google Scholar] [CrossRef]
  9. Ingard, U. Acoustic wave generation and amplification in a plasma. Phys. Rev. 1966, 145, 41. [Google Scholar] [CrossRef]
  10. Fitaire, M.; Mantei, T. Acoustic wave generation by temperature modulation of a plasma. Phys. Lett. A 1969, 29, 84–85. [Google Scholar] [CrossRef]
  11. Fitaire, M.; Mantei, T. Some experimental results on acoustic wave propagation in a plasma. Phys. Fluids 1972, 15, 464–469. [Google Scholar] [CrossRef]
  12. Béquin, P.; Montembault, V.; Herzog, P. Modelling of negative point-to-plane corona loudspeaker. Eur. Phys. J.-Appl. Phys. 2001, 15, 57–67. [Google Scholar] [CrossRef]
  13. Zhang, B.; Li, Z.; He, J. A numerical model of acoustic wave caused by a single positive corona source. Phys. Plasmas 2017, 24. [Google Scholar] [CrossRef]
  14. Li, X.; Cui, X.; Lu, T.; Wang, D. Propagation characteristics of audible noise generated by single corona source under positive DC voltage. AIP Adv. 2017, 7, 105005. [Google Scholar] [CrossRef]
  15. Kweon, D.J.; Chin, S.B.; Kwak, H.R.; Kim, J.C.; Song, K.B. The analysis of ultrasonic signals by partial discharge and noise from the transformer. IEEE Trans. Power Deliv. 2005, 20, 1976–1983. [Google Scholar] [CrossRef]
  16. Yi, Y.; Zhang, C.; Wang, L. Time-domain performance of audible noise for positive dc corona: Numerical simulations and measurements. IEEE Trans. Dielectr. Electr. Insul. 2017, 23, 3275–3282. [Google Scholar] [CrossRef]
  17. Li, X.; Cui, X.; Lu, T.; Ma, W.; Bian, X.; Wang, D.; Hiziroglu, H. Statistical characteristic in time-domain of direct current corona-generated audible noise from conductor in corona cage. Phys. Plasmas 2016, 23, 033503. [Google Scholar] [CrossRef]
  18. Kacem, S.; Ducasse, O.; Eichwald, O.; Yousfi, M.; Meziane, M.; Sarrette, J.P.; Charrada, K. Simulation of expansion of thermal shock and pressure waves inducaed by a streamer dynamics in positive dc corona discharges. IEEE Trans. Plasma Sci. 2013, 41, 942–947. [Google Scholar] [CrossRef]
  19. Liao, R.-J.; Wu, F.-F.; Liu, X.-H.; Yang, F.; Yang, L.-J.; Zhou, Z.; Zhai, L. Numerical simulation of transient space charge distribution of DC positive corona discharge under atmospheric pressure air. Acta Phys. Sin. 2012, 61, 2665923. [Google Scholar] [CrossRef]
  20. Samara, V.; Sutton, Y.; Braithwaite, N.; Ptasinska, S. Acoustic characterization of atmospheric-pressure dielectric barrier discharge plasma jets. Eur. Phys. J. D 2020, 74, 169. [Google Scholar] [CrossRef]
  21. Li, H.; Li, Y.; Wang, X.; Zou, X.; Wang, P.; Luo, H. Investigation of the microsecond-pulse acoustic wave generated by a single nanosecond-pulse discharge. Phys. Plasmas 2022, 29, 053508. [Google Scholar] [CrossRef]
  22. Ono, R.; Oda, T. Visualization of Streamer Channels and Shock Waves Generated by Positive Pulsed Corona Discharge Using Laser Schlieren Method. Jpn. J. Appl. Phys. 2004, 43, 321. [Google Scholar] [CrossRef]
  23. Mutakamihigashi, T.; Tajiri, S.; Okada, S.; Ueno, H. Relationship between AE waveform frequency and the charges caused by partial discharge in mineral oil. IEEE Trans. Dielectr. Electr. Insul. 2021, 28, 1844–1847. [Google Scholar] [CrossRef]
  24. Zhou, J.; Wu, Z.; Luo, Y.; Zhou, C.; Wang, J.; Zhang, Q. Acoustic mode transition of creeping discharge from oil–paper interface to interior of insulating paper. IEEE Trans. Dielectr. Electr. Insul. 2025. [Google Scholar] [CrossRef]
  25. Zhou, J.; Wu, Z.; Zhu, J.; Xu, H.; Wang, J.; Zhang, Q. Electroacoustic transition of partial discharge in insulating oil: From the correlation of acoustic wave and discharge energy. IEEE Trans. Dielectr. Electr. Insul. 2024, 31, 3092–3099. [Google Scholar] [CrossRef]
  26. Park, D.W.; Choi, S.Y.; Kil, G.S. Measurement and analysis of acoustic signal generated by partial discharges in insulation oil. In Proceedings of the 7th WSEAS International Conference on Electric Power Systems, Venice, Italy, 23–23 November 2007; pp. 272–275. Available online: https://www.researchgate.net/publication/237456539 (accessed on 26 October 2025).
  27. Kurimskỳ, J.; Rajňák, M.; Šárpataky, M.; Čonka, Z.; Paulovičová, K. Electrical and acoustic investigation of partial discharges in two types of nanofluids. J. Mol. Liq. 2021, 341, 117444. [Google Scholar] [CrossRef]
Figure 1. (a) Schematic diagrams of the needle-plate positive corona discharge and (b) the computational domain.
Figure 1. (a) Schematic diagrams of the needle-plate positive corona discharge and (b) the computational domain.
Applsci 15 11611 g001
Figure 2. Configuration of mesh partition.
Figure 2. Configuration of mesh partition.
Applsci 15 11611 g002
Figure 3. (a) Schematic diagrams of acoustic field and (b) the computational domain.
Figure 3. (a) Schematic diagrams of acoustic field and (b) the computational domain.
Applsci 15 11611 g003
Figure 4. Waveform of corona pulse current.
Figure 4. Waveform of corona pulse current.
Applsci 15 11611 g004
Figure 5. Electric field distribution (kV/cm) over the axial cross-section.
Figure 5. Electric field distribution (kV/cm) over the axial cross-section.
Applsci 15 11611 g005
Figure 6. Electron density (logarithm base 10) distribution (cm−3) over the axial cross-section.
Figure 6. Electron density (logarithm base 10) distribution (cm−3) over the axial cross-section.
Applsci 15 11611 g006
Figure 7. Temporal evolution of the acoustic source intensity (Q) at different axial distances (d) from the tip: (a) d = 0 mm; (b) d = 0.5 mm; (c) d = 1 mm; (d) d = 1.2 mm.
Figure 7. Temporal evolution of the acoustic source intensity (Q) at different axial distances (d) from the tip: (a) d = 0 mm; (b) d = 0.5 mm; (c) d = 1 mm; (d) d = 1.2 mm.
Applsci 15 11611 g007
Figure 8. (a) Acoustic source distribution over the axial cross-section and (b) derivative of the electron density over the axial cross-section.
Figure 8. (a) Acoustic source distribution over the axial cross-section and (b) derivative of the electron density over the axial cross-section.
Applsci 15 11611 g008
Figure 9. Parallel lines at different distances from the axis.
Figure 9. Parallel lines at different distances from the axis.
Applsci 15 11611 g009
Figure 10. Acoustic source at different positions from the axis: (a) r = 0 mm; (b) r = 0.2 mm; (c) r = 0.5 mm; (d) r = 1 mm.
Figure 10. Acoustic source at different positions from the axis: (a) r = 0 mm; (b) r = 0.2 mm; (c) r = 0.5 mm; (d) r = 1 mm.
Applsci 15 11611 g010
Figure 11. Two-dimensional distribution of acoustic wave propagation.
Figure 11. Two-dimensional distribution of acoustic wave propagation.
Applsci 15 11611 g011
Figure 12. The locations of acoustic monitoring points. The letters A through I indicate the monitoring points, with their respective coordinates (r, z) in mm: A(0, 9), B(0, 8), C(0, 6), D(0, 3), E(0, 2), F(0, 0), G(3, 3.9), H(5, 7) and I(5, 0).
Figure 12. The locations of acoustic monitoring points. The letters A through I indicate the monitoring points, with their respective coordinates (r, z) in mm: A(0, 9), B(0, 8), C(0, 6), D(0, 3), E(0, 2), F(0, 0), G(3, 3.9), H(5, 7) and I(5, 0).
Applsci 15 11611 g012
Figure 13. Acoustic source at different positions from the axis.
Figure 13. Acoustic source at different positions from the axis.
Applsci 15 11611 g013
Figure 14. Spectrogram of sound waves at different monitoring points.
Figure 14. Spectrogram of sound waves at different monitoring points.
Applsci 15 11611 g014
Table 1. Mesh statistics.
Table 1. Mesh statistics.
Mesh ParameterStatistical Results
Triangular elements108,559
Edge elements825
Minimum element quality0.1945
Average element quality0.9241
Element area ratio 3.087 × 10 4
Table 2. Boundary conditions of model.
Table 2. Boundary conditions of model.
Boundary Conditions n e n p n n Applied Voltage
Axis n e r = 0 n p r = 0 n n r = 0 V r = 0
Needle Electrode n · ( D e n e ) = 0 n · ( D p n p ) = 0 n n = 0 V = 3 kV
Open Boundary n · ( D e n e ) = 0 n · ( D p n p ) = 0 n · ( D n n n ) = 0 n · ( ϵ 0 ϵ r E ) = 0
Plate Electrode n e ω e D e n e = γ n p ω p n p = 0 n · ( D n n n ) = 0 V = 0
Disclaimer/Publisher’s Note: The statements, opinions and data contained in all publications are solely those of the individual author(s) and contributor(s) and not of MDPI and/or the editor(s). MDPI and/or the editor(s) disclaim responsibility for any injury to people or property resulting from any ideas, methods, instructions or products referred to in the content.

Share and Cite

MDPI and ACS Style

Li, Z.; Wu, X.; Leng, T.; An, B.; Dong, W. Mechanism and Simulation Analysis of Acoustic Wave Excitation by Partial Discharge. Appl. Sci. 2025, 15, 11611. https://doi.org/10.3390/app152111611

AMA Style

Li Z, Wu X, Leng T, An B, Dong W. Mechanism and Simulation Analysis of Acoustic Wave Excitation by Partial Discharge. Applied Sciences. 2025; 15(21):11611. https://doi.org/10.3390/app152111611

Chicago/Turabian Style

Li, Ziqi, Xianmei Wu, Tao Leng, Bingwen An, and Wei Dong. 2025. "Mechanism and Simulation Analysis of Acoustic Wave Excitation by Partial Discharge" Applied Sciences 15, no. 21: 11611. https://doi.org/10.3390/app152111611

APA Style

Li, Z., Wu, X., Leng, T., An, B., & Dong, W. (2025). Mechanism and Simulation Analysis of Acoustic Wave Excitation by Partial Discharge. Applied Sciences, 15(21), 11611. https://doi.org/10.3390/app152111611

Note that from the first issue of 2016, this journal uses article numbers instead of page numbers. See further details here.

Article Metrics

Back to TopTop