Sign in to use this feature.

Years

Between: -

Subjects

remove_circle_outline
remove_circle_outline
remove_circle_outline
remove_circle_outline
remove_circle_outline
remove_circle_outline
remove_circle_outline
remove_circle_outline
remove_circle_outline

Journals

remove_circle_outline
remove_circle_outline
remove_circle_outline
remove_circle_outline
remove_circle_outline
remove_circle_outline
remove_circle_outline
remove_circle_outline
remove_circle_outline
remove_circle_outline
remove_circle_outline
remove_circle_outline
remove_circle_outline
remove_circle_outline
remove_circle_outline
remove_circle_outline
remove_circle_outline

Article Types

Countries / Regions

remove_circle_outline
remove_circle_outline
remove_circle_outline
remove_circle_outline
remove_circle_outline
remove_circle_outline
remove_circle_outline

Search Results (2,944)

Search Parameters:
Keywords = effective contact angle

Order results
Result details
Results per page
Select all
Export citation of selected articles as:
18 pages, 5645 KB  
Article
Cost-Effective and Durable Ceramic Membrane: Fabrication and Performance Optimization
by Ahmed H. El-Shazly and Yomna A. Fahmy
Membranes 2025, 15(10), 307; https://doi.org/10.3390/membranes15100307 - 9 Oct 2025
Abstract
The main objective of this work is to develop a cost-effective and durable ceramic membrane for water purification. The low-cost ceramic membrane was fabricated using readily available materials, such as clays, aluminum oxide, and calcium carbonate, The membrane was fabricated by uniaxial pressing [...] Read more.
The main objective of this work is to develop a cost-effective and durable ceramic membrane for water purification. The low-cost ceramic membrane was fabricated using readily available materials, such as clays, aluminum oxide, and calcium carbonate, The membrane was fabricated by uniaxial pressing at different pressures and sintering temperatures, then tested using a scanning electron microscope (SEM) and XRD. The porosity of the resulting membrane was 38.7%, and the contact angle was 65° indicating good hydrophilicity for filtration applications. The main composition was 70% clay, 25% CaCO3, and 5% alumina. The removal % for methylene blue was tested at varying concentrations, achieving up to 99% removal, an initial flux of 496.8 L m−2 h−1, and an average pore size of 2 µm. Furthermore, the research explores the effect of backwashing cycles and techniques on the membrane long-term performance. The results indicated that washing the membrane for four cycles to cleanness has achieved an improved efficiency of the membrane and % dye rejection. Back washing was achieved using no chemicals; only distilled water and drying were used. A preliminary costs assessment of the production for affordable membrane resulted in a value of 170 USD/m2. The findings demonstrate that optimizing backwashing cycles is essential for prolonging the membrane lifespan and lowering operation costs. Full article
(This article belongs to the Special Issue Ceramic Membranes for Wastewater and Water Reuse (2nd Edition))
Show Figures

Figure 1

23 pages, 6199 KB  
Article
Climbing Tests and Dynamic Simulation of a Cable-Climbing Mechanism for Stay Cable De-Icing Robot
by Yaoyao Pei, Yayu Li, Zhi Chen, Henglin Xiao, Silu Huang and Changjie Li
Appl. Sci. 2025, 15(19), 10822; https://doi.org/10.3390/app151910822 - 9 Oct 2025
Abstract
In winter, stay cable sheaths are prone to icing, which increases cable loads and poses a falling-ice hazard upon thawing. While manual and chemical de-icing are common methods, their safety and cost drawbacks make robotic de-icing a promising alternative. Robotic de-icing offers a [...] Read more.
In winter, stay cable sheaths are prone to icing, which increases cable loads and poses a falling-ice hazard upon thawing. While manual and chemical de-icing are common methods, their safety and cost drawbacks make robotic de-icing a promising alternative. Robotic de-icing offers a promising alternative. However, to protect the sheath from damage, the de-icing blade is designed to minimize contact with its surface. Consequently, a thin layer of residual ice is often left behind, which reduces the surface friction coefficient and complicates the climbing process. This study evaluates the climbing performance of a self-manufactured cable-climbing mechanism through laboratory tests and dynamic simulations (ADAMS). A physical prototype was built, and dynamic simulations of the cable-climbing mechanism were conducted using Automated Dynamic Analysis of Mechanical Systems (ADAMS) software. The preliminary validation results demonstrate that the mechanism is capable of maintaining stable climbing under extreme conditions, including a friction coefficient of 0.12 to reflect thin-ice variability and indicated stable climbing even at μ = 0.12), a vertical inclination of 90°, and a load of 12 kg, confirming the design’s validity. Furthermore, we analyzed key parameters. A lower friction coefficient requires a higher clamping force and adversely affects the climbing speed due to increased slip. Similarly, an increased payload elevates the mechanism’s deflection angle, spring force, and wheel torque, which in turn reduces the climbing speed. Cable inclination has a complex effect: deflection decreases with slope, yet clamping force peaks near 70°, showing a bell-shaped trend. This peak requirement dictated the damping spring selection, which was given a safety margin. This ensures safe operation and acceleration at all other angles. Limitations: The present results constitute a feasibility validation under controlled laboratory conditions and rigid-support simulations. The long-term effects of residual ice and field performance remain to be confirmed in planned field trials. Full article
Show Figures

Figure 1

17 pages, 5705 KB  
Article
Self-Assembled Monolayers of Various Alkyl-Phosphonic Acids on Bioactive FHA Coating for Improving Surface Stability and Corrosion Resistance of Biodegradable AZ91D Mg Alloy
by Chung-Wei Yang and Peng-Hsiu Li
Materials 2025, 18(19), 4633; https://doi.org/10.3390/ma18194633 - 8 Oct 2025
Abstract
The aim of present study is to deposit protective coatings with various surface chemical states on AZ91D Mg alloy. Hydrothermal bioactive ceramic coatings are performed with a surface modification by the chemical bonding of self-assembled monolayers (SAM). The electrochemical corrosion behaviors of various [...] Read more.
The aim of present study is to deposit protective coatings with various surface chemical states on AZ91D Mg alloy. Hydrothermal bioactive ceramic coatings are performed with a surface modification by the chemical bonding of self-assembled monolayers (SAM). The electrochemical corrosion behaviors of various surface-coated AZ91D alloy within DMEM cell culture medium related to their surface chemical states are evaluated through microstructure observations, XPS surface chemical bonding analysis, static contact angles measurements, potentiodynamic polarization curves, and immersion tests. XRD and high resolution XPS of F 1s analysis results show that the hydrothermal FHA coating with a phase composition of Ca10(PO4)6(OH)F can be effectively and uniformly deposited on the AZ91D alloy. FHA-coated AZ91D displays better anti-corrosion performances and lower degradation rates than those of uncoated AZ91D alloy in the DMEM solution. Through the high resolution XPS analysis of O 1s and P 2p spectra, it is demonstrated that 1-butylphosphonic acid (BP), 1 octylphosphonic acid (OP), and dodecylphosphonic acid (DP) molecules can be effectively bonded on the FHA surface by a covalent bond to form SAM. BP/OP/DP-SAM specimens display increased static contact angles to show a hydrophobic surface. It demonstrates that the SAM surface treatment can further enhance the corrosion resistance of FHA-coated AZ91D in the DMEM solution. After 2–16 days in vitro immersion tests in the DMEM, the surface SAM-bonded hydrophobic BP/OP/DP-SAM layers can effectively inhibit and reduce the penetration of DMEM into FHA coating. Long alkyl chains of the dodecylphosphonic acid (DP) SAM represents superior enhancing effects on the reduction of corrosion properties and weight loss. Full article
(This article belongs to the Special Issue Corrosion Resistance and Protection of Metal Alloys)
Show Figures

Figure 1

23 pages, 4283 KB  
Article
Synergistic Regulation of δ-MnO2 Cathode via Crystal Engineering and pH Buffering for Long-Cycle Aqueous Zinc-Ion Batteries
by Fan Zhang, Haotian Yu, Qiongyue Zhang, Yahao Wang, Haodong Ren, Huirong Liang, Jinrui Li, Yuanyuan Feng, Bin Zhao and Xiaogang Han
Materials 2025, 18(19), 4632; https://doi.org/10.3390/ma18194632 - 8 Oct 2025
Abstract
Aqueous zinc-ion batteries (ZIBs) have emerged as a promising candidate for large-scale energy storage due to their inherent safety, low cost, and environmental friendliness. However, manganese dioxide (MnO2)-based cathodes, which are widely studied for ZIBs owing to their high theoretical capacity [...] Read more.
Aqueous zinc-ion batteries (ZIBs) have emerged as a promising candidate for large-scale energy storage due to their inherent safety, low cost, and environmental friendliness. However, manganese dioxide (MnO2)-based cathodes, which are widely studied for ZIBs owing to their high theoretical capacity and low cost, face severe capacity fading issues that hinder the commercialization of ZIBs. This performance degradation mainly stems from the weak van der Waals forces between MnO2 layers leading to structural collapse during repeated Zn2+ insertion and extraction; it is also exacerbated by irreversible Mn dissolution via Mn3+ disproportionation that depletes active materials, and further aggravated by dynamic electrolyte pH fluctuations promoting insulating zinc hydroxide sulfate (ZHS) formation to block ion diffusion channels. To address these interconnected challenges, in this study, a synergistic strategy was developed combining crystal engineering and pH buffer regulation. We synthesized three MnO2 polymorphs (α-, δ-, γ-MnO2), identified δ-MnO2 with flower-like microspheres as optimal, and introduced sodium dihydrogen phosphate (NaH2PO4) as a pH buffer (stabilizing pH at 2.8 ± 0.2). The modified electrolyte improved δ-MnO2 wettability (contact angle of 17.8° in NaH2PO4-modified electrolyte vs. 26.1° in base electrolyte) and reduced charge transfer resistance (Rct = 78.17 Ω), enabling the optimized cathode to retain 117.25 mAh g−1 (82.16% retention) after 2500 cycles at 1 A g−1. This work provides an effective strategy for stable MnO2-based ZIBs, promoting their application in renewable energy storage. Full article
(This article belongs to the Section Energy Materials)
Show Figures

Figure 1

14 pages, 1108 KB  
Article
Comparative Study of Seal Strength and Mechanical Behavior of Untreated and Corona-Treated Polymer Films
by Zuzanna Żołek-Tryznowska, Kamila Cudna and Mariusz Tryznowski
Processes 2025, 13(10), 3190; https://doi.org/10.3390/pr13103190 - 8 Oct 2025
Abstract
Corona treatment is commonly used in industry to enhance the surface-free energy of plastic films. However, corona treatment may cause some undesirable effects affecting further processing, such as sealing. In this paper, we deeply analyze the corona treatment effect on selected properties of [...] Read more.
Corona treatment is commonly used in industry to enhance the surface-free energy of plastic films. However, corona treatment may cause some undesirable effects affecting further processing, such as sealing. In this paper, we deeply analyze the corona treatment effect on selected properties of various polymer films commonly used in packaging applications. The films were treated at two power levels (100 W and 300 W), and the experimental design included surface characterization and mechanical testing to assess changes in wettability, chemical structure, and seal strength. The Owens–Wendt approach confirmed the corona treatment effect by static contact angle measurement and surface free energy calculation. Next, their seal strength was evaluated in relation to surface energy and chemical structure changes. FTIR spectroscopy was used to identify functional groups potentially affected by corona treatment. The results indicate that the impact of corona treatment is material-dependent. In general, corona treatment at a lower level increases the seal strength, while corona treatment at a higher power level is related to a decrease in seal strength. The study highlights the importance of optimizing corona treatment parameters for specific materials to enhance seal performance without compromising surface integrity. Full article
(This article belongs to the Section Materials Processes)
Show Figures

Figure 1

20 pages, 2712 KB  
Article
Numerical Simulation of Supercooled Droplet Impact with a Velocity-Gated Darcy Source
by Yiyao Wang, Xingliang Jiang, Linghao Wang, Rufan Cui, Pengyu Chen and Xuan Wang
Aerospace 2025, 12(10), 902; https://doi.org/10.3390/aerospace12100902 - 7 Oct 2025
Abstract
The impact freezing of supercooled water droplets poses a significant threat to the safety of aircraft and power transmission equipment. In recent years, extensive research has been conducted using numerical methods to investigate this phenomenon. However, existing models often incorrectly predict premature freezing [...] Read more.
The impact freezing of supercooled water droplets poses a significant threat to the safety of aircraft and power transmission equipment. In recent years, extensive research has been conducted using numerical methods to investigate this phenomenon. However, existing models often incorrectly predict premature freezing near the droplet–air contact line during the early stage of impact, thereby unreasonably suppressing the spreading process in these regions. To address this limitation, this study proposes a velocity-gate-based activation control strategy for the Darcy momentum source, enabling its dynamic adjustment during simulation. The methodology integrates the Volume of Fluid (VOF) model, the solidification model, and the dynamic contact angle (DCA) model with the proposed dynamic Darcy source, while accounting for the influence of supercooling on physical properties. The numerical simulations are performed using COMSOL Multiphysics 6.3 and validated against experimental spreading factor data. The results demonstrate that the proposed methodology effectively eliminates nonphysical freezing during the initial spreading stage, and the predicted spreading factors agree well with experiments, with a maximum relative deviation of up to 11.7% across all simulated cases. The proposed approach improves consistency with real-world behavior and enhances the reliability of existing numerical tools for aircraft icing prediction and anti-icing design. Full article
(This article belongs to the Section Aeronautics)
Show Figures

Figure 1

16 pages, 9917 KB  
Article
Controlled Hydrophilic–Hydrophobic Transition of PET Films via Fluorination and Drying
by Zhipeng He, Jae-Ho Kim and Susumu Yonezawa
Physchem 2025, 5(4), 43; https://doi.org/10.3390/physchem5040043 - 7 Oct 2025
Viewed by 32
Abstract
Polyethylene terephthalate (PET) films were modified by direct fluorination using fluorine gas at room temperature and 660 torr for reaction times ranging from 10 min to 5 h. Some of the fluorinated samples were dried at 70 °C for 7 days. FT-IR and [...] Read more.
Polyethylene terephthalate (PET) films were modified by direct fluorination using fluorine gas at room temperature and 660 torr for reaction times ranging from 10 min to 5 h. Some of the fluorinated samples were dried at 70 °C for 7 days. FT-IR and XPS analyses confirmed the successful incorporation of fluorine into the PET structure, with the formation of -CHF- and -CF2- groups. The degree of fluorination increased with the reaction time, but excessive reaction led to the formation and loss of CF4. Drying further decreased the fluorine content due to the continued CF4 formation. XRD revealed that fluorination increased the crystallinity of PET owing to increased polarity, whereas drying decreased the crystallinity owing to increased crosslinking. The DSC results showed an increase in the glass transition temperature (Tg) after fluorination and drying, which was attributed to increased polarity and crosslinking, respectively. The surface hydrophilicity of PET increased significantly with fluorination time, and the water contact angle decreased to as low as 3.35°. This was due to the introduction of polar fluorine atoms and the development of a rough and porous surface morphology, as observed by AFM. Interestingly, drying of the fluorinated samples led to an increase in the water contact angle, with a maximum of 85.95°, owing to increased crosslinking and particle formation on the surface. This study demonstrates a simple and effective method for controlling the hydrophilicity and hydrophobicity of PET surfaces via direct fluorination and drying. Full article
(This article belongs to the Section Surface Science)
Show Figures

Graphical abstract

14 pages, 3409 KB  
Article
Synergistic ATO/SiO2 Composite Coatings for Transparent Superhydrophobic and Thermal-Insulating Performance
by Guodong Qin, Lei Li and Qier An
Coatings 2025, 15(10), 1160; https://doi.org/10.3390/coatings15101160 - 4 Oct 2025
Viewed by 237
Abstract
Multifunctional coatings integrating high transparency, thermal insulation, and self-cleaning properties are critically needed for optical devices and energy-saving applications, yet simultaneously optimizing these functions remains challenging due to material and structural limitations. This study designed a superhydrophobic transparent thermal insulation coating via synergistic [...] Read more.
Multifunctional coatings integrating high transparency, thermal insulation, and self-cleaning properties are critically needed for optical devices and energy-saving applications, yet simultaneously optimizing these functions remains challenging due to material and structural limitations. This study designed a superhydrophobic transparent thermal insulation coating via synergistic co-construction of micro–nano structures using antimony-doped tin oxide (ATO) and SiO2 nanoparticles dispersed in an epoxy resin matrix, with surface modification by perfluorodecyltriethoxysilane (PFDTES) and γ-glycidyl ether oxypropyltrimethoxysilane (KH560). The optimal superhydrophobic transparent thermal insulating (SHTTI) coating, prepared with 0.6 g SiO2 and 0.8 g ATO (SHTTI-0.6-0.8), achieved a water contact angle (WCA) of 162.4°, sliding angle (SA) of 3°, and visible light transmittance of 72% at 520 nm. Under simulated solar irradiation, it reduced interior temperature by 7.3 °C compared to blank glass. The SHTTI-0.6-0.8 coating demonstrated robust mechanical durability by maintaining superhydrophobicity through 40 abrasion cycles, 30 tape-peel tests, and sand impacts, combined with chemical stability, effective self-cleaning capability, and exceptional anti-icing performance that prolonged freezing time to 562 s versus 87 s for blank glass. This work provides a viable strategy for high-performance multifunctional coatings through rational component ratio optimization. Full article
(This article belongs to the Section Surface Characterization, Deposition and Modification)
Show Figures

Figure 1

20 pages, 5885 KB  
Article
Geometric Design and Basic Feature Analysis of Double Helical Face Gears
by Xiaomeng Chu and Faqiang Chen
Machines 2025, 13(10), 912; https://doi.org/10.3390/machines13100912 - 3 Oct 2025
Viewed by 215
Abstract
This study aims to address the problem that traditional helical gears generate significant axial forces during transmission and innovatively proposes a design scheme of double helical face gears (DHFG). An accurate mathematical model of the tooth surface is established using spatial meshing theory [...] Read more.
This study aims to address the problem that traditional helical gears generate significant axial forces during transmission and innovatively proposes a design scheme of double helical face gears (DHFG). An accurate mathematical model of the tooth surface is established using spatial meshing theory and coordinate transformation. A systematic investigation using the orthogonal test method is then conducted to analyze the influence of key parameters, such as the pinion tooth number, transmission ratio, and helix angle, on gear performance. The finite element analysis results show that the overlap degree of this double helical tooth surface gear pair in actual transmission can reach 2–3, demonstrating excellent transmission smoothness. More importantly, its unique symmetrical tooth surface structure successfully achieves the self-balancing effect of axial force. Simulation verification shows that the axial force is reduced by approximately 70% compared to traditional helical tooth surface gears, significantly reducing the load on the bearing. Finally, the prototype gear is successfully trial-produced through a five-axis machining center. Experimental tests confirmed that the contact impressions are highly consistent with the simulation results, verifying the feasibility of the design theory and manufacturing process. Full article
(This article belongs to the Section Machine Design and Theory)
Show Figures

Figure 1

21 pages, 5507 KB  
Article
Exploring the Effect of the Porogenic Agent on Flat Membranes Based on Polyamide 6 (PA6)/Carbon Nanotubes (MWCNT) Nanocomposites
by Clara Maria Marinho Serafim, Renê Anísio da Paz, Rafael Agra Dias, Vanessa da Nóbrega Medeiros, Pamela Thainara Vieira da Silva, Carlos Bruno Barreto Luna, Renate Maria Ramos Wellen and Edcleide Maria Araújo
Processes 2025, 13(10), 3155; https://doi.org/10.3390/pr13103155 - 2 Oct 2025
Viewed by 346
Abstract
Polymeric membranes are a highly viable technology for wastewater treatment, water purification, and other filtration operations. Accordingly, flat membranes were developed from extruded nanocomposites of polyamide 6 (PA6) and carbon nanotubes (MWCNT), varying the filler content to 1, 3, and 5 parts per [...] Read more.
Polymeric membranes are a highly viable technology for wastewater treatment, water purification, and other filtration operations. Accordingly, flat membranes were developed from extruded nanocomposites of polyamide 6 (PA6) and carbon nanotubes (MWCNT), varying the filler content to 1, 3, and 5 parts per hundred resin (phr). The membranes were produced using the phase inversion process through the immersion–precipitation technique. In total, eight membrane compositions were developed with solvent/polymer ratios of 80/20 (weight %). Calcium chloride (CaCl2) was used as a pore-forming agent at a content of 10 phr. Thus, the characterizations performed were: solution viscosity, FTIR, contact angle measurement, SEM, AFM, water permeability test, and water vapor permeation test. The results showed that the high viscosity of membranes, excessive gelation time, and higher MWCNT contents contributed to a decrease and/or absence of flow. Through SEM images and water flow measurements, the significant influence of CaCl2 was observed in modifying the membrane morphology (more interconnected porous structures), ensuring the presence of flow. The AFM images also confirm this phenomenon through the increase in roughness. Water vapor transmission increased with higher MWCNT content. These results demonstrate that PA6 and MWCNT membranes were effective for water filtration, only in those where CaCl2 was used, and for water vapor initially. Full article
(This article belongs to the Special Issue Processing and Applications of Polymer Composite Materials)
Show Figures

Figure 1

17 pages, 1818 KB  
Article
pH-Sensitive Release of Functionalized Chiral Carbon Dots from PLGA Coatings on Titanium Alloys for Biomedical Applications
by Roberto López-Muñoz, Pascale Chevallier, Francesco Copes, Rafik Naccache and Diego Mantovani
Polymers 2025, 17(19), 2667; https://doi.org/10.3390/polym17192667 - 2 Oct 2025
Viewed by 307
Abstract
Titanium and its alloys are the most widely used metallic materials for bone contact implants. However, despite advances in implant technology, these alloys are still susceptible to post-operative clinical complications such as inflammation, which is often joined by infections and biofilm formation. A [...] Read more.
Titanium and its alloys are the most widely used metallic materials for bone contact implants. However, despite advances in implant technology, these alloys are still susceptible to post-operative clinical complications such as inflammation, which is often joined by infections and biofilm formation. A number of coatings were studied to overcome the drawbacks of these complications, but the controlled release of bioactive molecules over the first few days and the adhesion of the coating to the substrate remain recognized challenges. Carbon dots and the antibacterial potential of chiral carbon dots (CCDs) were recently reported, and their chirality was identified as a major contribution to the bactericidal effect. This study aimed to achieve a stimuli-responsive medium-term controlled release for up to one month. Two types of chiral carbon dots (CCDs) with distinct functional groups were incorporated into a stable and adherent biodegradable polymer coating, i.e., poly(lactic-co-glycolic acid) (PLGA). To enhance the coating adhesion, the titanium alloy surfaces were pre-treated and activated. The wettability, morphology, and surface composition of the coatings were characterized by contact angle, profilometry, SEM, and XPS, respectively. Coating degradation, adhesion, and CCDs release were studied at physiological pH (7.4) and at an acidic pH characteristic of an inflammatory site (pH 3.0) for up to one month. Their biological performances and blood compatibility were assessed as well. Degradation studies conducted over 28 days revealed a slow mass loss of approximately 10%, with maximum release rates for CCDs-OH and CCDs-NH2 of 67% and 45% at pH 7.4, respectively. At pH 3.0 an inverse trend was observed with 49% and 59% maximum release after 28 days. Furthermore, the coatings did not exhibit any cytotoxic and hemolytic effects. These findings demonstrate the potential of this approach to providing titanium implants with pH-sensitive controlled release of bioactive CCDs lasting up to one month, which could address key challenges in implant-associated complications. Full article
(This article belongs to the Special Issue Smart and Functional Biopolymers)
Show Figures

Figure 1

28 pages, 27078 KB  
Article
Effect of Friction Model Type on Tool Wear Prediction in Machining
by Michael Storchak, Oleksandr Melnyk, Yaroslav Stepchyn, Oksana Shyshkova, Andrii Golubovskyi and Oleksandr Vozniy
Machines 2025, 13(10), 904; https://doi.org/10.3390/machines13100904 - 2 Oct 2025
Viewed by 277
Abstract
One of the key measures of cutting tool efficiency in machining processes is tool wear. In recent decades, numerical modeling of this phenomenon—primarily through finite element cutting models—has gained increasing importance. A crucial requirement for the reliable application of such models is the [...] Read more.
One of the key measures of cutting tool efficiency in machining processes is tool wear. In recent decades, numerical modeling of this phenomenon—primarily through finite element cutting models—has gained increasing importance. A crucial requirement for the reliable application of such models is the selection of an appropriate friction model, which strongly affects the accuracy of wear predictions. However, choosing the friction model type and its parameters remains a nontrivial challenge. This paper examines the effect of different friction model types and their parameters on the Archard and Usui wear model indicators, as well as on the main cutting process characteristics: cutting force components, temperature in the primary cutting zone, contact length between the tool rake face and the chip, shear angle, and chip compression ratio. To evaluate their impact on predicted tool wear—expressed qualitatively through the wear indicators of the aforementioned models—several widely used friction models implemented in commercial FEM software were applied: the shear friction model, Coulomb friction model, hybrid friction model, and constant tau model. The simulated values of these cutting process characteristics were then compared with experimental results. Full article
(This article belongs to the Special Issue Tool Wear in Machining, 2nd Edition)
Show Figures

Figure 1

16 pages, 3175 KB  
Article
Defects Identification in Ceramic Composites Based on Laser-Line Scanning Thermography
by Yalei Wang, Jianqiu Zhou, Leilei Ding, Xiaohan Liu and Senlin Jin
J. Compos. Sci. 2025, 9(10), 532; https://doi.org/10.3390/jcs9100532 - 1 Oct 2025
Viewed by 251
Abstract
Infrared thermography non-destructive testing technology has been widely used in the defect detection of composite structures due to its advantages, including non-contact operation, rapidity, low cost, and high precision. In this study, a laser-line scanning system combined with an infrared thermography was developed, [...] Read more.
Infrared thermography non-destructive testing technology has been widely used in the defect detection of composite structures due to its advantages, including non-contact operation, rapidity, low cost, and high precision. In this study, a laser-line scanning system combined with an infrared thermography was developed, along with a corresponding dynamic sequence image reconstruction method, enabling rapid localization of surface damages. Then, high-precision quantitative characterization of defect morphology in reconstructed images was achieved by integrating an edge gradient detection algorithm. The reconstruction method was validated through finite element simulations and experimental studies. The results demonstrated that the laser-line scanning thermography effectively enables both rapid localization of surface damages and precise quantitative characterization of their morphology. Experimental measurements of ceramic materials indicate that the relative error in detecting crack width is about 6% when the crack is perpendicular to the scanning direction, and the relative error gradually increases when the angle between the crack and the scanning direction decreases. Additionally, an alumina ceramic plate with micrometer-width cracks is inspected by the continuous laser-line scanning thermography. The morphology detection results are completely consistent with the actual morphology. However, limited by the spatial resolution of the thermal imager in the experiment, the quantitative identification of the crack width cannot be carried out. Finally, the proposed method is also effective for detecting surface damage of wrinkles in ceramic matrix composites. It can localize damage and quantify its geometric features with an average relative error of less than 3%, providing a new approach for health monitoring of large-scale ceramic matrix composite structures. Full article
(This article belongs to the Section Composites Modelling and Characterization)
Show Figures

Figure 1

17 pages, 15633 KB  
Article
Influence of Surface Sanding on the Coating Durability of Spruce as Facade Board
by Ondrej Dvořák, Monika Sarvašová Kvietková, Petr Horák, Markéta Kalábová, Chia-Feng Lin, Dennis Jones and Petr Ptáček
Coatings 2025, 15(10), 1133; https://doi.org/10.3390/coatings15101133 - 1 Oct 2025
Viewed by 220
Abstract
Surface pretreatment significantly influences the hygroscopic behavior of wood, which in turn affects surface stability when exposed to variable climatic conditions. This study focuses on how different surface pretreatment methods impact the performance of protective coating applied on spruce wood (Picea abies [...] Read more.
Surface pretreatment significantly influences the hygroscopic behavior of wood, which in turn affects surface stability when exposed to variable climatic conditions. This study focuses on how different surface pretreatment methods impact the performance of protective coating applied on spruce wood (Picea abies (L.) Karst.) during one year of natural weathering. Samples were prepared using various surface treatments: milling and sanding with grit sizes P40, P80, and P120, respectively. Two types of coatings were applied: a solventborne coating (ADLER Pullex Plus-Lasur) and a waterborne coating (DColor FK 47 UV Protect). The samples were exposed for 12 months at an outdoor testing site in Suchdol, Czech. Surface properties were assessed through color changes in the CIE Lab* space, gloss measurements (ISO 2813), contact angle analysis, and visual inspection. The results showed that exposure to UV radiation and microbial activities led to the gradual degradation of the optical properties and aesthetic appearance of the wood. Surfaces with greater roughness preserved their aesthetic properties more effectively, indicating a higher absorption of the coating. Untreated wood exhibited low water repellency, while the coated surface demonstrated enhanced hydrophobicity. Notably, the waterborne coating showed a temporary increase in contact angle around the sixth month, indicating surface clogging by dust particles. In contrast, the solventborne coating had a rapid decrease in wettability during the first nine months. These findings suggested the importance of surface pretreatment and coating type in maintaining the long-term performance and aesthetic appearance for wood used in exterior conditions. Full article
(This article belongs to the Special Issue Recent Advances in Surface Functionalisation, 2nd Edition)
Show Figures

Figure 1

36 pages, 11521 KB  
Article
Multifunctional Electrospun Materials from Poly(Vinyl Alcohol)/Chitosan and Polylactide Incorporating Rosmarinic Acid and Lidocaine with Antioxidant and Antimicrobial Properties
by Milena Ignatova, Dilyana Paneva, Selin Kyuchyuk, Nevena Manolova, Iliya Rashkov, Milena Mourdjeva and Nadya Markova
Polymers 2025, 17(19), 2657; https://doi.org/10.3390/polym17192657 - 30 Sep 2025
Viewed by 211
Abstract
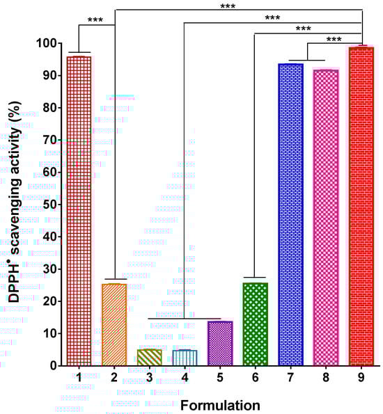
Novel multifunctional fibrous materials were prepared by simultaneous dual spinneret electrospinning of two separate solutions differing in composition. This technique allowed for the preparation of materials built of two types of fibers: fibers from poly(vinyl alcohol) (PVA), chitosan (Ch), and rosmarinic acid (RA), [...] Read more.
Novel multifunctional fibrous materials were prepared by simultaneous dual spinneret electrospinning of two separate solutions differing in composition. This technique allowed for the preparation of materials built of two types of fibers: fibers from poly(vinyl alcohol) (PVA), chitosan (Ch), and rosmarinic acid (RA), and poly(L-lactide) (PLA) fibers containing lidocaine hydrochloride (LHC). Confocal laser scanning microscopy (CLSM) analyses showed that both types of fibers are present on the surface and in the bulk of the new materials. The presence of all components and some interactions between them were proven by attenuated total reflectance Fourier transform infrared (ATR-FTIR) spectroscopy. RA and LHC were in an amorphous state in the fibers, and their presence affected the temperature characteristics and the crystallinity, as detected by differential scanning calorimetry (DSC) and X-ray diffraction analyses (XRD). The presence of PVA/Ch/RA fibers enabled the hydrophilization of the surface of the multifunctional fibrous materials (the water contact angle value was 0°). The newly developed materials demonstrated adequate mechanical properties, making them suitable for use in wound dressing applications. The RA-containing fibrous mats possessed high radical-scavenging activity (ca. 93%), and the combining with LHC led to an enhancement of this effect (ca. 98.5%). RA-containing fibrous mats killed all the pathogenic bacteria S. aureus and E. coli and decreased the titer of fungi C. albicans by ca. 0.4 log for a contact time of 24 h. Therefore, the new materials are prospective as antibacterial and atraumatic functional wound dressings, as systems for local drug delivery, and in medical skincare. Full article
(This article belongs to the Special Issue Electrospinning of Polymer Systems)
Show Figures

Figure 1

Back to TopTop