Controlled Hydrophilic–Hydrophobic Transition of PET Films via Fluorination and Drying
Abstract
1. Introduction
2. Materials and Methods
2.1. Surface Fluorination of PET
2.2. Drying of Fluorinated PET
2.3. Material Characterization
3. Results and Discussion
3.1. Effects of Fluorination and Drying on the Surface Composition and Structure
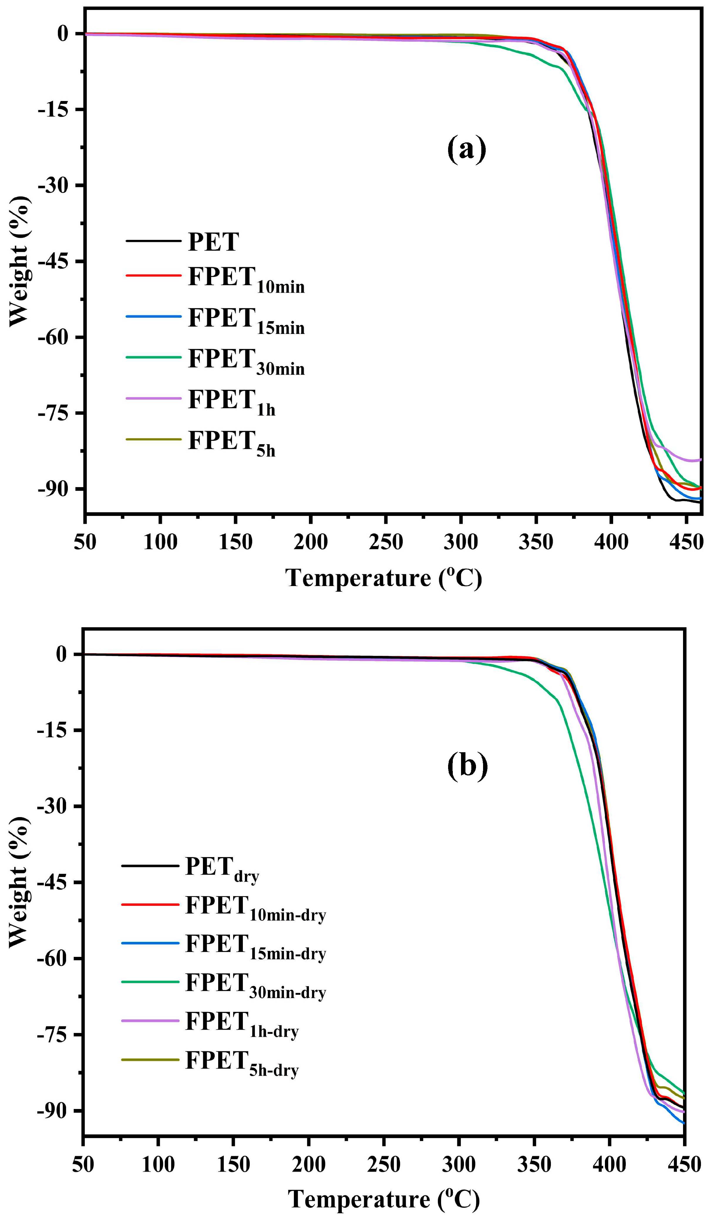
3.2. Effects of Fluorination and Drying on Thermodynamic Properties
3.3. Effects of Fluorination and Drying on the Surface Properties and Morphology
4. Conclusions
Author Contributions
Funding
Data Availability Statement
Conflicts of Interest
References
- Welle, F. Twenty years of PET bottle to bottle recycling—An overview. Resour. Conserv. Recycl. 2011, 55, 865–875. [Google Scholar] [CrossRef]
- Archibald, A.T.; Parrish, D.D. A brief guidance on Polyethylene terephthalate. J. Ind. Environ. Chem. 2021, 5, 1–2. [Google Scholar]
- Ravindranath, K.; Mashelkar, R.A. Polyethylene terephthalate—I. Chemistry, thermodynamics and transport properties. Chem. Eng. Sci. 1986, 41, 2197–2214. [Google Scholar] [CrossRef]
- Ahmad, A.F.; Razali, A.R.; Razelan, I.S.M. Utilization of polyethylene terephthalate (PET) in asphalt pavement: A review. IOP Conf. Ser. Mater. Sci. Eng. 2017, 203, 012004. [Google Scholar] [CrossRef]
- Grumezescu, A.M.; Stoica, A.E.; Dima-Balcescu, M.S.; Chircov, C.; Gharbia, S.; Balta, C.; Rosu, M.; Herman, H.; Holban, A.M.; Ficai, A.; et al. Electrospun Polyethylene Terephthalate Nanofibers Loaded with Silver Nanoparticles: Novel Approach in Anti-Infective Therapy. J. Clin. Med. 2019, 8, 1039. [Google Scholar] [CrossRef]
- Gramada Pintilie, A.M.; Stoica Oprea, A.E.; Niculescu, A.G.; Birca, A.C.; Vasile, B.S.; Holban, A.M.; Mihaiescu, T.; Serban, A.I.; Ciceu, A.; Balta, C.; et al. Zinc Oxide-Loaded Recycled PET Nanofibers for Applications in Healthcare and Biomedical Devices. Polymers 2024, 17, 45. [Google Scholar] [CrossRef]
- Yang, L.; Chen, J.; Guo, Y.; Zhang, Z. Surface modification of a biomedical polyethylene terephthalate (PET) by air plasma. Appl. Surf. Sci. 2009, 255, 4446–4451. [Google Scholar] [CrossRef]
- Inagaki, N.; Narushim, K.; Tuchida, N.; Miyazaki, K. Surface characterization of plasma-modified poly(ethylene terephthalate) film surfaces. J. Polym. Sci. Part B Polym. Phys. 2004, 42, 3727–3740. [Google Scholar] [CrossRef]
- Ueda, M.; Kostov, K.G.; Beloto, A.F.; Leite, N.F.; Grigorov, K.G. Surface modification of polyethylene terephthalate by plasma immersion ion implantation. Surf. Coat. Technol. 2004, 186, 295–298. [Google Scholar] [CrossRef]
- Wang, J.; Huang, N.; Pan, C.J.; Kwok, S.C.H.; Yang, P.; Leng, Y.X.; Chen, J.Y.; Sun, H.; Wan, G.J.; Liu, Z.Y.; et al. Bacterial repellence from polyethylene terephthalate surface modified by acetylene plasma immersion ion implantation–deposition. Surf. Coat. Technol. 2004, 186, 299–304. [Google Scholar] [CrossRef]
- Kim, E.-Y.; Kong, J.-S.; An, S.-K.; Kim, H.-D. Surface modification of polymers and improvement of the adhesion between evaporated copper metal film and a polymer. I. Chemical modification of PET. J. Adhes. Sci. Technol. 2000, 14, 1119–1130. [Google Scholar] [CrossRef]
- Mostafavi, A.H.; Mishra, A.K.; Gallucci, F.; Kim, J.H.; Ulbricht, M.; Coclite, A.M.; Hosseini, S.S. Advances in surface modification and functionalization for tailoring the characteristics of thin films and membranes via chemical vapor deposition techniques. J. Appl. Polym. Sci. 2023, 140, e53720. [Google Scholar] [CrossRef]
- Flores, O.; Campillo, B.; Castillo, F.; Martínez, H.; Colín, J. Surface modification of polyethylene terephthalate (PET) by corona discharge plasma. J. Nucl. Phys. Mater. Sci. Radiat. Appl. 2021, 8, 129–134. [Google Scholar] [CrossRef]
- O’Hare, L.A.; Smith, J.A.; Leadley, S.R.; Parbhoo, B.; Goodwin, A.J.; Watts, J.F. Surface physico-chemistry of corona-discharge-treated poly(ethylene terephthalate) film. Surf. Interface Anal. 2002, 33, 617–625. [Google Scholar] [CrossRef]
- Gao, S.L.; Häßler, R.; Mäder, E.; Bahners, T.; Opwis, K.; Schollmeyer, E. Photochemical surface modification of PET by excimer UV lamp irradiation. Appl. Phys. B 2005, 81, 681–690. [Google Scholar] [CrossRef]
- Zhu, Z.; Kelley, M.J. Poly(ethylene terephthalate) surface modification by deep UV (172 nm) irradiation. Appl. Surf. Sci. 2004, 236, 416–425. [Google Scholar] [CrossRef]
- Demir, T.; Wei, L.; Nitta, N.; Yushin, G.; Brown, P.J.; Luzinov, I. Toward a Long-Chain Perfluoroalkyl Replacement: Water and Oil Repellency of Polyethylene Terephthalate (PET) Films Modified with Perfluoropolyether-Based Polyesters. ACS Appl. Mater. Interfaces 2017, 9, 24318–24330. [Google Scholar] [CrossRef] [PubMed]
- Cho, E.; Kim, M.; Park, J.S.; Lee, S.J. Plasma-Polymer-Fluorocarbon Thin Film Coated Nanostructured-Polyethylene Terephthalate Surface with Highly Durable Superhydrophobic and Antireflective Properties. Polymers 2020, 12, 1026. [Google Scholar] [CrossRef]
- Du, W.; Di, J. Sputter-deposited nanostructure of polymeric fluorocarbon coatings on polyethylene terephthalate fiber. Surf. Coat. Technol. 2007, 201, 5498–5501. [Google Scholar] [CrossRef]
- Cheng, T.-S.; Lin, H.-T.; Chuang, M.-J. Surface fluorination of polyethylene terephthalate films with RF plasma. Mater. Lett. 2004, 58, 650–653. [Google Scholar] [CrossRef]
- Liu, Y.; Chen, Q.; Du, X.; Li, L.; Li, P. Surface modification of polyethylene terephthalate films by direct fluorination. AIP Adv. 2018, 8, 125333. [Google Scholar] [CrossRef]
- Kim, J.-H.; Namie, M.; Yonezawa, S. Enhanced adhesion between polyethylene terephthalate and metal film by surface fluorination. Compos. Commun. 2018, 10, 205–208. [Google Scholar] [CrossRef]
- Kim, J.-H.; Umeda, H.; Ohe, M.; Yonezawa, S.; Takashima, M. Preparation of Pure LiPF6 Using Fluorine Gas at Room Temperature. Chem. Lett. 2011, 40, 360–361. [Google Scholar] [CrossRef]
- Chen, Z.; Hay, J.N.; Jenkins, M.J. FTIR spectroscopic analysis of poly(ethylene terephthalate) on crystallization. Eur. Polym. J. 2012, 48, 1586–1610. [Google Scholar] [CrossRef]
- Patterson, D.; Ward, I.M. The assignment of the carboxyl and hydroxyl absorptions in the infra-red spectrum of polyethylene terephthalate. Trans. Faraday Soc. 1957, 53, 291–294. [Google Scholar] [CrossRef]
- Kim, J.-H.; Mishina, T.; Namie, M.; Nishimura, F.; Yonezawa, S. Effects of surface fluorination on the dyeing of polycarbonate (PC) resin. J. Coat. Technol. Res. 2021, 19, 617–624. [Google Scholar] [CrossRef]
- He, T.; Wang, Y.; Jiang, Y.; Liu, Y.; Wang, X.; Luo, L.; Liu, X. Fluorination-generated uninterrupted gradient-refractive index on commercial flexible substrates for high broadband and omnidirectional transmittance. Appl. Surf. Sci. 2019, 489, 494–503. [Google Scholar] [CrossRef]
- Zhong, Z.K.; Zheng, S.X.; Mi, Y.L. High-pressure DSC study of thermal transitions of a poly(ethylene terephthalate)/carbon dioxide system. Polymer 1999, 40, 3829–3834. [Google Scholar] [CrossRef]
- Bell, M.S.; Borhan, A. A Volume-Corrected Wenzel Model. ACS Omega 2020, 5, 8875–8884. [Google Scholar] [CrossRef]
- Han, T.-Y.; Shr, J.-F.; Wu, C.-F.; Hsieh, C.-T. A modified Wenzel model for hydrophobic behavior of nanostructured surfaces. Thin Solid. Film. 2007, 515, 4666–4669. [Google Scholar] [CrossRef]














Disclaimer/Publisher’s Note: The statements, opinions and data contained in all publications are solely those of the individual author(s) and contributor(s) and not of MDPI and/or the editor(s). MDPI and/or the editor(s) disclaim responsibility for any injury to people or property resulting from any ideas, methods, instructions or products referred to in the content. |
© 2025 by the authors. Licensee MDPI, Basel, Switzerland. This article is an open access article distributed under the terms and conditions of the Creative Commons Attribution (CC BY) license (https://creativecommons.org/licenses/by/4.0/).
Share and Cite
He, Z.; Kim, J.-H.; Yonezawa, S. Controlled Hydrophilic–Hydrophobic Transition of PET Films via Fluorination and Drying. Physchem 2025, 5, 43. https://doi.org/10.3390/physchem5040043
He Z, Kim J-H, Yonezawa S. Controlled Hydrophilic–Hydrophobic Transition of PET Films via Fluorination and Drying. Physchem. 2025; 5(4):43. https://doi.org/10.3390/physchem5040043
Chicago/Turabian StyleHe, Zhipeng, Jae-Ho Kim, and Susumu Yonezawa. 2025. "Controlled Hydrophilic–Hydrophobic Transition of PET Films via Fluorination and Drying" Physchem 5, no. 4: 43. https://doi.org/10.3390/physchem5040043
APA StyleHe, Z., Kim, J.-H., & Yonezawa, S. (2025). Controlled Hydrophilic–Hydrophobic Transition of PET Films via Fluorination and Drying. Physchem, 5(4), 43. https://doi.org/10.3390/physchem5040043
