Exploring the Effect of the Porogenic Agent on Flat Membranes Based on Polyamide 6 (PA6)/Carbon Nanotubes (MWCNT) Nanocomposites
Abstract
1. Introduction
2. Methodology
2.1. Materials
2.2. Preparation of Nanocomposites
2.3. Obtaining Membranes
2.4. Membrane Characterization
3. Results and Discussion
3.1. Viscosity
3.2. Fourier Transform Infrared Spectroscopy (FTIR)
3.3. Contact Angle
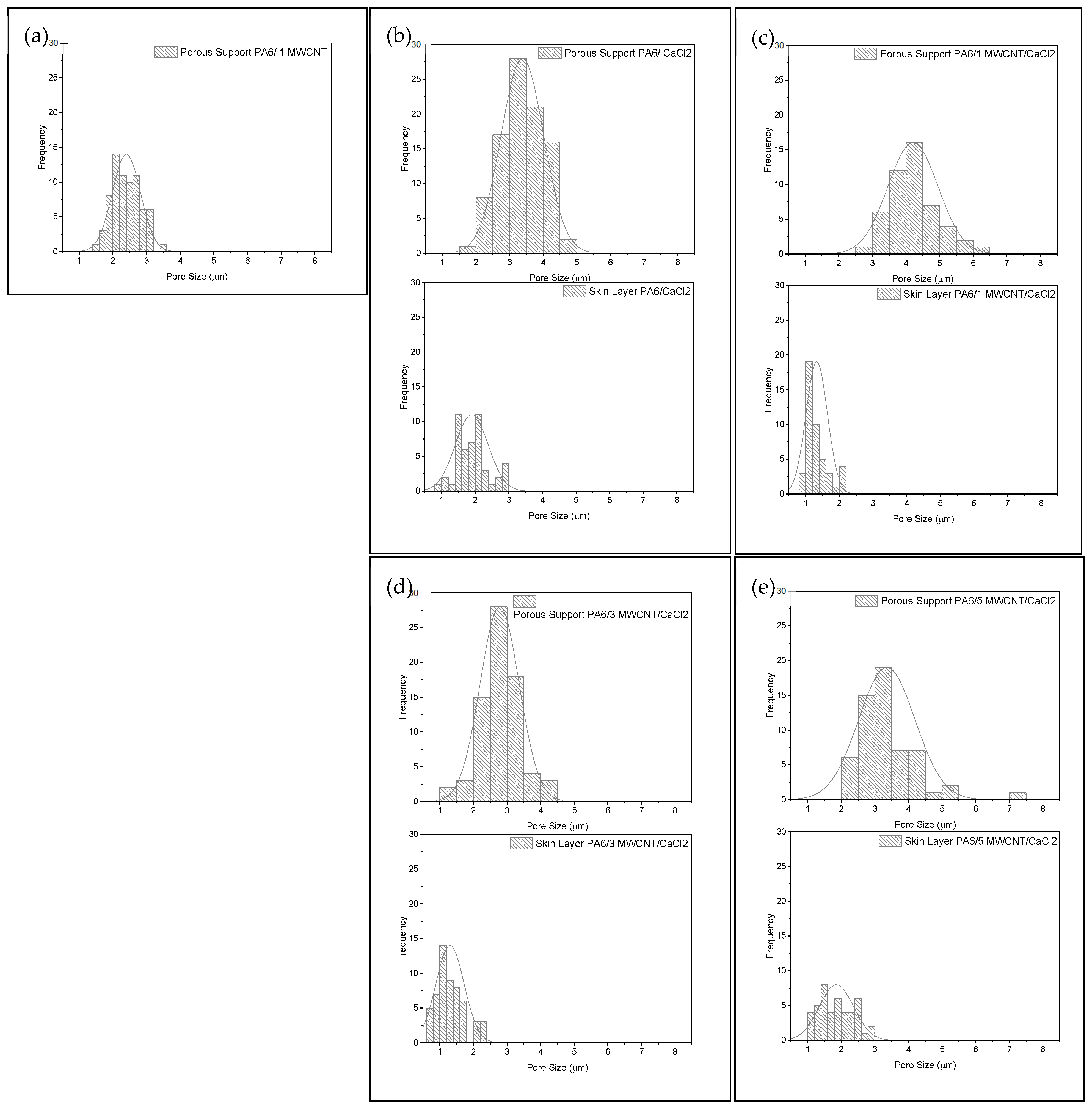
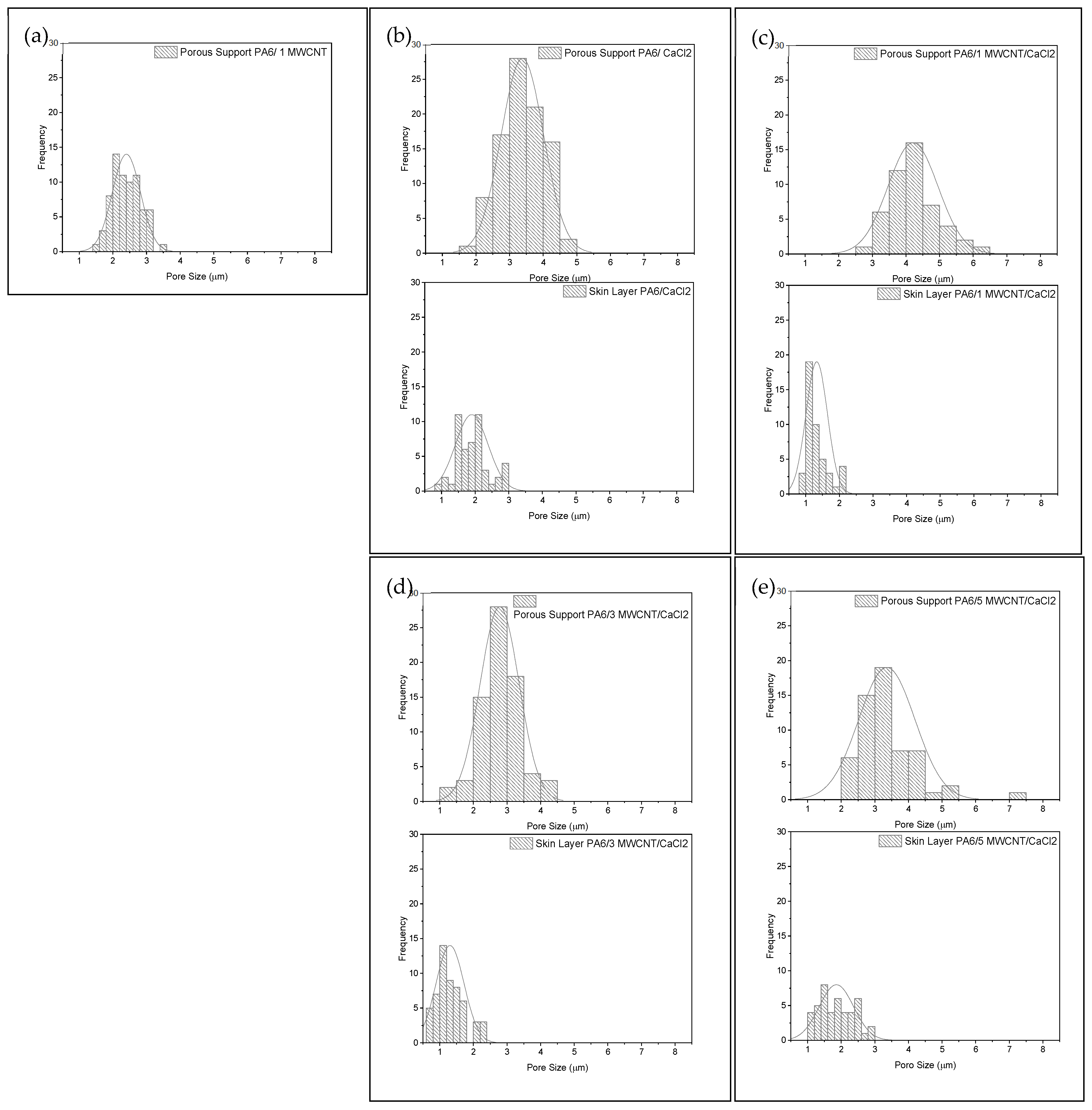
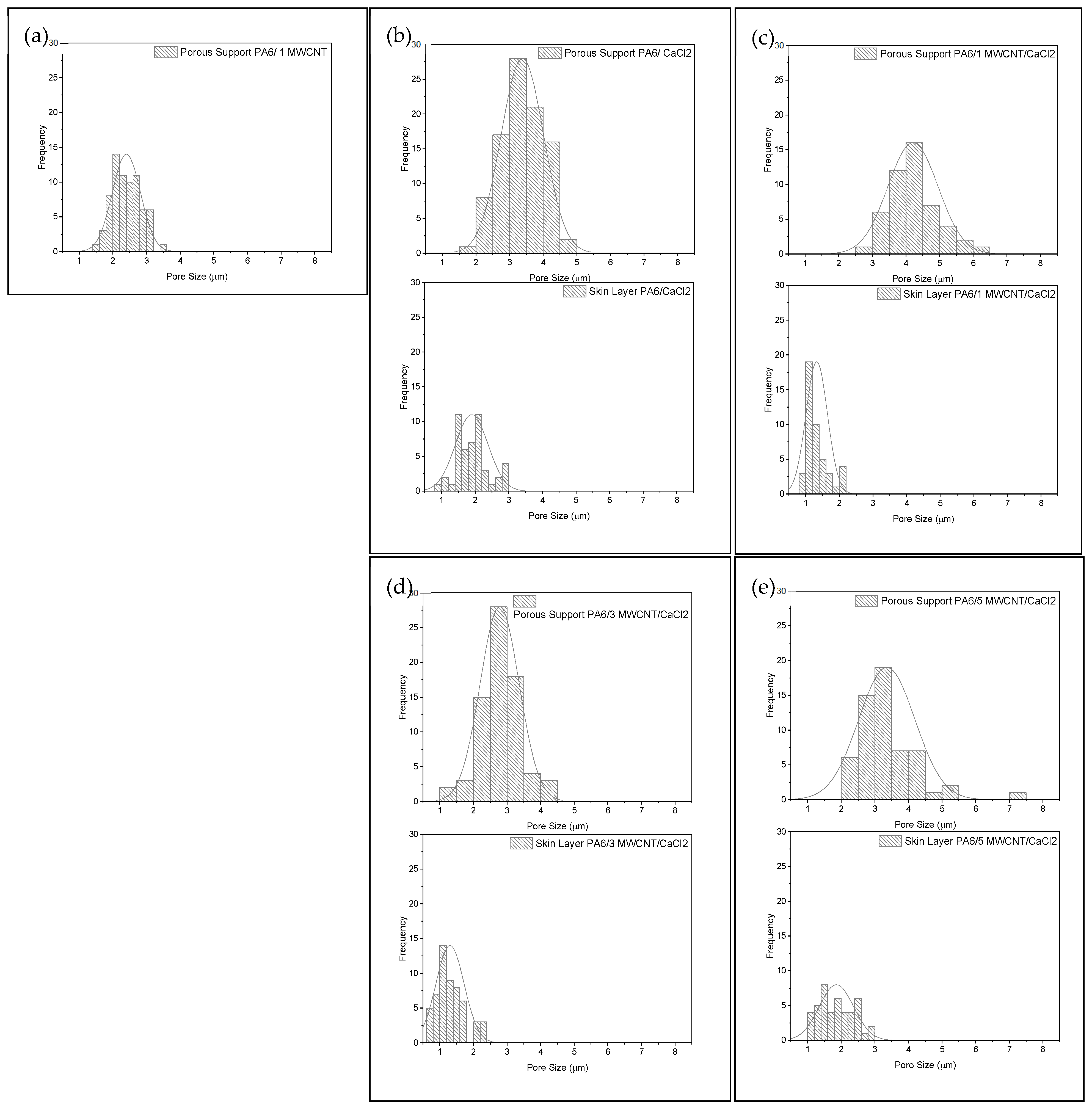
3.4. Scanning Electron Microscopy (SEM)
3.5. Atomic Force Microscopy (AFM)
3.6. Water Flow Measurements
3.7. Water Vapor Permeability
4. Conclusions
Author Contributions
Funding
Data Availability Statement
Acknowledgments
Conflicts of Interest
References
- Dong, X.; Lu, D.; Harris, T.A.L.; Escobar, I.C. Polymers and solvents used in membrane fabrication: A review focusing on sustainable membrane development. Membranes 2021, 11, 309. [Google Scholar] [CrossRef] [PubMed]
- Ray, S.S.; Iroegbu, A.O.C.; Bordado, J.C. Polymer-Based Membranes and Composites for Safe, Potable, and Usable Water: A Survey of Recent Advances. Chem. Afr. 2020, 3, 593–608. [Google Scholar] [CrossRef]
- Li, D.; Yan, Y.; Wang, H. Recent advances in polymer and polymer composite membranes for reverse and forward osmosis processes. Prog. Polym. Sci. 2016, 61, 104–155. [Google Scholar] [CrossRef]
- Bezerra, M.G.; Landeira, M.A.C.; Leite, A.M.D.; Viana, K.M.d.S. Membranas de Poliamida 6 por inversão de fases: Formação de membranas pelos métodos de imersão em banho coagulante e por evaporação de solvente. Braz. J. Dev. 2020, 6, 76611–76626. [Google Scholar] [CrossRef]
- Huang, Y.; Xiao, C.; Huang, Q.; Liu, H.; Zhao, J. Progress on polymeric hollow fiber membrane preparation technique from the perspective of green and sustainable development. Chem. Eng. J. 2021, 403, 126295. [Google Scholar] [CrossRef]
- dos Santos Filho, E.A.; de Medeiros, K.M.; Araújo, E.M.; Ferreira, R.D.S.B.; Oliveira, S.S.L.; Medeiros, V.D.N. Membranes of polyamide 6/clay/salt for water/oil separation. Mater. Res. Express 2019, 6, 105313. [Google Scholar] [CrossRef]
- de Medeiros, K.M.; Araújo, E.M.; Lira, H.d.L.; Lima, D.d.F.; de Lima, C.A.P. Membranas microporosas híbridas assimétricas: Influência da argila na morfologia das membranas. Rev. Mater. 2017, 22, e11812. [Google Scholar] [CrossRef]
- Bezerra, E.B.; Leite, A.M.D.; Araújo, E.M.; De Mélo, T.J.A. Obtenção e caracterização de membranas obtidas a partir de blendas poliméricas de poliamida 6. Polimeros 2014, 24, 381–387. [Google Scholar] [CrossRef]
- Leite, A.M.D.; Araújo, E.M.; Lira Hde, L.; Barbosa, R.; Ito, E.N. Obtenção de Membranas Microporosas a partir de Nanocompósitos de Poliamida 6/Argila Nacional. Parte 1: Influência da Presença da Argila na Morfologia das Membranas. Polímeros Ciênc. Tecnol. 2009, 19, 271–277. [Google Scholar] [CrossRef]
- Marques, A.V.S.; Barbosa, A.S.; Mais, L.F.; Rodrigues, M.G.F.; Barbosa, T.L.A.; Luna, C.B.B. Development and Characterization of Sawdust-Based Ceramic Membranes for Textile Effluent Treatment. Membranes 2025, 15, 298. [Google Scholar] [CrossRef]
- Liang, C.Z.; Chung, T.S.; Lai, J.Y. A review of polymeric composite membranes for gas separation and energy production. Prog. Polym. Sci. 2019, 97, 101141. [Google Scholar] [CrossRef]
- Ferreira, R.D.S.B.; Pereira, C.H.D.Ó.; Da Paz, R.A.; Damião Leite, A.M.; Araújo, E.M.; Lira, H.D.L. Influence of processing type in the morphology of membranes obtained from PA6/MMT nanocomposites. Adv. Mater. Sci. Eng. 2014, 2014, 659148. [Google Scholar] [CrossRef]
- De Medeiros, K.M.; Araújo, E.M.; De Lucena Lira, H.; De Farias Lima, D.; De Lima, C.A.P. Hybrid membranes of polyamide applied in treatment of waste water. Mater. Res. 2017, 20, 308–316. [Google Scholar] [CrossRef]
- Ahmad, A.; Sabir, A.; Iqbal, S.S.; Felemban, B.F.; Riaz, T.; Bahadar, A.; Hossain, N.; Khan, R.U.; Inam, F. Novel antibacterial polyurethane and cellulose acetate mixed matrix membrane modified with functionalized TiO2 nanoparticles for water treatment applications. Chemosphere 2022, 301, 134711. [Google Scholar] [CrossRef]
- Valamohammadi, E.; Behdarvand, F.; Mohammadi, T.; Tofighy, M.A.; Moghiseh, Z. Effects of carbon nanotubes on structure, performance and properties of polymer nanocomposite membranes for water/wastewater treatment applications: A comprehensive review. Polym. Bull. 2023, 80, 11589–11632. [Google Scholar] [CrossRef]
- Shen, L.; Huang, Z.; Liu, Y.; Li, R.; Xu, Y.; Jakaj, G.; Lin, H. Polymeric Membranes Incorporated With ZnO Nanoparticles for Membrane Fouling Mitigation: A Brief Review. Front. Chem. 2020, 8, 224. [Google Scholar] [CrossRef] [PubMed]
- Zhao, H.; Qiu, S.; Wu, L.; Zhang, L.; Chen, H.; Gao, C. Improving the performance of polyamide reverse osmosis membrane by incorporation of modified multi-walled carbon nanotubes. J. Membr. Sci. 2014, 450, 249–256. [Google Scholar] [CrossRef]
- Wen, Y.; Yuan, J.; Ma, X.; Wang, S.; Liu, Y. Polymeric nanocomposite membranes for water treatment: A review. Environ. Chem. Lett. 2019, 17, 1539–1551. [Google Scholar] [CrossRef]
- Callister, W.D.; Rethwisch, D.G. Ciência e Engenharia de Materiais—Uma Introdução, 9th ed.; LTC-Livros Técnicos e Científicos Editora Ltd.a.: Rio de Janeiro, Brazil, 2016. [Google Scholar]
- Tewari, P.K. Nanocomposite Membrane Technology: Fundamentals and Applications; CRC Press: Boca Raton, FL, USA, 2016. [Google Scholar]
- Hassan, T.; Salam, A.; Khan, A.; Khan, S.U.; Khanzada, H.; Wasim, M.; Khan, M.Q.; Kim, I.S. Functional nanocomposites and their potential applications: A review. J. Polym. Res. 2021, 28, 36. [Google Scholar] [CrossRef]
- Nitodas, S.F.; Das, M.; Shah, R. Applications of Polymeric Membranes with Carbon Nanotubes: A Review. Membranes 2022, 12, 454. [Google Scholar] [CrossRef]
- Bassyouni, M.; Abdel-Aziz, M.H.; Zoromba, M.S.; Abdel-Hamid, S.M.S.; Drioli, E. A review of polymeric nanocomposite membranes for water purification. J. Ind. Eng. Chem. 2019, 73, 19–46. [Google Scholar] [CrossRef]
- Madenli, E.C.; Ciftci, Z.I. Effects of the carbon nanotube and polymer amounts on ultrafiltration membranes. Environ. Eng. Res. 2022, 27, 210626. [Google Scholar] [CrossRef]
- Vargas-Figueroa, C.; Pino-Soto, L.; Beratto-Ramos, A.; Tapiero, Y.; Rivas, B.L.; Berrio, M.E.; Melendrez, M.F.; Bórquez, R.M. In-Situ Modification of Nanofiltration Membranes Using Carbon Nanotubes for Water Treatment. Membranes 2023, 13, 616. [Google Scholar] [CrossRef]
- Paul, S.; Roy, S.; Mitra, S. Carbon nanotube enhanced selective micro filtration of butanol. Sep. Purif. Technol. 2024, 330, 125462. [Google Scholar] [CrossRef]
- Batool, M.; Abbas, M.A.; Khan, I.A.; Khan, M.Z.; Saleem, M.; Khan, A.U.; Deen, K.M.; Batool, M.; Khan, A.L.; Zhu, S.; et al. Response Surface Methodology Modeling Correlation of Polymer Composite Carbon Nanotubes/Chitosan Nanofiltration Membranes for Water Desalination. ACS ES T Water 2023, 3, 1406–1421. [Google Scholar] [CrossRef]
- Petukhov, D.I.; Johnson, D.J. Membrane modification with carbon nanomaterials for fouling mitigation: A review. Adv. Colloid Interface Sci. 2024, 327, 103140. [Google Scholar] [CrossRef] [PubMed]
- Lee, H.D.; Kim, H.W.; Cho, Y.H.; Park, H.B. Experimental evidence of rapid water transport through carbon nanotubes embedded in polymeric desalination membranes. Small 2014, 10, 2653–2660. [Google Scholar] [CrossRef]
- Wu, H.; Tang, B.; Wu, P. Novel ultrafiltration membranes prepared from a multi-walled carbon nanotubes/polymer composite. J. Membr. Sci. 2010, 362, 374–383. [Google Scholar] [CrossRef]
- Bak, H.; Cho, S.Y.; Yun, Y.S.; Jin, H.J. Electrically conductive transparent films based on nylon 6 membranes and single-walled carbon nanotubes. Curr. Appl. Phys. 2010, 10, S468–S472. [Google Scholar] [CrossRef]
- He, X.; Kumakiri, I. Carbon Membrane Technology: Fundamentals and Applications; CRC Press: Boca Raton, FL, USA, 2021. [Google Scholar]
- Zainab, G.; Iqbal, N.; Babar, A.A.; Huang, C.; Wang, X.; Yu, J.; Ding, B. Free-standing, spider-web-like polyamide/carbon nanotube composite nanofibrous membrane impregnated with polyethyleneimine for CO2 capture. Compos. Commun. 2017, 6, 41–47. [Google Scholar] [CrossRef]
- Asadi, A.; Gholami, F.; Nazari, S.; Dolatshah, M. Preparation of antifouling and antibacterial polyvinylidene fluoride membrane by incorporating functionalized multiwalled carbon nanotubes. J. Water Process Eng. 2022, 49, 103042. [Google Scholar] [CrossRef]
- Luna, C.B.B.; da Silva Barbosa Ferreira, E.; Siqueira, D.D.; Araújo, E.M.; do Nascimento, E.P.; Medeiros, E.S.; de Mélo, T.J.A. Electrical nanocomposites of PA6/ABS/ABS-MA reinforced with carbon nanotubes (MWCNTf) for antistatic packaging. Polym. Compos. 2022, 43, 3639–3658. [Google Scholar] [CrossRef]
- da Silva, F.S.; Luna, C.B.B.; da Silva Barbosa Ferreira, E.; de Matos Costa, A.R.; Wellen, R.M.R.; Araújo, E.M. Polyamide 6 (PA6)/carbon nanotubes (MWCNT) nanocomposites for antistatic application: Tailoring mechanical and electrical properties for electronic product protection. J. Polym. Res. 2024, 31, 15. [Google Scholar] [CrossRef]
- De Medeiros, K.M. Membranas Microporosas Híbridas de Poliamida Aplicadas no Tratamento de Emulsões Oleosas da Indústria Petrolífera. Ph.D. Thesis, Universidade Federal de Campina Grande (UFCG), Campina Grande, Brazil, 2014. [Google Scholar]
- Helali, N.; Rastgar, M.; Farhad Ismail, M.; Sadrzadeh, M. Development of underwater superoleophobic polyamide-imide (PAI) microfiltration membranes for oil/water emulsion separation. Sep. Purif. Technol. 2020, 238, 116451. [Google Scholar] [CrossRef]
- Dias, R.A.; da Silva Barbosa Ferreira, R.; da Nóbrega Medeiros, V.; Araujo, B.A.; da Silva, P.T.V.; da Paz, R.A.; Araújo, E.M.; de Lucena Lira, H. Influence of Solvent Content in the Coagulation Bath and of Polyvinylpyrrolidone on the Properties of PSF/PES Blend Membranes For Water/Oil Separation. Polym. Adv. Technol. 2025, 36, e70210. [Google Scholar] [CrossRef]
- Santos Filho, E.A.; Florindo Salviano, A.; Araújo, B.A.; de Medeiros, K.M.; Nóbrega Medeiros, V.; Araújo, E.M.; Lira, H.L. Influence of Additives on Hybrids Membranes Morphology for Water Treatment. Diffus. Found. 2017, 14, 86–106. [Google Scholar] [CrossRef]
- Rambabu, K.; Velu, S. Improved performance of CaCl2 incorporated polyethersulfone ultrafiltration membranes. Period. Polytech. Chem. Eng. 2016, 60, 181–191. [Google Scholar] [CrossRef]
- Malik, T.; Razzaq, H.; Razzaque, S.; Nawaz, H.; Siddiqa, A.; Siddiq, M.; Qaisar, S. Design and synthesis of polymeric membranes using water-soluble pore formers: An overview. Polym. Bull. 2019, 76, 4879–4901. [Google Scholar] [CrossRef]
- Li, B.; Gong, W.; Jing, X.; Zheng, B. Effect of NaCl concentration on the dispersion, stability and rheological properties of MWNTs by CMC. J. Dispers. Sci. Technol. 2021, 42, 2043–2052. [Google Scholar] [CrossRef]
- Dai, K.; Shi, L.; Fang, J.; Zhang, D.; Yu, B. NaCl adsorption in multi-walled carbon nanotubes. Mater. Lett. 2005, 59, 1989–1992. [Google Scholar] [CrossRef]
- Poolachira, S.; Velmurugan, S. Effect of solvents in the formation of PES-based asymmetric flat sheet membranes in phase inversion method: Phase separation and rheological studies. Iran. Polym. J. (Engl. Ed.) 2023, 32, 365–376. [Google Scholar] [CrossRef]
- Aparna, S.; Purnima, D.; Adusumalli, R.B. Effect of short carbon fiber content and water absorption on tensile and impact properties of PA6/PP blend based composites. Polym. Compos. 2020, 41, 5167–5181. [Google Scholar] [CrossRef]
- Essabir, H.; El Mechtali, F.Z.; Nekhlaoui, S.; Raji, M.; Bensalah, M.O.; Rodrigue, D.; Bouhfid, R.; Qaiss, A. Compatibilization of PA6/ABS blend by SEBS-g-MA: Morphological, mechanical, thermal, and rheological properties. Int. J. Adv. Manuf. Technol. 2020, 110, 1095–1111. [Google Scholar] [CrossRef]
- Aitha, S.; Vasanthan, N. Effect of cellulose nanocrystals on crystallization, morphology and phase transition of polyamide 6. Compos. Interfaces 2020, 27, 371–384. [Google Scholar] [CrossRef]
- Fauzi, A.; Hapidin, D.A.; Munir, M.M.; Iskandar, F.; Khairurrijal, K. A superhydrophilic bilayer structure of a nylon 6 nanofiber/cellulose membrane and its characterization as potential water filtration media. RSC Adv. 2020, 10, 17205–17216. [Google Scholar] [CrossRef]
- Rosa, M.J.; De Pinho, M.N. Membrane surface characterisation by contact angle measurements using the immersed method. J. Membr. Sci. 1997, 131, 167–180. [Google Scholar] [CrossRef]
- Huang, N.Y.; Wang, C.C.; Chen, C.Y. Investigation of the gas permeation properties of a polyether sulfone asymmetric membrane via the phase inversion method. J. Appl. Polym. Sci. 2022, 139, e52762. [Google Scholar] [CrossRef]
- Wu, H.; Zhao, H.; Lin, Y.; Liu, X.; Yao, H.; Yu, L.; Wang, H.; Wang, X. Fabrication of polysulfone membrane with sponge-like structure by using different non-woven fabrics. Sep. Purif. Technol. 2022, 297, 121553. [Google Scholar] [CrossRef]
- Gunjal, H.V.; Singh, G. Innovative PEEK membrane structure fabrication using non-solvent induced phase separation. J. Polym. Res. 2025, 32, 150. [Google Scholar] [CrossRef]
- Ebrahimi, M.; Kujawski, W.; Fatyeyeva, K. Fabrication of Polyamide-6 Membranes—The Effect of Gelation Time towards Their Morphological, Physical, and Transport Properties. Membranes 2022, 12, 315. [Google Scholar] [CrossRef]
- Barbosa Ferreira, R.d.S.; Salviano, A.F.; Lima Oliveira, S.S.; Araújo, E.M.; Medeiros, V.d.N.; Lira, H.d.L. Treatment of effluents from the textile industry through polyethersulfone membranes. Water 2019, 11, 2540. [Google Scholar] [CrossRef]
- Dias, R.A.; Ferreira, R.S.B.; Medeiros, V.d.N.; Araujo, B.A.; Araújo, E.M.; Lira, H.d.L. Flat membranes of polyethersulfone/polysulfone blends in water/oil separation. Polym. Bull. 2023, 80, 4289–4305. [Google Scholar] [CrossRef]
- Kubiak, K.J.; Wilson, M.C.T.; Mathia, T.G.; Carval, P. Wettability versus roughness of engineering surfaces. Wear 2011, 271, 523–528. [Google Scholar] [CrossRef]
- Ghalamchi, L.; Aber, S.; Vatanpour, V.; Kian, M. A novel antibacterial mixed matrixed PES membrane fabricated from embedding aminated Ag3PO4/g-C3N4 nanocomposite for use in the membrane bioreactor. J. Ind. Eng. Chem. 2019, 70, 412–426. [Google Scholar] [CrossRef]
- Mattia, D.; Lee, K.P.; Calabrò, F. Water permeation in carbon nanotube membranes. Curr. Opin. Chem. Eng. 2014, 4, 32–37. [Google Scholar] [CrossRef]
- Rizzuto, C.; Pugliese, G.; Bahattab, M.A.; Aljlil, S.A.; Drioli, E.; Tocci, E. Multiwalled carbon nanotube membranes for water purification. Sep. Purif. Technol. 2018, 193, 378–385. [Google Scholar] [CrossRef]
- Barrejón, M.; Prato, M. Carbon Nanotube Membranes in Water Treatment Applications. Adv. Mater. Interfaces 2022, 9, 2101260. [Google Scholar] [CrossRef]
- Yang, W.; Xu, H.; Chen, W.; Shen, Z.; Ding, M.; Lin, T.; Tao, H.; Kong, Q.; Yang, G.; Xie, Z. A polyamide membrane with tubular crumples incorporating carboxylated single-walled carbon nanotubes for high water flux. Desalination 2020, 479, 114330. [Google Scholar] [CrossRef]
- Zeni, M.; Bellincanta, T.; Poletto, P.; Thürmer, M.B.; Duarte, J.; Toscan, A. Preparação e Caracterização de Membranas Poliméricas a partir da Blenda Polisulfona/Poliuretano. Polímeros 2011, 21, 229–232. [Google Scholar] [CrossRef]
- de Cavalho, T.C.; Medeiros, V.d.N.; Leite, A.M.D.; de Araújo, E.M.; Lira, H.L. Membranas de poliétersulfona/argila e sua permeabilidade à água. Rev. Mater. 2017, 22, e11825. [Google Scholar] [CrossRef]
- Cunha, C.T.C. Desenvolvimento de Membranas a Partir de Blendas de PA6/PEAD/Compatibilizantes. Master’s Thesis, UFCG, Campina Grande, Brazil, 2011. [Google Scholar]
- Inukai, S.; Cruz-Silva, R.; Ortiz-Medina, J.; Morelos-Gomez, A.; Takeuchi, K.; Hayashi, T.; Tanioka, A.; Araki, T.; Tejima, S.; Noguchi, T.; et al. High-performance multi-functional reverse osmosis membranes obtained by carbon nanotube·polyamide nanocomposite. Sci. Rep. 2015, 5, 13562. [Google Scholar] [CrossRef] [PubMed]
- Sun, C.; Lyu, Q.; Si, Y.; Tong, T.; Lin, L.C.; Yang, F.; Tang, C.Y.; Dong, Y. Superhydrophobic Carbon Nanotube Network Membranes for Membrane Distillation: High-Throughput Performance and Transport Mechanism. Environ. Sci. Technol. 2022, 56, 5775–5785. [Google Scholar] [CrossRef] [PubMed]
- Visvini, G.A.; Mathioudakis, G.N.; Soto Beobide, A.; Piperigkou, Z.; Giannakas, A.E.; Messaritakis, S.; Sotiriou, G.; Voyiatzis, G.A. Improvement of Water Vapor Permeability in Polypropylene Composite Films by the Synergy of Carbon Nanotubes and β-Nucleating Agents. Polymers 2023, 15, 4432. [Google Scholar] [CrossRef] [PubMed]











| Compositions | Produced by Extrusion | Solvent | CaCl2 | |
|---|---|---|---|---|
| PA6 (wt%) | MWCNT (phr) | (wt%) | (phr) | |
| PA6 | 20 | - | 80 | - |
| PA6/1 MWCNT | 20 | 1 | 80 | - |
| PA6/3 MWCNT | 20 | 3 | 80 | - |
| PA6/5 MWCNT | 20 | 5 | 80 | - |
| PA6/CaCl2 | 20 | - | 80 | 10 |
| PA6/1 MWCNT/CaCl2 | 20 | 1 | 80 | 10 |
| PA6/3 MWCNT/CaCl2 | 20 | 3 | 80 | 10 |
| PA6/5 MWCNT/CaCl2 | 20 | 5 | 80 | 10 |
| Compositions | Viscosity (mPa.s) |
|---|---|
| PA6 | 889.6 |
| PA6/1 MWCNT | 1880.1 |
| PA6/3 MWCNT | 11,544.0 |
| PA6/5 MWCNT | 21,554.0 |
| PA6/CaCl2 | 1164.8 |
| PA6/1 MWCNT/CaCl2 | 1737.1 |
| PA6/3 MWCNT/CaCl2 | 5489.1 |
| PA6/5 MWCNT/CaCl2 | 14,168.0 |
| Membranes | Skin Layer Thickness (µm) | Total Thickness (µm) |
|---|---|---|
| PA6/1 MWCNT | 4.21 ± 1.32 | 42.52 ± 0.18 |
| PA6/CaCl2 | 10.82 ± 1.46 | 72.06 ± 0.31 |
| PA6/1 MWCNT/CaCl2 | 5.84 ± 0.45 | 83.60 ± 0.32 |
| PA6/3 MWCNT/CaCl2 | 6.58 ± 0.84 | 62.67 ± 0.24 |
| PA6/5 MWCNT/CaCl2 | 7.53 ± 1.27 | 84.66 ± 0.38 |
| Membranes | Ra | Membranes | Ra |
|---|---|---|---|
| PA6 | 118.079 nm | PA6/CaCl2 | 148.187 nm |
| PA6/1 MWCNT | 46.793 nm | PA6/1 MWCNT/CaCl2 | 129.936 nm |
| PA6/3 MWCNT | 92.645 nm | PA6/3 MWCNT/CaCl2 | 179.182 nm |
| PA6/5 MWCNT | 180.623 nm | PA6/5 MWCNT/CaCl2 | 200.378 nm |
Disclaimer/Publisher’s Note: The statements, opinions and data contained in all publications are solely those of the individual author(s) and contributor(s) and not of MDPI and/or the editor(s). MDPI and/or the editor(s) disclaim responsibility for any injury to people or property resulting from any ideas, methods, instructions or products referred to in the content. |
© 2025 by the authors. Licensee MDPI, Basel, Switzerland. This article is an open access article distributed under the terms and conditions of the Creative Commons Attribution (CC BY) license (https://creativecommons.org/licenses/by/4.0/).
Share and Cite
Serafim, C.M.M.; da Paz, R.A.; Dias, R.A.; Medeiros, V.d.N.; da Silva, P.T.V.; Luna, C.B.B.; Wellen, R.M.R.; Araújo, E.M. Exploring the Effect of the Porogenic Agent on Flat Membranes Based on Polyamide 6 (PA6)/Carbon Nanotubes (MWCNT) Nanocomposites. Processes 2025, 13, 3155. https://doi.org/10.3390/pr13103155
Serafim CMM, da Paz RA, Dias RA, Medeiros VdN, da Silva PTV, Luna CBB, Wellen RMR, Araújo EM. Exploring the Effect of the Porogenic Agent on Flat Membranes Based on Polyamide 6 (PA6)/Carbon Nanotubes (MWCNT) Nanocomposites. Processes. 2025; 13(10):3155. https://doi.org/10.3390/pr13103155
Chicago/Turabian StyleSerafim, Clara Maria Marinho, Renê Anísio da Paz, Rafael Agra Dias, Vanessa da Nóbrega Medeiros, Pamela Thainara Vieira da Silva, Carlos Bruno Barreto Luna, Renate Maria Ramos Wellen, and Edcleide Maria Araújo. 2025. "Exploring the Effect of the Porogenic Agent on Flat Membranes Based on Polyamide 6 (PA6)/Carbon Nanotubes (MWCNT) Nanocomposites" Processes 13, no. 10: 3155. https://doi.org/10.3390/pr13103155
APA StyleSerafim, C. M. M., da Paz, R. A., Dias, R. A., Medeiros, V. d. N., da Silva, P. T. V., Luna, C. B. B., Wellen, R. M. R., & Araújo, E. M. (2025). Exploring the Effect of the Porogenic Agent on Flat Membranes Based on Polyamide 6 (PA6)/Carbon Nanotubes (MWCNT) Nanocomposites. Processes, 13(10), 3155. https://doi.org/10.3390/pr13103155

