Sign in to use this feature.

Years

Between: -

Subjects

remove_circle_outline
remove_circle_outline
remove_circle_outline
remove_circle_outline
remove_circle_outline
remove_circle_outline
remove_circle_outline
remove_circle_outline
remove_circle_outline

Journals

remove_circle_outline
remove_circle_outline
remove_circle_outline
remove_circle_outline

Article Types

Countries / Regions

remove_circle_outline
remove_circle_outline
remove_circle_outline
remove_circle_outline

Search Results (346)

Search Parameters:
Keywords = cost efficient inverter

Order results
Result details
Results per page
Select all
Export citation of selected articles as:
18 pages, 4950 KB  
Article
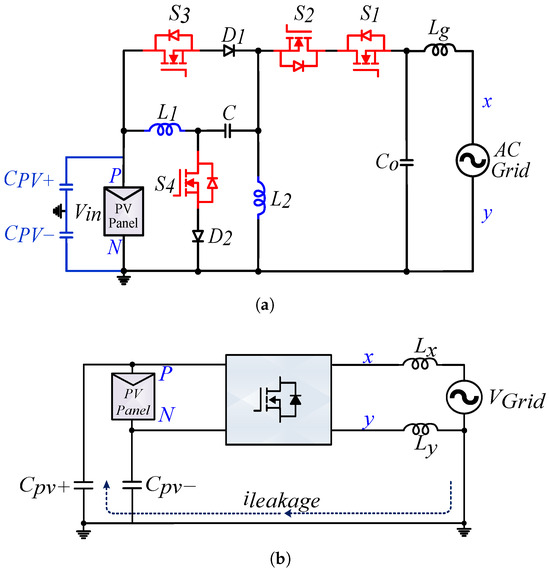
A New Single-Stage Four-Switch Common-Ground-Type Buck–Boost Inverter
by Abd Ullah, Yong-Ho Park and Youn-Ok Choi
Energies 2026, 19(1), 64; https://doi.org/10.3390/en19010064 - 22 Dec 2025
Abstract
The output voltages of photovoltaic panels typically fluctuate due to variations in environmental conditions, and therefore the use of a buck–boost inverter is essential. This article presents a novel buck–boost voltage-source inverter topology. The proposed inverter is transformerless and thus is smaller and [...] Read more.
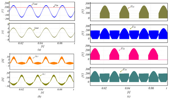
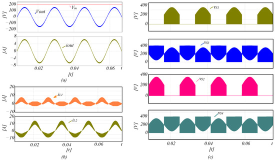
The output voltages of photovoltaic panels typically fluctuate due to variations in environmental conditions, and therefore the use of a buck–boost inverter is essential. This article presents a novel buck–boost voltage-source inverter topology. The proposed inverter is transformerless and thus is smaller and lower-cost than isolated topologies. The topology consists of four switches but only two of them operate at a high switching frequency during each half-cycle, which significantly reduces switching losses and improves efficiency. Furthermore, a common-ground connection between the inverter input and output effectively suppresses leakage current by mitigating the common-mode voltage issue. The modulation strategy, circuit operation, and design guidelines are presented in detail. Simulation and experimental results at 500 W are also provided to verify the effectiveness of the proposed inverter topology. Full article
(This article belongs to the Section I: Energy Fundamentals and Conversion)
Show Figures

Figure 1

30 pages, 3641 KB  
Article
Modified EfficientNet-B0 Architecture Optimized with Quantum-Behaved Algorithm for Skin Cancer Lesion Assessment
by Abdul Rehman Altaf, Abdullah Altaf and Faizan Ur Rehman
Diagnostics 2025, 15(24), 3245; https://doi.org/10.3390/diagnostics15243245 - 18 Dec 2025
Viewed by 203
Abstract
Background/Objectives: Skin cancer is one of the most common diseases in the world, whose early and accurate detection can have a survival rate more than 90% while the chance of mortality is almost 80% in case of late diagnostics. Methods: A [...] Read more.
Background/Objectives: Skin cancer is one of the most common diseases in the world, whose early and accurate detection can have a survival rate more than 90% while the chance of mortality is almost 80% in case of late diagnostics. Methods: A modified EfficientNet-B0 is developed based on mobile inverted bottleneck convolution with squeeze and excitation approach. The 3 × 3 convolutional layer is used to capture low-level visual features while the core features are extracted using a sequence of Mobile Inverted Bottleneck Convolution blocks having both 3 × 3 and 5 × 5 kernels. They not only balance fine-grained extraction with broader contextual representation but also increase the network’s learning capacity while maintaining computational cost. The proposed architecture hyperparameters and extracted feature vectors of standard benchmark datasets (HAM10000, ISIC 2019 and MSLD v2.0) of dermoscopic images are optimized with the quantum-behaved particle swarm optimization algorithm (QBPSO). The merit function is formulated by the training loss given in the form of standard classification cross-entropy with label smoothing, mean fitness value (mfval), average accuracy (mAcc), mean computational time (mCT) and other standard performance indicators. Results: Comprehensive scenario-based simulations were performed using the proposed framework on a publicly available dataset and found an mAcc of 99.62% and 92.5%, mfval of 2.912 × 10−10 and 1.7921 × 10−8, mCT of 501.431 s and 752.421 s for HAM10000 and ISIC2019 datasets, respectively. The results are compared with state of the art, pre-trained existing models like EfficentNet-B4, RegNetY-320, ResNetXt-101, EfficentNetV2-M, VGG-16, Deep Lab V3 as well as reported techniques based on Mask RCCN, Deep Belief Net, Ensemble CNN, SCDNet and FixMatch-LS techniques having varying accuracies from 85% to 94.8%. The reliability of the proposed architecture and stability of QBPSO is examined through Monte Carlo simulation of 100 independent runs and their statistical soundings. Conclusions: The proposed framework reduces diagnostic errors and assists dermatologists in clinical decisions for an improved patient outcomes despite the challenges like data imbalance and interpretability. Full article
(This article belongs to the Special Issue Medical Image Analysis and Machine Learning)
Show Figures

Figure 1

22 pages, 13704 KB  
Article
Application of Metaheuristic Optimisation Techniques for the Optimisation of a Solid-State Circuit Breaker
by Adam P. Lewis, Gerardo Calderon-Lopez, Ingo Lüdtke, Jason Vincent-Newson, Sahil Upadhaya, Jas Singh and Matt Grubb
Appl. Sci. 2025, 15(24), 12983; https://doi.org/10.3390/app152412983 - 9 Dec 2025
Viewed by 250
Abstract
Designing solid-state circuit breakers (SSCBs) involves a large discrete design space spanning MOSFET type, bypass configuration, and heatsink selection. This work formulates SSCB design as a multi-objective combinatorial optimisation problem that minimises conduction loss and material cost subject to electrothermal feasibility constraints. A [...] Read more.
Designing solid-state circuit breakers (SSCBs) involves a large discrete design space spanning MOSFET type, bypass configuration, and heatsink selection. This work formulates SSCB design as a multi-objective combinatorial optimisation problem that minimises conduction loss and material cost subject to electrothermal feasibility constraints. A validated electrothermal model was developed using experimentally measured RDSon(T) data and thermal-impedance characterisation, allowing rapid and accurate evaluation of candidate configurations. Because the full design space exceeds one million combinations, five representative metaheuristic algorithms: Genetic Algorithm (GA), Particle Swarm Optimisation (PSO), Grey Wolf Optimisation (GWO), Ant Colony Optimisation (ACO), and Gorilla Troops Optimisation (GTO), were benchmarked under an identical computational budget of 2000 evaluations. Sobol sequence initialisation was used to enhance search diversity. Each algorithm was executed 100 times, and its performance was quantitatively assessed using hypervolume, generational distance (GD), inverted generational distance (IGD), Hausdorff distance, overlapping-point score (OP), overall spread (OS), and distribution metrics (DM). GA consistently produced the closest approximation to the true Pareto front obtained from brute-force enumeration, achieving superior accuracy, coverage, and robustness. GTO offered strong secondary performance, while PSO, GWO, and ACO delivered partial front reconstruction. The results demonstrate that metaheuristic optimisation, particularly GA, can reduce SSCB design time significantly while retaining high fidelity, offering a scalable and efficient framework for future power-electronics design tasks. Full article
(This article belongs to the Special Issue New Challenges in Low-Power Electronics Design)
Show Figures

Figure 1

26 pages, 14864 KB  
Article
A PHIL Controller Design Automation Method for Grid-Forming Inverters with Much Reduced Computational Delay
by Jian Yu, Hao Wu, Yulong Hao, Xuanxuan Liang and Zixiang Zhang
Machines 2025, 13(12), 1108; https://doi.org/10.3390/machines13121108 - 29 Nov 2025
Viewed by 320
Abstract
Within a power hardware-in-the-loop (PHIL) controller design automation (CDA) framework for voltage feedback grid-forming inverters, a scaled-down inverter system is developed for time-domain response solving. This hardware-based approach effectively addresses the conflicting demands of accuracy, computational efficiency, and modeling cost that are commonly [...] Read more.
Within a power hardware-in-the-loop (PHIL) controller design automation (CDA) framework for voltage feedback grid-forming inverters, a scaled-down inverter system is developed for time-domain response solving. This hardware-based approach effectively addresses the conflicting demands of accuracy, computational efficiency, and modeling cost that are commonly encountered in simulation-based methods. Conventional synchronous sampling in digitally controlled pulse-width modulation (PWM) inverters introduces severe low-frequency distortion and significant ripple components in the step response, leading to non-decaying oscillations that compromise the extraction of settling time and steady-state error. By analyzing the sideband aliasing mechanism in capacitor-voltage sampling and associated harmonic-cancellation conditions, aliasing-free sampling is achieved using 90° phase-shifted anti-aliasing filters combined with synchronous sampling. Although Fast Fourier Transform (FFT) filtering offers the highest fidelity, it suffers from window-boundary distortions and is unsuitable for online use; therefore, four practical filtering schemes are evaluated against the FFT benchmark, among which oversampling with moving-average filtering (MAF) retains dynamics closest to the FFT result while avoiding its distortions. An objective function incorporating step-response metrics is constructed to optimize single-variable active damping and multiple resonant controllers, mitigating severe overshoot encountered in conventional integral-based approaches. Experimental results verify the aliasing mechanism and the effectiveness of the proposed CDA method. Full article
(This article belongs to the Section Electrical Machines and Drives)
Show Figures

Figure 1

17 pages, 3565 KB  
Article
Assessment of Geohydraulic Parameters in Coastal Aquifers Using Electrical Resistivity Tomography: A Case Study from the Chaouia Region, Western Morocco
by Saliha Najib, Ahmed Fadili, Othmane Boualla, Khalid Mehdi, Mohammed Bouzerda, Abdelhadi Makan, Bendahhou Zourarah and Said Ilmen
Earth 2025, 6(4), 149; https://doi.org/10.3390/earth6040149 - 27 Nov 2025
Viewed by 283
Abstract
This study investigated the geohydraulic properties of the Chaouia coastal aquifer in western Morocco through two-dimensional Electrical Resistivity Tomography (ERT). Five resistivity profiles were carried out and inverted to define subsurface lithology and estimate hydraulic conductivity (K), effective porosity (Φeff), and [...] Read more.
This study investigated the geohydraulic properties of the Chaouia coastal aquifer in western Morocco through two-dimensional Electrical Resistivity Tomography (ERT). Five resistivity profiles were carried out and inverted to define subsurface lithology and estimate hydraulic conductivity (K), effective porosity (Φeff), and transmissivity (T) using the empirical relationships.The obtained results showed that K ranged from 1.2 m/day to more than 217.4 m/day, Φeff varied between 20.3% and 47.8%, and T varied between 0.4 and 159.3 m2/day. These findings highlight considerable lithological variability, with low to intermediate values in Plio-Quaternary deposits and higher values in fractured Cretaceous marly limestones. Comparison with available pumping test data and numerical modeling validated the consistency of the ERT-derived estimates with independent hydrogeological evidence. The present study demonstrates that, in areas where pumping tests are limited or impractical, ERT provides an effective, non-invasive, and cost-efficient tool for aquifer characterization. These findings offer valuable insights for groundwater assessment and support the development of sustainable management strategies to mitigate overexploitation and seawater intrusion in vulnerable coastal aquifers and propose sustainable strategies for conserving these water resources. Full article
Show Figures

Figure 1

21 pages, 3432 KB  
Article
AI-Assisted Adaptive Sliding Mode Control for Pseudo-Resonance Suppression in Dynamic Capacitive Wireless Charging Systems
by Shuchang Cai, Qing Dong, Pedram Asef and Mahdi Salimi
Energies 2025, 18(22), 6052; https://doi.org/10.3390/en18226052 - 19 Nov 2025
Viewed by 349
Abstract
The development of robust and efficient wireless charging systems is essential for the widespread adoption of electrification in the transport sector, e.g., Electric Vehicles (EVs). Capacitive Wireless Power Transfer (CWPT) has emerged as a promising alternative to inductive methods, offering advantages such as [...] Read more.
The development of robust and efficient wireless charging systems is essential for the widespread adoption of electrification in the transport sector, e.g., Electric Vehicles (EVs). Capacitive Wireless Power Transfer (CWPT) has emerged as a promising alternative to inductive methods, offering advantages such as lower cost, lighter structure, and reduced electromagnetic interference. However, the performance of practical CWPT systems, particularly systems employing simple L-type compensation networks, is severely affected by coupling plate misalignment, which causes variations in coupling capacitance. These variations give rise to a pseudo-resonance phenomenon, wherein conventional controllers, such as traditional Sliding Mode Control, mistakenly regulate reactive power to zero at an off-resonant frequency, leading to a drastic collapse in active power transfer. To overcome this limitation, this paper introduces a novel Adaptive Sliding Mode Control (ASMC) framework augmented with an online Recursive Least Squares (RLS) observer for real-time estimation of the time-varying coupling capacitance. The proposed dual-loop control structure integrates an inner adaptive loop that accurately tracks capacitance changes and an outer sliding mode loop that dynamically adjusts the inverter switching frequency to sustain true resonant operation. A rigorous Lyapunov-based stability analysis confirms global convergence and robustness of the closed-loop system. Comprehensive MATLAB/Simulink R2025a simulations validate the proposed approach, demonstrating its capability to maintain zero reactive power and stable 35 kW power transfer with over 95% efficiency under dynamic misalignment conditions of up to 30%. In contrast, a conventional SMC approach experiences severe pseudo-resonant collapse, with output power degrading below 1 kW. These results conclusively highlight the effectiveness and necessity of the proposed ASMC-RLS strategy for achieving robust, misalignment-tolerant CWPT in high-power EV charging applications. Full article
(This article belongs to the Section E: Electric Vehicles)
Show Figures

Figure 1

19 pages, 2873 KB  
Article
High-Performance Sensorless Control of Induction Motors via ANFIS and NPC Inverter Topology
by Zina Boussada, Bassem Omri and Mouna Ben Hamed
Symmetry 2025, 17(11), 1996; https://doi.org/10.3390/sym17111996 - 18 Nov 2025
Viewed by 441
Abstract
This paper presents a high-performance sensorless control strategy for induction motors using an Adaptive Neuro-Fuzzy Inference System (ANFIS) for rotor speed estimation, eliminating the need for mechanical sensors. The ANFIS approach leverages stator voltages and currents, reducing costs and complexity. The motor is [...] Read more.
This paper presents a high-performance sensorless control strategy for induction motors using an Adaptive Neuro-Fuzzy Inference System (ANFIS) for rotor speed estimation, eliminating the need for mechanical sensors. The ANFIS approach leverages stator voltages and currents, reducing costs and complexity. The motor is controlled via Indirect Stator Field Orientation Control (ISFOC) with a three-level Neutral–Point–Clamped (NPC) inverter employing Space Vector Modulation (SVM). Symmetry in the motor’s magnetic structure and SVM’s switching patterns enhances control precision, stability, and efficiency while minimizing harmonic distortion. Simulation results validate the proposed ANFIS-based estimator’s superior performance compared to a MRAS-based Luenberger observer under various operating conditions, demonstrating accurate speed tracking and robustness against load disturbances. Full article
(This article belongs to the Section Engineering and Materials)
Show Figures

Figure 1

22 pages, 4423 KB  
Article
Research on a Real-Time Tunnel Vehicle Speed Detection System Based on YOLOv8 and DeepSORT Algorithms
by Honglin Mu, Xinyuan Wang, Junshan Tian and Yanqun Yang
Intell. Infrastruct. Constr. 2025, 1(3), 10; https://doi.org/10.3390/iic1030010 - 18 Nov 2025
Viewed by 408
Abstract
Tunnels serve as a critical hub in urban transportation networks; their monotonous and enclosed environment is prone to inducing speeding behavior, necessitating an efficient vehicle speed monitoring system. Traditional methods suffer from high costs and slow response times, making them inadequate for the [...] Read more.
Tunnels serve as a critical hub in urban transportation networks; their monotonous and enclosed environment is prone to inducing speeding behavior, necessitating an efficient vehicle speed monitoring system. Traditional methods suffer from high costs and slow response times, making them inadequate for the complex scenarios encountered in tunnel environments. This study proposes a real-time tunnel vehicle speed monitoring system based on YOLOv8s and DeepSORT. YOLOv8s is used to detect and classify cars, trucks, and buses, while DeepSORT applies Kalman filtering and the Hungarian algorithm to construct motion trajectories. Vehicle speed is estimated through perspective geometric transformation combined with a sliding-window approach, with a speeding threshold of 100 km/h and corresponding visual alerts. Using surveillance video from an expressway tunnel as the dataset, the system achieved detection accuracies of 98% for cars, 96% for trucks, and 91% for buses. Speed detection performance metrics included an average speed deviation (ASD) of 2.54 km/h, a deviation degree of vehicle speed (DDVS) of 3.12, vehicle speed stability (VST) of 1.22, and speed difference ratio (SDR) of 2.9%. Analysis revealed a longitudinal “deceleration–acceleration–deceleration” inverted U-shaped speed profile along the tunnel. Statistical tests confirmed these findings: the Mann–Whitney U test showed highly significant differences in vehicle speeds between cars and trucks across different tunnel sections, and the Kruskal–Wallis test further indicated significant speed variations across the entrance, middle, and exit segments for both vehicle types. Full article
Show Figures

Figure 1

14 pages, 6678 KB  
Article
Effect of Weighting Factors in Energy Efficiency of Predictive Control of Multi-Phase Drives
by Esteban Marsal, Manuel R. Arahal, Manuel G. Satué and Kumars Rouzbehi
Appl. Sci. 2025, 15(22), 12148; https://doi.org/10.3390/app152212148 - 16 Nov 2025
Viewed by 471
Abstract
Predictive current control of variable speed drives by direct command of inverter states allows fast control. Its application to multiphase system constitutes a flexible solution that tackles several objectives by means of a cost function with several terms. Weighting factors are used to [...] Read more.
Predictive current control of variable speed drives by direct command of inverter states allows fast control. Its application to multiphase system constitutes a flexible solution that tackles several objectives by means of a cost function with several terms. Weighting factors are used to give relative importance of each term. They have a remarkable effect on figures of merit. In particular, secondary plane content and average switching frequency are usually considered as figures of merit. However, weighting factor effect on global energy efficiency has not been studied before because losses have different sources (commutations, Joule effect, etc.) that do not have a clear link with weighting factors and because trade-offs might appear. The present work uses an experimental setup with a five-phase induction machine connected to a mechanical load. By measuring the power balance, it is possible to show the effect of weighting factor tuning on losses. By tuning λxy, efficiency increases by up to 25%. In parallel, optimizing λnc reduces the average switching frequency by 9% and 18% across the evaluated configurations. This enables the selection of the most adequate values of the weighting factors. The results show that for each speed and load combination, the drive exhibits improved efficiency for some tuning. Full article
Show Figures

Figure 1

15 pages, 5101 KB  
Article
Rigless Advancements: Enhancing Electric Submersible Pump Reliability Through Cable Deployment
by Majid M. Rafie, Tariq A. Almubarak, Khaled M. Mutairi and Mulad B. Winarno
Energies 2025, 18(22), 5944; https://doi.org/10.3390/en18225944 - 12 Nov 2025
Viewed by 537
Abstract
Electric Submersible Pumps (ESPs) are widely deployed in high-flowrate wells but are constrained by frequent failures and the need for rig-based interventions. This study presents the development and field validation of a rigless cable-deployed ESP (CDESP) system designed to enhance operational uptime and [...] Read more.
Electric Submersible Pumps (ESPs) are widely deployed in high-flowrate wells but are constrained by frequent failures and the need for rig-based interventions. This study presents the development and field validation of a rigless cable-deployed ESP (CDESP) system designed to enhance operational uptime and reduce intervention costs. The system features a corrosion-resistant metal-jacketed power cable, an inverted ESP configuration that eliminates the motor lead extension (MLE), and a vertical cable hanger spool (VCHS) for surface integration without removing the production tree. A field trial in a high-H2S well demonstrated successful rigless deployment using coiled tubing (CT), achieving over two years of continuous runtime. Post-retrieval inspection revealed minimal wear, validating the system’s mechanical durability and reusability. Operational performance demonstrated reduced non-productive time (NPT), enhanced safety, and cost savings, with deployment completed in under 24 h, compared to the typical 10–14 days for rig-based methods. The CDESP system’s compatibility with digital monitoring and its potential for redeployment across wells positions it as a transformative solution for offshore and mature field operations. These findings support the broader adoption of CDESP as a scalable, efficient, and safer alternative to conventional ESP systems. Full article
(This article belongs to the Section H1: Petroleum Engineering)
Show Figures

Figure 1

19 pages, 3804 KB  
Article
Impedance Characteristics and Stability Enhancement of Sustainable Traction Power Supply System Integrated with Photovoltaic Power Generation
by Peng Peng, Tongxu Zhang, Xiangyan Yang, Yaozhen Chen, Guotao Cao, Qiujiang Liu and Mingli Wu
Sustainability 2025, 17(22), 10055; https://doi.org/10.3390/su172210055 - 11 Nov 2025
Viewed by 394
Abstract
The integration of electric railways with renewable energy sources is crucial for advancing sustainable transportation and building clean, low-carbon, and efficient energy systems in alignment with global sustainable development goals. However, the application of photovoltaic (PV) integration into railway traction power supply systems [...] Read more.
The integration of electric railways with renewable energy sources is crucial for advancing sustainable transportation and building clean, low-carbon, and efficient energy systems in alignment with global sustainable development goals. However, the application of photovoltaic (PV) integration into railway traction power supply systems may exacerbate resonance phenomena between electric locomotives and the traction network. It is therefore necessary to study the impedance frequency characteristics (IFCs) of traction networks to minimize harmonic resonance overvoltage. In this paper, a harmonic impedance model of the sustainable traction power supply system (STPSS) is established, and an impedance analysis method is adopted to reveal the influence law of grid-connected PV inverters on the IFCs of STPSSs. Additionally, to improve the stability of STPSSs, a multi-parameter co-tuning method based on an improved particle swarm optimization algorithm is proposed. This method constructs a multi-objective function that includes resonance frequency, impedance magnitude, and filtering cost, thereby realizing the automatic optimization of the control parameters and filtering parameters of PV inverters. The results demonstrate a 56% reduction in the maximum impedance magnitude within the 0–5 kHz frequency range and a 10.8% cost reduction in the LCL filter implementation, confirming the effectiveness of the proposed optimization model. Results show that the maximum impedance magnitude of the optimized system in the frequency range of 0–5 kHz can be reduced by 56%. Moreover, the cost of LCL filters can be reduced by 10.8% through component value optimization. These findings validate the effectiveness of the proposed method. Full article
Show Figures

Figure 1

22 pages, 2429 KB  
Article
A Hybrid Modeling Framework for Evaluating ESG Investment Risks in Highway Real Estate Investment Trusts: Insights from Chinese Highway Assets
by Xinghua Wang and Zhenwu Shi
Systems 2025, 13(11), 1004; https://doi.org/10.3390/systems13111004 - 10 Nov 2025
Viewed by 900
Abstract
ESG (Environmental, Social, and Governance) considerations are increasingly influencing REIT (real estate investment trust) investment decisions; however, empirical evidence on the ESG–financial performance nexus in infrastructure REITs remains scarce. Given China’s nascent highway REIT market, this exploratory study proposes a hybrid modeling framework [...] Read more.
ESG (Environmental, Social, and Governance) considerations are increasingly influencing REIT (real estate investment trust) investment decisions; however, empirical evidence on the ESG–financial performance nexus in infrastructure REITs remains scarce. Given China’s nascent highway REIT market, this exploratory study proposes a hybrid modeling framework that integrates static econometric analysis with dynamic system simulation to examine how ESG factors affect investment risk. Using VaR (Value at Risk) analysis and an ESG-adjusted CAPM (Capital Asset Pricing Model) on 10 Chinese highway REITs (2021Q2–2025Q2), we constructed a composite ESG indicator via a weighted proxy approach. We identified three key findings testing hypotheses linked to ESG finance theory; these findings support H1 (non-monotonic VaR reduction) and partially confirm H2 (inverted-U path with lag): (1) the ESG-adjusted weighted average cost of capital (WACC) exhibits an inverted U-shaped trajectory with post-peak oscillations and an overall 20-month implementation lag (derived from system dynamics simulations) to efficiency realization; (2) the results suggest initial evidence showing that an ESG investment intensity (IEP ≈ 0.40, representing moderate ESG resource allocation) may indicate potential outperformance over both under-investment (−5.0% deviation in risk-adjusted returns) and over-investment (−8.0% deviation in risk-adjusted returns), though with uncertainty in static estimates; and (3) system dynamics validation suggests potential predictive accuracy. These preliminary findings challenge linear ESG–performance assumptions and offer dynamic risk assessment tools; nevertheless, as an exploratory study, they warrant replication in larger and more diverse samples. Thus, the results should be regarded as preliminary guidance rather than conclusive evidence, with further validation needed to confirm generalizability. Full article
(This article belongs to the Section Systems Engineering)
Show Figures

Figure 1

18 pages, 1502 KB  
Article
Multi-Resource Coordinated Optimization for Harmonic and Voltage Compensation in Microgrids
by Hao Bai, Ruotian Yao, Tong Liu, Yiyong Lei and Yawen Zheng
Energies 2025, 18(22), 5884; https://doi.org/10.3390/en18225884 - 8 Nov 2025
Viewed by 384
Abstract
To address the problem of uncoordinated operation between distributed generation (DG) inverters and dedicated power quality devices, this paper proposes a coordinated optimization model for harmonic and voltage compensation in microgrids. The model considers the capacity constraints of DG inverters and compensation devices, [...] Read more.
To address the problem of uncoordinated operation between distributed generation (DG) inverters and dedicated power quality devices, this paper proposes a coordinated optimization model for harmonic and voltage compensation in microgrids. The model considers the capacity constraints of DG inverters and compensation devices, aiming to realize efficient utilization of multi-resource compensation capabilities. A dual-objective optimization framework is established, which simultaneously minimizes total economic cost and enhances overall power quality performance. The first objective function reflects investment and operational costs, while the second quantifies system performance through total harmonic distortion (THD) and average voltage deviation (AVD). The Normal–Normal Constraint (NNC) method is adopted to ensure optimization stability and feasible trade-offs between the two objectives. The proposed approach is validated on the IEEE 33-bus microgrid system, and its results are compared with traditional heuristic algorithms such as PSO. Simulation results show that the proposed method effectively reduces total operating cost while significantly improving harmonic and voltage compensation performance. This study provides a practical reference for coordinated power quality management in microgrids. Full article
(This article belongs to the Special Issue Modeling, Stability Analysis and Control of Microgrids)
Show Figures

Figure 1

30 pages, 1213 KB  
Article
The Impact of Digital Economy on the Cost of Carbon Emission Reduction—A Theoretical and Empirical Study Based on a Carbon Market Framework
by Yuguo Ji, Xinsheng Pang and Yu Yang
Sustainability 2025, 17(21), 9771; https://doi.org/10.3390/su17219771 - 2 Nov 2025
Viewed by 905
Abstract
A central sustainability question is how the digital economy helps societies decarbonize at lower cost. We develop a carbon-market-consistent framework to show how digitalization can strengthen market governance, reduce regional carbon-abatement costs, and accelerate green transformation. Using data for 30 Chinese provinces from [...] Read more.
A central sustainability question is how the digital economy helps societies decarbonize at lower cost. We develop a carbon-market-consistent framework to show how digitalization can strengthen market governance, reduce regional carbon-abatement costs, and accelerate green transformation. Using data for 30 Chinese provinces from 2011–2022, we estimate panel fixed-effects models and conduct numerical simulations to test the digital economy’s dynamic, inverted-U-shaped effect on abatement costs, accounting for internal and external drivers. The digital development shifts the abatement–cost curve downward and leftward by speeding the transition from internal mitigation costs to external trading costs, enabling regions to reach the cost-reduction stage earlier and at lower overall cost. Mechanism evidence indicates two channels: externally, digitalization enhances carbon-market sophistication (liquidity, price discovery, and compliance efficiency); internally, it promotes technological progress and energy-efficiency improvements that raise emission-reduction productivity. In the short run, emissions trading provides external incentives that buffer production-cost pressures from digital-capital investment; in the long run, digital growth accelerates the energy transition and structurally increases abatement efficiency. Heterogeneity analysis shows a more pronounced inverted-U in central and western provinces, while eastern provinces have largely entered a sustained cost-decline phase. By lowering the social cost of achieving emissions targets, the digital economy directly supports sustainable development and China’s green, low-carbon transition. Full article
Show Figures

Figure 1

31 pages, 4521 KB  
Article
Pricing Decisions and Financing Strategy Selection for a Capital-Constrained Green Supply Chain with Government Subsidy Pledge
by Yu Zhou and Ran Wang
Sustainability 2025, 17(21), 9654; https://doi.org/10.3390/su17219654 - 30 Oct 2025
Viewed by 1373
Abstract
Under the global carbon neutrality strategy, green transformation poses significant financial challenges for manufacturers, particularly due to delayed government subsidy disbursements. This study examines a two-echelon green supply chain where a capital-constrained manufacturer utilizes the Uncollected Financial Subsidy Receivable (UFSR) as collateral for [...] Read more.
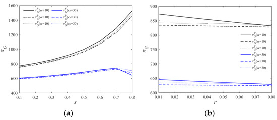
Under the global carbon neutrality strategy, green transformation poses significant financial challenges for manufacturers, particularly due to delayed government subsidy disbursements. This study examines a two-echelon green supply chain where a capital-constrained manufacturer utilizes the Uncollected Financial Subsidy Receivable (UFSR) as collateral for financing. Assuming risk-neutral supply chain members, we develop a Stackelberg game-theoretic model to analyze four financing scenarios: no financing, pure subsidy pledge financing, and two hybrid strategies combining subsidy pledges with bank loans or trade credit. Our analysis reveals that the manufacturer’s optimal financing strategy depends critically on its initial capital level and financing costs, with pure subsidy financing being preferable under moderate funding gaps and lower pledge interest rates. The results demonstrate threshold effects where strategy dominance shifts. Furthermore, increasing the subsidy rate consistently enhances product greenness and consumer surplus, whereas its impact on government utility follows an inverted U-shape under certain conditions. These findings provide a theoretical basis for enterprises to optimize financing decisions and for policymakers to design efficient subsidy mechanisms. Full article
Show Figures

Figure 1

Back to TopTop