Multi-Resource Coordinated Optimization for Harmonic and Voltage Compensation in Microgrids
Abstract
1. Introduction
2. Power Quality Management Functions of Grid-Connected Inverter in Microgrid
3. Optimization Model of the Microgrids Considering GCI Compensation
3.1. Objective Function
3.2. Constraints
3.2.1. Fundamental Power Flow Constraint
3.2.2. Harmonic Power Flow Constraint
3.2.3. SAPF Capacity Constraints
3.2.4. Node Voltage Magnitude Constraint
3.2.5. Harmonic Voltage Distortion Rate Constraint
3.3. Multi-Objective Optimization Utilizing the NNC Approach
3.3.1. Solution Methods for Multi-Objective Optimization Problems
3.3.2. Implementation Steps of the NNC Method
3.3.3. Final Decision Scheme Selection
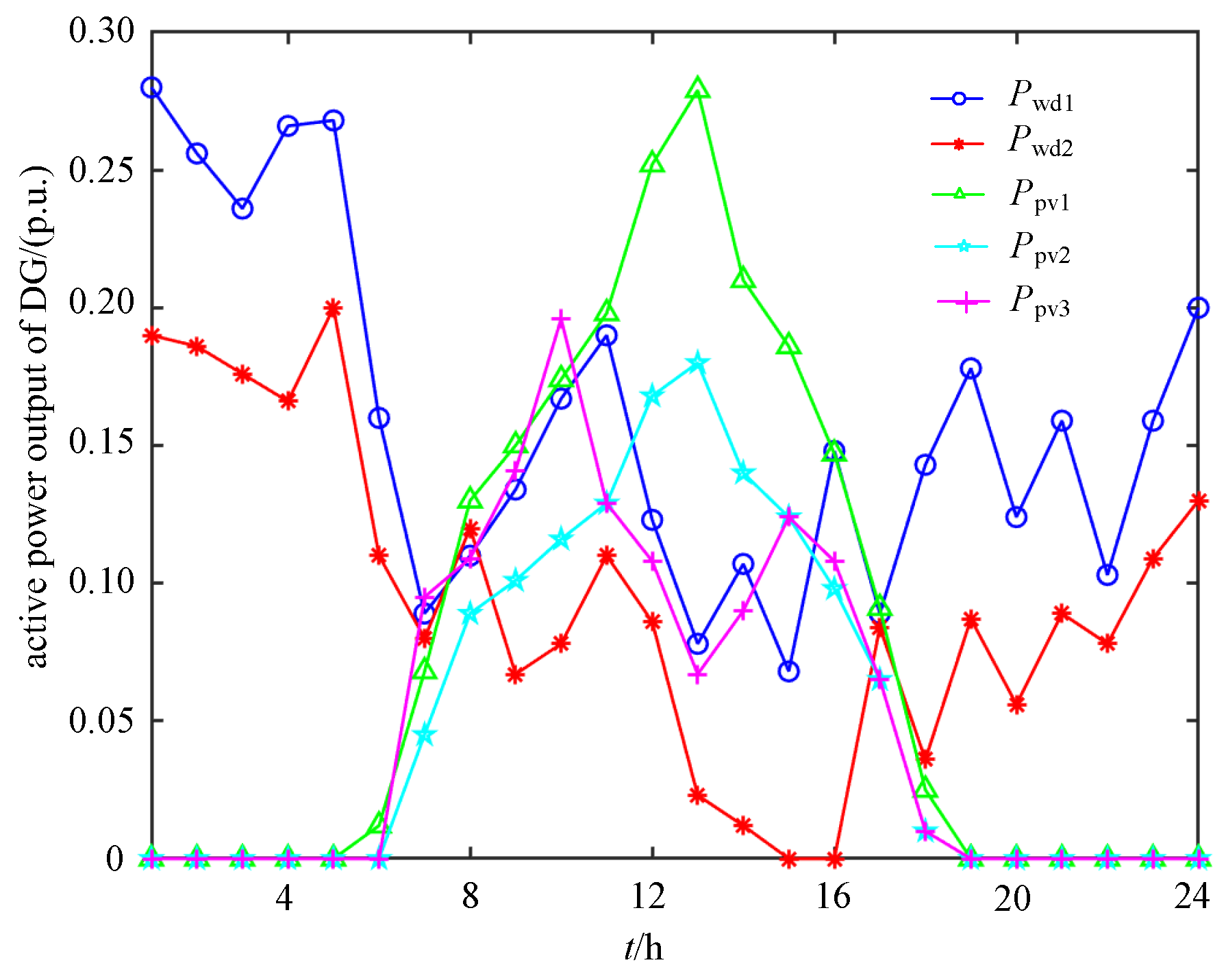
4. Case Study
4.1. Optimization Model Solving
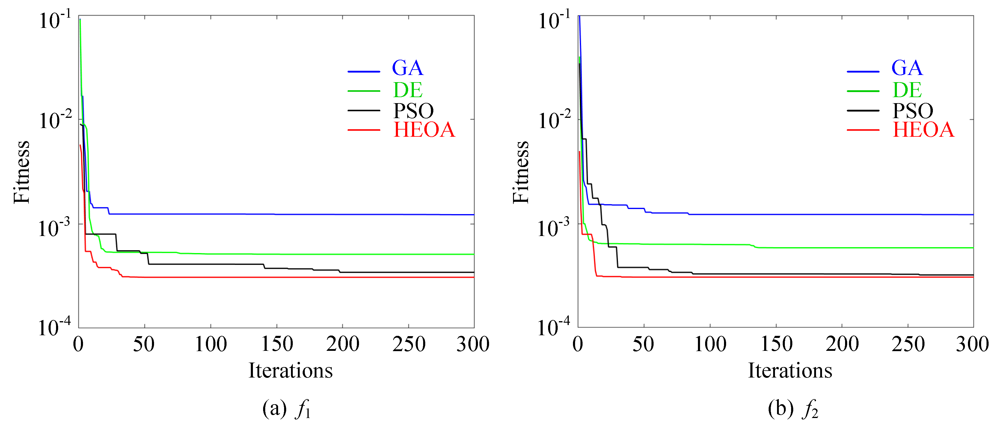
4.2. Algorithm Comparison
5. Conclusions
Author Contributions
Funding
Data Availability Statement
Conflicts of Interest
References
- Zhan, Y.; Xie, X.; Zhang, X. Security Region-Based Probabilistic Stability Analysis of Sub/Super-Synchronous Oscillation in Wind Power Integrated Power Systems. IEEE Access 2024, 12, 160776–160783. [Google Scholar] [CrossRef]
- Lin, L.J.; Jia, Q.Q.; Lv, C.H.; Liang, J.F.; Luo, P. Partitional Collaborative Mitigation Strategy of Distribution Network Harmonics Based on Distributed Model Predictive Control. IEEE Trans. Smart Grid 2023, 14, 1998–2009. [Google Scholar] [CrossRef]
- Tian, S.Y.; Jia, Q.Q.; Xue, S.W.; Shi, L.; Lv, C.H.; Bu, L.Y.; Zhou, W. Two-layer model of siting and sizing for active power filters and static var generators considering reactive power capability and active power curtailment of DGs. IET Gener. Transm. Distrib. 2022, 16, 2913–2927. [Google Scholar] [CrossRef]
- Dehaghani, M.N.; Korõtko, T.; Rosin, A. AI Applications for Power Quality Issues in Distribution Systems: A Systematic Review. IEEE Access 2025, 13, 18346–18365. [Google Scholar] [CrossRef]
- Singh, Y.; Singh, B.; Mishra, S. Control of Single-Phase Distributed PV-Battery Microgrid for Smooth Mode Transition with Improved Power Quality. IEEE Trans. Ind. Appl. 2022, 58, 6286–6296. [Google Scholar] [CrossRef]
- Sahli, A.; Krim, F.; Laib, A.; Talbi, B. Model predictive control for single phase active power filter using modified packed U-cell (MPUC5) converter. Electr. Power Syst. Res. 2020, 180, 106139. [Google Scholar] [CrossRef]
- Afonso, J.L.; Tanta, M.; Pinto, J.G.O.; Monteiro, L.F.; Machado, L.; Sousa, T.J.; Monteiro, V. A review on power electronics technologies for power quality improvement. Energies 2021, 14, 8585. [Google Scholar] [CrossRef]
- Khergade, A.V.; Satputaley, R.J.; Borghate, V.B.; Raghava, B. Harmonics Reduction of Adjustable Speed Drive Using Transistor Clamped H-Bridge Inverter Based DVR with Enhanced Capacitor Voltage Balancing. IEEE Trans. Ind. Appl. 2020, 56, 6744–6755. [Google Scholar] [CrossRef]
- Aljumah, A.S.; Alqahtani, M.H.; Ginidi, A.R.; Shaheen, A.M. Improved Artificial Hummingbird Algorithm for Optimal Allocation of SVCs in Distribution Networks to Maximize Energy Efficiency. J. Mod. Power Syst. Clean Energy 2024. early access. [Google Scholar] [CrossRef]
- Djalal, M.R.; Robandi, I.; Prakasa, M.A. Stability enhancement of sulselrabar electricity system using mayfly algorithm based on static var compensator and multi-band power system stabilizer PSS2B. IEEE Access 2023, 11, 57319–57340. [Google Scholar] [CrossRef]
- Li, X.; Wang, H.; Li, J. Power Quality Control and Multi-Objective Optimization Compensation Strategy for Grid-Connected Multi-Functional Inverters. In Proceedings of the 2024 China International Conference on Electricity Distribution(CICED), Hangzhou, China, 12–13 September 2024; pp. 969–974. [Google Scholar] [CrossRef]
- Choi, W.; Lee, W.; Han, D.; Sarlioglu, B. New configuration of multifunctional grid-connected inverter to improve both current-based and voltage-based power quality. IEEE Trans. Ind. Appl. 2018, 54, 6374–6382. [Google Scholar] [CrossRef]
- Maganti, S.; Padhy, N.P. A feedback-based flexible compensation strategy for a weak-grid-tied current-controlled converter under unbalanced and harmonic conditions. IEEE Trans. Ind. Appl. 2022, 58, 7739–7753. [Google Scholar] [CrossRef]
- Zobaa, A.F. Mixed-integer distributed ant colony multi-objective optimization of single-tuned passive harmonic filter parameters. IEEE Access 2019, 7, 44862–44870. [Google Scholar] [CrossRef]
- Cao, W.; Liu, K.; Wu, M.; Xu, S.; Zhao, J. An improved current control strategy based on particle swarm optimization and steady-state error correction for SAPF. IEEE Trans. Ind. Appl. 2019, 55, 4268–4274. [Google Scholar] [CrossRef]
- Yu, L.L.; Zhang, L.H.; Meng, G.J.; Zhang, F.; Liu, W.X. Research on multi-objective reactive power optimization of power grid with high proportion of new energy. IEEE Access 2022, 10, 116443–116452. [Google Scholar] [CrossRef]
- Dai, Z.Q.; Pei, X.; Hu, W.; Wang, H.T.; Xu, Y.N.; Tao, T. Research on Active and Reactive Power Coordinated Dispatching of Distribution Network Considering Reactive Power Optimization Configuration. In Proceedings of the 2025 IEEE 3rd International Conference on Power Science and Technology (ICPST), Kunming, China, 16–18 May 2025; pp. 652–657. [Google Scholar] [CrossRef]
- Wang, J.; Zhou, N.; Ran, Y.C.; Ran, Y.H.; Wang, Q.G. Optimal operation of active distribution network involving the unbalance and harmonic compensation of converter. IEEE Trans. Smart Grid 2019, 10, 5360–5373. [Google Scholar] [CrossRef]
- Lian, J.; Hui, G. Human evolutionary optimization algorithm. Expert Syst. Appl. 2024, 241, 122638. [Google Scholar] [CrossRef]
- Wu, Y.K.; Lee, C.Y.; Liu, L.C.; Tsai, S.H. Study of reconfiguration for the distribution system with distributed generators. IEEE Trans. Power Deliv. 2010, 25, 1678–1685. [Google Scholar] [CrossRef]
- Mazin, H.E.; Nino, E.E.; Xu, W.; Yong, J. A Study on the Harmonic Contributions of Residential Loads. IEEE Trans. Power Deliv. 2011, 26, 1592–1599. [Google Scholar] [CrossRef]
- Jain, M.; Saihjpal, V.; Singh, N.; Singh, S.B. An overview of variants and advancements of PSO algorithm. Appl. Sci. 2022, 12, 8392. [Google Scholar] [CrossRef]
- Iqbal, H.; Sarwat, A. Design and Implementation of Hybrid GA-PSO-Based Harmonic Mitigation Technique for Modified Packed U-Cell Inverters. Energies 2025, 18, 124. [Google Scholar] [CrossRef]
- Shi, X.H.; Liang, Y.C.; Lee, H.P.; Lu, C.; Wang, L.M. An improved GA and a novel PSO-GA-based hybrid algorithm. Inf. Process. Lett. 2005, 93, 255–261. [Google Scholar] [CrossRef]
- Song, Y.; Cai, X.; Zhou, X.; Zhang, B.; Chen, H.; Li, Y.; Deng, W. Dynamic hybrid mechanism-based differential evolution algorithm and its application. Expert Syst. Appl. 2023, 213, 118834. [Google Scholar] [CrossRef]












| Algorithm | Pollution Types | Mitigation Method | Node (Total Compensation Capacity/p.u.) |
|---|---|---|---|
| NNC-HEOA | Harmonic | DG | 12 (1.125), 18 (1.367), 25 (1.853), 29 (1.129), 33 (1.532) |
| SAPF | 10 (0.024), 17 (0.0), 18 (0.877), 22 (1.058), 33 (0.026) | ||
| Voltage Deviation | DG | 12 (1.269), 18 (1.122), 25 (1.193), 29 (1.847), 33 (1.283) | |
| SAPF | 10 (0.881), 17 (0.660), 18 (0.974), 22 (1.210), 33 (0.670) |
| Algorithm | Pollution Types | Mitigation Method | Node (Total Compensation Capacity/p.u.) |
|---|---|---|---|
| NNC-PSO | Harmonic | DG | 12 (1.12), 18 (1.28), 25 (1.74), 29 (1.19), 33 (1.429) |
| SAPF | 10 (0.06), 16 (0.12), 18 (0.921), 22 (1.147), 30 (0.05) | ||
| Voltage Deviation | DG | 12 (1.24), 18 (1.10), 25 (1.16), 29 (1.82), 33 (1.26) | |
| SAPF | 10 (0.92), 16 (0.714), 18 (1.03), 22 (1.26), 33 (0.651) | ||
| NNC-GA | Harmonic | DG | 12 (1.04), 18 (1.27), 25 (1.74), 29 (1.08), 33 (1.40) |
| SAPF | 5 (0.22), 19 (0.32), 23 (0.95), 28 (0.849), 33 (0.248) | ||
| Voltage Deviation | DG | 12 (1.18), 18 (1.04), 25 (1.10), 29 (1.74), 33 (1.197) | |
| SAPF | 5 (0.82), 19 (0.883), 23 (1.38), 28 (1.341), 33 (0.967) | ||
| NNC-DE | Harmonic | DG | 12 (1.08), 18 (1.31), 25 (1.79), 29 (1.11), 33 (1.467) |
| SAPF | 9 (0.16), 18 (0.93), 22 (0.584), 27 (0.851), 33 (0.129) | ||
| Voltage Deviation | DG | 12 (1.18), 18 (1.04), 25 (1.106), 29 (1.74), 33 (1.193) | |
| SAPF | 7 (0.82), 17 (0.881), 22 (1.285), 28 (0.8), 31 (0.852) |
Disclaimer/Publisher’s Note: The statements, opinions and data contained in all publications are solely those of the individual author(s) and contributor(s) and not of MDPI and/or the editor(s). MDPI and/or the editor(s) disclaim responsibility for any injury to people or property resulting from any ideas, methods, instructions or products referred to in the content. |
© 2025 by the authors. Licensee MDPI, Basel, Switzerland. This article is an open access article distributed under the terms and conditions of the Creative Commons Attribution (CC BY) license (https://creativecommons.org/licenses/by/4.0/).
Share and Cite
Bai, H.; Yao, R.; Liu, T.; Lei, Y.; Zheng, Y. Multi-Resource Coordinated Optimization for Harmonic and Voltage Compensation in Microgrids. Energies 2025, 18, 5884. https://doi.org/10.3390/en18225884
Bai H, Yao R, Liu T, Lei Y, Zheng Y. Multi-Resource Coordinated Optimization for Harmonic and Voltage Compensation in Microgrids. Energies. 2025; 18(22):5884. https://doi.org/10.3390/en18225884
Chicago/Turabian StyleBai, Hao, Ruotian Yao, Tong Liu, Yiyong Lei, and Yawen Zheng. 2025. "Multi-Resource Coordinated Optimization for Harmonic and Voltage Compensation in Microgrids" Energies 18, no. 22: 5884. https://doi.org/10.3390/en18225884
APA StyleBai, H., Yao, R., Liu, T., Lei, Y., & Zheng, Y. (2025). Multi-Resource Coordinated Optimization for Harmonic and Voltage Compensation in Microgrids. Energies, 18(22), 5884. https://doi.org/10.3390/en18225884

