Sign in to use this feature.

Years

Between: -

Subjects

remove_circle_outline
remove_circle_outline
remove_circle_outline
remove_circle_outline
remove_circle_outline
remove_circle_outline
remove_circle_outline
remove_circle_outline
remove_circle_outline

Journals

Article Types

Countries / Regions

Search Results (173)

Search Parameters:
Keywords = broadband amplifier

Order results
Result details
Results per page
Select all
Export citation of selected articles as:
10 pages, 1788 KB  
Article
Toward Octave-Spanning Mid-Infrared Supercontinuum Laser Generation Using Cascaded Germania-Doped Fiber and Fluorotellurite Fiber
by Xuan Wang, Yahui Zhang, Chuanfei Yao, Linjing Yang, Yunhao Zhu and Pingxue Li
Photonics 2026, 13(1), 50; https://doi.org/10.3390/photonics13010050 - 5 Jan 2026
Viewed by 127
Abstract
Mid-infrared (MIR) supercontinuum (SC) sources are critical for spectroscopy, biomedical imaging, and environmental monitoring. However, conventional generation methods based on free-space experiments using optical parametric amplifiers (OPAs) and difference frequency generation (DFG) lasers suffer from narrow bandwidth and low power distribution in the [...] Read more.
Mid-infrared (MIR) supercontinuum (SC) sources are critical for spectroscopy, biomedical imaging, and environmental monitoring. However, conventional generation methods based on free-space experiments using optical parametric amplifiers (OPAs) and difference frequency generation (DFG) lasers suffer from narrow bandwidth and low power distribution in the MIR region. This paper presents a cascaded pumping technique using two soft-glass fibers. A picosecond thulium-doped fiber amplifier (TDFA) pumps a Germania-doped fiber (GDF) to generate an intermediate broadband spectrum, which then pumps a fluorotellurite fiber (TBY) with higher nonlinearity and a wider transmission window. Using this configuration, we achieved an Octave-Spanning SC generation covering 1–4 μm with 7.20 W output power. Notably, 32.8% of total power lies above 3.0 μm, with 11.2% beyond 3.5 μm, demonstrating excellent long-wavelength performance. In addition, we applied numerical simulation methods to investigate SC generation in GDF and TBY by solving the nonlinear Schrödinger equation. The close match between simulated and experimental results facilitates theoretical examination of how SC broadening occurs. This cascaded approach offers a feasible solution in terms of spectral band matching, material compatibility, and system integration potential. Full article
(This article belongs to the Special Issue Advanced Lasers and Their Applications, 3rd Edition)
Show Figures

Figure 1

13 pages, 3784 KB  
Article
Design and Implementation of an L-Band 400 W Continuous-Wave GaN Power Amplifier
by Xiaodong Jing, Hailong Wang, Fei You, Xiaofan Zhang and Kuo Ma
Electronics 2026, 15(1), 203; https://doi.org/10.3390/electronics15010203 - 1 Jan 2026
Viewed by 175
Abstract
Based on a large-signal chip model, this paper designs and implements an L-band broadband continuous-wave 400 W high-efficiency power amplifier fabricated using 0.5 μm GaN High Electron Mobility Transistor (HEMT) technology. The input-matching circuit employs a hybrid structure combining a lumped-element pre-matching network [...] Read more.
Based on a large-signal chip model, this paper designs and implements an L-band broadband continuous-wave 400 W high-efficiency power amplifier fabricated using 0.5 μm GaN High Electron Mobility Transistor (HEMT) technology. The input-matching circuit employs a hybrid structure combining a lumped-element pre-matching network and a multi-section microstrip capacitor network to achieve impedance matching with a 50 Ω port. The output-matching circuit uses a multi-segment microstrip structure to meet the impedance requirements of the continuous mode, thereby achieving broadband impedance matching. In addition, in the circuit implementation, by optimizing the placement of the blocking capacitor, the current flowing through it is minimized to a low level, enhancing the circuit’s high-power handling capability under continuous-wave operation. Additionally, the power amplifier’s reliability lifetime was calculated based on simulation results of the operating temperature of the GaN amplifier chip. Measurement results demonstrate that across a wide operating bandwidth within the L-band, the output power exceeds 400 W with a drain efficiency greater than 70%. The estimated reliability lifetime (MTTF) of the power amplifier is 8.1 × 107 h. Full article
(This article belongs to the Special Issue RF/Microwave Integrated Circuits Design and Application)
Show Figures

Figure 1

11 pages, 2625 KB  
Article
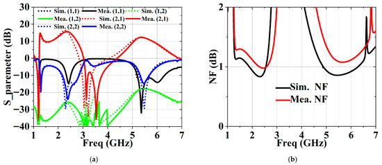
Design of a Low-Noise 2.4/5.5 GHz Dual-Band LNA Based on Microstrip Structure
by Mingwen Zhang, Zhiqun Cheng, Tingwei Gong, Bangjie Zheng and Zhiwei Zhang
Micromachines 2026, 17(1), 18; https://doi.org/10.3390/mi17010018 - 24 Dec 2025
Viewed by 266
Abstract
This paper presents a 2.4/5.5 GHz single-stage dual-band low-noise amplifier (DB-LNA) based on a microstrip structure. The design utilizes a purely microstrip dual-band bias circuit (DBBC), composed of series microstrip lines and radial stubs. The broadband characteristics of the radial stubs enable wide [...] Read more.
This paper presents a 2.4/5.5 GHz single-stage dual-band low-noise amplifier (DB-LNA) based on a microstrip structure. The design utilizes a purely microstrip dual-band bias circuit (DBBC), composed of series microstrip lines and radial stubs. The broadband characteristics of the radial stubs enable wide frequency coverage and good frequency selectivity. A simple series-shunt microstrip matching network is adopted to maintain a compact overall design structure. The proposed DB-LNA is fabricated using a standard printed circuit board (PCB) process. Measurement results show that the amplifier achieves gains of 15.6 dB and 12.3 dB, input return losses of 14.6 dB and 14.5 dB, and output return losses of 23.2 dB and 14.1 dB at 2.4 GHz and 5.5 GHz, respectively. The measured noise figures (NF) are 1.0 dB and 1.1 dB at the corresponding frequencies, with −3 dB bandwidths exceeding 200 MHz. Compared with existing designs, the proposed LNA demonstrates notable advantages in both noise performance and bandwidth, while occupying a compact area of only 75 × 43 mm2. Full article
(This article belongs to the Special Issue Novel RF Nano- and Microsystems)
Show Figures

Figure 1

13 pages, 6272 KB  
Article
A Design of 1.2–3.6 GHz Power Amplifier Based on Filters of Negative Feedback Network
by Zhenghao Yang, Chucai Cai, Zhengxian Meng, Zhiyong Ding, Quanbin Fu, Xiaogang Wang and Zhiqun Cheng
Electronics 2025, 14(24), 4944; https://doi.org/10.3390/electronics14244944 - 17 Dec 2025
Viewed by 294
Abstract
This work proposes a broadband, high-efficiency extended continuous class-F (ECCF) power amplifier (PA) with a negative-feedback network structure. Compared with the traditional direct cascade connection of a PA and a filter, the design introduces a novel negative feedback filter structure. The transistor and [...] Read more.
This work proposes a broadband, high-efficiency extended continuous class-F (ECCF) power amplifier (PA) with a negative-feedback network structure. Compared with the traditional direct cascade connection of a PA and a filter, the design introduces a novel negative feedback filter structure. The transistor and filter synthesis network co-design method aims to compensate for the gain and efficiency drop of this PA in both high and low frequency bands, resulting in relatively flat gain and efficiency performance over a wide band. Consequently, there is a need to enhance the security and efficiency of wireless communication systems. This work verifies the proposed method using a designed and fabricated 10 W GaN HEMT device. The measured data reveal that the designed PA achieves 100% relative bandwidth from 1.2 GHz to 3.6 GHz, with a drain efficiency (DE) of 59.5~67.4%, an output power of 38.8~41.8 dBm, and a large signal gain of 8.8~11.8 dB. Full article
(This article belongs to the Section Microwave and Wireless Communications)
Show Figures

Figure 1

12 pages, 3512 KB  
Article
Ag Nanowires-Enhanced Sb2Se3 Microwires/Se Microtube Heterojunction for High Performance Self-Powered Broadband Photodetectors
by Shubin Zhang, Xiaonan Wang, Juntong Cui, Yanfeng Jiang and Pingping Yu
Nanomaterials 2025, 15(24), 1849; https://doi.org/10.3390/nano15241849 - 10 Dec 2025
Viewed by 363
Abstract
The implementation of photoelectric conversion in photoelectric integrated systems requires the design of photodetectors (PDs) with quick response times and low power consumption. In this work, the self-powered photodetector was prepared by antimony selenide (Sb2Se3) microwires (MW)/Se microtube (MT) [...] Read more.
The implementation of photoelectric conversion in photoelectric integrated systems requires the design of photodetectors (PDs) with quick response times and low power consumption. In this work, the self-powered photodetector was prepared by antimony selenide (Sb2Se3) microwires (MW)/Se microtube (MT) heterojunction by coating Ag nanowires (NW). The incorporation of Ag-NW involves dual enhancement mechanisms. First, the surface plasmon resonance (SPR) effect amplifies the light absorption across UV–vis–NIR spectra, and the conductive networks facilitate the rapid carrier transport. Second, the type-II band alignment between Sb2Se3 and Se synergistically separates photogenerated carriers, while the Ag-NW further suppress the recombination through built-in electric field modulation. The optimized device achieves remarkable responsivity of 122 mA W−1 at 368 nm under zero bias, with a response/recovery time of 8/10 ms, outperforming most reported Sb2Se3-based detectors. The heterostructure provides an effective strategy for developing self-powered photodetectors with broadband spectral adaptability. The switching ratio, responsivity, and detectivity of the Sb2Se3-MW/Se-MT/Ag-NW device increased by 260%, 810%, and 849% at 368 nm over the Sb2Se3-MW/Se-MT device, respectively. These results show that the addition of Ag-NW effectively improves the photoelectric performance of the Sb2Se3-MW/Se-MT heterojunction, providing new possibilities for the application of self-powered optoelectronic devices. Full article
(This article belongs to the Section Nanoelectronics, Nanosensors and Devices)
Show Figures

Figure 1

16 pages, 5632 KB  
Article
CMOS Active Inductor Using Gm-Boosting Technique with Resistive Feedback and Its Broadband RF Application
by Merve Kilinc, Mehmet Aytug Ormanci, Sedat Kilinc and Firat Kacar
Electronics 2025, 14(23), 4776; https://doi.org/10.3390/electronics14234776 - 4 Dec 2025
Viewed by 323
Abstract
This paper presents a novel low-power, high-quality factor, and wide-tunable CMOS active inductor based on the gyrator-C configuration. The Gm-boosting technique is employed to reduce power consumption and noise while enhancing the transconductance. The inclusion of a feedback resistor further improves [...] Read more.
This paper presents a novel low-power, high-quality factor, and wide-tunable CMOS active inductor based on the gyrator-C configuration. The Gm-boosting technique is employed to reduce power consumption and noise while enhancing the transconductance. The inclusion of a feedback resistor further improves the quality factor. The designed active inductor operates up to 4.1 GHz, offers a wide inductance tuning range from 4.5 nH to 215 nH, consumes only 1.82 mW at 1.8 V supply, and occupies a compact area of 0.0006 mm2. The input-referred current noise is as low as 27pAHz. This study aims to provide an effective solution to the large area requirements of traditional passive inductors, while simultaneously improving key performance parameters with minimal compromise by introducing a novel active inductor design. The proposed design also exhibits superior performance in key specifications compared with existing active inductor implementations. For demonstration purposes, the active inductor is incorporated into a broadband RF amplifier, achieving near-ideal behavior across the 0.8–2.1 GHz. Corner and Monte Carlo analyses, along with temperature sweep and stability analyses, were carried out to validate the reliability and robustness of the proposed design. Results confirm the effectiveness of the Gm-boosted active inductor for high-performance RF applications, making it a promising candidate for 5G and beyond future wireless communication systems. Full article
(This article belongs to the Section Microelectronics)
Show Figures

Figure 1

11 pages, 1416 KB  
Communication
50.9 W and Efficient Mid-Infrared Supercontinuum Generation in a Fluoride Fiber
by Shuyi Wang, Linyong Yang, Yamei Xu, Weiqiang Yang, Bin Zhang and Jing Hou
Photonics 2025, 12(12), 1185; https://doi.org/10.3390/photonics12121185 - 30 Nov 2025
Viewed by 428
Abstract
A 50.9-W all-fiber mid-infrared (MIR) supercontinuum (SC) laser with a conversion efficiency of over 76.7% is demonstrated in a ZBLAN (ZrF4–BaF2–LaF3–AlF3–NaF) fiber. The entire system consists of a broadband thulium-doped fiber amplifier (TDFA) operating at [...] Read more.
A 50.9-W all-fiber mid-infrared (MIR) supercontinuum (SC) laser with a conversion efficiency of over 76.7% is demonstrated in a ZBLAN (ZrF4–BaF2–LaF3–AlF3–NaF) fiber. The entire system consists of a broadband thulium-doped fiber amplifier (TDFA) operating at 1.9–2.6 μm and a piece of ZBLAN fiber. The system features an all-fiber architecture, which is achieved by directly splicing the pigtail fiber of the TDFA to the ZBLAN fiber. The system’s stability and reliability were ensured by the utilization of the water-cooled fusion splicing joint between the silica fiber and ZBLAN fiber, and an AlF3 fiber endcap. When the seed pulse repetition rate (PRR) was 3 MHz and the pulse duration was 6 ns, a MIR SC laser with an average power of 50.9 W and a spectral range of 1.9–3.6 μm was obtained, with a corresponding power conversion efficiency (from the TDFA output to the SC laser output) of 76.7%. By adjusting the pulse duration to 4 ns, the generated SC laser exhibited a spectral range of 1.9–3.7 μm and an average power of 50.1 W, corresponding to a power conversion efficiency of 75.1%. Such a supercontinuum (SC) laser paves the way for the application of high-power SC lasers in a wide range of fields. Full article
Show Figures

Figure 1

8 pages, 5882 KB  
Proceeding Paper
Approaching the Quantum Limit in Axion Detection at IBS-CAPP and IBS-DMAG
by Sergey V. Uchaikin, Boris I. Ivanov, Arjan F. van Loo, Yasunobu Nakamura, MinSu Ko, Jinmyeong Kim, Saebyeok Ahn, Seonjeong Oh, Yannis K. Semertzidis and SungWoo Youn
Phys. Sci. Forum 2025, 11(1), 5; https://doi.org/10.3390/psf2025011005 - 26 Nov 2025
Viewed by 225
Abstract
We present the development of two complementary amplifier architectures for axion haloscope experiments, based on two types of Josephson Parametric Amplifiers (JPAs). The first employs a multi-chip module of flux-driven JPAs in a parallel–series configuration, enabling near quantum-limited amplification over an extended tunable [...] Read more.
We present the development of two complementary amplifier architectures for axion haloscope experiments, based on two types of Josephson Parametric Amplifiers (JPAs). The first employs a multi-chip module of flux-driven JPAs in a parallel–series configuration, enabling near quantum-limited amplification over an extended tunable range of between 1.2 and 1.5 GHz. The second design features a lumped-element JPA, offering continuous tunability across a wide frequency range from 2.4 to 4 GHz. Both approaches demonstrate near-quantum-limited noise performance and are compatible with operation in cryogenic environments. These amplifiers significantly enhance the sensitivity and frequency coverage of axion search experiments, and also provide new opportunities for broadband quantum sensing applications. Full article
(This article belongs to the Proceedings of The 19th Patras Workshop on Axions, WIMPs and WISPs)
Show Figures

Figure 1

27 pages, 858 KB  
Article
Digital Adoption and Productivity in Rentier Economies: Evidence from the GCC
by Abdullah Sultan Al Shammre
Systems 2025, 13(11), 1038; https://doi.org/10.3390/systems13111038 - 19 Nov 2025
Viewed by 991
Abstract
Gulf Cooperation Council (GCC) economies are investing heavily in digital infrastructure to diversify beyond hydrocarbons, yet the productivity returns from these investments remain uncertain. This study examines whether digital adoption enhances labor productivity in GCC economies (2000–2023). We construct a Composite Digital Index [...] Read more.
Gulf Cooperation Council (GCC) economies are investing heavily in digital infrastructure to diversify beyond hydrocarbons, yet the productivity returns from these investments remain uncertain. This study examines whether digital adoption enhances labor productivity in GCC economies (2000–2023). We construct a Composite Digital Index (CDI) from broadband subscriptions, internet use, and mobile penetration. Interpreting the Gulf economies as socio-technical systems, we frame digital adoption, productivity, and investment (measured by GCF) as a reinforcing loop, with government effectiveness amplifying the cycle and oil rents dampening it. Using panel data methods, including fixed-effects and long-run estimators, we find that digital adoption yields persistent productivity gains. In the long run, a one-point increase in CDI is associated with a 12.6 percentage point rise in labor productivity growth (p < 0.05). This effect triples—to approximately 38.5 percentage points—when moderated by strong government effectiveness (CDI × Governance interaction: +26.3; p < 0.01). Conversely, the productivity payoff declines significantly with oil-rent dependence: for every 10 percentage-point rise in oil rents, the marginal effect of digital adoption drops by 3.4 points. These gains are significantly larger where government effectiveness is stronger, while oil dependence weakens them. The findings imply that infrastructure adoption alone is insufficient: institutions and fiscal structures condition whether digital adoption translate into sustained productivity growth. Policy priorities should focus on institutional reform, fiscal diversification, and enabling firm-level digital absorption—particularly in high-rent economies—so that adoption translates into broad-based productivity dividends. Full article
(This article belongs to the Section Systems Practice in Social Science)
Show Figures

Figure 1

16 pages, 2562 KB  
Article
Ultra-Wideband Power Amplifier Using Non-Foster Characteristics of Coupled Transmission Lines
by Hyeongjin Jeon, Sooncheol Bae, Kyungdong Bae, Soohyun Bin, Sangyeop Kim, Yunhyung Ju, Minseok Ahn, Gyuhyeon Mun, Keum Cheol Hwang, Kang-Yoon Lee and Youngoo Yang
Electronics 2025, 14(22), 4413; https://doi.org/10.3390/electronics14224413 - 13 Nov 2025
Viewed by 393
Abstract
This paper presents a simplified matching network using coupled transmission lines (CTLs) for broadband power amplifiers. The proposed structure consists of a CTL with an electrical length shorter than λ/4 and a single shunt component, exhibiting excellent frequency characteristics across a wide [...] Read more.
This paper presents a simplified matching network using coupled transmission lines (CTLs) for broadband power amplifiers. The proposed structure consists of a CTL with an electrical length shorter than λ/4 and a single shunt component, exhibiting excellent frequency characteristics across a wide bandwidth at both the input and load networks of the transistor. The reactance variation of the non-Foster elements in the equivalent circuit of the CTL with respect to frequency was analyzed, and the external reactive components were accordingly optimized to extend the bandwidth of the matching network. The proposed network was applied to the input and load networks of a GaN HEMT-based power amplifier. It was designed to maintain required performances over a wide frequency range of 1.9–4.9 GHz, covering both LTE and sub-6 GHz 5G bands, thereby achieving a fractional bandwidth (FBW) of 88.2%. The CTLs were fabricated on a two-layer printed-circuit board (PCB), and the additional shunt components were designed using surface-mount devices (SMDs). The overall power-amplifier module occupied a small area of 40 × 35 mm2. Using the continuous-wave (CW) signal, the proposed power amplifier exhibited a power gain of 10–14.8 dB and a drain efficiency (DE) of 47.5–60% at a saturated output power of 7.1–9.3 W across the entire operating frequency band. Using a 5G New Radio (NR) signal with a 100 MHz bandwidth and a peak-to-average power ratio (PAPR) of 7.8 dB, the amplifier achieved an average output power of 30 dBm, a DE of 20–27.5%, and an adjacent-channel leakage power ratio (ACLR) better than −30 dBc. Full article
Show Figures

Figure 1

1987 KB  
Proceeding Paper
A 13 G to 24.8 GHz Broadband Power Amplifier with 23% PAE for Sensor Applications
by Yubin Wu and Jie Cui
Eng. Proc. 2025, 118(1), 67; https://doi.org/10.3390/ECSA-12-26511 - 7 Nov 2025
Viewed by 105
Abstract
Millimeter-wave (mm-wave) radar has become a key technology in wireless sensor networks (WSNs) due to its high spatial resolution and penetration capability, enabling applications such as smart traffic control and non-contact health monitoring. Achieving fine-range resolution necessitates wide signal bandwidth, which places stringent [...] Read more.
Millimeter-wave (mm-wave) radar has become a key technology in wireless sensor networks (WSNs) due to its high spatial resolution and penetration capability, enabling applications such as smart traffic control and non-contact health monitoring. Achieving fine-range resolution necessitates wide signal bandwidth, which places stringent demands on power amplifier (PA) performance in terms of bandwidth, efficiency, and output power. Therefore the design of the power amplifier for WSN poses significant challenges. This paper presents a broadband mm-wave PA implemented in a 40 nm CMOS process, utilizing transformer-based power combining to enhance efficiency and bandwidth simultaneously, which can adequately meet the requirements of WSN systems. The PA achieves a 3 dB flat power bandwidth up to 62% from 13 to 24.8 GHz. At 19 GHz, it delivers a saturated output power (Psat) of 12.3 dBm, a 1 dB compression point (P1dB) of 10.15 dBm, and exhibits a peak power-added efficiency (PAE) of 23%, with 17.2% PAE at P1dB. The PA consumes 43 mW from a 1.1 V supply and occupies an active area of only 0.06 mm2. These results validate the effectiveness of transformer-based combining for achieving compact, high-performance broadband PAs in CMOS, and demonstrate its suitability for mm-wave radar systems requiring high-range resolution. The amplifier provides a high stability, with output return losses better than −10 dB. Full article
Show Figures

Figure 1

12 pages, 2391 KB  
Article
Design of Broadband Power Amplifier with Enhanced Concurrent Efficiency for Wireless Communication
by Xiaomin Ma, Fan Liu, Songhai Fan, Xi Liu, Xiaojiang Liu and Weimin Shi
Electronics 2025, 14(21), 4220; https://doi.org/10.3390/electronics14214220 - 29 Oct 2025
Viewed by 394
Abstract
This paper proposes a design method for a broadband power amplifier (PA) capable of concurrent dual-band operation at any two distinct frequency points within its operational bandwidth. The concurrent performances of a broadband PA versus the variation in baseband impedance are analyzed. To [...] Read more.
This paper proposes a design method for a broadband power amplifier (PA) capable of concurrent dual-band operation at any two distinct frequency points within its operational bandwidth. The concurrent performances of a broadband PA versus the variation in baseband impedance are analyzed. To enhance the concurrent efficiency, the baseband impedance of the broadband PA is controlled over a wide baseband frequency range through a novel control network. A 1.75–2.25 GHz PA is designed and fabricated. Under a single-tone continuous-wave (CW) signal excitation, the fabricated PA achieves 40.9–42.0 dBm maximum output power and 63.3–77.3% drain efficiency (DE) in its operational bandwidth. When operating under a balanced concurrent mode, its measured output power exceeds 39.6 dBm and its DE surpasses 66.2% in the tone spacing range of 0–500 MHz. Full article
Show Figures

Figure 1

18 pages, 9176 KB  
Article
A 100 MHz Bandwidth, 48.2 dBm IB OIP3, and 3.6 mW Reconfigurable MFB Filter Using a Three-Stage OPA
by Minghao Jiang, Tianshuo Xie, Jiangfeng Wu and Yongzhen Chen
Electronics 2025, 14(18), 3590; https://doi.org/10.3390/electronics14183590 - 10 Sep 2025
Viewed by 664
Abstract
This paper proposes a second-order low-pass Butterworth multiple-feedback (MFB) filter with a reconfigurable bandwidth and gain, implemented in a 28 nm CMOS. The filter supports independent tuning of the bandwidth from 10 MHz to 100 MHz and the gain from 0 dB to [...] Read more.
This paper proposes a second-order low-pass Butterworth multiple-feedback (MFB) filter with a reconfigurable bandwidth and gain, implemented in a 28 nm CMOS. The filter supports independent tuning of the bandwidth from 10 MHz to 100 MHz and the gain from 0 dB to 19 dB, effectively addressing the challenge of a tightly coupled gain and quality factor in traditional MFB designs. Notably, compared to the widely adopted Tow–Thomas structure, the proposed filter achieves second-order filtering and the same degree of flexibility using only a single operational amplifier (OPA), significantly reducing both the power consumption and area. Additionally, an RC tuning circuit is employed to reduce fluctuations in the RC time constant under process, voltage, and temperature (PVT) variations. To meet the requirements for high linearity and low power consumption in broadband applications, a three-stage push–pull OPA with current re-use feedforward and an RC Miller compensation technique is proposed. With the current re-use feedforward, the OPA’s loop gain at 100 MHz is significantly enhanced from 22.34 dB to 28.75 dB, achieving a 2.14 GHz unity-gain bandwidth. Using this OPA, the filter achieves a 48.2 dBm in-band (IB) OIP3, a 53.4 dBm out-of-band (OOB) OIP3, and a figure of merit (FoM) of 185.5 dBJ−1 at a100 MHz bandwidth while consuming only 3.6 mW from a 1.8 V supply. Full article
Show Figures

Figure 1

13 pages, 4472 KB  
Article
Design and Optimization of a Broadband Stripline Kicker for Low Beam Emittance Ring Accelerators
by Sakdinan Naeosuphap, Sarunyu Chaichuay, Siriwan Jummunt and Porntip Sudmuang
Particles 2025, 8(3), 78; https://doi.org/10.3390/particles8030078 - 29 Aug 2025
Viewed by 644
Abstract
The performance and beam quality of the new fourth-generation synchrotron light source with ultra-low emittance are highly susceptible to coupled-bunch instabilities. These instabilities arise from the interaction between the bunched electron beam and the surrounding vacuum chamber installations. To mitigate these effects, the [...] Read more.
The performance and beam quality of the new fourth-generation synchrotron light source with ultra-low emittance are highly susceptible to coupled-bunch instabilities. These instabilities arise from the interaction between the bunched electron beam and the surrounding vacuum chamber installations. To mitigate these effects, the installation of a transverse bunch-by-bunch feedback system is planned. This system will comprise a button-type beam position monitor (BPM) for beam signal detection, a digital feedback controller, a broadband power amplifier, and a broadband stripline kicker as the primary actuator. One of the critical challenges lies in the development of the stripline kicker, which must be optimized for high shunt impedance and wide bandwidth while minimizing beam-coupling impedance. This work focuses on the comprehensive design of the stripline kicker intended for transverse (horizontal and vertical) bunch-by-bunch feedback in the Siam Photon Source II (SPS-II) storage ring. The stripline kicker design also incorporates features to enable its use for beam excitation in the SPS-II tune measurement system. The optimization process involves analytical approximations and detailed numerical electromagnetic field analysis of the stripline’s 3D geometry, focusing on impedance matching, field homogeneity, power transmission, and beam-coupling impedance. The details of engineering design are discussed to ensure that it meets the fabrication possibilities and stringent requirements of the SPS-II accelerator. Full article
(This article belongs to the Special Issue Generation and Application of High-Power Radiation Sources 2025)
Show Figures

Figure 1

13 pages, 5574 KB  
Article
2 μm Broadband Amplification in Tapered Fiber Devices Using PbS Quantum Dots
by Deen Wang, Siyu Wan, Chenxi Wang, Zhiyang Jin, Xiaolan Sun, Alan R. Kost and Seppo Honkanen
Photonics 2025, 12(9), 876; https://doi.org/10.3390/photonics12090876 - 29 Aug 2025
Viewed by 896
Abstract
Broadband optical amplifiers operating in the 2 μm spectral region are critical for advancing mid-infrared photonic systems, yet achieving high gain with low noise remains challenging. In this work, we demonstrate a high-performance tapered fiber amplifier incorporating PbS quantum dots (QDs) as the [...] Read more.
Broadband optical amplifiers operating in the 2 μm spectral region are critical for advancing mid-infrared photonic systems, yet achieving high gain with low noise remains challenging. In this work, we demonstrate a high-performance tapered fiber amplifier incorporating PbS quantum dots (QDs) as the gain medium. By optimizing the tapering geometry and QD doping concentration, we achieve a broadband on-off gain of >15 dB across a 200 nm bandwidth (1900–2100 nm). The unique combination of PbS QDs’ size-tunable bandgap and the tapered fiber’s enhanced evanescent field interaction enables efficient pump-probe overlap, resulting in a broader gain bandwidth compared to conventional rare-earth-doped fiber amplifiers. This work establishes a promising platform for compact, high-bandwidth mid-infrared light sources and amplifiers. Full article
(This article belongs to the Special Issue Optical Fiber Amplifiers and Their Applications)
Show Figures

Figure 1

Back to TopTop