Approaching the Quantum Limit in Axion Detection at IBS-CAPP and IBS-DMAG †
Abstract
1. Introduction
2. Materials and Methods
2.1. Multi-JPA Readout Based on Flux-Driven JPAs
2.2. Lumped-Element JPA (L-JPA)
3. Results
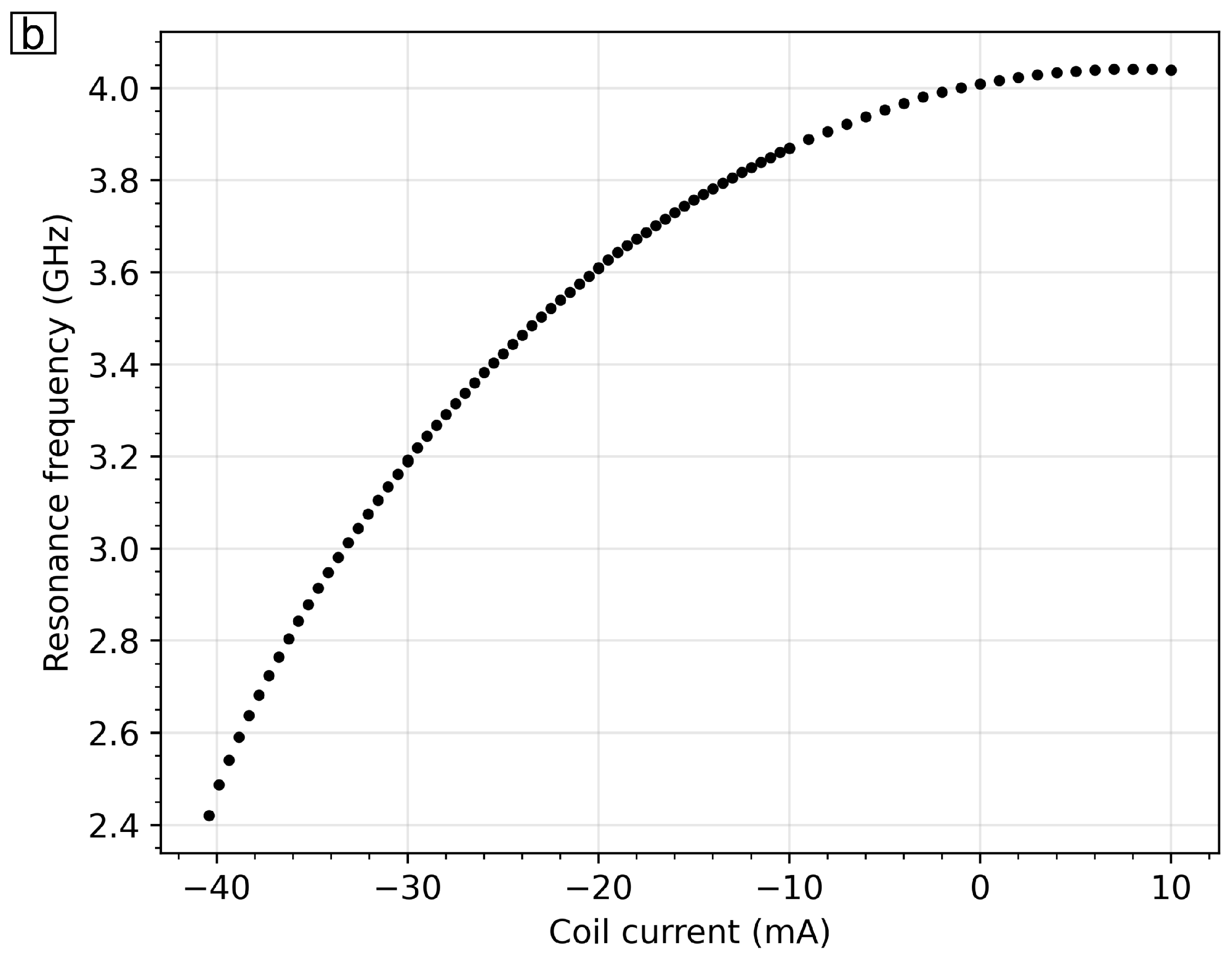
3.1. Multi-JPA Assembly (Run 7)
3.2. Lumped-Element JPA Performance
4. Discussion
Author Contributions
Funding
Institutional Review Board Statement
Informed Consent Statement
Data Availability Statement
Conflicts of Interest
Abbreviations
| CAPP | Center for Axion and Precision Physics Research |
| CPW | coplanar-waveguide |
| DMAG | Dark Matter Axion Group |
| JPA | Josephson parametric amplifier |
| L-JPA | Lumped-element Josephson parametric amplifier |
| SQUID | superconducting quantum interference device |
References
- Peccei, R.D.; Quinn, H.R. CP Conservation in the Presence of Pseudoparticles. Phys. Rev. Lett. 1977, 38, 1440–1443. [Google Scholar] [CrossRef]
- Weinberg, S. A new light boson? Phys. Rev. Lett. 1978, 40, 223–226. [Google Scholar] [CrossRef]
- Wilczek, F. Problem of strong P and T invariance in the presence of instantons. Phys. Rev. Lett. 1978, 40, 279–282. [Google Scholar] [CrossRef]
- Preskill, J.; Wise, M.B.; Wilczek, F. Cosmology of the invisible axion. Phys. Lett. B 1983, 120, 127–132. [Google Scholar] [CrossRef]
- Abbott, L.F.; Sikivie, P. A cosmological bound on the invisible axion. Phys. Lett. B 1983, 120, 133–136. [Google Scholar] [CrossRef]
- Dine, M.; Fischler, W. The not-so-harmless axion. Phys. Lett. B 1983, 120, 137–141. [Google Scholar] [CrossRef]
- Sikivie, P. Experimental Tests of the “Invisible” Axion. Phys. Rev. Lett. 1983, 51, 1415–1417. [Google Scholar] [CrossRef]
- Irastorza, I.G.; Redondo, J. New experimental approaches in the search for axion-like particles. Prog. Part. Nucl. Phys. 2018, 102, 89–159. [Google Scholar] [CrossRef]
- Hagmann, C.; Kinion, D.; Stoeffl, W.; van Bibber, K.; Daw, E.; Peng, H.; Rosenberg, L.J.; LaVeigne, J.; Sikivie, P.; Sullivan, N.; et al. Results from a high-sensitivity search for cosmic axions. Phys. Rev. Lett. 1998, 80, 2043. [Google Scholar] [CrossRef]
- Kim, D.; Jeong, J.; Youn, S.; Kim, Y.; Semertzidis, Y.K. Revisiting the detection rate for axion haloscopes. JCAP 2020, 3, 066. [Google Scholar] [CrossRef]
- Yi, A.K.; Ahn, S.; Kutlu, Ç.; Kim, J.; Ko, B.R.; Ivanov, B.I.; Byun, H.; van Loo, A.F.; Park, S.; Jeong, J.; et al. Axion Dark Matter Search around 4.55 μeV with Dine-Fischler-Srednicki-Zhitnitskii Sensitivity. Phys. Rev. Lett. 2023, 130, 071002. [Google Scholar] [CrossRef] [PubMed]
- Ahn, S.; Kim, J.; Ivanov, B.I.; Kwon, O.; Byun, H.; van Loo, A.F.; Par, S.; Jeong, J.; Lee, S.; Kim, J.; et al. Extensive Search for Axion Dark Matter over 1 GHz with CAPP’s Main Axion Experiment. Phys. Rev. X 2024, 14, 031023. [Google Scholar] [CrossRef]
- Uchaikin, S.V.; Kim, J.; Ivanov, B.I.; van Loo, A.F.; Nakamura, Y.; Ahn, S.; Oh, S.; Park, S.; Matlashov, A.; Chung, W.; et al. Semertzidis. Improving Amplification Bandwidth by Combining Josephson Parametric Amplifiers for Active Axion Search Experiments at IBS/CAPP. J. Low Temp. Phys. 2024, 216, 14–20. [Google Scholar] [CrossRef]
- Yamamoto, T.; Inomata, K.; Watanabe, M.; Matsuba, K.; Miyazaki, T.; Oliver, W.D.; Nakamura, Y.; Tsai, J.S. Flux-driven Josephson parametric amplifier. Appl. Phys. Lett. 2008, 93, 042510. [Google Scholar] [CrossRef]
- Kutlu, C.; van Loo, A.F.; Uchaikin, S.V.; Matlashov, A.N.; Lee, D.; Oh, S.; Kim, J.; Chung, W.; Nakamura, Y.; Semertzidis, Y.K. Characterization of a flux-driven Josephson parametric amplifier with near quantum-limited added noise for axion search experiments. Supercond. Sci. Technol. 2021, 34, 085013. [Google Scholar] [CrossRef]
- Uchaikin, S.V.; Kim, J.; Kutlu, C.; Ivanov, B.I.; Kim, J.; van Loo, A.F.; Nakamura, Y.; Ahn, S.; Oh, S.; Ko, M.; et al. Josephson parametric amplifier based quantum noise limited amplifier development for axion search experiments in CAPP. Front. Phys. 2024, 12, 1437680. [Google Scholar] [CrossRef]
- Mutus, J.Y.; White, T.C.; Jeffrey, E.; Sank, D.; Barends, R.; Bochmann, J.; Chen, Y.; Chen, Z.; Chiaro, B.; Dunsworth, A.; et al. Design and characterization of a lumped element single-ended superconducting microwave parametric amplifier with on-chip flux bias line. Appl. Phys. Lett. 2013, 103, 122602. [Google Scholar] [CrossRef]
- Planat, L.; Dassonneville, R.; Martínez, J.P.; Foroughi, F.; Buisson, O.; Hasch-Guichard, W.; Naud, C.; Vijay, R.; Murch, K.; Roch, N. Understanding the Saturation Power of Josephson Parametric Amplifiers Made from SQUID Arrays. Phys. Rev. Applied 2019, 11, 034014. [Google Scholar] [CrossRef]






Disclaimer/Publisher’s Note: The statements, opinions and data contained in all publications are solely those of the individual author(s) and contributor(s) and not of MDPI and/or the editor(s). MDPI and/or the editor(s) disclaim responsibility for any injury to people or property resulting from any ideas, methods, instructions or products referred to in the content. |
© 2025 by the authors. Licensee MDPI, Basel, Switzerland. This article is an open access article distributed under the terms and conditions of the Creative Commons Attribution (CC BY) license (https://creativecommons.org/licenses/by/4.0/).
Share and Cite
Uchaikin, S.V.; Ivanov, B.I.; van Loo, A.F.; Nakamura, Y.; Ko, M.; Kim, J.; Ahn, S.; Oh, S.; Semertzidis, Y.K.; Youn, S. Approaching the Quantum Limit in Axion Detection at IBS-CAPP and IBS-DMAG. Phys. Sci. Forum 2025, 11, 5. https://doi.org/10.3390/psf2025011005
Uchaikin SV, Ivanov BI, van Loo AF, Nakamura Y, Ko M, Kim J, Ahn S, Oh S, Semertzidis YK, Youn S. Approaching the Quantum Limit in Axion Detection at IBS-CAPP and IBS-DMAG. Physical Sciences Forum. 2025; 11(1):5. https://doi.org/10.3390/psf2025011005
Chicago/Turabian StyleUchaikin, Sergey V., Boris I. Ivanov, Arjan F. van Loo, Yasunobu Nakamura, MinSu Ko, Jinmyeong Kim, Saebyeok Ahn, Seonjeong Oh, Yannis K. Semertzidis, and SungWoo Youn. 2025. "Approaching the Quantum Limit in Axion Detection at IBS-CAPP and IBS-DMAG" Physical Sciences Forum 11, no. 1: 5. https://doi.org/10.3390/psf2025011005
APA StyleUchaikin, S. V., Ivanov, B. I., van Loo, A. F., Nakamura, Y., Ko, M., Kim, J., Ahn, S., Oh, S., Semertzidis, Y. K., & Youn, S. (2025). Approaching the Quantum Limit in Axion Detection at IBS-CAPP and IBS-DMAG. Physical Sciences Forum, 11(1), 5. https://doi.org/10.3390/psf2025011005
