Design of a Low-Noise 2.4/5.5 GHz Dual-Band LNA Based on Microstrip Structure
Abstract
1. Introduction
2. Design Theory and Analysis
2.1. Topology of the DB-LNA
2.2. DBBC Design
2.3. Matching Circuit Design
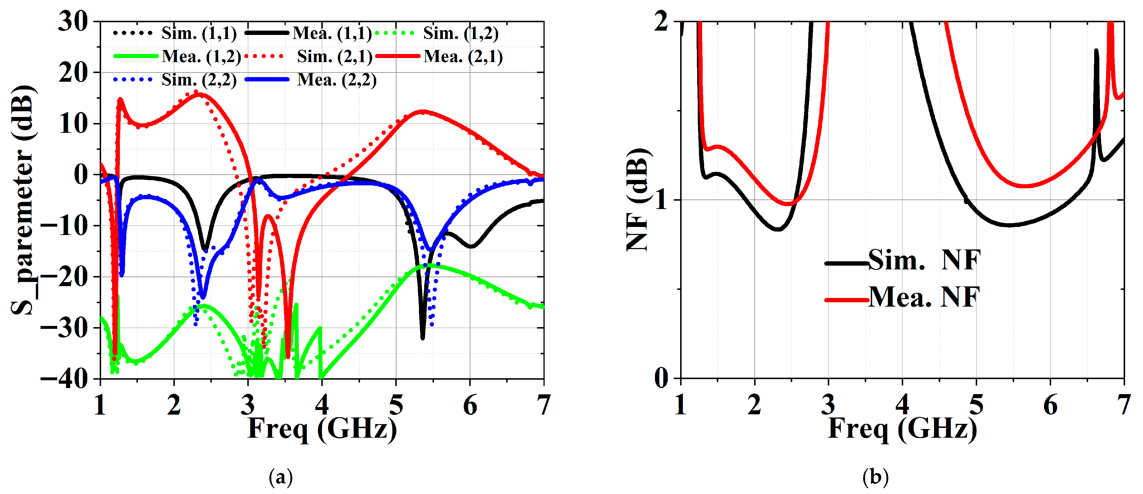
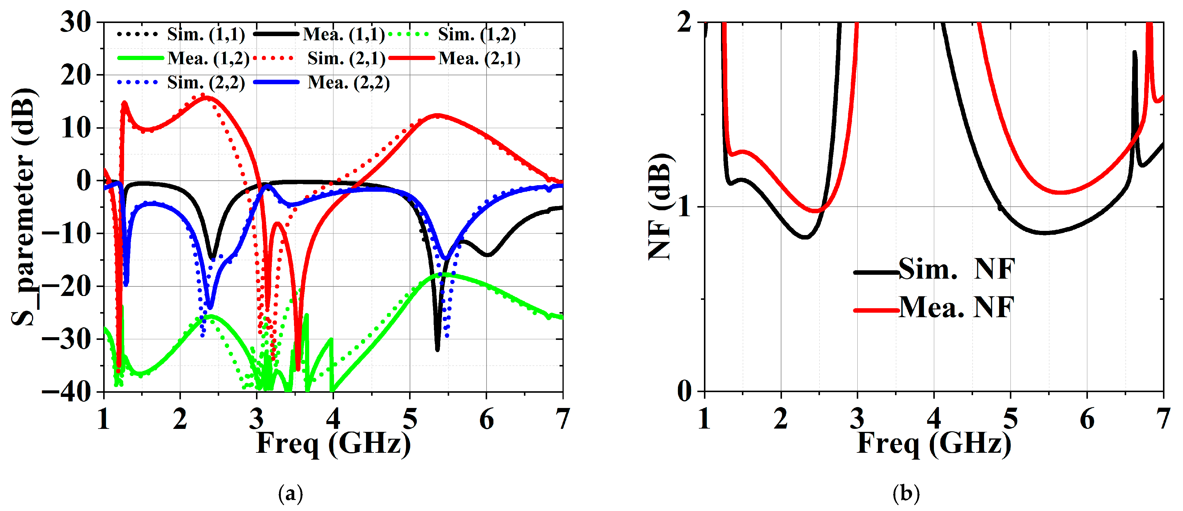
3. Implementation and Measurement
4. Conclusions
Author Contributions
Funding
Data Availability Statement
Conflicts of Interest
References
- Hu, J.; Ma, K. Analysis and Design of a Broadband Receiver Front End for 0.1-to-40-GHz Application. IEEE Trans. Circuits Syst. I Reg. Pap. 2021, 68, 2393–2403. [Google Scholar] [CrossRef]
- Snehitha Reddy, T.; Nath, V. A 180 nm CMOS dual-mode LNA with current reuse and double-resonance load for 2.4 GHz and 3.1–10.6 GHz wireless communication. Sci. Rep. 2025, 15, 9585. [Google Scholar] [CrossRef] [PubMed]
- Ke, Z.; Mou, S.; Ma, K.; Meng, F. A 0.7/1.1-dB Ultra-Low Noise Dual-Band LNA Based on SISL Platform. IEEE Trans. Microw. Theory Tech. 2018, 66, 4576–4584. [Google Scholar] [CrossRef]
- Hsiao, Y.-C.; Meng, C.; Yang, C. Design Optimization of Single-/Dual-Band FET LNAs Using Noise Transformation Matrix. IEEE Trans. Micro-Wave Theory Tech. 2016, 64, 519–532. [Google Scholar] [CrossRef]
- Djoumessi, E.E.; Wu, K. Dual-Band Low-Noise Amplifier Using Step-Impedance Resonator (SIR) Technique for Wireless System Applications. In Proceedings of the 39th European Microwave Conference, Rome, Italy, 28 September–2 October 2009; pp. 1307–1310. [Google Scholar]
- Kumar, A.; Pathak, N.P. Reconfigurable Concurrent Dual-Band Low Noise Amplifier for Non-invasive Vital Sign Detection Applications. In Proceedings of the International Conference on Advances in Computing, Communications and Informatics, Delhi, India, 24–27 September 2014; pp. 2496–2500. [Google Scholar]
- Iyer, B.; Pathak, N.P. A Concurrent Dual-Band LNA for Noninvasive Vital Sign Detection System. Microw. Opt. Technol. Lett. 2014, 56, 391–394. [Google Scholar] [CrossRef]
- Zhang, M.; Cheng, Z.; Gong, T.; Zheng, B.; Zhang, Z.; Xuan, X. Design of a Dual-Band Low-Noise Amplifier with a Novel Matching Structure. Micromachines 2025, 16, 938. [Google Scholar] [CrossRef] [PubMed]
- Xuan, A.N.; Negra, R. Design of concurrent multiband biasing networks for multiband RF power amplifiers. In Proceedings of the 2012 42nd European Microwave Conference, Amsterdam, The Netherlands, 29 October–1 November 2012. [Google Scholar] [CrossRef]
- Kumar, A.; Pathak, N.P. Coupled Stepped-Impedance Resonator (CSIR) Based Concurrent Dual Band Filtering LNA for Wireless Applications. In Proceedings of the IEEE MTT-S International Microwave and RF Conference (IMaRC), Hyderabad, India, 10–12 December 2015; pp. 262–265. [Google Scholar]
- Lee, J.; Nguyen, C. A K-/Ka band Concurrent Dual-Band Low-Noise Amplifier Employing a Feedback Notch Technique with Simultaneous Passband Gain and Stopband Rejection Control. Microw. Opt. Technol. Lett. 2018, 60, 1429–1435. [Google Scholar] [CrossRef]
- Gupta, M.P.; Kumar, S.; Caroline, B.E.; Song, H.; Kumar, V.; Gorre, P. A 0.15 μm GaN HEMT Device to Circuit Approach Towards Dual-Band Ultra-Low Noise Amplifier Using Defected Ground Bias Technique. Int. J. Electron. Commun. 2023, 168, 154742. [Google Scholar] [CrossRef]
- Ahmad, A.; Othman, A.R.; Hamidon, A.H.; Pongot, K. A Low Noise Dual-Band Cascaded LNA with Notch Filtering Network for IEEE 802.11b/g/a/n Wireless Applications. ARPN J. Eng. Appl. Sci. 2016, 11, 3407–3412. [Google Scholar]
- Chen, M.-G.; Hou, T.-B.; Tang, C.-W. Design of Planar Complex Impedance Transformers with the Modified Coupled Line. IEEE Trans. Compon. Packag. Manuf. Technol. 2012, 2, 1704–1710. [Google Scholar] [CrossRef]
- Fang, S.; Jia, X.; Liu, H.; Wang, Z. Design of Compact Coupled-Line Complex Impedance Transformers with the Series Susceptance Component. IEEE Trans. Circuits Syst. II Express Briefs 2020, 67, 2482–2486. [Google Scholar] [CrossRef]
- Zheng, X.; Liu, Y.A.; Li, S.; Yu, C.; Wang, Z.; Li, J. A Dual-Band Impedance Transformer Using T-Section Structure for Frequency-Dependent Complex Loads. Prog. Electromagn. Res. 2012, 32, 11–26. [Google Scholar] [CrossRef]
- Zarghami, S.; Hayati, M. Design of dual-band power amplifier using bandstop filter and dual-mode bias circuit for multistandard transceiver systems. Sci. Rep. 2023, 13, 15815. [Google Scholar] [CrossRef] [PubMed]
- Zhao, Z.; Li, J.; Shi, H.; Chen, X.; Zhang, A. A Low-Profile Angle-Insensitive Bandpass Frequency-Selective Surface Based on Vias. IEEE Micro. Wirel. Com. Lett. 2018, 28, 200–202. [Google Scholar] [CrossRef]








| Ref. | Frequency (GHz) | S11 (dB) | S22 (dB) | S21 (dB) | NF (dB) | Size (mm2) | Power (mW) | Technology |
|---|---|---|---|---|---|---|---|---|
| [4] | 2.4 | −11.3 | −24.6 | 33.84 | 0.946 | - | - | GaAs MMIC |
| 5.75 | −17.4 | −11.1 | 20 | 0.493 | ||||
| [5] | 2.45 | −20 | - | 22 | 1.5 | 30 × 30 | 7.5 | HMIC |
| 5.2 | −21 | - | 12 | 1.6 | ||||
| [6] | 2.3–2.5 | −8.5 | - | 3–12.2 | 0.5–5 | 55 × 60 | 41.25 | HMIC |
| 4.2–4.6 | −15 | - | 9.5–12.9 | 2.5–5 | ||||
| [7] | 2.44 | −10.5 | - | 7.15 | 4.34 | - | 35.1 | HMIC |
| 5.25 | −15.9 | - | 7.8 | 4.69 | ||||
| [8] | 2.33–2.46 | −29.8 | −15.2 | 20.3 | 1.6 | 16 × 85 | 39.3 | HMIC |
| 5.43–5.58 | −20.3 | −16.4 | 14.7 | 1.6 | ||||
| [10] | 2.4 | −25 | - | 11.6 | 3.96 | 120 × 34 | 56 | HMIC |
| 5.7 | −12 | - | 8.9 | 2.89 | ||||
| This Work | 2.3–2.5 | −14.6 | −23.2 | 15.6 | 1 | 75 × 43 | 20 | HMIC |
| 5.2–5.6 | −14.5 | −14.1 | 12.3 | 1.1 |
Disclaimer/Publisher’s Note: The statements, opinions and data contained in all publications are solely those of the individual author(s) and contributor(s) and not of MDPI and/or the editor(s). MDPI and/or the editor(s) disclaim responsibility for any injury to people or property resulting from any ideas, methods, instructions or products referred to in the content. |
© 2025 by the authors. Licensee MDPI, Basel, Switzerland. This article is an open access article distributed under the terms and conditions of the Creative Commons Attribution (CC BY) license.
Share and Cite
Zhang, M.; Cheng, Z.; Gong, T.; Zheng, B.; Zhang, Z. Design of a Low-Noise 2.4/5.5 GHz Dual-Band LNA Based on Microstrip Structure. Micromachines 2026, 17, 18. https://doi.org/10.3390/mi17010018
Zhang M, Cheng Z, Gong T, Zheng B, Zhang Z. Design of a Low-Noise 2.4/5.5 GHz Dual-Band LNA Based on Microstrip Structure. Micromachines. 2026; 17(1):18. https://doi.org/10.3390/mi17010018
Chicago/Turabian StyleZhang, Mingwen, Zhiqun Cheng, Tingwei Gong, Bangjie Zheng, and Zhiwei Zhang. 2026. "Design of a Low-Noise 2.4/5.5 GHz Dual-Band LNA Based on Microstrip Structure" Micromachines 17, no. 1: 18. https://doi.org/10.3390/mi17010018
APA StyleZhang, M., Cheng, Z., Gong, T., Zheng, B., & Zhang, Z. (2026). Design of a Low-Noise 2.4/5.5 GHz Dual-Band LNA Based on Microstrip Structure. Micromachines, 17(1), 18. https://doi.org/10.3390/mi17010018

