A Design of 1.2–3.6 GHz Power Amplifier Based on Filters of Negative Feedback Network
Abstract
1. Introduction
2. Negative Feedback Filter Network
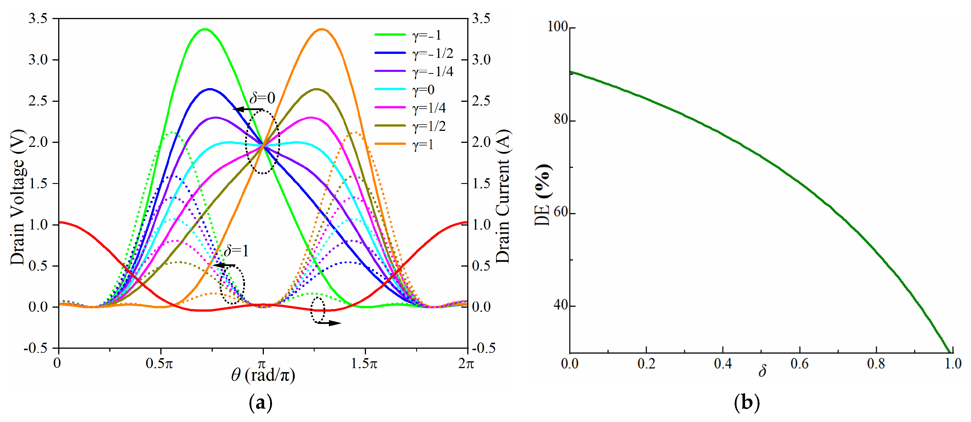
3. Theory of ECCF PA
4. Implementation and Measurement
5. Conclusions
Author Contributions
Funding
Data Availability Statement
Conflicts of Interest
References
- Liu, S.; Pang, J.; Gao, R.; Dai, Z.; Li, M.; Chen, S. Highly-Efficient Broadband GaAs HBT Doherty Power Amplifier with Harmonic Control Technique for 5G Application. IEEE Trans. Circuits Syst. II Express Briefs 2025, 72, 713–717. [Google Scholar] [CrossRef]
- Kostrzewska, K.; Kryszkiewicz, P. Power Amplifier Modeling Framework for Front-End-Aware Next-Generation Wireless Networks. Electronics 2024, 13, 1643. [Google Scholar] [CrossRef]
- Mehter, E.; Üçüncü, M. Radio Frequency (RF) Power Amplifier Design Providing High Power Efficiency in a Wide Dynamic Range. Electronics 2025, 14, 1435. [Google Scholar] [CrossRef]
- Li, C.; Zhang, Z.; Su, X.; Li, Y.; Liang, X.; Pei, Y.; Chen, C.; Xu, Y. Compact Internally Matched High-Power Power Amplifier with a Wide Frequency Band of 0.8–2 GHz. Electronics 2024, 13, 2687. [Google Scholar] [CrossRef]
- Choi, H. Power Amplifier Design for Ultrasound Applications. Micromachines 2023, 14, 1342. [Google Scholar] [CrossRef]
- Kim, K.; Choi, H. Novel Bandwidth Expander Supported Power Amplifier for Wideband Ultrasound Transducer Devices. Sensors 2021, 21, 2356. [Google Scholar] [CrossRef]
- Li, S.; Wu, L.; Chen, X. Bandpass Filtering Power Amplifier with Wide Stopband and High Out-of-Band Rejection. IEEE Trans. Circuits Syst. II Express Briefs 2023, 70, 969–973. [Google Scholar] [CrossRef]
- Xia, X.; Wang, Z.; Li, Z.; Zheng, S.; Tang, D.; Hou, D. A 26/38-GHz Dual-Band Filtering Balanced Power Amplifier MMIC for 5G Mobile Communications. IEEE Microw. Wirel. Technol. Lett. 2023, 33, 419–422. [Google Scholar] [CrossRef]
- Estrada, J.A.; Montejo-Garai, J.R.; de Paco, P.; Psychogiou, D.; Popović, Z. Power Amplifiers with Frequency-Selective Matching Networks. IEEE Trans. Microw. Theory Tech. 2021, 69, 697–708. [Google Scholar] [CrossRef]
- Feng, T.; Ma, K.; Wang, Y.; Hu, J. Bandpass-Filtering Power Amplifier with Compact Size and Wideband Harmonic Suppression. IEEE Trans. Microw. Theory Tech. 2022, 70, 1254–1268. [Google Scholar] [CrossRef]
- Haider, M.F.; You, F.; Qi, T.; Li, C.; Ahmad, S. Co-Design of Second Harmonic-Tuned Power Amplifier and a Parallel-Coupled Stub Loaded Resonator. IEEE Trans. Circuits Syst. II Express Briefs 2022, 67, 3013–3017. [Google Scholar] [CrossRef]
- Liu, G.; Zhong, H.; Guo, C.; Cheng, Z. Design of Continuous Class-B/J Power Amplifier Based on Mirrored Lowpass Filter Matching Structure. IEICE Trans. Electron. 2022, E105-C, 172–175. [Google Scholar]
- Cong, M.; Dai, T.; Yang, Y.; Ren, J.; Zhao, F. Ultra-wideband GaN RF Power Amplifier Based on Low-pass Ladder Matching Network. IEICE Electron. Express 2024, 21, 20240486. [Google Scholar] [CrossRef]
- Xie, S.; Paidi, V.; Coffie, R.; Keller, S.; Heikman, S.; Moran, B.; Chini, A.; DenBaars, S.; Mishra, U.; Long, S. High-linearity class B power amplifiers in GaN HEMT technology. IEEE Microw. Wirel. Compon. Lett. 2023, 13, 284–286. [Google Scholar]
- Hayati, M.; Sheikhi, A.; Grebennikov, A. Class-F Power Amplifier with High Power Added Efficiency Using Bowtie-Shaped Harmonic Control Circuit. IEEE Microw. Wirel. Compon. Lett. 2015, 25, 133–135. [Google Scholar] [CrossRef]
- Alizadeh, A.; Hassanzadehyamchi, S.; Medi, A.; Kiaei, S. An X-Band Class-J Power Amplifier with Active Load Modulation to Boost Drain Efficiency. IEEE Trans. Circuits Syst. I Regul. Pap. 2020, 67, 3364–3377. [Google Scholar] [CrossRef]
- Jiang, X.; Huang, W.; Bao, C.; Wu, X.; Wei, K.; Liu, X.; Luo, W. A High-Efficiency Continuous Class-F GaN MMIC Power Amplifier Using a Novel Harmonic Matching Network. IEEE Microw. Wirel. Technol. Lett. 2023, 33, 1321–1324. [Google Scholar] [CrossRef]
- Kim, B.; Oh, J. Dual-Band Continuous Class-F−1 Power Amplifier with Second-Harmonic Suppression for Harmonic Radar Systems. IEEE Access 2024, 12, 62358–62364. [Google Scholar] [CrossRef]
- Zhang, Z.; Cheng, Z.; Ke, H.; Liu, G.; Li, S. Design of a Broadband High-Efficiency Hybrid Class-EFJ Power Amplifier. IEEE Microw. Wirel. Compon. Lett. 2020, 30, 407–409. [Google Scholar] [CrossRef]
- Zhang, Z.; Cheng, Z.; Jin, L.; Liu, G. An ultra-broadband power amplifier by using a simple analysis method. IEICE Electron. Express 2021, 18, 20210057. [Google Scholar] [CrossRef]
- Jia, M.; Cheng, Z.; Shi, Y.; Li, H.; Zhao, X.; Zhang, Z. Wideband high efficiency extended continuous Class F power amplifier using a new wideband bandstop network. Microw. Opt. Technol. Lett. 2022, 64, 965–1971. [Google Scholar] [CrossRef]
- Lee, M.; Yang, J.; Lee, J.; Park, C. Design Techniques for Wideband CMOS Power Amplifiers for Wireless Communications. Electronics 2024, 13, 1695. [Google Scholar] [CrossRef]
- Jobaneh, H.H. An Approach to Increase Power-Added Efficiency in a 5 GHz Class E Power Amplifier in 0.18 μm CMOS Technology. IET Circuits Devices Syst. 2023, 5586912. [Google Scholar] [CrossRef]
- Lu, H.; Jiang, J.; Zhang, H. A concise high-efficiency broadband parallel-circuit Class-E power amplifier. Int. J. Circuit Appl. 2024, 52, 5450–5468. [Google Scholar] [CrossRef]
- Cancelli, R.; Avitabile, G.; Florio, A. Designing and Optimizing a 2.4 GHz Complementary Metal-Oxide-Semiconductor Class-E Power Amplifier Combining Standard and High-Voltage Metal-Oxide-Semiconductor Field-Effect Transistors. Electronics 2025, 14, 1135. [Google Scholar] [CrossRef]
- Zheng, S.; Liu, Z.; Zhang, X.; Zhou, X.; Chan, W. Design of Ultrawideband High-Efficiency Extended Continuous Class-F Power Amplifier. IEEE Trans. Ind. Electron. 2018, 65, 4661–4669. [Google Scholar] [CrossRef]
- You, F.; Li, C.; Shi, W.; He, S. Design of a 1.4–3.6 GHz High-Efficiency Broadband Power Amplifiers with Mixed Operation Modes. In Proceedings of the 2018 Asia-Pacific Microwave Conference (APMC), Kyoto, Japan, 6–9 November 2018; pp. 944–946. [Google Scholar]
- Gan, D.; Shi, W. Extended Inverse Class-F Continuum for Designing Broadband Power Amplifier. J. Circuits Syst. Comput. 2021, 30, 2150015. [Google Scholar] [CrossRef]
- Li, D.L.; Yang, F.; Guo, C.; Li, X. An Ultrawideband Power Amplifier Based on Negative Feedback. IEEE Microw. Wirel. Technol. Lett. 2024, 34, 536–539. [Google Scholar] [CrossRef]
- Qi, C.; Luo, Y.; Feng, X.; Dong, C. 1.6–2.6 GHz continuous Class-F power amplifier with gain and power-added efficiency flatness enhancement by negative feedback structure. Microw. Opt. Technol. Lett. 2019, 61, 1716–1722. [Google Scholar] [CrossRef]
- Matthaei, G.L. Tables of Chebyshev impedance-transforming networks of low-pass filter form. Proc. IEEE 1964, 52, 939–963. [Google Scholar] [CrossRef]
- Zhou, H.; Perez-Cisneros, J.R.; Langborn, B.; Eriksson, T.; Fager, C. Design of a Compact GaN Power Amplifier with High Efficiency and Beyond Decade Bandwidth. IEEE Microw. Wirel. Compon. Lett. 2022, 32, 1439–1442. [Google Scholar] [CrossRef]
- Pozar, D.M. Microwave Engineering, 3rd ed.; Wiley: Boston, MA, USA, 2005. [Google Scholar]
- Carrubba, V.; Clarke, A.; Akmal, M.; Lees, J.; Benedikt, J.; Tasker, P.J.; Cripps, S.C. On the Extension of the Continuous Class-F Mode Power Amplifier. IEEE Trans. Microw. Theory Tech. 2011, 59, 1294–1303. [Google Scholar] [CrossRef]











| Ref. | Class | BW (GHz) | RBW (%) | Pout (dBm) | DE Flatness (%) |
|---|---|---|---|---|---|
| [17] | CCF | 2.5–3.6 | 36.1 | 36.8–38.5 | 10.7 * |
| [18] | CCF−1 | 2.3/3.35 | - | 40.3/41.9 | - |
| [21] | ECCF | 1.2–2.9 | 83 | 40.1–43 | 25.8 |
| [27] | ECCF | 1.4–3.6 | 88 | 38.8–41 | 19.3 |
| [30] | CCF | 1.6–2.6 | 47.6 | 39.7–40.8 | 9 * |
| This work | ECCF | 1.2–3.6 | 100 | 38.8–41.8 | 7.9 |
Disclaimer/Publisher’s Note: The statements, opinions and data contained in all publications are solely those of the individual author(s) and contributor(s) and not of MDPI and/or the editor(s). MDPI and/or the editor(s) disclaim responsibility for any injury to people or property resulting from any ideas, methods, instructions or products referred to in the content. |
© 2025 by the authors. Licensee MDPI, Basel, Switzerland. This article is an open access article distributed under the terms and conditions of the Creative Commons Attribution (CC BY) license (https://creativecommons.org/licenses/by/4.0/).
Share and Cite
Yang, Z.; Cai, C.; Meng, Z.; Ding, Z.; Fu, Q.; Wang, X.; Cheng, Z. A Design of 1.2–3.6 GHz Power Amplifier Based on Filters of Negative Feedback Network. Electronics 2025, 14, 4944. https://doi.org/10.3390/electronics14244944
Yang Z, Cai C, Meng Z, Ding Z, Fu Q, Wang X, Cheng Z. A Design of 1.2–3.6 GHz Power Amplifier Based on Filters of Negative Feedback Network. Electronics. 2025; 14(24):4944. https://doi.org/10.3390/electronics14244944
Chicago/Turabian StyleYang, Zhenghao, Chucai Cai, Zhengxian Meng, Zhiyong Ding, Quanbin Fu, Xiaogang Wang, and Zhiqun Cheng. 2025. "A Design of 1.2–3.6 GHz Power Amplifier Based on Filters of Negative Feedback Network" Electronics 14, no. 24: 4944. https://doi.org/10.3390/electronics14244944
APA StyleYang, Z., Cai, C., Meng, Z., Ding, Z., Fu, Q., Wang, X., & Cheng, Z. (2025). A Design of 1.2–3.6 GHz Power Amplifier Based on Filters of Negative Feedback Network. Electronics, 14(24), 4944. https://doi.org/10.3390/electronics14244944
