Next Issue
Volume 12, MaxEnt 2024
Previous Issue
Volume 10, IOCP 2024
 
 

Phys. Sci. Forum, 2025, Axion-Wimp 2024

The 19th Patras Workshop on Axions, WIMPs and WISPs
Patras, Greece | 15–20 September 2024

Volume Editors:
Konstantin Zioutas, University of Patras, Greece
Marios Maroudas, University of Hamburg, Germany

Number of Papers: 5
  • Issues are regarded as officially published after their release is announced to the table of contents alert mailing list.
  • You may sign up for e-mail alerts to receive table of contents of newly released issues.
  • PDF is the official format for papers published in both, html and pdf forms. To view the papers in pdf format, click on the "PDF Full-text" link, and use the free Adobe Reader to open them.
Cover Story (view full-size image): The 19th Patras Workshop on Axions, WIMPs and WISPs was held on 15–20 September 2024. This event was the latest event in an annual series of conferences, started in 2005 at CERN. The workshop [...] Read more.
Order results
Result details
Select all
Export citation of selected articles as:

Other

10 pages, 20630 KB  
Proceeding Paper
Axion Searches with IAXO and BabyIAXO
by Johanna von Oy and Maurizio Giannotti
Phys. Sci. Forum 2025, 11(1), 1; https://doi.org/10.3390/psf2025011001 - 25 Jul 2025
Viewed by 1351
Abstract
Of the three major axion search experimental strategies, light-shining-through-wall experiments, haloscopes, and helioscopes, this paper focuses on the latter. IAXO, the International AXion Observatory, will be a next-generation helioscope following in the footsteps of previous experiments like SUMICO and CAST. Helioscopes aim to [...] Read more.
Of the three major axion search experimental strategies, light-shining-through-wall experiments, haloscopes, and helioscopes, this paper focuses on the latter. IAXO, the International AXion Observatory, will be a next-generation helioscope following in the footsteps of previous experiments like SUMICO and CAST. Helioscopes aim to detect axions produced in the Sun, utilizing a magnetic field to couple them to X-ray photons. BabyIAXO represents a near-term step toward IAXO, designed to test custom components while delivering competitive results in axion searches. The experimental components are currently under development and construction. Further research into the applications of BabyIAXO beyond baseline axion searches is being conducted. Full article
(This article belongs to the Proceedings of The 19th Patras Workshop on Axions, WIMPs and WISPs)
Show Figures

Figure 1

12 pages, 4024 KB  
Proceeding Paper
Superconducting Quantum Sensors for Fundamental Physics Searches
by Gulden Othman, Robert H. Hadfield, Katharina-Sophie Isleif, Friederike Januschek, Axel Lindner, Manuel Meyer, Dmitry Morozov, Devendra Kumar Namburi, Elmeri Rivasto, José Alejandro Rubiera Gimeno and Christina Schwemmbauer
Phys. Sci. Forum 2025, 11(1), 2; https://doi.org/10.3390/psf2025011002 - 20 Oct 2025
Viewed by 991
Abstract
Superconducting Transition Edge Sensors (TESs) are a promising technology for fundamental physics applications due to their low dark count rates, excellent energy resolution, and high detection efficiency. On the DESY campus, we have been developing a program to characterize cryogenic quantum sensors for [...] Read more.
Superconducting Transition Edge Sensors (TESs) are a promising technology for fundamental physics applications due to their low dark count rates, excellent energy resolution, and high detection efficiency. On the DESY campus, we have been developing a program to characterize cryogenic quantum sensors for fundamental physics applications, particularly focused on TESs. We currently have two fully equipped dilution refrigerators that enable simultaneous TES characterization and fundamental physics searches. In this paper, we summarize the current status of our TES characterization, including recent calibration efforts and efficiency measurements, as well as simulations to better understand TES behavior and its backgrounds. Additionally, we summarize some physics applications that we are already exploring or planning to explore. We will give preliminary projections on a direct dark matter search with our TES, where exploiting low-threshold electron scattering in superconducting materials allows us to search for sub-MeV-scale dark matter. We are also working toward performing a measurement of the even-number photon distribution (beyond one pair) of a quantum-squeezed light source. Finally, if it proves to meet the requirements, our TES detector may be used as a second, independent detection system to search for an axion signal at the ALPS II experiment. Full article
(This article belongs to the Proceedings of The 19th Patras Workshop on Axions, WIMPs and WISPs)
Show Figures

Figure 1

7 pages, 1595 KB  
Proceeding Paper
Progress in GrAHal-CAPP/DMAG for Axion Dark Matter Search in the 1–3 μeV Range
by Pierre Pugnat, Rafik Ballou, Philippe Camus, Guillaume Donnier-Valentin, Thierry Grenet, Ohjoon Kwon, Jérôme Lacipière, Mickaël Pelloux, Rolf Pfister, Yannis K. Semertzidis, Arthur Talarmin, Jérémy Vessaire and SungWoo Youn
Phys. Sci. Forum 2025, 11(1), 3; https://doi.org/10.3390/psf2025011003 - 24 Oct 2025
Viewed by 817
Abstract
Two outstanding problems of particle physics and cosmology, namely the strong-CP problem and the nature of dark matter, can be solved with the discovery of a single new particle, the axion. The modular high magnetic field and flux hybrid magnet platform of LNCMI-Grenoble, [...] Read more.
Two outstanding problems of particle physics and cosmology, namely the strong-CP problem and the nature of dark matter, can be solved with the discovery of a single new particle, the axion. The modular high magnetic field and flux hybrid magnet platform of LNCMI-Grenoble, which was recently put in operation up to 42 T, offers unique opportunities for axion/axion-like particle search using Sikivie-type haloscopes. In this paper, the focus will be on the 350–600 MHz frequency range corresponding to the 1–3 μeV axion mass range requiring a large-bore RF-cavity. It will be built by DMAG and integrated within the large-bore superconducting hybrid magnet outsert, providing a central magnetic field up to 9 T in 812 mm warm bore diameter. The progress achieved by Néel Institute in the design of the complex cryostat with its double dilution refrigerators to cooldown below 50 mK the ultra-light Cu RF-cavity of 650 mm inner diameter and the first stage of the RF measurement chain are presented. Perspectives for the targeted sensitivity, assuming less than 2-year integration time, are recalled. Full article
(This article belongs to the Proceedings of The 19th Patras Workshop on Axions, WIMPs and WISPs)
Show Figures

Figure 1

10 pages, 6055 KB  
Proceeding Paper
WISPFI Experiment: Prototype Development
by Josep Maria Batllori, Michael H. Frosz, Dieter Horns and Marios Maroudas
Phys. Sci. Forum 2025, 11(1), 4; https://doi.org/10.3390/psf2025011004 - 31 Oct 2025
Viewed by 666
Abstract
Axions and axion-like particles (ALPs) are well-motivated dark matter (DM) candidates that couple with photons in external magnetic fields. The parameter space around m a 50 meV remains largely unexplored by haloscope experiments. We present the first prototype of Weakly Interacting Sub-eV [...] Read more.
Axions and axion-like particles (ALPs) are well-motivated dark matter (DM) candidates that couple with photons in external magnetic fields. The parameter space around m a 50 meV remains largely unexplored by haloscope experiments. We present the first prototype of Weakly Interacting Sub-eV Particles (WISP) Searches on a Fiber Interferometer (WISPFI), a table-top, model-independent scheme based on resonant photon–axion conversion in a hollow-core photonic crystal fiber (HC-PCF) integrated into a Mach–Zehnder interferometer (MZI). Operating near a dark fringe with active phase-locking, combined with amplitude modulation, the interferometer converts axion-induced photon disappearance into a measurable signal. A 2 W, 1550 nm laser is coupled with a 1 m-long HC-PCF placed inside a ∼2 T permanent magnet array, probing a fixed axion mass of m a 49 meV with a projected sensitivity of g a γ γ 1.3× 10 9 GeV−1 for a measurement time of 30 days. Future upgrades, including pressure tuning of the effective refractive index and implementation of a Fabry–Pérot cavity, could extend the accessible mass range and improve sensitivity, establishing WISPFI as a scalable platform to explore previously inaccessible regions of the axion parameter space. Full article
(This article belongs to the Proceedings of The 19th Patras Workshop on Axions, WIMPs and WISPs)
Show Figures

Figure 1

8 pages, 5882 KB  
Proceeding Paper
Approaching the Quantum Limit in Axion Detection at IBS-CAPP and IBS-DMAG
by Sergey V. Uchaikin, Boris I. Ivanov, Arjan F. van Loo, Yasunobu Nakamura, MinSu Ko, Jinmyeong Kim, Saebyeok Ahn, Seonjeong Oh, Yannis K. Semertzidis and SungWoo Youn
Phys. Sci. Forum 2025, 11(1), 5; https://doi.org/10.3390/psf2025011005 - 26 Nov 2025
Viewed by 753
Abstract
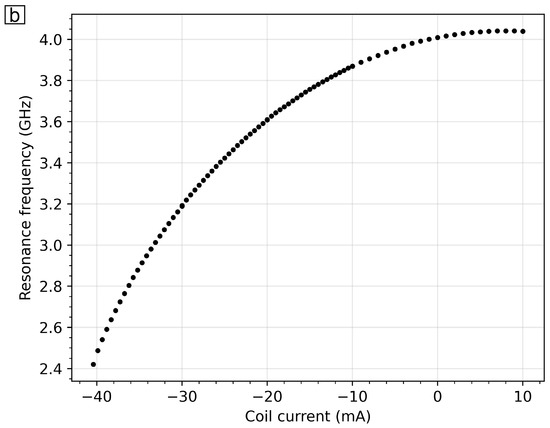
We present the development of two complementary amplifier architectures for axion haloscope experiments, based on two types of Josephson Parametric Amplifiers (JPAs). The first employs a multi-chip module of flux-driven JPAs in a parallel–series configuration, enabling near quantum-limited amplification over an extended tunable [...] Read more.
We present the development of two complementary amplifier architectures for axion haloscope experiments, based on two types of Josephson Parametric Amplifiers (JPAs). The first employs a multi-chip module of flux-driven JPAs in a parallel–series configuration, enabling near quantum-limited amplification over an extended tunable range of between 1.2 and 1.5 GHz. The second design features a lumped-element JPA, offering continuous tunability across a wide frequency range from 2.4 to 4 GHz. Both approaches demonstrate near-quantum-limited noise performance and are compatible with operation in cryogenic environments. These amplifiers significantly enhance the sensitivity and frequency coverage of axion search experiments, and also provide new opportunities for broadband quantum sensing applications. Full article
(This article belongs to the Proceedings of The 19th Patras Workshop on Axions, WIMPs and WISPs)
Show Figures

Figure 1

Previous Issue
Back to TopTop