Sign in to use this feature.

Years

Between: -

Subjects

remove_circle_outline
remove_circle_outline
remove_circle_outline
remove_circle_outline
remove_circle_outline
remove_circle_outline
remove_circle_outline
remove_circle_outline

Journals

Article Types

Countries / Regions

remove_circle_outline
remove_circle_outline

Search Results (132)

Search Parameters:
Keywords = agro-climatic indexes

Order results
Result details
Results per page
Select all
Export citation of selected articles as:
27 pages, 14018 KB  
Article
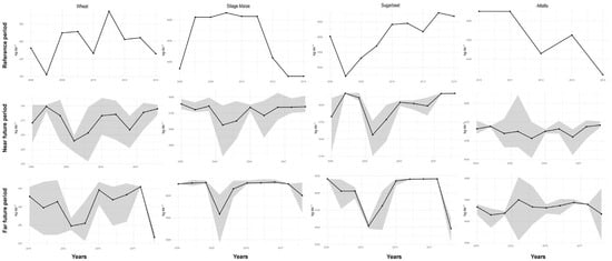
Multi-Crop Yield Estimation and Spatial Analysis of Agro-Climatic Indices Based on High-Resolution Climate Simulations in Türkiye’s Lakes Region, a Typical Mediterranean Biogeography
by Fuat Kaya, Sinan Demir, Mert Dedeoğlu, Levent Başayiğit, Yurdanur Ünal, Cemre Yürük Sonuç, Tuğba Doğan Güzel and Ece Gizem Çakmak
Agronomy 2026, 16(3), 321; https://doi.org/10.3390/agronomy16030321 - 27 Jan 2026
Abstract
Mediterranean biogeography is characterized as a global “hotspot” for climate change; understanding the impacts of these changes on local agricultural systems through high-resolution analyses has thus become a critical need. This study addresses this gap by evaluating the holistic effects of climate change [...] Read more.
Mediterranean biogeography is characterized as a global “hotspot” for climate change; understanding the impacts of these changes on local agricultural systems through high-resolution analyses has thus become a critical need. This study addresses this gap by evaluating the holistic effects of climate change on site-specific agriculture systems, focusing on the Eğirdir–Karacaören (EKB) and Beyşehir (BB) lake basins in the Lakes Region of Türkiye. This study employed machine learning modeling techniques to forecast changes in the yields of key crops, such as wheat, maize, apple, alfalfa, and sugar beet. Detailed spatial analyses of changes in agro-climatic conditions (heat stress, chilling requirement, frost days, and growing degree days for key crops) between the reference period (1995–2014) and two decadal periods projected for 2040–2049 and 2070–2079 were conducted under the Shared Socioeconomic Pathways (SSP3-7.0). Daily temperature, precipitation, relative humidity, and solar radiation data, derived from high-resolution climate simulations, were aggregated into annual summaries. These datasets were then spatially matched with district-level yield statistics obtained from the official data providers to construct crop-specific data matrices. For each crop, Random Forest (RF) regression models were fitted, and a Leave-One-Site-Out (LOSOCV) cross-validation method was used to evaluate model performance during the reference period. Yield prediction models were evaluated using the mean absolute error (MAE). The models achieved low MAE values for wheat (33.95 kg da−1 in EKB and 75.04 kg da−1 in BB), whereas the MAE values for maize and alfalfa were considerably higher, ranging from 658 to 986 kg da−1. Projections for future periods indicate declines in relative yield across both basins. For 2070–2079, wheat and maize yields are projected to decrease by 10–20%, accompanied by wide uncertainty intervals. Both basins are expected to experience a substantial increase in heat stress days (>35 °C), a reduction in frost days, and an overall acceleration of plant phenology. Results provided insights to inform region-specific, evidence-based adaptation options, such as selecting heat-tolerant varieties, optimizing planting calendars, and integrating precision agriculture practices to improve resource efficiency under changing climatic conditions. Overall, this study establishes a scientific basis for enhancing the resilience of agricultural systems to climate change in two lake basins within the Mediterranean biogeography. Full article
(This article belongs to the Special Issue Agroclimatology and Crop Production: Adapting to Climate Change)
Show Figures

Figure 1

34 pages, 8403 KB  
Article
Morpho-Physicochemical, Bioactive, and Antioxidant Profiling of Peruvian Coffea arabica L. Germplasm Reveals Promising Accessions for Agronomic and Nutraceutical Breeding
by César Cueva-Carhuatanta, Ester Choque-Incaluque, Ronald Pio Carrera-Rojo, Jazmín Maravi Loyola, Marián Hermoza-Gutiérrez, Hector Cántaro-Segura, Elizabeth Fernandez-Huaytalla, Dina L. Gutiérrez-Reynoso, Fredy Quispe-Jacobo and Karina Ccapa-Ramirez
Plants 2026, 15(1), 13; https://doi.org/10.3390/plants15010013 - 19 Dec 2025
Viewed by 944
Abstract
Coffee quality arises from the interaction among genotype, environment, and postharvest management, yet few large-scale studies jointly integrate agronomic, phytochemical, and processing traits. We characterized 150 Coffea arabica L. accessions from six Peruvian regions, evaluated in the INIA coffee germplasm collection, quantifying agro-morphological [...] Read more.
Coffee quality arises from the interaction among genotype, environment, and postharvest management, yet few large-scale studies jointly integrate agronomic, phytochemical, and processing traits. We characterized 150 Coffea arabica L. accessions from six Peruvian regions, evaluated in the INIA coffee germplasm collection, quantifying agro-morphological traits, colorimetric parameters in cherries and beans, fermentation indicators, bioactive compounds, and antioxidant activity. Correlation analyses showed that total phenolics (TPCs) and total flavonoids (TFCs) were strongly associated with antioxidant activity, whereas caffeine content (CAF) varied, largely independently. Several chromatic parameters in parchment and green coffee (a*, b*, C*) showed positive correlations with phenolic content and antioxidant activity (ABTS, DPPH, FRAP), while final fermentation pH (FPH) was negatively associated with these compounds, supporting both color metrics and pH as operational indicators of chemical quality. Principal component analysis disentangled a morphometric gradient from a functional (phenolic–antioxidant) gradient, indicating that bean size and antioxidant potential can be improved in a semi-independent manner. Hierarchical clustering identified complementary ideotypes, and a multi-trait selection index highlighted promising accessions—PER1002197 (Cajamarca), PER1002222 (Cajamarca), PER1002288 (Pasco), and PER1002184 (Cajamarca)—that combine high phenolic/antioxidant levels, favorable chlorogenic acid (CGA)/trigonelline (TGN) profiles, contrasting (high/low) caffeine, and competitive yield (YPP)/bean size. These accessions represent promising candidates for breeding climate-smart and nutraceutical-oriented coffee. Full article
(This article belongs to the Section Plant Physiology and Metabolism)
Show Figures

Graphical abstract

18 pages, 2075 KB  
Article
A Spatial Framework for Assessing Irrigation Water Use in Overexploited Mediterranean Aquifers
by Esther López-Pérez, Juan Manzano-Juarez, Miguel Angel Jiménez-Bello, Alberto García-Prats, Carles Sanchis-Ibor, Adrià Rubio-Martín, Fatima Zahrae Boubekri, Abdellah Kajji, Paolo Tufoni, Luís Miguel Nunes and Manuel Pulido-Velazquez
Remote Sens. 2025, 17(24), 4019; https://doi.org/10.3390/rs17244019 - 12 Dec 2025
Cited by 1 | Viewed by 455
Abstract
Irrigated agriculture in Mediterranean semi-arid regions is increasingly constrained by aquifer depletion and climate change. Enhancing water use efficiency in the irrigation of perennial crops is essential for long-term agricultural sustainability. This study introduces a Spatial Irrigation Adequacy Index (SIAI), a normalized index [...] Read more.
Irrigated agriculture in Mediterranean semi-arid regions is increasingly constrained by aquifer depletion and climate change. Enhancing water use efficiency in the irrigation of perennial crops is essential for long-term agricultural sustainability. This study introduces a Spatial Irrigation Adequacy Index (SIAI), a normalized index expressing the deviation between actual evapotranspiration (ETa) and Crop Water Requirements (CWR). The framework was applied to assess irrigation performance in grapevine (Vitis vinifera), apple orchards (Malus domestica) and citrus tress (Citrus sinensis) across three groundwater-dependent systems: Requena-Utiel (Spain), Ain Timguenai (Morocco), and Campina de Faro (Portugal). ETa was estimated using Landsat 8 and 9 imageries processed with the SSEBop model, while crop water demand was calculated with the FAO-56 dual crop coefficient method incorporating site-specific agroclimatic data. Results revealed distinct crop-specific irrigation patterns: grapevines achieved near-optimal water use, apple orchards were generally over-irrigated, and citrus groves experienced persistent deficits. The framework enables scalable, transferable assessments of irrigation performance, supporting sustainable water management and adaptive irrigation under climate variability, with potential applications in digital farm management systems, water authority decision-making, and corporate ESG reporting frameworks. Full article
Show Figures

Figure 1

22 pages, 22909 KB  
Article
Changes and Driving Factors of Ecological Environment Quality in the Agro-Pastoral Ecotone of Northern China from 2000 to 2020
by Shuqing Yang, Ming Zhao, Maolin Zhao, Qiutong Zhang and Xiang Liu
Land 2025, 14(12), 2309; https://doi.org/10.3390/land14122309 - 24 Nov 2025
Viewed by 429
Abstract
The agro-pastoral ecotone of northern China (APENC), a typical semi-arid and ecologically vulnerable zone, has experienced considerable shifts in eco-environmental quality (EEQ) over the past two decades under the combined pressures of climate change and human activities. However, systematic understanding of the spatiotemporal [...] Read more.
The agro-pastoral ecotone of northern China (APENC), a typical semi-arid and ecologically vulnerable zone, has experienced considerable shifts in eco-environmental quality (EEQ) over the past two decades under the combined pressures of climate change and human activities. However, systematic understanding of the spatiotemporal evolution and driving mechanisms of EEQ in this region remains limited. Based on multi-source remote sensing data from 2000 to 2020, this study constructed an ecological quality assessment index (EQAI) using principal component analysis (PCA) and quantitatively identified driving factors through geographical detector modeling. The results reveal a consistent improvement in EEQ over the study period, characterized by a marked expansion of higher-quality areas and a contraction of degraded zones, though spatial heterogeneity remained evident. Global and local spatial autocorrelation analyses (Moran’s I) confirmed a distinct clustering pattern, with persistent low-value clusters in the northwest and high-value clusters in the southeast and north. Notably, the most pronounced EEQ enhancement occurred between 2000 and 2005. Overall, 90.24% of the region exhibited an improving trend, while only 9.76% showed degradation. Hurst exponent analysis further indicated that this improving trend is likely to continue in the future across most areas. Factor detection identified meteorological drivers (precipitation) as the strongest influencer on EEQ, followed by land use type. Socioeconomic factors demonstrated relatively minor impact. These findings provide a scientific basis for ecological restoration policy-making and sustainable land management in the APENC and other ecologically fragile transitional regions. Full article
(This article belongs to the Special Issue Climate Change and Soil Erosion: Challenges and Solutions)
Show Figures

Figure 1

17 pages, 4890 KB  
Article
Agro-Morphological Traits, Proximate Composition, and Phenotypic Plasticity of Coffea arabica in Contrasting and Very Close Environments in Northern Peru
by Ligia García, Jaris Veneros, Carlos Bolaños-Carriel, Grobert A. Guadalupe, Heyton Garcia, Roberto Carlos Mori-Zabarburú and Segundo G. Chavez
Agronomy 2025, 15(11), 2465; https://doi.org/10.3390/agronomy15112465 - 23 Oct 2025
Cited by 2 | Viewed by 1103
Abstract
Coffee is one of Peru’s most important agricultural commodities, and its productivity is highly influenced by environmental variability. This study aimed to evaluate agro-morphological traits, proximate bean composition, and the phenotypic plasticity index (PPI) of Coffea arabica (Catimor variety) cultivated in three neighboring [...] Read more.
Coffee is one of Peru’s most important agricultural commodities, and its productivity is highly influenced by environmental variability. This study aimed to evaluate agro-morphological traits, proximate bean composition, and the phenotypic plasticity index (PPI) of Coffea arabica (Catimor variety) cultivated in three neighboring provinces of Piura: Ayabaca, Huancabamba, and Morropón. Unlike previous studies that broadly compare distant regions, this research focuses on geographically close yet climatically contrasting environments, providing new insight into how microclimatic and edaphic variability shape both morphological and chemical traits. A total of 300 plants were sampled, and 12 morphological descriptors were recorded alongside proximate composition analyses of moisture, crude protein, fiber, ash, fat, and carbohydrates. Multivariate approaches, including cluster analysis, multiple correspondence analysis, and Pearson correlations, were applied to determine groupings and trait associations. Results indicated that 12 morphological variables consistently reflected species-specific descriptors, forming two statistical groups, with Morropón showing the greatest homogeneity. Significant differences (p ≤ 0.05) were observed in the proximate composition of most variables, except for crude fiber and carbohydrates. Morropón beans showed the highest fat and moisture values, while Huancabamba had elevated protein and ash levels. Morphological traits exhibited higher plasticity (PPI = 0.70) compared with proximate traits (PPI = 0.21). These findings reveal that even within short spatial distances, coffee plants exhibit marked phenotypic differentiation driven by local environmental factors, offering a novel, fine-scale perspective on trait variability relevant to breeding and adaptation studies under changing climatic conditions. Full article
(This article belongs to the Section Horticultural and Floricultural Crops)
Show Figures

Figure 1

31 pages, 3219 KB  
Review
Data-Driven Integration of Remote Sensing, Agro-Meteorology, and Wireless Sensor Networks for Crop Water Demand Estimation: Tools Towards Sustainable Irrigation in High-Value Fruit Crops
by Fernando Fuentes-Peñailillo, María Luisa del Campo-Hitschfeld, Karen Gutter and Emmanuel Torres-Quezada
Agronomy 2025, 15(9), 2122; https://doi.org/10.3390/agronomy15092122 - 4 Sep 2025
Viewed by 2110
Abstract
Despite advances in precision irrigation, no systematic review has yet integrated the roles of remote sensing, agro-meteorological data, and wireless sensor networks in high-value, water-sensitive crops such as mango, avocado, and vineyards. Existing research often isolates technologies or crop types, overlooking their convergence [...] Read more.
Despite advances in precision irrigation, no systematic review has yet integrated the roles of remote sensing, agro-meteorological data, and wireless sensor networks in high-value, water-sensitive crops such as mango, avocado, and vineyards. Existing research often isolates technologies or crop types, overlooking their convergence and joint performance in the field. This review fills that gap by examining how these tools estimate crop water demand and support sustainable, site-specific irrigation under variable climate conditions. A structured search across major databases yielded 365 articles, of which 92 met the inclusion criteria. Studies were grouped into four categories: remote sensing, agro-meteorology, wireless sensor networks, and integrated approaches. Remote sensing techniques, including multispectral and thermal imaging, enable the spatial monitoring of vegetation indices and stress indicators, such as the Crop Water Stress Index. Agro-meteorological data feed evapotranspiration models using temperature, humidity, wind, and radiation inputs. Wireless sensor networks provide continuous, localized data on soil moisture and canopy temperature. Integrated approaches combine these sources to improve irrigation recommendations. Findings suggest that combining remote sensing, wireless sensor networks, and agro-meteorological inputs can reduce water use by up to 30% without yield loss. Challenges include sensor calibration, data integration complexity, and limited scalability. This review also compares methodologies and highlights future directions, including artificial intelligence systems, digital twins, and affordable Internet of Things platforms for irrigation optimization. Full article
(This article belongs to the Section Water Use and Irrigation)
Show Figures

Figure 1

14 pages, 5995 KB  
Article
Integrated Remote Sensing Evaluation of Grassland Degradation Using Multi-Criteria GDCI in Ili Prefecture, Xinjiang, China
by Liwei Xing, Dongyan Jin, Chen Shen, Mengshuai Zhu and Jianzhai Wu
Land 2025, 14(8), 1592; https://doi.org/10.3390/land14081592 - 4 Aug 2025
Viewed by 1715
Abstract
As an important ecological barrier and animal husbandry resource base in arid and semi-arid areas, grassland degradation directly affects regional ecological security and sustainable development. Ili Prefecture is located in the western part of Xinjiang, China, and is a typical grassland resource-rich area. [...] Read more.
As an important ecological barrier and animal husbandry resource base in arid and semi-arid areas, grassland degradation directly affects regional ecological security and sustainable development. Ili Prefecture is located in the western part of Xinjiang, China, and is a typical grassland resource-rich area. However, in recent years, driven by climate change and human activities, grassland degradation has become increasingly serious. In view of the lack of comprehensive evaluation indicators and the inconsistency of grassland evaluation grade standards in remote sensing monitoring of grassland resource degradation, this study takes the current situation of grassland degradation in Ili Prefecture in the past 20 years as the research object and constructs a comprehensive evaluation index system covering three criteria layers of vegetation characteristics, environmental characteristics, and utilization characteristics. Net primary productivity (NPP), vegetation coverage, temperature, precipitation, soil erosion modulus, and grazing intensity were selected as multi-source indicators. Combined with data sources such as remote sensing inversion, sample survey, meteorological data, and farmer survey, the factor weight coefficient was determined by analytic hierarchy process. The Grassland Degeneration Comprehensive Index (GDCI) model was constructed to carry out remote sensing monitoring and evaluation of grassland degradation in Yili Prefecture. With reference to the classification threshold of the national standard for grassland degradation, the GDCI grassland degradation evaluation grade threshold (GDCI reduction rate) was determined by the method of weighted average of coefficients: non-degradation (0–10%), mild degradation (10–20%), moderate degradation (20–37.66%) and severe degradation (more than 37.66%). According to the results, between 2000 and 2022, non-degraded grasslands in Ili Prefecture covered an area of 27,200 km2, representing 90.19% of the total grassland area. Slight, moderate, and severe degradation accounted for 4.34%, 3.33%, and 2.15%, respectively. Moderately and severely degraded areas are primarily distributed in agro-pastoral transition zones and economically developed urban regions, respectively. The results revealed the spatial and temporal distribution characteristics of grassland degradation in Yili Prefecture and provided data basis and technical support for regional grassland resource management, degradation prevention and control and ecological restoration. Full article
Show Figures

Figure 1

25 pages, 1882 KB  
Article
An Assessment of Collector-Drainage Water and Groundwater—An Application of CCME WQI Model
by Nilufar Rajabova, Vafabay Sherimbetov, Rehan Sadiq and Alaa Farouk Aboukila
Water 2025, 17(15), 2191; https://doi.org/10.3390/w17152191 - 23 Jul 2025
Cited by 1 | Viewed by 1584
Abstract
According to Victor Ernest Shelford’s ‘Law of Tolerance,’ organisms within ecosystems thrive optimally when environmental conditions are favorable. Applying this principle to ecosystems and agro-ecosystems facing water scarcity or environmental challenges can significantly enhance their productivity. In these ecosystems, phytocenosis adjusts its conditions [...] Read more.
According to Victor Ernest Shelford’s ‘Law of Tolerance,’ organisms within ecosystems thrive optimally when environmental conditions are favorable. Applying this principle to ecosystems and agro-ecosystems facing water scarcity or environmental challenges can significantly enhance their productivity. In these ecosystems, phytocenosis adjusts its conditions by utilizing water with varying salinity levels. Moreover, establishing optimal drinking water conditions for human populations within an ecosystem can help mitigate future negative succession processes. The purpose of this study is to evaluate the quality of two distinct water sources in the Amudarya district of the Republic of Karakalpakstan, Uzbekistan: collector-drainage water and groundwater at depths of 10 to 25 m. This research is highly relevant in the context of climate change, as improper management of water salinity, particularly in collector-drainage water, may exacerbate soil salinization and degrade drinking water quality. The primary methodology of this study is as follows: The Food and Agriculture Organization of the United Nations (FAO) standard for collector-drainage water is applied, and the water quality index is assessed using the CCME WQI model. The Canadian Council of Ministers of the Environment (CCME) model is adapted to assess groundwater quality using Uzbekistan’s national drinking water quality standards. The results of two years of collected data, i.e., 2021 and 2023, show that the water quality index of collector-drainage water indicates that it has limited potential for use as secondary water for the irrigation of sensitive crops and has been classified as ‘Poor’. As a result, salinity increased by 8.33% by 2023. In contrast, groundwater quality was rated as ‘Fair’ in 2021, showing a slight deterioration by 2023. Moreover, a comparative analysis of CCME WQI values for collector-drainage and groundwater in the region, in conjunction with findings from Ethiopia, India, Iraq, and Turkey, indicates a consistent decline in water quality, primarily due to agriculture and various other anthropogenic pollution sources, underscoring the critical need for sustainable water resource management. This study highlights the need to use organic fertilizers in agriculture to protect drinking water quality, improve crop yields, and promote soil health, while reducing reliance on chemical inputs. Furthermore, adopting WQI models under changing climatic conditions can improve agricultural productivity, enhance groundwater quality, and provide better environmental monitoring systems. Full article
Show Figures

Figure 1

21 pages, 991 KB  
Article
Strengthening Agricultural Drought Resilience of Commercial Livestock Farmers in South Africa: An Assessment of Factors Influencing Decisions
by Yonas T. Bahta, Frikkie Maré and Ezael Moshugi
Climate 2025, 13(8), 154; https://doi.org/10.3390/cli13080154 - 22 Jul 2025
Cited by 2 | Viewed by 1470
Abstract
In order to fulfil SDG 13—taking urgent action to combat climate change and its impact—SDG 2—ending hunger and poverty—and the African Union CAADP Strategy and Action Plan: 2026–2035, which’s goal is ending hunger and intensifying sustainable food production, agro-industrialisation, and trade, the resilience [...] Read more.
In order to fulfil SDG 13—taking urgent action to combat climate change and its impact—SDG 2—ending hunger and poverty—and the African Union CAADP Strategy and Action Plan: 2026–2035, which’s goal is ending hunger and intensifying sustainable food production, agro-industrialisation, and trade, the resilience of commercial livestock farmers to agricultural droughts needs to be enhanced. Agricultural drought has affected the economies of many sub-Saharan African countries, including South Africa, and still poses a challenge to commercial livestock farming. This study identifies and determines the factors affecting commercial livestock farmers’ level of resilience to agricultural drought. Primary data from 123 commercial livestock farmers was used in a principal component analysis to estimate the agricultural drought resilience index as an outcome variable, and the probit model was used to determine the factors influencing the resilience of commercial livestock farmers in the Northern Cape Province of South Africa. This study provides a valuable contribution towards resilience-building strategies that are critical for sustaining commercial livestock farming in arid regions by developing a formula for calculating the Agricultural Drought Resilience Index for commercial livestock farmers, significantly contributing to the pool of knowledge. The results showed that 67% of commercial livestock farming households were not resilient to agricultural drought, while 33% were resilient. Reliance on sustainable natural water resources, participation in social networks, education, relative support, increasing livestock numbers, and income stability influence the resilience of commercial livestock farmers. It underscores the importance of multidimensional policy interventions to enhance farmer drought resilience through education and livelihood diversification. Full article
Show Figures

Figure 1

21 pages, 6605 KB  
Article
Analysis of Spatial and Temporal Dynamics of Climate Aridization in Rostov Oblast in 1951–2054 Using ERA5 and CMIP6 Data and the De Martonne Index
by Denis Krivoguz
Climate 2025, 13(7), 151; https://doi.org/10.3390/cli13070151 - 17 Jul 2025
Cited by 1 | Viewed by 3270
Abstract
Rostov Oblast is one of the key grain-producing regions in Russia, accounting for 6% of the total grain production. However, it faces an increasing risk of climate aridization, which requires an accurate scientific assessment to ensure the food security of the country. The [...] Read more.
Rostov Oblast is one of the key grain-producing regions in Russia, accounting for 6% of the total grain production. However, it faces an increasing risk of climate aridization, which requires an accurate scientific assessment to ensure the food security of the country. The present study analyzes the spatial and temporal dynamics of climate aridification in the Rostov region for the period 1951–2054. This analysis is based on ERA5 reanalysis data and CMIP6 forecast models (MPI-ESM1-2-HR, CanESM5, BCC-CSM2-MR). The analysis indicates that the annual mean temperature in the region has increased by 2–3 °C since the 1950s, reaching 12 °C in 2023. At the same time, precipitation shows significant interannual variability with no detectable long-term trend. Spatial analysis reveals a stable meridional temperature gradient and zonality of precipitation distribution. The southeastern parts of the region are characterized by the highest degree of aridification. Projection models indicate further warming (+1.5–3 °C by 2054) and increasing contrasts between western (wetter) and eastern (drier) areas. Projections derived from the CMIP6 models indicate an intensification of aridification, accompanied by a decrease in the De Martonne index of 15–25% by the year 2054. The area of territories with arid climates is expected to increase from 30% to 40%. The most vulnerable regions will be in the southeast part of Rostov Oblast, where the De Martonne index values are predicted to decrease to less than 10. The potential increase in temperature and evapotranspiration, coupled with spatial differentiation, could pose significant risks to the sustainability of the agro-industrial complex, particularly in the southeastern part of the region. Full article
Show Figures

Figure 1

33 pages, 11613 KB  
Article
Assessing and Mapping Forest Fire Vulnerability in Romania Using Maximum Entropy and eXtreme Gradient Boosting
by Adrian Lorenț, Marius Petrila, Bogdan Apostol, Florin Capalb, Șerban Chivulescu, Cătălin Șamșodan, Cristiana Marcu and Ovidiu Badea
Forests 2025, 16(7), 1156; https://doi.org/10.3390/f16071156 - 13 Jul 2025
Cited by 2 | Viewed by 1994
Abstract
Understanding and mapping forest fire vulnerability is essential for informed landscape management and disaster risk reduction, especially in the context of increasing anthropogenic and climatic pressures. This study aims to model and spatially predict forest fire vulnerability across Romania using two machine learning [...] Read more.
Understanding and mapping forest fire vulnerability is essential for informed landscape management and disaster risk reduction, especially in the context of increasing anthropogenic and climatic pressures. This study aims to model and spatially predict forest fire vulnerability across Romania using two machine learning algorithms: MaxEnt and XGBoost. We integrated forest fire occurrence data from 2006 to 2024 with a suite of climatic, topographic, ecological, and anthropogenic predictors at a 250 m spatial resolution. MaxEnt, based on presence-only data, achieved moderate predictive performance (AUC = 0.758), while XGBoost, trained on presence–absence data, delivered higher classification accuracy (AUC = 0.988). Both models revealed that the impact of environmental variables on forest fire occurrence is complex and heterogeneous, with the most influential predictors being the Fire Weather Index, forest fuel type, elevation, and distance to human proximity features. The resulting vulnerability and uncertainty maps revealed hotspots in Sub-Carpathian and lowland regions, especially in Mehedinți, Gorj, Dolj, and Olt counties. These patterns reflect historical fire data and highlight the role of transitional agro-forested landscapes. This study delivers a replicable, data-driven approach to wildfire risk modelling, supporting proactive management and emphasising the importance of integrating vulnerability assessments into planning and climate adaptation strategies. Full article
(This article belongs to the Section Natural Hazards and Risk Management)
Show Figures

Figure 1

23 pages, 1145 KB  
Article
Predictive Modeling of Climate-Driven Crop Yield Variability Using DSSAT Towards Sustainable Agriculture
by Safa E. El-Mahroug, Ayman A. Suleiman, Mutaz M. Zoubi, Saif Al-Omari, Qusay Y. Abu-Afifeh, Heba F. Al-Jawaldeh, Yazan A. Alta’any, Tariq M. F. Al-Nawaiseh, Nisreen Obeidat, Shahed H. Alsoud, Areen M. Alshoshan, Fayha M. Al-Shibli and Rakad Ta’any
AgriEngineering 2025, 7(5), 156; https://doi.org/10.3390/agriengineering7050156 - 16 May 2025
Cited by 5 | Viewed by 4093
Abstract
Climate change poses a significant threat to agricultural productivity, particularly in regions vulnerable to extreme temperatures and water scarcity, such as Irbid, Jordan. This study assesses the future impacts of projected shifts in precipitation and temperature on wheat yields, using the Decision Support [...] Read more.
Climate change poses a significant threat to agricultural productivity, particularly in regions vulnerable to extreme temperatures and water scarcity, such as Irbid, Jordan. This study assesses the future impacts of projected shifts in precipitation and temperature on wheat yields, using the Decision Support System for Agrotechnology Transfer (DSSAT) model for calibrating and validating under local agro-environmental conditions. Two shared socioeconomic pathways (SSP3-7.0 and SSP5-8.5), representing high-emission and fossil-fuel-intensive futures, were evaluated across mid- and late-century periods (2030–2060 and 2070–2100). The DSSAT model was calibrated using local field data to simulate crop phenology, biomass accumulation, and nitrogen dynamics, showing strong agreement with observed grain yield and harvest index, thereby confirming its reliability for climate impact assessments. Yield projections under each scenario were further analyzed using machine learning algorithms—random forest and gradient boosting regression—to quantify the influence of individual climate variables. The results showed that under SSP5-8.5 (2030–2060), precipitation was the dominant factor influencing yield variability, underscoring the critical role of water availability. In contrast, under SSP3-7.0 (2070–2100), rising maximum temperatures became the primary constraint, highlighting the growing risk of heat stress. Predictive accuracy was higher in precipitation-dominated scenarios (R2 = 0.81) than in temperature-dominated cases (R2 = 0.65–0.73), reflecting greater complexity under extreme warming. These findings emphasize the value of integrating well-calibrated crop models with climate projections and machine learning tools to support climate-resilient agricultural planning. Moreover, practical adaptation strategies, such as adjusting planting dates, using heat-tolerant varieties, and optimizing irrigation, are recommended to enhance resilience. Emerging techniques such as seed priming show promise and merit integration into future crop models. The findings support SDG 2 and SDG 13 by informing climate-resilient food production strategies. Full article
Show Figures

Figure 1

26 pages, 6967 KB  
Article
Effects of Mulch and Fertilization on the Quantity and Quality of Perennial Wall–Rocket (Diplotaxis tenuifolia)
by Cristina Precupeanu, Georgiana Rădeanu, Gabriel-Ciprian Teliban, Mihaela Roșca, José Luis Ordóñez-Díaz, Jose Manuel Moreno-Rojas and Vasile Stoleru
Plants 2025, 14(10), 1421; https://doi.org/10.3390/plants14101421 - 9 May 2025
Cited by 1 | Viewed by 1009
Abstract
Diplotaxis tenuifolia, a species with high nutritional value, was recently introduced in Romania, making in-depth research necessary to develop an efficient cultivation technology to increase agronomic and economic potential. Therefore, the present study aimed to evaluate the influence of three mulch treatments—white [...] Read more.
Diplotaxis tenuifolia, a species with high nutritional value, was recently introduced in Romania, making in-depth research necessary to develop an efficient cultivation technology to increase agronomic and economic potential. Therefore, the present study aimed to evaluate the influence of three mulch treatments—white polyethylene film (WLDPE), black polyethylene film (BLDPE), and nonmulched (NM)—along with three fertilization regimes—organic (OF), chemical (ChF), and nonfertilized (NF)—on the yield and quality of the Bologna cultivar of perennial wall–rocket under the climatic conditions of northeastern Romania. The results showed that mulching with white polyethylene films significantly increased the CO2 assimilation rate, although it did not lead to substantial differences in agro-morphological traits compared to the non-mulched variant. However, plants grown under WLDPE exhibited a significantly higher leaf area index and yield than those under BLDPE mulch. In contrast, BLDPE mulch had a positive effect on dry matter accumulation and β-carotene content. The variations in fertilization regime had no significant impact on most traits analyzed. Significant differences were noted in the CO2 assimilation rate and DPPH antioxidant activity, with organic fertilization increasing CO2 assimilation and decreasing DPPH activity compared to chemical and unfertilized regimes. Furthermore, the interaction between mulching practices and fertilization regimes revealed significant influences on the physiological performance and phytochemical composition of perennial wall–rocket. The highest CO2 assimilation rate and lowest antioxidant activity were recorded in the WLDPE × OF combination, suggesting improved photosynthetic efficiency and a reduced oxidative response resulting from the synergistic effects of reflective mulching and organic fertilization. In contrast, the Bologna cultivar experienced the greatest oxidative stress under the unfertilized regime, with the most pronounced effects observed under no mulching. Full article
(This article belongs to the Special Issue Advances in Planting Techniques and Production of Horticultural Crops)
Show Figures

Figure 1

17 pages, 1737 KB  
Article
Modeling the Process of Crop Yield Management in Hydroagro-Landscape Saline Soils
by Serikbay Umirzakov, Zhumakhan Mustafayev, Laura Tokhetova, Zhanuzak Baimanov, Kairat Akylbayev and Lazzat Koldasova
Sustainability 2025, 17(9), 4214; https://doi.org/10.3390/su17094214 - 7 May 2025
Cited by 1 | Viewed by 783
Abstract
To study the impact of soil salinity type and degree in irrigated lands on the process of crop yield formation, multiparametric and single-parameter mathematical models were used. The methodological basis of the study was the materialist theory of scientific knowledge (analysis and synthesis) [...] Read more.
To study the impact of soil salinity type and degree in irrigated lands on the process of crop yield formation, multiparametric and single-parameter mathematical models were used. The methodological basis of the study was the materialist theory of scientific knowledge (analysis and synthesis) and the laws of ecology, using graph-analytical methods based on artificial intelligence and the applied software product Microsoft Office. To create the database, an empirical method of generalizing research results was used to study the effect of soil salinity type and degree in irrigated lands on the yield of agricultural crops in various natural and climatic zones of Central Asia for the period from 1932 to 2020. Based on plotting graphs of the dependence of the relative yield of agricultural crops on the dimensionless (relative) value of soil salinity type and degree, based on research data, the following results were obtained: first, differential equations describing the studied process were derived; second, within the framework of a very high determination index confirming a strong correlation between the function arguments and yield, a system of exponential, logarithmic, and polynomial equations was obtained using the applied software product Microsoft Office, which enables the management of agricultural crop yields on saline soils; and third, it creates prerequisites for the design of ecologically sustainable agro-landscapes. Full article
(This article belongs to the Section Sustainability in Geographic Science)
Show Figures

Figure 1

19 pages, 1621 KB  
Article
Validation of QTLs for Resistance to Pre-Harvest Sprouting in a Panel of European Wheat Cultivars
by Bruno Rajković, Ana Lovrić, Marko Maričević, Dario Novoselović and Hrvoje Šarčević
Plants 2025, 14(9), 1342; https://doi.org/10.3390/plants14091342 - 29 Apr 2025
Cited by 1 | Viewed by 1132
Abstract
Pre-harvest sprouting (PHS) of wheat poses a major challenge to global food security due to its negative impact on grain yield and quality. In the present study, we conducted the validation of previously published markers or functional markers associated with PHS resistance in [...] Read more.
Pre-harvest sprouting (PHS) of wheat poses a major challenge to global food security due to its negative impact on grain yield and quality. In the present study, we conducted the validation of previously published markers or functional markers associated with PHS resistance in a panel of 200 wheat cultivars adapted to Southeastern European conditions. In field experiments conducted in four environments in Croatia, the germination index (GI) was assessed, and significant genetic, environmental, and genotype–environment interactions were detected. The broad-sense heritability for GI was high (0.86), confirming the predominant role of genetic factors in determining PHS resistance. Twenty-two polymorphic SNP markers were analyzed for their effects on GI, of which nine markers from chromosomes 3A, 3B, 4A, 5A, and 7B showed significant genotypic effects across environments, especially TaMKK3-A and wsnp_Ex_rep_c66324_64493429. In addition, nine marker combinations were identified, which showed significant differences in GI between allele combinations. Overall, this study elucidates the genetic basis of PHS resistance in wheat cultivars adapted to the agro-climatic conditions of Southeast Europe and provides insights for marker-assisted breeding strategies to improve PHS resistance. Full article
(This article belongs to the Section Plant Molecular Biology)
Show Figures

Figure 1

Back to TopTop