Agro-Morphological Traits, Proximate Composition, and Phenotypic Plasticity of Coffea arabica in Contrasting and Very Close Environments in Northern Peru
Abstract
1. Introduction
2. Materials and Methods
2.1. Location of the Study
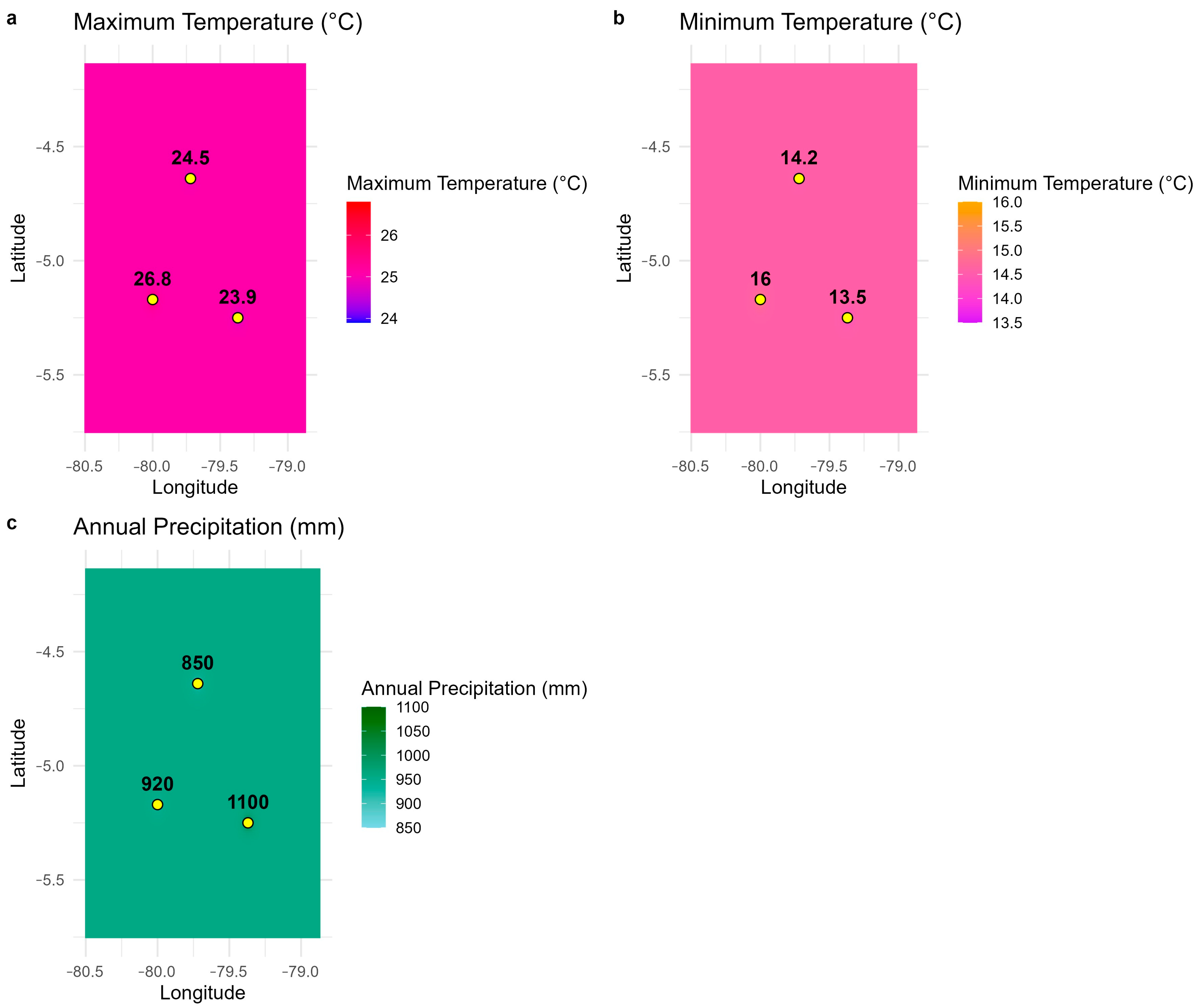
2.2. Geographical Proximity and Distinct Climatic Differences in the Study Areas
2.3. Priori Selection and Location of Sampled Plants for Agro-Morphological, Proximal Variables, and Phenotypic Plasticity
2.4. Proximal Characterization
2.5. Phenotypic Plasticity Index (PIR)
2.6. Statistical Analysis
3. Results
3.1. Agro-Morphological Characteristics in the Coffee Crop
3.2. Proximal Characteristics
3.3. Multiple Correspondence Analysis of Proximate Analysis by Zones
3.4. Proximate Composition Analysis
3.5. Plasticity (PPI) Implications for Coffea Arabica in Piura
4. Discussion
4.1. Morphological Variables
4.2. Proximate Composition in Coffee Beans
4.3. Plasticity
4.4. Limitations and Future Perspectives
5. Conclusions
Author Contributions
Funding
Data Availability Statement
Acknowledgments
Conflicts of Interest
References
- Mekbib, Y.; Tesfaye, K.; Dong, X.; Saina, J.K.; Hu, G.W.; Wang, Q.F. Whole-Genome Resequencing of Coffea arabica L. (Rubiaceae) Genotypes Identify SNP and Unravels Distinct Groups Showing a Strong Geographical Pattern. BMC Plant Biol. 2022, 22, 69. [Google Scholar] [CrossRef]
- Musoli, P.; Cubry, P.; Aluka, P.; Billot, C.; Dufour, M.; De Bellis, F.; Pot, D.; Bieysse, D.; Charrier, A.; Leroy, T. Genetic Differentiation of Wild and Cultivated Populations: Diversity of Coffea Canephora Pierre in Uganda. Genome 2009, 52, 634–646. [Google Scholar] [CrossRef]
- Cámara de Café y Cacao Café Peruano—Estadísticas. Available online: https://camcafeperu.com.pe/ES/cafe-peruano-estadisticas.php (accessed on 29 November 2024).
- SENASA Café Peruano Llegó a 52 Mercados. Available online: https://www.gob.pe/institucion/senasa/noticias/1008487-midagri-cafe-peruano-llego-a-52-mercados-internacionales-en-el-2024 (accessed on 4 December 2024).
- INEI. Tres Departamentos Aportaron El 60,6% de La Producción de Café; INEI: Lima, Peru, 2024. [Google Scholar]
- Ramırez-Camejo, L.A.; Eamvijarn, A.; Dıaz-Valderrama, J.R.; Karlsen-Ayala, E.; Koch, R.A.; Johnson, E.; Pruvot-Woehl, S.; Mejıa, L.C.; Montagnon, C.; Maldonado-Fuentes, C.; et al. Global Analysis of Hemileia Vastatrix Populations Shows Clonal Reproduction for the Coffee Leaf Rust Pathogen Throughout Most of Its Range. Phytopathology 2022, 112, 643–652. [Google Scholar] [CrossRef]
- Morales, L.V.; Robiglio, V.; Baca, M.; Bunn, C.; Reyes, M. Planning for Adaptation: A System Approach to Understand the Value Chain’s Role in Supporting Smallholder Coffee Farmers’ Adaptive Capacity in Peru. Front. Clim. 2022, 4, 788369. [Google Scholar] [CrossRef]
- Guadalupe, G.A.; Grandez-Yoplac, D.E.; García, L.; Doménech, E. A Comprehensive Bibliometric Study in the Context of Chemical Hazards in Coffee. Toxics 2024, 12, 526. [Google Scholar] [CrossRef]
- Dulloo, M.E.; Guarino, L.; Engelmann, F.; Maxted, N.; Newbury, J.H.; Attere, F.; Ford-Lloyd, B.V. Complementary Conservation Strategies for the Genus Coffea: A Case Study of Mascarene Coffea Species. Genet. Resour. Crop Evol. 1998, 45, 565–579. [Google Scholar] [CrossRef]
- Wigoberto Alvarado, C.; Bobadilla, L.G.; Valqui, L.; Valqui, G.S.; Valqui-Valqui, L.; Vigo, C.N.; Vásquez, H.V. Characterization of Coffea arabica L. Parent Plants and Physicochemical Properties of Associated Soils, Peru. Heliyon 2022, 8, e10895. [Google Scholar] [CrossRef]
- Rodrigues, W.N.; Brinate, S.V.B.; Martins, L.D.; Colodetti, T.V.; Tomaz, M.A. Genetic Variability and Expression of Agro-Morphological Traits among Genotypes of Coffea arabica Being Promoted by Supplementary Irrigation. Genet. Mol. Res. 2017, 16, 1–12. [Google Scholar] [CrossRef] [PubMed]
- Miranda, F.; Coronel-Chugden, J.W.; Veneros, J.; García, L.; Guadalupe, G.A.; Arellanos, E. Species Diversity of the Family Arecaceae: What Are the Implications of Their Biogeographical Representation? An Analysis in Amazonas, Northeastern Peru. Forests 2025, 16, 76. [Google Scholar] [CrossRef]
- Bonny, B.S.; Adjoumani, K.; Seka, D.; Koffi, K.G.; Kouonon, L.C.; Koffi, K.K.; Zoro Bi, I.A. Agromorphological Divergence among Four Agro-Ecological Populations of Bambara Groundnut (Vigna subterranea (L.) Verdc.) in Côte d’Ivoire. Ann. Agric. Sci. 2019, 64, 103–111. [Google Scholar] [CrossRef]
- Bradshaw, A.D. Evolutionary Significance of Phenotypic Plasticity in Plants. Adv. Genet. 1965, 13, 115–155. [Google Scholar]
- Burton, T.; Ratikainen, I.I.; Einum, S. Environmental Change and the Rate of Phenotypic Plasticity. Glob. Change Biol. 2022, 28, 5337–5345. [Google Scholar] [CrossRef]
- Veneros, J.E.; García, L. Application of the Standardized Vegetation Index (SVI) and Google Earth Engine (GEE) for Drought Management in Peru. Trop. Subtrop. Agroecosyst. 2022, 25, 1–13. [Google Scholar] [CrossRef]
- Cope, J.S.; Corney, D.; Clark, J.Y.; Remagnino, P.; Wilkin, P. Plant Species Identification Using Digital Morphometrics: A Review. Expert Syst. Appl. 2012, 39, 7562–7573. [Google Scholar] [CrossRef]
- Lande, R. Adaptation to an Extraordinary Environment by Evolution of Phenotypic Plasticity and Genetic Assimilation. J. Evol. Biol. 2009, 22, 1435–1446. [Google Scholar] [CrossRef]
- López, N. Caracterización Regional Piura. 2020. SINEACE. Available online: https://hdl.handle.net/20.500.12982/6221 (accessed on 27 September 2025).
- DRP Dirección Regional de La Producción de Piura. Resolución Directoral Regional N.° 727-2022-DRP; DRP Dirección Regional de La Producción de Piura: Piura, Peru, 2022. [Google Scholar]
- SENAMHI. Climas del Perú: Mapa de Clasificación Climática Nacional; SENAMHI: Lima, Peru, 2021. [Google Scholar]
- Yirga, M. Phenotypic Characterization of Coffee (Coffea arabica) Germplasm, in Ethiopia. Am. J. Biosci. 2021, 9, 34. [Google Scholar] [CrossRef]
- Arellanos, E.; López, G.M.; Guadalupe, G.; García, L. Balancing Tree and Crop Biodiversity and Yield in Coffee Plantations of the Peruvian Amazon: The Role of Shade and Certification as Indicators of Sustainable Management. Environ. Chall. 2025, 20, 101223. [Google Scholar] [CrossRef]
- Association of Official Analytical Chemists. Official Methods of Analysis, 14th ed.; AOAC: Rockville, MD, USA, 1984. [Google Scholar]
- Bradstreet, R.B. Kjeldahl Method for Organic Nitrogen. Anal. Chem. 1954, 26, 185–187. [Google Scholar] [CrossRef]
- Ambavaram, M.M.R.; Krishnan, A.; Trijatmiko, K.R.; Pereira, A. Coordinated Activation of Cellulose and Repression of Lignin Biosynthesis Pathways in Rice. Plant Physiol. 2011, 155, 916–931. [Google Scholar] [CrossRef]
- Admassu, A.; Tura, B.; Deresa Kebebe, T.K.; Kasim, R. Physicochemical and Antioxidant Properties of Coffea arabica Honey from Western Oromia, Ethiopia. Int. J. Agric. Sci. Food Technol. 2022, 8, 159–165. [Google Scholar] [CrossRef]
- Muchtaridi, M.; Rubiyanti, R.; Moektiwardoyo, M.; Musfiroh, I.; Rubiyanti, R.; Nuruljanah, H.; Laila, A.M.N.; Asih, N.R.; Nurhasanah, A. Determination of Parameters Standardization Crude Drug and Extract Arabica Coffee Beans (Coffea arabica L.). Int. J. Sci. Technol. Res. 2017, 6, 61–70. [Google Scholar]
- Wayne, C. Ellefson Food Science Text Series Food Analysis. In Food Analysis; Springer: Berlin/Heidelberg, Germany, 2017; pp. 299–314. [Google Scholar]
- Rawdkuen, S.; Murdayanti, D.; Ketnawa, S.; Phongthai, S. Chemical Properties and Nutritional Factors of Pressed-Cake from Tea and Sacha Inchi Seeds. Food Biosci. 2016, 15, 64–71. [Google Scholar] [CrossRef]
- Valladares, F.; Sanchez-Gomez, D.; Zavala, M.A. Quantitative Estimation of Phenotypic Plasticity: Bridging the Gap between the Evolutionary Concept and Its Ecological Applications. J. Ecol. 2006, 94, 1103–1116. [Google Scholar] [CrossRef]
- Valladares, F.; Wright, S.J.; Lasso, E.; Kitajima, K.; Pearcy, R.W. Plastic Phenotypic Response to Light of 16 Congeneric Shrubs from a Panamanian Rainforest. Ecology 2000, 81, 1925–1936. [Google Scholar] [CrossRef]
- Conover, D.O.; Duffy, T.A.; Hice, L.A. The Covariance between Genetic and Environmental Influences across Ecological Gradients: Reassessing the Evolutionary Significance of Countergradient and Cogradient Variation. Ann. N. Y. Acad. Sci. 2009, 1168, 100–129. [Google Scholar] [CrossRef]
- Cavalcante, M.C.; Oliveira, F.F.; Maués, M.M.; Freitas, B.M. Pollination Requirements and the Foraging Behavior of Potential Pollinators of Cultivated Brazil Nut (Bertholletia excelsa Bonpl.) Trees in Central Amazon Rainforest. Psyche 2012, 2012, 978019. [Google Scholar] [CrossRef]
- Matos, F.S.; Wolfgramm, R.; Gonçalves, F.V.; Cavatte, P.C.; Ventrella, M.C.; DaMatta, F.M. Phenotypic Plasticity in Response to Light in the Coffee Tree. Environ. Exp. Bot. 2009, 67, 421–427. [Google Scholar] [CrossRef]
- Gichimu, B.M.; Omondi, C. Gichimu_Early Perfomance of five newly developed lines of Arabica Coffe under varying environment and spacing in Kenya. Agric. Biol. J. N. Am. 2010, 1, 32–39. Available online: https://scihub.org/ABJNA/PDF/2010/1/32-39.pdf (accessed on 27 September 2025).
- Alberto, N.J.; Ferreira, A.; Ribeiro-Barros, A.I.; Aoyama, E.M.; Silva, L.O.E.; Rakocevic, M.; Ramalho, J.C.; Partelli, F.L. Plant Morphological and Leaf Anatomical Traits in Coffea arabica L. Cultivars Cropped in Gorongosa Mountain, Mozambique. Horticulturae 2024, 10, 1002. [Google Scholar] [CrossRef]
- Vionita, S.; Kardhinata, E.H.; Damanik, R.I. Morphology Identification and Description of Coffee Plants (Coffea sp) in Karo District. IOP Conf. Ser. Earth Environ. Sci. 2021, 782, 042051. [Google Scholar] [CrossRef]
- Oliveira, L.S.; Franca, A.S.; Mendonça, J.C.F.; Barros-Júnior, M.C. Proximate Composition and Fatty Acids Profile of Green and Roasted Defective Coffee Beans. LWT 2006, 39, 235–239. [Google Scholar] [CrossRef]
- Gichimu, B.M.; Omondi, C.O. Morphological Characterization of Five Newly Developed Lines of Arabica Coffee as Compared to Commercial Cultivars in Kenya. Int. J. Plant Breed. Genet. 2010, 4, 238–246. [Google Scholar] [CrossRef]
- Kanitnuntakul, N.; Meeasa, P.; Borompichaichartkul, C. Antioxidant Properties and Proximate Analysis of Green Coffee Beans from Different Plantations and Processing Methods in Thailand. Acta Hortic. 2017, 1179, 255–260. [Google Scholar] [CrossRef]
- Bijla, L.; Ibourki, M.; Bouzid, H.A.; Sakar, E.H.; Aissa, R.; Laknifli, A.; Gharby, S. Proximate Composition, Antioxidant Activity, Mineral and Lipid Profiling of Spent Coffee Grounds Collected in Morocco Reveal a Great Potential of Valorization. Waste Biomass Valorization 2022, 13, 4495–4510. [Google Scholar] [CrossRef]
- dos Santos, C.S.; de Freitas, A.F.; da Silva, G.H.B.; Pennacchi, J.P.; Figueiredo de Carvalho, M.A.; Santos, M.d.O.; Junqueira de Moraes, T.S.; de Rezende Abrahão, J.C.; Pereira, A.A.; Carvalho, G.R.; et al. Phenotypic Plasticity Index as a Strategy for Selecting Water-Stress-Adapted Coffee Genotypes. Plants 2023, 12, 4029. [Google Scholar] [CrossRef] [PubMed]
- Coelho, L.S.; Tassone, G.A.T.; Carvalho, G.R.; Silva, V.A.; Viana, M.T.R.; Pereira, F.A.C.; Nadaleti, D.H.S.; de Oliveira Silveira, H.R.; Botelho, C.E. Morphological, Physiological, and Agronomic Traits of Crossings of “Icatu” x “Catimor” Coffee Tree Subjected to Water Deficit. Pesqui. Agropecu. Bras. 2022, 57, e02788. [Google Scholar] [CrossRef]
- Mengesha, D.; Retta, N.; Woldemariam, H.W.; Getachew, P. Changes in Biochemical Composition of Ethiopian Coffee Arabica with Growing Region and Traditional Roasting. Front. Nutr. 2024, 11, 1390515. [Google Scholar] [CrossRef]
- Galimberti, A.; De Mattia, F.; Bruni, I.; Scaccabarozzi, D.; Sandionigi, A.; Barbuto, M.; Casiraghi, M.; Labra, M. A DNA Barcoding Approach to Characterize Pollen Collected by Honeybees. PLoS ONE 2014, 9, e109363. [Google Scholar] [CrossRef]
- Waldvogel, A.M.; Feldmeyer, B.; Rolshausen, G.; Exposito-Alonso, M.; Rellstab, C.; Kofler, R.; Mock, T.; Schmid, K.; Schmitt, I.; Bataillon, T.; et al. Evolutionary Genomics Can Improve Prediction of Species’ Responses to Climate Change. Evol. Lett. 2020, 4, 4–18. [Google Scholar] [CrossRef]
- Gratani, L. Plant Phenotypic Plasticity in Response to Environmental Factors. Adv. Bot. 2014, 2014, 208747. [Google Scholar] [CrossRef]
- Morales Rojas, E.; Díaz Ortiz, E.A.; Medina Tafur, C.A.; García, L.; Oliva, M.; Rojas Briceño, N.B. A Rainwater Harvesting and Treatment System for Domestic Use and Human Consumption in Native Communities in Amazonas (NW Peru): Technical and Economic Validation. Scientifica 2021, 2021, 4136379. [Google Scholar] [CrossRef] [PubMed]
- García, L.; Veneros, J.; Oliva-Cruz, M.; Olivares, N.; Chavez, S.G.; Rojas-Briceño, N.B. Construction of Linear Models for the Normalized Vegetation Index (NDVI) for Coffee Crops in Peru Based on Historical Atmospheric Variables from the Climate Engine Platform. Atmosphere 2024, 15, 923. [Google Scholar] [CrossRef]












| Growth habit | 1*: Open; 2*: Intermediate; 3*: Compact |
| Stem habit | 1*: Stiff; 2*: Flexible |
| Branching habit | 2*: Many primaries with few secondary branches, 1*: Many primaries with many secondary branches. |
| Angle of insertion on the main stem | 1*: Semi–Erect |
| Young leaf tip color | 1*: Greenish, 2*: Green, 3*: Brownish, 4*: Reddish brown |
| Leaf shape | 2*: Ovate, 1*: Elliptic, 3*: Lanceolate |
| Leaf apex shape | 1*: Round, 2*: Obtuse, 3*: Acute, 4*: Acuminate |
| Stipule shape | 1*: Round, 2*: Ovate, 3*: Triangular, 4*: Deltoid |
| Fruit shape | 1*: Round, 2*: Elliptic, 3*: Oblong |
| Fruit color | 2*: Light red, 1*: Red, 3*: Dark red |
| Calyx-limb persistence | 0*: No Persistent; 2*: Persistent; 3: Undefined |
| Fruit ribs | 1*: Absent |
| Moisture (%) | Crude Protein (%) | Crude Fiber (%) | Ash (%) | Crude Fat (%) | Total Carbohydrate (%) | |||||||
|---|---|---|---|---|---|---|---|---|---|---|---|---|
| Ayabaca | 4.33 ± 0.08 | b | 13.09 ± 0.28 | b | 22.34 ± 1.67 | a | 4.14 ± 0.02 | b | 7.52 ± 0.47 | b | 48.26 ± 1.77 | a |
| Huancabamba | 4.31 ± 0.06 | b | 14.43 ± 0.36 | a | 18.63 ± 5.40 | a | 4.35 ± 0.14 | a | 8.19 ± 0.24 | a | 48.18 ± 1.21 | a |
| Morropon | 5.43 ± 0.70 | a | 13.31 ± 0.22 | b | 21.73 ± 0.14 | a | 4.10 ± 0.07 | b | 8.60 ± 0.14 | a | 46.44 ± 0.81 | a |
Disclaimer/Publisher’s Note: The statements, opinions and data contained in all publications are solely those of the individual author(s) and contributor(s) and not of MDPI and/or the editor(s). MDPI and/or the editor(s) disclaim responsibility for any injury to people or property resulting from any ideas, methods, instructions or products referred to in the content. |
© 2025 by the authors. Licensee MDPI, Basel, Switzerland. This article is an open access article distributed under the terms and conditions of the Creative Commons Attribution (CC BY) license (https://creativecommons.org/licenses/by/4.0/).
Share and Cite
García, L.; Veneros, J.; Bolaños-Carriel, C.; Guadalupe, G.A.; Garcia, H.; Mori-Zabarburú, R.C.; Chavez, S.G. Agro-Morphological Traits, Proximate Composition, and Phenotypic Plasticity of Coffea arabica in Contrasting and Very Close Environments in Northern Peru. Agronomy 2025, 15, 2465. https://doi.org/10.3390/agronomy15112465
García L, Veneros J, Bolaños-Carriel C, Guadalupe GA, Garcia H, Mori-Zabarburú RC, Chavez SG. Agro-Morphological Traits, Proximate Composition, and Phenotypic Plasticity of Coffea arabica in Contrasting and Very Close Environments in Northern Peru. Agronomy. 2025; 15(11):2465. https://doi.org/10.3390/agronomy15112465
Chicago/Turabian StyleGarcía, Ligia, Jaris Veneros, Carlos Bolaños-Carriel, Grobert A. Guadalupe, Heyton Garcia, Roberto Carlos Mori-Zabarburú, and Segundo G. Chavez. 2025. "Agro-Morphological Traits, Proximate Composition, and Phenotypic Plasticity of Coffea arabica in Contrasting and Very Close Environments in Northern Peru" Agronomy 15, no. 11: 2465. https://doi.org/10.3390/agronomy15112465
APA StyleGarcía, L., Veneros, J., Bolaños-Carriel, C., Guadalupe, G. A., Garcia, H., Mori-Zabarburú, R. C., & Chavez, S. G. (2025). Agro-Morphological Traits, Proximate Composition, and Phenotypic Plasticity of Coffea arabica in Contrasting and Very Close Environments in Northern Peru. Agronomy, 15(11), 2465. https://doi.org/10.3390/agronomy15112465

