Sign in to use this feature.

Years

Between: -

Subjects

remove_circle_outline
remove_circle_outline
remove_circle_outline
remove_circle_outline
remove_circle_outline
remove_circle_outline

Journals

Article Types

Countries / Regions

Search Results (21)

Search Parameters:
Keywords = Rayleigh friction

Order results
Result details
Results per page
Select all
Export citation of selected articles as:
14 pages, 3454 KB  
Article
Study on Non-Contact Defect Detection Using the Laser Ultrasonic Method for Friction Stir-Welded Cu–Al Dissimilar Material Joints
by Kazufumi Nomura, Shogo Ishifuro and Satoru Asai
Appl. Sci. 2026, 16(2), 688; https://doi.org/10.3390/app16020688 - 9 Jan 2026
Viewed by 295
Abstract
Ensuring friction stir welding (FSW) joint quality typically relies on ultrasonic testing (UT) and radiographic testing (RT), but achieving complete coverage is challenging, and echo-based defect discrimination becomes difficult in dissimilar joints. Laser ultrasonics is a promising non-contact technique that remotely assesses weld [...] Read more.
Ensuring friction stir welding (FSW) joint quality typically relies on ultrasonic testing (UT) and radiographic testing (RT), but achieving complete coverage is challenging, and echo-based defect discrimination becomes difficult in dissimilar joints. Laser ultrasonics is a promising non-contact technique that remotely assesses weld quality and provides high spatial resolution at the generation and detection points. This study establishes a laser-ultrasonic method for defect detection in dissimilar Cu–Al FSW joints. Slit-like artificial defects (0.1–2.5 mm deep in 5 mm thick plates) were introduced at the Al-side interface of specimens fabricated with an Al-offset tool. Experiments and numerical simulations were used to evaluate wave modes and irradiation configurations, focusing on intensity-attenuation ratios of specific wave types, including longitudinal and Rayleigh waves. On the non-slit surface, attenuation of reflected longitudinal waves enabled detection of defects ≥0.5 mm deep. On the slit surface, Rayleigh-wave attenuation allowed identification of defects as shallow as 0.1 mm, although slit-side irradiation may be less practical during joining. These results demonstrate that defect identification in dissimilar materials can be achieved by evaluating wave-intensity attenuation rather than relying solely on the presence of reflected echoes, suggesting potential for implementing laser ultrasonics in in-process monitoring of FSW joints. Full article
(This article belongs to the Special Issue Industrial Applications of Laser Ultrasonics)
Show Figures

Figure 1

21 pages, 20900 KB  
Article
Balancing Accuracy and Efficiency in Wire-Rope Isolator Modeling: A Simplified Beam-Element Framework
by Claudia Marin-Artieda
Vibration 2025, 8(3), 55; https://doi.org/10.3390/vibration8030055 - 22 Sep 2025
Viewed by 990
Abstract
Wire-rope isolators (WRIs) are widely used in vibration and seismic protection due to their multidirectional flexibility and amplitude-dependent hysteretic damping. However, their complex nonlinear behavior, especially under inclined and combined-mode loading, poses challenges for predictive modeling. This study presents a simplified finite-element modeling [...] Read more.
Wire-rope isolators (WRIs) are widely used in vibration and seismic protection due to their multidirectional flexibility and amplitude-dependent hysteretic damping. However, their complex nonlinear behavior, especially under inclined and combined-mode loading, poses challenges for predictive modeling. This study presents a simplified finite-element modeling framework using constant-property Timoshenko beam elements with tuned Rayleigh damping to simulate WRI behavior across various configurations. Benchmark validation against analytical ring deformation confirmed the model’s ability to capture geometric nonlinearities. The framework was extended to five WRI types, with effective cross-sectional properties calibrated against vendor-supplied quasi-static data. Dynamic simulations under sinusoidal excitation demonstrated strong agreement with experimental force-displacement loops in pure modes and showed moderate accuracy (within 29%) in inclined configurations. System-level validation using a rocking-control platform with four inclined WRIs showed that the model reliably predicts global stiffness and energy dissipation under base accelerations. While the model does not capture localized nonlinearities such as pinched hysteresis due to interstrand friction, it offers a computationally efficient tool for engineering design. The proposed method enables rapid evaluation of WRI performance in complex scenarios, supporting broader integration into performance-based seismic mitigation strategies. Full article
(This article belongs to the Special Issue Nonlinear Vibration of Mechanical Systems)
Show Figures

Figure 1

26 pages, 3748 KB  
Review
Mechanical Properties of Medical Microbubbles and Echogenic Liposomes—A Review
by Hussain Alsadiq and Zahra Alhay
Micromachines 2025, 16(5), 588; https://doi.org/10.3390/mi16050588 - 17 May 2025
Cited by 1 | Viewed by 1727
Abstract
Lipid-shelled microbubbles (MBs) and echogenic liposomes (ELIPs) have been proposed as acoustofluidic theranostic agents after having been proven to be efficient in diagnostics as ultrasonic contrast agents. Their mechanical properties—such as shell stiffness, friction, and resonance frequency—are critical to their performance, stability, oscillatory [...] Read more.
Lipid-shelled microbubbles (MBs) and echogenic liposomes (ELIPs) have been proposed as acoustofluidic theranostic agents after having been proven to be efficient in diagnostics as ultrasonic contrast agents. Their mechanical properties—such as shell stiffness, friction, and resonance frequency—are critical to their performance, stability, oscillatory dynamics, and response to sonication. A precise characterization of these properties is essential for optimizing their biomedical applications, however the current methods vary significantly in their sensitivity and accuracy. This review examines the experimental and theoretical methodologies used to quantify the mechanical properties of MBs and ELIPs, discusses how each approach estimates shell stiffness and friction, and outlines the strengths and limitations inherent to each technique. Additionally, the effects of parameters such as temperature and lipid composition on MB and ELIP mechanical behavior are examined. Four characterization methods are analyzed, including frequency-dependent attenuation, optical observation, atomic force microscopy (AFM), and laser scattering, their advantages and limitations are critically assessed. Additionally, the factors that influence the mechanical properties of the MBs and ELIPs, such as temperature and lipid composition, are examined. Frequency-dependent attenuation was shown to provide reliable shell elasticity estimates but is influenced by nonlinear oscillations, AFM confirms that microbubble stiffness is size-dependent with smaller bubbles exhibiting higher shell stiffness, and theoretical models such as modified Rayleigh–Plesset equations increasingly incorporate viscoelastic shell properties to improve prediction accuracy. However, many of these models still assume radial symmetry and neglect inter-bubble interactions, which can lead to inaccurate elasticity values when applied to dense suspensions. In such cases, using modified frameworks like the Sarkar model, which incorporates damping and surface tension explicitly, may provide more reliable estimates under nonlinear conditions. Additionally, lipid composition and temperature significantly affect shell mechanics, with higher temperatures generally reducing stiffness. On the other hand, inconsistencies in experimental protocols hinder direct comparison across studies, highlighting the need for standardized characterization methods and improved computational modeling. Full article
(This article belongs to the Section B:Biology and Biomedicine)
Show Figures

Figure 1

26 pages, 2343 KB  
Article
Analysis of a Dry Friction Force Law for the Covariant Optimal Control of Mechanical Systems with Revolute Joints
by Juan Antonio Rojas-Quintero, François Dubois, Hedy César Ramírez-de-Ávila, Eusebio Bugarin, Bruno Sánchez-García and Nohe R. Cazarez-Castro
Mathematics 2024, 12(20), 3239; https://doi.org/10.3390/math12203239 - 16 Oct 2024
Cited by 2 | Viewed by 1844
Abstract
This contribution shows a geometric optimal control procedure to solve the trajectory generation problem for the navigation (generic motion) of mechanical systems with revolute joints. The mechanical system is analyzed as a nonlinear Lagrangian system affected by dry friction at the joint level. [...] Read more.
This contribution shows a geometric optimal control procedure to solve the trajectory generation problem for the navigation (generic motion) of mechanical systems with revolute joints. The mechanical system is analyzed as a nonlinear Lagrangian system affected by dry friction at the joint level. Rayleigh’s dissipation function is used to model this dissipative effect of joint-level friction, and regarded as a potential. Rayleigh’s potential is an invariant scalar quantity from which friction forces derive and are represented by a smooth model that approaches the traditional Coulomb’s law in our proposal. For the optimal control procedure, an invariant cost function is formed with the motion equations and a Riemannian metric. The goal is to minimize the consumed energy per unit time of the system. Covariant control equations are obtained by applying Pontryagin’s principle, and time-integrated using a Finite Elements Method-based solver. The obtained solution is an optimal trajectory that is then applied to a mechanical system using a proportional–derivative plus feedforward controller to guarantee the trajectory tracking control problem. Simulations and experiments confirm that including joint-level friction forces at the modeling stage of the optimal control procedure increases performance, compared with scenarios where the friction is not taken into account, or when friction compensation is performed at the feedback level during motion control. Full article
(This article belongs to the Special Issue New Advances in Fuzzy Logic and Fuzzy Systems)
Show Figures

Figure 1

25 pages, 9517 KB  
Article
Stability Analysis of the Secondary Motion of a Textured Piston
by Igal Cohen, Shachar Tresser and Roman Goltsberg
Lubricants 2024, 12(8), 274; https://doi.org/10.3390/lubricants12080274 - 31 Jul 2024
Cited by 1 | Viewed by 1644
Abstract
Piston–cylinder pairs are very common in industrial mechanisms. While a piston is primarily designed for axial reciprocating motion, the occurrence of secondary motions—lateral and rotational—due to the small clearance between the piston and the cylinder may lead to frictional contact, energy loss, wear [...] Read more.
Piston–cylinder pairs are very common in industrial mechanisms. While a piston is primarily designed for axial reciprocating motion, the occurrence of secondary motions—lateral and rotational—due to the small clearance between the piston and the cylinder may lead to frictional contact, energy loss, wear and an increase in unwanted leakage. This study focuses on mitigating the secondary motion of a ringless piston. The influence of a Rayleigh step bearing and partial surface texturing with numerous micro-dimples on the dynamic stability of the secondary motion is studied. A linear model was used to obtain the trajectory of the secondary motion and Floquet theory was applied to analyze the stability and draw stability maps. The influence of various texturing and step parameters, including the dimple area density and aspect ratio for partial texturing, as well as the length and depth of treatment for both partial texturing and step profiles, on the stability of the secondary motion was examined. The normalization method is presented, enabling the expansion of the results for various operating conditions and geometries. Conclusions and guidelines regarding the optimal parameters, in terms of a wider stability range and higher decay rate, are formulated. Full article
(This article belongs to the Special Issue Tribology of Textured Surfaces)
Show Figures

Figure 1

23 pages, 18503 KB  
Article
Analysis of Thermal Mixing and Entropy Generation during Natural Convection Flows in Arbitrary Eccentric Annulus
by Satyvir Singh, Bidesh Sengupta and Seetu Rana
Axioms 2024, 13(4), 233; https://doi.org/10.3390/axioms13040233 - 1 Apr 2024
Cited by 1 | Viewed by 1672
Abstract
The present study presents a computational investigation into the thermal mixing along with entropy generation throughout the natural convection flow within an arbitrarily eccentric annulus. Salt water is filled inside the eccentric annulus, in which the outer and inner cylinders have Tc [...] Read more.
The present study presents a computational investigation into the thermal mixing along with entropy generation throughout the natural convection flow within an arbitrarily eccentric annulus. Salt water is filled inside the eccentric annulus, in which the outer and inner cylinders have Tc and Th constant temperatures. The Boussinesq approximation is used to develop the governing equations for the natural convection flow, which are then solved on a structured quadrilateral mesh using the OpenFOAM software package (FOAM-Extend 4.0). The computational simulations are performed for Rayleigh numbers (Ra=103105), eccentricity (ϵ=0,0.4,0.8), angular positions (φ=0,45,90), and Prandtl number (Pr=10, salt water). The computational results are visualized in terms of streamlines, isotherms, and entropy generation caused by fluid friction and heat transfer. Additionally, a thorough examination of the variations in the average and local Nusselt numbers, circulation intensity with eccentricities, and angular positions is provided. The optimal state of heat transfer is shown to be influenced by the eccentricity, angular positions, uniform temperature sources, and Boussinesq state. Moreover, the rate of thermal mixing and the production of total entropy increase as Ra increases. It is found that, compared to a concentric annulus, an eccentric annulus has a higher rate of thermal mixing and entropy generation. The findings show which configurations and types of eccentric annulus are ideal and could be used in any thermal processing activity where a salt fluid (Pr=10) is involved. Full article
Show Figures

Figure 1

12 pages, 289 KB  
Article
A Coordinate-Free Variational Approach to Fourth-Order Dynamical Systems on Manifolds: A System and Control Theoretic Viewpoint
by Simone Fiori
Mathematics 2024, 12(3), 428; https://doi.org/10.3390/math12030428 - 29 Jan 2024
Cited by 2 | Viewed by 1589
Abstract
The present paper describes, in a theoretical fashion, a variational approach to formulate fourth-order dynamical systems on differentiable manifolds on the basis of the Hamilton–d’Alembert principle of analytic mechanics. The discussed approach relies on the introduction of a Lagrangian function that depends on [...] Read more.
The present paper describes, in a theoretical fashion, a variational approach to formulate fourth-order dynamical systems on differentiable manifolds on the basis of the Hamilton–d’Alembert principle of analytic mechanics. The discussed approach relies on the introduction of a Lagrangian function that depends on the kinetic energy and the covariant acceleration energy, as well as a potential energy function that accounts for conservative forces. In addition, the present paper introduces the notion of Rayleigh differential form to account for non-conservative forces. The corresponding fourth-order equation of motion is derived, and an interpretation of the obtained terms is provided from a system and control theoretic viewpoint. A specific form of the Rayleigh differential form is introduced, which yields non-conservative forcing terms assimilable to linear friction and jerk-type friction. The general theoretical discussion is complemented by a brief excursus about the numerical simulation of the introduced differential model. Full article
(This article belongs to the Special Issue Variational Methods on Riemannian Manifolds: Theory and Applications)
20 pages, 10043 KB  
Article
Calibration of Model Parameters for Soda Saline Soil-Subsoiling Component Interaction Based on DEM
by Min Liu, Jingli Wang, Weizhi Feng, Haiyang Jing, Yang Wang, Yingjie Guo and Tianyue Xu
Appl. Sci. 2023, 13(20), 11596; https://doi.org/10.3390/app132011596 - 23 Oct 2023
Cited by 7 | Viewed by 1735
Abstract
To apply the discrete element method (DEM) to simulate the interaction process between soda saline–alkali soil and subsoiling component in Northeast China, establishing the soda saline–alkali soil particle model and selecting more accurate simulation parameters are important. In this paper, we studied the [...] Read more.
To apply the discrete element method (DEM) to simulate the interaction process between soda saline–alkali soil and subsoiling component in Northeast China, establishing the soda saline–alkali soil particle model and selecting more accurate simulation parameters are important. In this paper, we studied the soda saline–alkali soil of the Songnen Plain in China. First, we studied the geometric shape of soda saline–alkali soil particles and proposed a modeling method for single soil particles based on the multisphere combination method. Considering the cohesion of soda saline–alkali soil particles, the Hertz–Mindlin with JKR (JKR) model was used as the contact model between soil particles. Then, the calibration method was used to obtain simulation parameters of soils that are difficult to obtain experimentally. We conducted soil angle of repose (AoR) tests, the Plackett–Burman (PB) tests, and steepest ascent (SA) tests in turn to perform a sensitivity analysis for microscopic contact parameters and select the parameters that have a significant effect on the response value (static AoR), i.e., soil surface energy, soil–soil static friction coefficient, and soil–soil rolling friction coefficient. Then, the optimal combination of simulation parameters was obtained via the Box–Behnken (BB) tests, using ANOVA to optimize the multiple regression equation. Finally, the optimal parameter combination was verified by the AoR test and the direct shear (DS) test. The results showed that the parameters had good adaptability for the AoR test. However, the simulation results of the DS test were significantly different from the experimental values. Therefore, the contact model needs to be further modified by adding Bonding bonds between soil particles based on the JKR model and further correcting for Rayleigh time step, shear modulus, and surface energy. By comparing the simulation and the experimental results, it was found that the simulation results obtained from both the DS test and AoR test had relatively small errors relative to physical tests, the two trends are the same, and the values are similar. This verified the feasibility and effectiveness of the soda saline–alkali soil particle modeling method and parameter selection proposed in this paper. Full article
Show Figures

Figure 1

13 pages, 4938 KB  
Communication
MHD Hybrid Nanofluid Flow over a Stretching/Shrinking Sheet with Skin Friction: Effects of Radiation and Mass Transpiration
by Angadi Basettappa Vishalakshi, Rudraiah Mahesh, Ulavathi Shettar Mahabaleshwar, Alaka Krishna Rao, Laura M. Pérez and David Laroze
Magnetochemistry 2023, 9(5), 118; https://doi.org/10.3390/magnetochemistry9050118 - 27 Apr 2023
Cited by 33 | Viewed by 4452
Abstract
The study of inclined magnetohydrodynamics (MHD) mixed convective incompressible flow of a fluid with hybrid nanoparticles containing a colloidal combination of nanofluids and base fluid is presented in the current research. Al2O3-Cu/H2O hybrid nanofluid [...] Read more.
The study of inclined magnetohydrodynamics (MHD) mixed convective incompressible flow of a fluid with hybrid nanoparticles containing a colloidal combination of nanofluids and base fluid is presented in the current research. Al2O3-Cu/H2O hybrid nanofluid is utilized in the current analysis to enhance the heat transfer analysis. The impact of radiation is also placed at energy equation. The main research methodology includes that the problem provided equations are first transformed into non-dimensional form, and then they are obtained in ordinary differential equations (ODEs) form. Then using the solutions of momentum and transfers equations to solve the given ODEs to get the root of the equation. The main purpose includes the resulting equations are then analytically resolved with the aid of suitable boundary conditions. The results can be discussed with various physical parameters viz., stretched/shrinked-Rayleigh number, stretching/shrinking parameter, Prandtl number, etc. Besides, skin friction and heat transfer coefficient can be examined with suitable similarity transformations. The main significance of the present work is to explain the mixed convective fluid flow on the basis of analytical method. Main findings at the end we found that the transverse and tangential velocities are more for more values of stretched/shrinked-Rayleigh number and mass transpiration for both suction and injection cases. This is the special method it includes stretched/shrinked-Rayleigh number, it contributes major role in this analysis. The purpose of finding the present work is to understand the analytical solution on the basis of mixed convective method. Full article
Show Figures

Figure 1

16 pages, 914 KB  
Article
Exact Solutions of Navier–Stokes Equations for Quasi-Two-Dimensional Flows with Rayleigh Friction
by Natalya Burmasheva, Sergey Ershkov, Evgeniy Prosviryakov and Dmytro Leshchenko
Fluids 2023, 8(4), 123; https://doi.org/10.3390/fluids8040123 - 3 Apr 2023
Cited by 13 | Viewed by 3422
Abstract
To solve the problems of geophysical hydrodynamics, it is necessary to integrally take into account the unevenness of the bottom and the free boundary for a large-scale flow of a viscous incompressible fluid. The unevenness of the bottom can be taken into account [...] Read more.
To solve the problems of geophysical hydrodynamics, it is necessary to integrally take into account the unevenness of the bottom and the free boundary for a large-scale flow of a viscous incompressible fluid. The unevenness of the bottom can be taken into account by setting a new force in the Navier–Stokes equations (the Rayleigh friction force). For solving problems of geophysical hydrodynamics, the velocity field is two-dimensional. In fact, a model representation of a thin (bottom) baroclinic layer is used. Analysis of such flows leads to the redefinition of the system of equations. A compatibility condition is constructed, the fulfillment of which guarantees the existence of a nontrivial solution of the overdetermined system under consideration. A non-trivial exact solution of the overdetermined system is found in the class of Lin–Sidorov–Aristov exact solutions. In this case, the flow velocities are described by linear forms from horizontal (longitudinal) coordinates. Several variants of the pressure representation that do not contradict the form of the equation system are considered. The article presents an algebraic condition for the existence of a non-trivial exact solution with functional arbitrariness for the Lin–Sidorov–Aristov class. The isobaric and gradient flows of a viscous incompressible fluid are considered in detail. Full article
(This article belongs to the Special Issue Boundary Layer Processes in Geophysical/Environmental Flows)
Show Figures

Figure 1

44 pages, 1997 KB  
Review
Review of Play and Preisach Models for Hysteresis in Magnetic Materials
by Gustav Mörée and Mats Leijon
Materials 2023, 16(6), 2422; https://doi.org/10.3390/ma16062422 - 17 Mar 2023
Cited by 32 | Viewed by 7553
Abstract
This paper studies the properties of the Preisach model and the play model, and compare their similarities. Both are history-dependent hysteresis models that are used to model magnetic hysteresis. They are described as discrete sums of simple hysteresis operators but can easily be [...] Read more.
This paper studies the properties of the Preisach model and the play model, and compare their similarities. Both are history-dependent hysteresis models that are used to model magnetic hysteresis. They are described as discrete sums of simple hysteresis operators but can easily be reformulated as integral equations of continuous distribution functions using either a Preisach weight distribution function or a play distribution function. The models are mostly seen as phenomenological or mathematical tools but can also be related to friction-like pinning of domain-wall motions, where Rayleigh’s law of magnetic hysteresis can be seen as the simplest case on either the play model or the Preisach model. They are poor at modeling other domain behavior, such as nucleation-driven hysteresis. Yet another hysteresis model is the stop model, which can be seen as the inverted version of the play model. This type of model has advantages for expressions linked to energy and can be related to Steinmetz equation of hysteresis losses. The models share several mathematical properties, such as the congruency property and wiping-out property, and both models have a history of dependence that can be described by the series of past reversal points. More generally, it is shown that the many models can be expressed as Preisach models, showing that they can be treated as subcategories of the Preisach type models. These include the play model, the stop model and also the alternative KP-hysteron model. Full article
Show Figures

Figure 1

20 pages, 9352 KB  
Article
Thermo-Hydrodynamic Effect of Gas Split Floating Ring Seal with Rayleigh Step Grooves
by Shaoxian Bai, Dongdong Chu, Chunhong Ma, Jing Yang and Shiyi Bao
Materials 2023, 16(6), 2283; https://doi.org/10.3390/ma16062283 - 12 Mar 2023
Cited by 6 | Viewed by 2607
Abstract
The force equilibrium and moment equilibrium play a significant role on the sealing performance of gas split floating ring seals. A small deflection angle may generate seriously wear on sealing surface and cause seal failure. Therefore, the thermo-hydrodynamic lubrication analysis of gas split [...] Read more.
The force equilibrium and moment equilibrium play a significant role on the sealing performance of gas split floating ring seals. A small deflection angle may generate seriously wear on sealing surface and cause seal failure. Therefore, the thermo-hydrodynamic lubrication analysis of gas split floating ring seal with Rayleigh grooves is investigated considering the deflection angle and frictional heat of surface contact, which is beneficial to grasp the hydrodynamic characteristics and rules under high-temperature and high-speed conditions. Pressure and temperature distributions of sealing rings are numerically calculated for the cases with different deflection angle, rational speed, seal pressure and ambient temperature. Then, the hydrodynamic effect and sealing performance are analyzed. The obtained results show that, the surface Rayleigh step grooves do not present obvious hydrodynamic effect when split seal ring has no deflection. While, a significant hydrodynamic effect can be obtained when the split seal ring presents a deflection angle about dozens of micro radians. Here, a 10% increase of opening force is achieved when the deflection angle reaches 80 μrad in the case of speed 30,000 r/min and seal pressure 0.2 MPa. Moreover, the hydrodynamic effect becomes obvious with increasing deflection angle as well as rotational speed. Meanwhile, the growth of rotational speed results in an obvious increase of film temperature. The increase of ambient temperature has a significant influence on the decrease of leakage rate. When the ambient temperature increases from 340 K to 540 K, the leakage rate reduces exceeding 50%, however, it does not present obvious effect on the opening force. The proposed model has the potential to provide the theoretical basis and design guidance for surface grooves of gas split floating ring seal in the future. Full article
(This article belongs to the Topic Research on the Mechanical Wear of Gear-Shaped Parts)
(This article belongs to the Section Manufacturing Processes and Systems)
Show Figures

Figure 1

14 pages, 6812 KB  
Article
Performance of the Compliant Foil Gas Seal with Surface Micro-Textured Top Foil
by Jie Xu, Shurong Yu, Xuexing Ding, Haitao Jiang and Lu Li
Appl. Sci. 2022, 12(11), 5633; https://doi.org/10.3390/app12115633 - 1 Jun 2022
Cited by 7 | Viewed by 2461
Abstract
In various fields, micro-textures have been successfully applied to the surface of friction pairs to effectively improve flow field and friction performance. This paper aims to investigate how different textures affect the sealing performance of compliant foil gas film seals. In theoretical simulations, [...] Read more.
In various fields, micro-textures have been successfully applied to the surface of friction pairs to effectively improve flow field and friction performance. This paper aims to investigate how different textures affect the sealing performance of compliant foil gas film seals. In theoretical simulations, a facile method for characterizing the shape of micro-textures is proposed, and the equilibrium relationship between the gas film pressure, gas film thickness, and foil deformation is established. The transient Reynolds equation considering the eccentric convergence problem and abrupt Rayleigh step changes is solved to analyze the static and dynamic characteristics. The results show that (i) compared with the directionality of the texture, the gas volume accommodated by the texture has a greater impact on the sealing performance, and a convergent texture can effectively control the leakage rate; (ii) when the texture depth exceeds 9 μm, the sealing system may be unstable; (iii) the compliant foil seal is well suited to higher-speed service conditions, and the inverted triangular texture shows the best comprehensive sealing performance. Full article
(This article belongs to the Section Fluid Science and Technology)
Show Figures

Figure 1

9 pages, 420 KB  
Proceeding Paper
Partial Differential Equations of Motion for a Single-Link Flexible Manipulator
by Mohammed Bouanane, Rachad Oulad Ben Zarouala and Abdellatif Khamlichi
Eng. Proc. 2021, 11(1), 40; https://doi.org/10.3390/ASEC2021-11120 - 17 Mar 2022
Cited by 2 | Viewed by 1875
Abstract
Robot manipulators have played an enormous role in the industry during the twenty-first century. Due to the advances in materials science, lightweight manipulators have emerged with low energy consumption and positive economic aspect regardless of their complex mechanical model and control techniques problems. [...] Read more.
Robot manipulators have played an enormous role in the industry during the twenty-first century. Due to the advances in materials science, lightweight manipulators have emerged with low energy consumption and positive economic aspect regardless of their complex mechanical model and control techniques problems. This paper presents a dynamic model of a single link flexible robot manipulator with a payload at its free end based on the Euler–Bernoulli beam theory with a complete second-order deformation field that generates a complete second-order elastic rotation matrix. The beam experiences an axial stretching, horizontal and vertical deflections, and a torsional deformation ignoring the shear due to bending, warping due to torsion, and viscous air friction. The deformation and its derivatives are assumed to be small. The application of the extended Hamilton principle while taking into account the viscoelastic internal damping based on the Kelvin–Voigt model expressed by the Rayleigh dissipation function yields both the boundary conditions and the coupled partial differential equations of motion that can be decoupled when the manipulator rotates with a constant angular velocity. Equations of motion solutions are still under research, as it is required to study the behavior of flexible manipulators and develop novel ways and methods for controlling their complex movements. Full article
(This article belongs to the Proceedings of The 2nd International Electronic Conference on Applied Sciences)
Show Figures

Figure 1

18 pages, 7709 KB  
Article
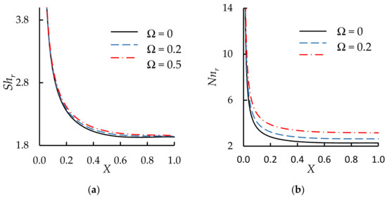
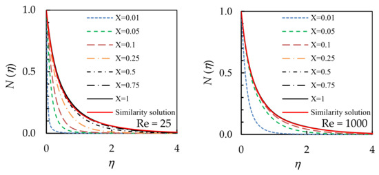
A Fully Resolved Computational Fluid Dynamics Study of the Boundary Layer Flow of an Aqueous Nanoliquid Comprising Gyrotactic Microorganisms over a Stretching Sheet: The Validity of Conventional Similarity Models
by Zahra Shah Hosseini, Awatef Abidi, Sajad Mohammadi, Seyed Abdollah Mansouri Mehryan and Christopher Hulme
Mathematics 2021, 9(21), 2655; https://doi.org/10.3390/math9212655 - 20 Oct 2021
Cited by 6 | Viewed by 2095
Abstract
When materials are processed in the form of sheets that are stretched, cooling is often required. Coolants have been developed to maximize the rate of heat transfer away from the sheet, including by adding nanoparticles and microorganisms to control the physical properties of [...] Read more.
When materials are processed in the form of sheets that are stretched, cooling is often required. Coolants have been developed to maximize the rate of heat transfer away from the sheet, including by adding nanoparticles and microorganisms to control the physical properties of the fluid. Such coolants perform well, but the interaction between them and the sheet is not yet fully understood. Most of the articles found in the literature have used similarity models to solve the set of governing equations. In this method, the governing equations can be mapped into a set of 1-D equations and solved easily. However, care should be taken when using this method as the validity of this method is ensured only in the fully developed region, far away enough from the extrusion slit. The present study, therefore, aims to explore the reliability of a similarity model by comparing it with a full computational fluid dynamics (CFD) approach. In this work, the boundary layer flow of a nanoliquid comprising gyrotactic microorganisms in both the developed and undeveloped regions of a stretching sheet is studied using computational fluid dynamics with the finite difference approach, implemented using FORTRAN. The results of the CFD method are compared against the similarity analysis results for the length of the developed and undeveloped regions. This study, for the first time, distinguishes between the undeveloped and fully developed regions and finds the region in which the similarity analysis is valid. The numerical results show that the critical Reynolds numbers for the boundary layers of the concentration of the nano-additives and of density of the microorganisms are equal. To achieve an agreement between the CFD and the similarity model within 5%, the Grashof number for the hydrodynamic boundary layer must be <4 × 104. Increasing the bioconvection Rayleigh number leads to a decrease in the skin friction coefficient. The length of the region in which the microorganism’s density is not fully developed remains approximately constant for 103 < Gr < 105. Nonetheless, this length reduces significantly when the Grashof number increases from 105 to 106. The reduced Nusselt number, Nur, increases when the density difference of the microorganisms increases. Full article
Show Figures

Figure 1

Back to TopTop