Effects of Stocking Density on Growth Performance, Physiological Responses, and Transcriptomic Profile of Penaeus monodon
Abstract
1. Introduction
2. Results
2.1. Growth Performance Metrics
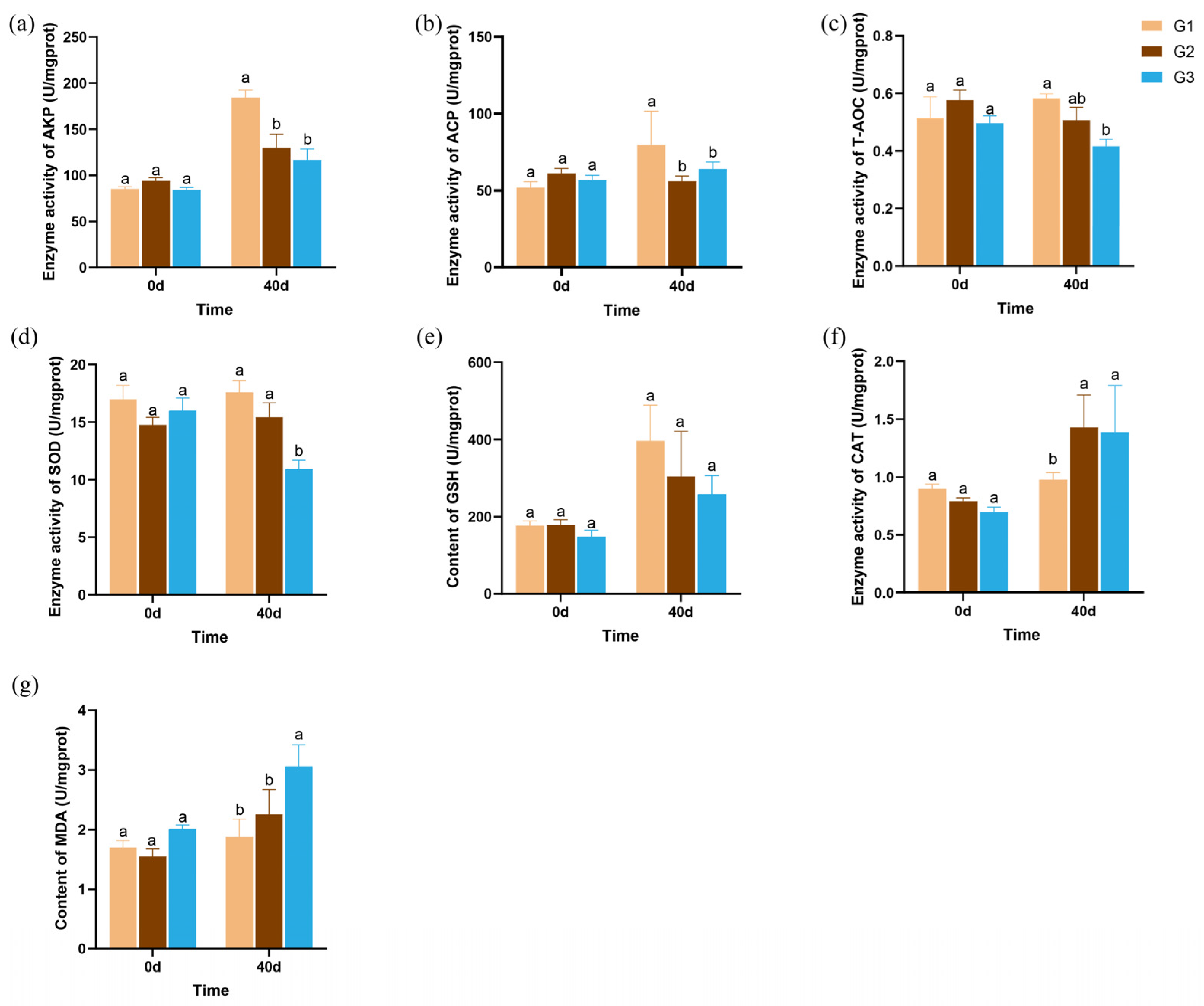
2.2. Immunity and Antioxidant Activities in Hepatopancreas
2.3. Summary of mRNA Sequencing Data
2.4. Assessment of Relationships Among Samples and Repeatability
2.5. Identification of Differentially Expressed Genes
2.6. Weighted Gene Co-Expression Network Analysis (WGCNA) and Key Module Screening
2.7. Functional Enrichment Analysis of Key Modules
2.8. Quantitative Real-Time PCR Validation of DEGs
3. Discussion
4. Materials and Methods
4.1. Shrimp and Experimental Management
4.2. Growth and Survival Assessment
4.3. Physiological and Biochemical Index Detection
4.4. Transcriptome Sequencing and Analysis
4.5. Validation of DEGs Using Quantitative Real-Time PCR (qRT-PCR)
4.6. Statistical Analysis
5. Conclusions
Author Contributions
Funding
Institutional Review Board Statement
Informed Consent Statement
Data Availability Statement
Conflicts of Interest
References
- Boyd, C.E.; McNevin, A.A.; Davis, R.P. The contribution of fisheries and aquaculture to the global protein supply. Food Secur. 2022, 14, 805–827. [Google Scholar] [CrossRef] [PubMed]
- Bondad-Reantaso, M.G.; Subasinghe, R.P.; Josupeit, H.; Cai, J.; Zhou, X. The role of crustacean fisheries and aquaculture in global food security: Past, present and future. J. Invertebr. Pathol. 2012, 110, 158–165. [Google Scholar] [CrossRef] [PubMed]
- Waiho, K.; Ling, Y.; Ikhwanuddin, M.; Chong Shu-Chien, A.; Afiqah-Aleng, N.; Wang, Y.; Hu, M.; Liew, H.; Kasan, N.A.; Peh, J.H.; et al. Current advances in the black tiger shrimp Penaeus monodon culture: A review. Rev. Aquacult. 2025, 17, e12958. [Google Scholar] [CrossRef]
- Fisheries Administration Bureau, Ministry of Agriculture. China Fishery Statistics Year Book; China Agriculture Press: Beijing, China, 2024.
- Yuan, H.; Xie, M.; Hu, N.; Zheng, Y.; Hou, C.; Tan, B.; Shi, L.; Zhang, S. Growth, immunity and transcriptome response to different stocking densities in Litopenaeus vannamei. Fish Shellfish Immunol. 2023, 139, 108924. [Google Scholar] [CrossRef]
- Kumar, V.S.; Pandey, P.K.; Anand, T.; Bhuvaneswari, R.; Kumar, S. Effect of periphyton (aquamat) on water quality, nitrogen budget, microbial ecology, and growth parameters of Litopenaeus vannamei in a semi-intensive culture system. Aquaculture 2017, 479, 240–249. [Google Scholar] [CrossRef]
- Arnold, S.J.; Sellars, M.J.; Crocos, P.J.; Coman, G.J. Intensive production of juvenile tiger shrimp Penaeus monodon: An evaluation of stocking density and artificial substrates. Aquaculture 2006, 261, 890–896. [Google Scholar] [CrossRef]
- Ruiz-Velazco, J.M.J.; Hernández-Llamas, A.; Gomez-Muñoz, V.M. Management of stocking density, pond size, starting time of aeration, and duration of cultivation for intensive commercial production of shrimp Litopenaeus vannamei. Aquacult. Eng. 2010, 43, 114–119. [Google Scholar] [CrossRef]
- Zhang, B.; Lin, W.; Huang, J.; Wang, Y.; Xu, R. Effects of artificial substrates on the growth, survival and spatial distribution of Litopenaeus vannamei in the intensive culture condition. Iran. J. Fish. Sci. 2010, 9, 293–304. [Google Scholar]
- Mugwanya, M.; Dawood, M.A.O.; Kimera, F.; Sewilam, H. A review on recirculating aquaculture system: Influence of stocking density on fish and crustacean behavior, growth performance, and immunity. Ann. Anim. Sci. 2022, 22, 873–884. [Google Scholar] [CrossRef]
- AftabUddin, S.; Siddique, M.A.M.; Sein, A.; Dey, P.K.; Rashed-Un-Nabi, M.; Haque, M.A. First use of biofloc technology for Penaeus monodon culture in Bangladesh: Effects of stocking density on growth performance of shrimp, water quality and bacterial growth. Aquacult. Rep. 2020, 18, 100518. [Google Scholar] [CrossRef]
- Dai, F.; Song, L.; Gao, J.; Tai, X.; Chu, L.; Zhuang, H.; Shao, N.; Hu, J.; Nei, Z.; Wang, Y.; et al. Effect of stocking density on mortality rate, physiological status and nutrient contents of Chinese mitten crab Eriocheir sinensis during overwintering cultivation. Aquacult. Rep. 2020, 16, 100241. [Google Scholar] [CrossRef]
- Dong, J.; Zhao, Y.Y.; Yu, Y.H.; Sun, N.; Li, Y.D.; Wei, H.; Yang, Z.Q.; Li, X.D.; Li, L. Effect of stocking density on growth performance, digestive enzyme activities, and nonspecific immune parameters of Palaemonetes sinensis. Fish Shellfish Immunol. 2018, 73, 37–41. [Google Scholar] [CrossRef] [PubMed]
- Li, Y.; Li, J.; Wang, Q. The effects of dissolved oxygen concentration and stocking density on growth and non-specific immunity factors in Chinese shrimp, Fenneropenaeus chinensis. Aquaculture 2006, 256, 608–616. [Google Scholar] [CrossRef]
- Liu, G.; Zhu, S.; Liu, D.; Guo, X.; Ye, Z. Effects of stocking density of the white shrimp Litopenaeus vannamei (Boone) on immunities, antioxidant status, and resistance against Vibrio harveyi in a biofloc system. Fish Shellfish Immunol. 2017, 67, 19–26. [Google Scholar] [CrossRef] [PubMed]
- Coman, G.J.; Arnold, S.J.; Jones, M.J. Effect of rearing density on growth, survival and reproductive performance of domesticated Penaeus monodon. Aquaculture 2007, 264, 175–183. [Google Scholar] [CrossRef]
- Shakir, C.; Lipton, A.P.; Manilal, A.; Sugathan, S.; Selvin, J. Effect of stocking density on the survival rate and growth performance in Penaeus monodon. J. Basic Appl. Sci. 2014, 10, 231–238. [Google Scholar] [CrossRef]
- Eissa, N.; Wang, H.P. Transcriptional stress responses to environmental and husbandry stressors in aquaculture species. Rev. Aquacult. 2016, 8, 61–88. [Google Scholar] [CrossRef]
- Lu, X.; Kong, J.; Luan, S.; Dai, P.; Meng, X.; Cao, B.; Luo, K. Transcriptome analysis of the hepatopancreas in the Pacific white shrimp (Litopenaeus vannamei) under acute ammonia stress. PLoS ONE 2016, 11, e0164396. [Google Scholar] [CrossRef]
- Liang, C.; Liu, J.; Cao, F.; Li, Z.; Chen, T. Transcriptomic analyses of the acute ammonia stress response in the hepatopancreas of the kuruma shrimp (Marsupenaeus japonicus). Aquaculture 2019, 513, 734328. [Google Scholar] [CrossRef]
- Rahi, M.L.; Mahmud, S.; Dilruba, K.J.; Sabbir, W.; Aziz, D.; Hurwood, D.A. Temperature induced changes in physiological traits and expression of selected candidate genes in black tiger shrimp (Penaeus monodon) larvae. Aquacult. Rep. 2021, 19, 100620. [Google Scholar] [CrossRef]
- Shi, J.; Jiang, S.; Yang, Q.; Li, Y.; Yang, L.; Huang, J.; Jiang, S.; Zhou, F. Identification of microRNAs in black tiger shrimp (Penaeus monodon) under acute low-salinity stress. Front. Mar. Sci. 2024, 11, 1403559. [Google Scholar] [CrossRef]
- Yuan, Q.; Qian, J.; Ren, Y.; Zhang, T.; Li, Z.; Liu, J. Effects of stocking density and water temperature on survival and growth of the juvenile Chinese mitten crab, Eriocheir sinensis, reared under laboratory conditions. Aquaculture 2018, 495, 631–636. [Google Scholar] [CrossRef]
- Yu, J.; Xiong, M.; Ye, S.; Li, W.; Xiong, F.; Liu, J.; Zhang, T. Effects of stocking density and artificial macrophyte shelter on survival, growth and molting of juvenile red swamp crayfish (Procambarus clarkii) under experimental conditions. Aquaculture 2020, 521, 735001. [Google Scholar] [CrossRef]
- Braun, N.; de Lima, R.L.; Baldisserotto, B.; Dafre, A.L.; de Oliveira Nuñer, A.P. Growth, biochemical and physiological responses of Salminus brasiliensis with different stocking densities and handling. Aquaculture 2010, 301, 22–30. [Google Scholar] [CrossRef]
- Li, L.; Shen, Y.; Yang, W.; Xu, X.; Li, J. Effect of different stocking densities on fish growth performance: A meta-analysis. Aquaculture 2021, 544, 737152. [Google Scholar] [CrossRef]
- Diao, W.; Jia, R.; Hou, Y.; Dong, Y.; Li, B.; Zhu, J. Effects of stocking density on the growth performance, physiological parameters, antioxidant status and lipid metabolism of Pelteobagrus fulvidraco in the integrated rice-fish farming system. Animals 2023, 13, 1721. [Google Scholar] [CrossRef]
- Labreuche, Y.; Veloso, A.; De La Vega, E.; Gross, P.S.; Chapman, R.W.; Browdy, C.L.; Warr, G.W. Non-specific activation of antiviral immunity and induction of RNA interference may engage the same pathway in the Pacific white leg shrimp Litopenaeus vannamei. Dev. Comp. Immunol. 2010, 34, 1209–1218. [Google Scholar] [CrossRef]
- Javahery, S.; Noori, A.; Hoseinifar, S.H. Growth performance, immune response, and digestive enzyme activity in Pacific white shrimp, Penaeus vannamei Boone, 1931, fed dietary microbial lysozyme. Fish Shellfish Immunol. 2019, 92, 528–535. [Google Scholar] [CrossRef]
- Tian, Y.; Jie, Y.; Zeng, X.; Yue, Y.; Liu, G.; Cheng, C.; Ma, H.; Guo, Z. Effect of density on antioxidant and nonspecific immunity of mud crab (Scylla paramamosain). South China Fish. Sci. 2023, 19, 60–67. [Google Scholar] [CrossRef]
- Liu, B.; Jia, R.; Han, C.; Huang, B.; Lei, J.L. Effects of stocking density on antioxidant status, metabolism and immune response in juvenile turbot (Scophthalmus maximus). Comp. Biochem. Phys. C 2016, 190, 1–8. [Google Scholar] [CrossRef]
- Refaey, M.M.; Li, D.; Tian, X.; Onxayvieng, K.; Tang, R. Physiological responses of channel catfish (Ictalurus punctatus) reared at different stocking densities in a recirculating aquaculture system. Aquaculture 2022, 557, 738329. [Google Scholar] [CrossRef]
- Liu, G.; Ye, Z.; Liu, D.; Zhao, J.; Sivaramasamy, E.; Deng, Y.; Zhu, S. Influence of stocking density on growth, digestive enzyme activities, immune responses, antioxidant of Oreochromis niloticus fingerlings in biofloc systems. Fish Shellfish Immunol. 2018, 81, 416–422. [Google Scholar] [CrossRef] [PubMed]
- Sahin, K.; Yazlak, H.; Orhan, C.; Tuzcu, M.; Akdemir, F.; Sahin, N. The effect of lycopene on antioxidant status in rainbow trout (Oncorhynchus mykiss) reared under high stocking density. Aquaculture 2014, 418, 132–138. [Google Scholar] [CrossRef]
- Zhou, C.; Song, H.; Feng, J.; Hu, Z.; Yu, Z.L.; Yang, M.J.; Shi, P.; Li, Y.R.; Guo, Y.J.; Zhang, T. RNA-Seq analysis and WGCNA reveal dynamic molecular responses to air exposure in the hard clam Mercenaria mercenaria. Genomics 2021, 113, 2847–2859. [Google Scholar] [CrossRef]
- Fan, Z.; Mao, J.; Wang, Y.; Tan, A.; Huang, Y.; Tian, Y.; Wang, X.; Hao, Z.; Ding, J.; Chang, Y. Transcriptomic WGCNA analyses reveal endoplasmic reticulum response of Patinopecten yessoensis under acute heat stress. Aquaculture 2024, 589, 740938. [Google Scholar] [CrossRef]
- Shi, J.; Jiang, S.; Ding, Y.; Diao, H.; Li, W.; Li, Y.; Huang, J.; Yang, L.; Yang, Q.; Zhou, F. Insights into the regulatory role of microRNAs in Penaeus monodon under moderately low salinity stress. Biology 2025, 14, 440. [Google Scholar] [CrossRef]
- Jiang, Y.; Liu, X.; Shang, Y.; Li, J.; Gao, B.; Ren, Y.; Meng, X. Physiological and transcriptomic analyses provide insights into nitrite stress responses of the swimming crab Portunus trituberculatus. Mar. Biotechnol. 2024, 26, 1040–1052. [Google Scholar] [CrossRef]
- Li, Y.; Xu, W.; Zhu, B.; Jiang, Q.; Ye, Y.; Zhao, Y. Comparison of detoxification capacity between broodstock and hybrid offspring in the gills of juvenile shrimp (Macrobrachium nipponense): Response to chronic ammonia stress. Aquac. Res. 2022, 53, 4487–4496. [Google Scholar] [CrossRef]
- Zhao, S.; Xu, W.; Jiang, W.; Yu, W.; Lin, Y.; Zhang, T.; Yao, J.; Zhou, L.; Zeng, Y.; Li, H.; et al. Regulation of cellular metabolism by protein lysine acetylation. Science 2010, 327, 1000–1004. [Google Scholar] [CrossRef]
- Duan, Y.; Zhong, G.; Xiao, M.; Yang, Y.; Wang, Y.; Nan, Y. Integrated physiological, energy metabolism, and metabonomic responses indicate the stress response in the hepatopancreas of Litopenaeus vannamei to nitrite stress. Aquat. Toxicol. 2024, 277, 107164. [Google Scholar] [CrossRef]
- Kim, M.J.; Shin, D.J.; Jang, G.I.; Kwon, M.G.; Kim, K.I. Influence of stocking density and interaction variability on disease progression of white spot syndrome virus-infected shrimp under different risk scenarios. Aquaculture 2025, 595, 741597. [Google Scholar] [CrossRef]
- Zhao, H.; Soufan, O.; Xia, J.; Tang, R.; Li, L.; Li, D. Transcriptome and physiological analysis reveal alterations in muscle metabolisms and immune responses of grass carp (Ctenopharyngodon idellus) cultured at different stocking densities. Aquaculture 2019, 503, 186–197. [Google Scholar] [CrossRef]
- Lin, Y.C.; Chen, J.C.; Chen, Y.Y.; Yeh, S.T.; Chen, L.L.; Huang, C.L.; Hsieh, J.F.; Li, C.C. Crowding of white shrimp Litopenaeus vananmei depresses their immunity to and resistance against Vibrio alginolyticus and white spot syndrome virus. Fish Shellfish Immunol. 2015, 45, 104–111. [Google Scholar] [CrossRef] [PubMed]
- Lin, W.; Li, L.; Chen, J.; Li, D.; Hou, J.; Guo, H.; Shen, J. Long-term crowding stress causes compromised nonspecific immunity and increases apoptosis of spleen in grass carp (Ctenopharyngodon idella). Fish Shellfish Immunol. 2018, 80, 540–545. [Google Scholar] [CrossRef]
- Long, L.; Zhang, H.; Ni, Q.; Liu, H.; Wu, F.; Wang, X. Effects of stocking density on growth, stress, and immune responses of juvenile Chinese sturgeon (Acipenser sinensis) in a recirculating aquaculture system. Comp. Biochem. Phys. C 2019, 219, 25–34. [Google Scholar] [CrossRef]
- Liu, Z.S.; Zhang, L.; Chen, W.L.; He, C.F.; Qian, X.Y.; Liu, W.B.; Li, X.F. Insights into the interaction between stocking density and feeding rate in fish Megalobrama ambylcephala based on growth performance, innate immunity, antioxidant activity, and the GH-IGF1 axis. Aquaculture 2024, 580, 740355. [Google Scholar] [CrossRef]
- Chen, S.; Zhou, Y.; Chen, Y.; Gu, J. fastp: An ultra-fast all-in-one FASTQ preprocessor. Bioinformatics 2018, 34, i884–i890. [Google Scholar] [CrossRef]
- Kim, D.; Paggi, J.M.; Park, C.; Bennett, C.; Salzberg, S.L. Graph-based genome alignment and genotyping with HISAT2 and HISAT-genotype. Nat. Biotechnol. 2019, 37, 907–915. [Google Scholar] [CrossRef]
- Pertea, M.; Pertea, G.M.; Antonescu, C.M.; Chang, T.C.; Mendell, J.T.; Salzberg, S.L. StringTie enables improved reconstruction of a transcriptome from RNA-seq reads. Nat. Biotechnol. 2015, 33, 290–295. [Google Scholar] [CrossRef]
- Li, B.; Dewey, C.N. RSEM: Accurate transcript quantification from RNA-Seq data with or without a reference genome. BMC Bioinform. 2011, 12, 323. [Google Scholar] [CrossRef]
- Love, M.I.; Huber, W.; Anders, S. Moderated estimation of fold change and dispersion for RNA-seq data with DESeq2. Genome Biol. 2014, 15, 550. [Google Scholar] [CrossRef]
- Langfelder, P.; Horvath, S. WGCNA: An R package for weighted correlation network analysis. BMC Bioinform. 2008, 9, 559. [Google Scholar] [CrossRef]








| Sample | Raw Reads | Clean Reads | Error Rate (%) | Q20 (%) | Q30 (%) | GC Content (%) |
|---|---|---|---|---|---|---|
| G1_1 | 61,898,742 | 61,896,516 | 0.0196 | 99.41 | 97.97 | 52.91 |
| G1_2 | 45,663,312 | 45,661,780 | 0.0205 | 99.22 | 97.42 | 49.43 |
| G1_3 | 50,345,378 | 50,344,086 | 0.0201 | 99.32 | 97.66 | 53.75 |
| G2_1 | 46,989,524 | 46,987,290 | 0.0200 | 99.30 | 97.69 | 50.29 |
| G2_2 | 42,619,338 | 42,618,228 | 0.0202 | 99.30 | 97.61 | 53.64 |
| G2_3 | 61,304,616 | 61,301,208 | 0.0199 | 99.37 | 97.83 | 52.83 |
| G3_1 | 40,891,838 | 40,890,994 | 0.0201 | 99.34 | 97.72 | 49.56 |
| G3_2 | 49,214,590 | 49,213,434 | 0.0202 | 99.25 | 97.57 | 47.51 |
| G3_3 | 43,481,080 | 43,479,496 | 0.0197 | 99.40 | 97.94 | 47.12 |
Disclaimer/Publisher’s Note: The statements, opinions and data contained in all publications are solely those of the individual author(s) and contributor(s) and not of MDPI and/or the editor(s). MDPI and/or the editor(s) disclaim responsibility for any injury to people or property resulting from any ideas, methods, instructions or products referred to in the content. |
© 2026 by the authors. Licensee MDPI, Basel, Switzerland. This article is an open access article distributed under the terms and conditions of the Creative Commons Attribution (CC BY) license.
Share and Cite
Shi, J.; Li, W.; Jiang, S.; Diao, H.; Huang, J.; Yang, L.; Li, Y.; Ding, Y.; Duan, Y.; Chen, X.; et al. Effects of Stocking Density on Growth Performance, Physiological Responses, and Transcriptomic Profile of Penaeus monodon. Int. J. Mol. Sci. 2026, 27, 1505. https://doi.org/10.3390/ijms27031505
Shi J, Li W, Jiang S, Diao H, Huang J, Yang L, Li Y, Ding Y, Duan Y, Chen X, et al. Effects of Stocking Density on Growth Performance, Physiological Responses, and Transcriptomic Profile of Penaeus monodon. International Journal of Molecular Sciences. 2026; 27(3):1505. https://doi.org/10.3390/ijms27031505
Chicago/Turabian StyleShi, Jianzhi, Wenzhe Li, Song Jiang, Hongshan Diao, Jianhua Huang, Lishi Yang, Yundong Li, Yangyang Ding, Yafei Duan, Xu Chen, and et al. 2026. "Effects of Stocking Density on Growth Performance, Physiological Responses, and Transcriptomic Profile of Penaeus monodon" International Journal of Molecular Sciences 27, no. 3: 1505. https://doi.org/10.3390/ijms27031505
APA StyleShi, J., Li, W., Jiang, S., Diao, H., Huang, J., Yang, L., Li, Y., Ding, Y., Duan, Y., Chen, X., Yang, Q., & Zhou, F. (2026). Effects of Stocking Density on Growth Performance, Physiological Responses, and Transcriptomic Profile of Penaeus monodon. International Journal of Molecular Sciences, 27(3), 1505. https://doi.org/10.3390/ijms27031505

