Sign in to use this feature.

Years

Between: -

Subjects

remove_circle_outline
remove_circle_outline
remove_circle_outline
remove_circle_outline
remove_circle_outline
remove_circle_outline
remove_circle_outline
remove_circle_outline
remove_circle_outline

Journals

Article Types

Countries / Regions

Search Results (37)

Search Parameters:
Keywords = Greek yogurt

Order results
Result details
Results per page
Select all
Export citation of selected articles as:
16 pages, 984 KB  
Article
Resistance Exercise Training and Greek Yogurt Consumption Modulate Markers of Systemic Inflammation in Healthy Young Males—A Secondary Analysis of a Randomized Controlled Trial
by Emily C. Fraschetti, Ali A. Abdul-Sater, Christopher G. R. Perry and Andrea R. Josse
Nutrients 2025, 17(17), 2816; https://doi.org/10.3390/nu17172816 - 29 Aug 2025
Viewed by 3674
Abstract
Background/Objectives: Chronic exercise training reduces markers of systemic inflammation; however, less is known about how to optimize this adaptation using nutrition. Dairy products, especially fermented ones, like Greek yogurt (GY), contain anti-inflammatory constituents. This secondary analysis aimed to examine the influence of post-exercise [...] Read more.
Background/Objectives: Chronic exercise training reduces markers of systemic inflammation; however, less is known about how to optimize this adaptation using nutrition. Dairy products, especially fermented ones, like Greek yogurt (GY), contain anti-inflammatory constituents. This secondary analysis aimed to examine the influence of post-exercise GY consumption vs. an isoenergetic carbohydrate pudding (CP; control) on markers of systemic inflammation during an exercise training intervention. Methods: Thirty healthy young males completed 12 weeks of resistance and plyometric exercise training and were randomized to consume GY (n = 15) or CP (n = 15). Rested/fasted blood samples were acquired at baseline, and weeks 1 and 12, and inflammatory biomarkers (tumor necrosis factor-alpha [TNF-α], interleukin [IL]-6, IL-1 receptor antagonist [IL-1ra], IL-1Beta [IL-1β], IL-10, and C-reactive protein [CRP]) were measured. Linear mixed models were run on the absolute concentrations, and linear regressions were performed on the absolute change (baseline to week 12), allowing us to account for important covariates. Results: In both groups, CRP (pro) and IL-1ra (anti) increased at week 1 vs. baseline and week 12, while IL-1β (pro) decreased at week 12 vs. baseline (main time effects). We observed significant interactions for IL-6, TNF-α, and the TNF-α/IL-10 ratio, indicating that at week 12, IL-6 (pro) was lower in GY, whereas TNF-α and TNF-α/IL-10 (both pro-inflammatory) were higher in CP vs. week 1 and baseline, respectively. Additionally, within our linear regression models, higher baseline concentrations of IL-1ra (anti), IL-10 (anti) and CRP (pro) predicted greater change over the intervention. Conclusions: These results indicate that our intervention benefited circulating inflammatory markers, and GY supplementation may enhance these effects. Full article
(This article belongs to the Special Issue Effects of Nutrient Intake on Exercise Recovery and Adaptation)
Show Figures

Figure 1

20 pages, 3331 KB  
Article
Tanomenon Sorva: A Culinary Medium for Preserving Pontic Greek Identity and Intergenerational Bonding in Western Macedonia, Greece
by Achillefs Keramaris, Eleni Kasapidou and Paraskevi Mitlianga
Gastronomy 2025, 3(3), 13; https://doi.org/10.3390/gastronomy3030013 - 18 Aug 2025
Viewed by 1004
Abstract
Tanomenon Sorva (TS), a traditional yogurt-based soup at the heart of Pontic Greek cuisine, is examined as a marker of identity among descendants of Pontic Greeks in Western Macedonia, Greece. Guided by social constructionism and practice theories, we conducted participant observation and semi-structured [...] Read more.
Tanomenon Sorva (TS), a traditional yogurt-based soup at the heart of Pontic Greek cuisine, is examined as a marker of identity among descendants of Pontic Greeks in Western Macedonia, Greece. Guided by social constructionism and practice theories, we conducted participant observation and semi-structured interviews with 11 women aged 54–86 years and analyzed data using reflexive thematic analysis (RTA). Four key themes emerged: (1) Cultural Continuity and Tradition; (2) Social Bonding Through Food; (3) Adaptation, Challenges, and Loss; and (4) Health and Nourishment. We argue that this iconic, tangy soup operates as a cultural code and habitual practice that stitches memory, belonging, and embodied well-being. Against pressures of culinary homogenization, TS remains a powerful symbol and a practical tradition that helps a group preserve its unique identity. Full article
Show Figures

Figure 1

19 pages, 6213 KB  
Article
A Protein-Based Approach for Greek Yogurt Authentication via an HRMS Technique (MALDI-TOF MS) and Milk Powder Detection as a Fraudulent Addition
by Evangelia Krystalli, Nikolaos Thomaidis, Anastasia S. Kritikou and Christos Kokkinos
Foods 2025, 14(4), 693; https://doi.org/10.3390/foods14040693 - 18 Feb 2025
Viewed by 1729
Abstract
The popularity of Greek-style yogurt (made from cow, ewe, and goat milk) has grown significantly in recent years thanks to its high protein content, nutritional value, and unique creamy texture, making it vulnerable to illegal practices, such as adulteration. In the present work, [...] Read more.
The popularity of Greek-style yogurt (made from cow, ewe, and goat milk) has grown significantly in recent years thanks to its high protein content, nutritional value, and unique creamy texture, making it vulnerable to illegal practices, such as adulteration. In the present work, a fast and reliable matrix-assisted laser desorption/ionization time-of-flight mass spectrometry (MALDI-TOF MS)-based methodology was developed for the detection of yogurt adulteration with cow milk powder, exploiting the intact protein profile. An integrated protein-based workflow was established for the detection of as little as 1% cow milk powder addition into cow and goat milk yogurt. Simultaneously, markers for yogurt classification based on their animal origin (cow, ewe, or goat), type (traditional or strained), and thermal treatment of milk were revealed for the first time. Statistical analysis using chemometric tools, such as unsupervised principal component analysis (PCA) and supervised partial least squares discriminant analysis (PLS-DA) recognition techniques, were implemented for the discrimination/classification of the yogurt samples. Full article
Show Figures

Figure 1

21 pages, 2345 KB  
Article
Unlocking Consumer Preferences: Sensory Descriptors Driving Greek Yogurt Acceptance and Innovation
by Helena Maria Andre Bolini, Flavio Cardello, Alessandra Cazellatto de Medeiros and Howard Moskowitz
Foods 2025, 14(1), 130; https://doi.org/10.3390/foods14010130 - 5 Jan 2025
Cited by 3 | Viewed by 4250
Abstract
Greek yogurt, a traditional food with roots in Ancient Greece, Mesopotamia, and Central Asia, has become a dietary staple worldwide due to its creamy texture, distinct flavor, and rich nutritional profile. The contemporary emphasis on health and wellness has elevated Greek yogurt as [...] Read more.
Greek yogurt, a traditional food with roots in Ancient Greece, Mesopotamia, and Central Asia, has become a dietary staple worldwide due to its creamy texture, distinct flavor, and rich nutritional profile. The contemporary emphasis on health and wellness has elevated Greek yogurt as a functional food, recognized for its high protein content and bioavailable probiotics that support overall health. This study investigates the sensory attributes evaluated by a panel of 22 trained assessors and the consumer preferences driving the acceptance of Greek yogurt formulations. Samples with higher consumer acceptance were characterized by sensory attributes such as “high texture in the mouth, surface uniformity, creaminess, apparent homogeneity, mouth-filling, grip in the mouth, ease of pick-up with a spoon, milk cream flavor, sweetness, and dairy flavor” (Tukey’s test, p < 0.05). These attributes strongly correlated with consumer preferences, underscoring their importance in product optimization. The findings provide a framework for refining Greek yogurt formulations to address diverse market demands, achieving a balance between sensory excellence and practical formulation strategies. This research reinforces the significance of Greek yogurt as a culturally adaptable, health-promoting dietary component and a promising market segment for ongoing innovation. Full article
(This article belongs to the Special Issue Flavor, Palatability, and Consumer Acceptance of Foods)
Show Figures

Figure 1

17 pages, 1278 KB  
Article
Evaluation of In Vitro Antihypertensive and Anti-Inflammatory Properties of Dairy By-Products
by Eleni Dalaka, Georgios C. Stefos, Ioannis Politis and Georgios Theodorou
Appl. Sci. 2024, 14(16), 6885; https://doi.org/10.3390/app14166885 - 6 Aug 2024
Cited by 4 | Viewed by 2017
Abstract
Sweet whey (SW) and yogurt acid whey (YAW) are dairy by-products of the cheese-making process and Greek-style yogurt production, respectively. Both of them are considered pollutants with huge volumes of SW and YAW produced due to the growing demand for dairy products worldwide. [...] Read more.
Sweet whey (SW) and yogurt acid whey (YAW) are dairy by-products of the cheese-making process and Greek-style yogurt production, respectively. Both of them are considered pollutants with huge volumes of SW and YAW produced due to the growing demand for dairy products worldwide. Moreover, whey-derived peptides, resulting from fermentation as well as from further hydrolysis during digestion, have been associated with various biological activities. In the present study, the angiotensin-converting enzyme (ACE)-inhibitory activity of 48 SW samples and 33 YAW samples from bovine, ovine, caprine, and ovine/caprine milk obtained were evaluated. Additionally, the SW and YAW digestates and two of their fractions (smaller than 10 kDa, SW-D-P10 and YAW-D-P10, and smaller than 3 kDa, SW-D-P3 and YAW-D-P3), which were obtained after in vitro digestion and subsequent ultrafiltration, were also subjected to evaluation. Our data indicated that the D-P10 and D-P3 fractions exhibited higher ACE-inhibitory activity compared to the corresponding values before digestion. The ACE-inhibitory capacity after in vitro digestion was higher for the ovine SW samples compared to their bovine and caprine counterparts. The effect of the D-P3 fraction on the inhibition of nitric oxide (NO) production and the expression of a selected panel of immune-response-related genes in LPS-stimulated RAW 264.7 macrophages was also evaluated. Fractions from both dairy by-products inhibited NO production in LPS-stimulated RAW 264.7 cells. Especially, ovine SW-D-P3 showed a strong NO inhibitory activity and suppressed inducible nitric oxide synthase (Nos2) mRNA levels. However, YAW-D-P3 could not trigger neither the gene expression of inflammatory macrophage mediators Nos2 and cyclooxygenase-2 (Ptgs2) nor tumor necrosis factor-α (Tnf) and interleukin 6 (Il6) in LPS-stimulated murine macrophages regardless of animal origin. These findings suggest that in vitro digestion could enhance the production of ACE-inhibitory peptides in both dairy by-products, while SW from ovine origin displays higher potential as an anti-inflammatory agent, effectively preventing excessive NO production. Full article
(This article belongs to the Special Issue Innovation in Dairy Products)
Show Figures

Figure 1

13 pages, 3388 KB  
Article
Consumer Acceptance and Physicochemical Properties of a Yogurt Beverage Formulated with Upcycled Yogurt Acid Whey
by Viral Shukla, Marcela Villarreal and Olga I. Padilla-Zakour
Beverages 2024, 10(1), 18; https://doi.org/10.3390/beverages10010018 - 6 Feb 2024
Cited by 6 | Viewed by 4533
Abstract
Drinkable yogurts are low-viscosity beverages often created by diluting yogurt with water or high-value-fluid milk. Yogurt acid whey, a typically discarded byproduct of the Greek yogurt industry, may serve as an upcycled ingredient for these types of products with minimal processing. In this [...] Read more.
Drinkable yogurts are low-viscosity beverages often created by diluting yogurt with water or high-value-fluid milk. Yogurt acid whey, a typically discarded byproduct of the Greek yogurt industry, may serve as an upcycled ingredient for these types of products with minimal processing. In this study, differing concentrations of acid whey (35%, 40%, and 45% w/w) were added to a mango yogurt beverage with 0.2% and 0.4% w/w stabilizer and analyzed for physicochemical properties over a 40-day period. The analysis indicated that the percentage of acid whey was positively correlated with both viscosity and water-holding capacity. A hedonic sensory analysis of the beverages indicated positive consumer acceptance of such upcycled products, with enhanced acceptance at 25–35% addition. This study demonstrates the potential for consumer acceptance of yogurt beverages upcycled with native-acid whey, providing insights into sustainable practices within the food industry. Full article
(This article belongs to the Section Tea, Coffee, Water, and Other Non-Alcoholic Beverages)
Show Figures

Graphical abstract

14 pages, 1809 KB  
Article
Complementary Feeding Practices: Recommendations of Pediatricians for Infants with and without Allergy Risk
by Emilia Vassilopoulou, Gavriela Feketea, Ioannis Pagkalos, Dimitrios Rallis, Gregorio Paolo Milani, Carlo Agostoni, Nikolaos Douladiris, John Lakoumentas, Evangelia Stefanaki, Zenon Efthymiou and Sophia Tsabouri
Nutrients 2024, 16(2), 239; https://doi.org/10.3390/nu16020239 - 12 Jan 2024
Cited by 4 | Viewed by 6967
Abstract
Aim: To investigate the routine guidance provided by pediatricians concerning the timing of complementary feeding (CF) for both healthy infants and those at a heightened risk of allergies. Methods: A total of 233 pediatricians participated in an anonymous online survey that included questions [...] Read more.
Aim: To investigate the routine guidance provided by pediatricians concerning the timing of complementary feeding (CF) for both healthy infants and those at a heightened risk of allergies. Methods: A total of 233 pediatricians participated in an anonymous online survey that included questions about demographics and recommendations for CF. Specifically, they provided guidance on the types of foods, preparation methods, supplements, time intervals for introducing new foods to infants at low and high allergy risk, and delayed food introductions for high-risk cases. Results: The respondents advised introducing certain foods at specific ages: fruits, starchy non-gluten grains, vegetables, olive oil, and meat were appropriate at 6 months; gluten-rich grains at 7 months; yogurt, hard-boiled eggs, and legumes at 8 months; fish at 8.5 months; and nuts at 9 months. Pediatricians, especially those with less than 15 years of practice, often introduced egg, seafood, gluten-rich grains, legumes, and nuts earlier for high-risk infants. Parenthood and male gender were associated with the earlier introduction of eggs and grains. Conclusions: Greek pediatricians follow a structured food introduction schedule for CF in infants. Interestingly, they tend to delay the introduction of common food allergens and recommend longer intervals between introducing new foods, particularly for high-risk infants. Key Notes: Despite recent evidence-based indications on healthy complementary feeding strategies for infants, discrepancies persist among pediatricians regarding food choices and the order and timing of food introduction, both for healthy infants and those at risk of allergy. Guidance on complementary feeding by pediatricians is influenced by their individual characteristics. Pediatricians tend to delay the introduction of common food allergens and recommend longer intervals between introducing new foods, particularly for high-risk infants. Full article
(This article belongs to the Special Issue Nutrition and Immunity in Early Childhood)
Show Figures

Figure 1

17 pages, 1397 KB  
Article
Effect of Milk Origin and Seasonality of Yogurt Acid Whey on Antioxidant Activity before and after In Vitro Gastrointestinal Digestion
by Eleni Dalaka, Georgios C. Stefos, Ioannis Politis and Georgios Theodorou
Antioxidants 2023, 12(12), 2130; https://doi.org/10.3390/antiox12122130 - 18 Dec 2023
Cited by 4 | Viewed by 2171
Abstract
Yogurt acid whey (YAW) is a by-product of Greek strained yogurt production. The disposal of YAW constitutes an environmental problem, and given the increasing demand of Greek yogurt worldwide, its handling is a challenge. However, whey-derived peptides, resulting from microbial fermentation as well [...] Read more.
Yogurt acid whey (YAW) is a by-product of Greek strained yogurt production. The disposal of YAW constitutes an environmental problem, and given the increasing demand of Greek yogurt worldwide, its handling is a challenge. However, whey-derived peptides, resulting from microbial fermentation as well as those resulting from further hydrolysis during the digestion process, have been linked to enhanced biological activities. In this study, the antioxidant capacity of 33 samples of YAW obtained from Greek dairy companies of bovine, ovine or caprine origin was investigated using both cell-free and cell-based assays. The YAW samples, their in vitro digestion products (YAW-Ds) and a fraction of the digests (less than 3 kDa; YAW-D-P3) were assessed using four biochemical assays, namely ORAC, ABTS, FRAP and P-FRAP. Our data revealed a higher antioxidant capacity for digested samples compared with undigested samples, with all four methods. ORAC values after in vitro digestion were higher for the ovine samples compared to their bovine (YAW-D and YAW-D-P3) and caprine (YAW-D-P3) counterparts. Furthermore, the YAW-D-P3 fraction derived from samples collected in the summer months exhibited higher ORAC values when compared to the respective fraction from the winter months’ samples. The cellular antioxidant activity of ovine YAW-D-P3 was improved in H2O2-treated HT29 cells compared to the control H2O2-treated cells. However, YAW-D-P3 could not trigger either the pathways involving the transcription factors NF-κB or NFE2L2 or the gene expression of SOD1, CAT and HMOX1 in LPS-challenged THP-1-derived macrophages. These results suggest that YAW, and particularly YAW from ovine origin, could be used as a natural source for its antioxidant potential in human and animal nutrition. Full article
Show Figures

Figure 1

11 pages, 309 KB  
Article
Effect of Yogurt Acid Whey on the Quality of Maize Silage
by Irida Palamidi, Vasileios V. Paraskeuas, Basiliki Kotsampasi, Ioannis Hadjigeorgiou, Ioannis Politis and Konstantinos C. Mountzouris
Fermentation 2023, 9(12), 994; https://doi.org/10.3390/fermentation9120994 - 22 Nov 2023
Cited by 2 | Viewed by 2306
Abstract
The increasing popularity of Greek yogurt generates large amounts of acid whey worldwide. The use of yogurt acid whey in animal nutrition is limited. The aim of this study was to determine the effect of a yogurt acid whey powder (YAWP) addition to [...] Read more.
The increasing popularity of Greek yogurt generates large amounts of acid whey worldwide. The use of yogurt acid whey in animal nutrition is limited. The aim of this study was to determine the effect of a yogurt acid whey powder (YAWP) addition to maize forage prior to ensiling on the nutritional, microbial and fermentation quality of maize silage. Depending on the addition level of the YAWP to maize forage, there were the following four experimental treatments: YAWP 0, 2.5, 5 and 10% w/w. An increasing YAWP inclusion level linearly increased the maize silage dry matter, crude protein and ash concentrations, whereas it reduced the crude fiber, neutral-detergent fiber and acid-detergent fiber concentrations. The silage pH decreased quadratically with the increasing YAWP level, with the lower plateau noted for the YAWP 5% addition. Concentrations of total bacteria in the silage and Lactobacillus spp. decreased linearly with the YAWP increase. The silage acetic acid content decreased linearly, whereas propionic acid, lactic acid and the ratio of lactic to acetic acid increased linearly with the increasing YAWP level. The ammonia-N content decreased linearly with the increasing YAWP level. In conclusion, the incorporation of the 5 and 10% YAWP addition in silage preparation improved the nutritional and fermentative quality of the produced silage. Full article
(This article belongs to the Special Issue Application of Fermentation Technology in Animal Nutrition)
24 pages, 2323 KB  
Article
Food Production Scheduling: A Thorough Comparative Study between Optimization and Rule-Based Approaches
by Maria E. Samouilidou, Georgios P. Georgiadis and Michael C. Georgiadis
Processes 2023, 11(7), 1950; https://doi.org/10.3390/pr11071950 - 27 Jun 2023
Cited by 2 | Viewed by 5537
Abstract
This work addresses the lot-sizing and production scheduling problem of multi-stage multi-product food industrial facilities. More specifically, the production scheduling problem of the semi-continuous yogurt production process, for two large-scale Greek dairy industries, is considered. Production scheduling decisions are made using two approaches: [...] Read more.
This work addresses the lot-sizing and production scheduling problem of multi-stage multi-product food industrial facilities. More specifically, the production scheduling problem of the semi-continuous yogurt production process, for two large-scale Greek dairy industries, is considered. Production scheduling decisions are made using two approaches: (i) an optimization approach and (ii) a rule-based approach, which are followed by a comparative study. An MILP model is applied for the optimization of short-term production scheduling of the two industries. Then, the same problems are solved using the commercial scheduling tool ScheduleProTM, which derives scheduling decisions using simulation-based techniques and empirical rules. It is concluded that both methods, despite having their advantages and disadvantages, are suitable for addressing complex food industrial scheduling problems. The optimization-based approach leads to better results in terms of operating cost reduction. On the other hand, the complexity of the problem and the experience of production engineers and plant operators can significantly impact the quality of the obtained solutions for the rule-based approach. Full article
Show Figures

Graphical abstract

17 pages, 1077 KB  
Article
Post-Prandial Cognitive and Blood Pressure Effects of a DHA-Rich Omega-3 Powder in Middle-Aged Males: A Pilot Study
by Andrew Pipingas, Jeffery Michael Reddan, Sarah Gauci, Lauren M. Young, Greg Kennedy, Renee Rowsell, Rebecca King, Sam Spiteri, Anne Marie Minihane and Andrew Scholey
Nutrients 2023, 15(9), 2198; https://doi.org/10.3390/nu15092198 - 5 May 2023
Cited by 2 | Viewed by 5418
Abstract
The use of omega-3 polyunsaturated fatty acid (ω-3 PUFA) supplements is increasingly common among middle-aged and older adults. Users of ω-3 PUFA supplements often report using such supplements to support cognitive health, despite mixed findings reported within the ω-3 PUFA literature. To date, [...] Read more.
The use of omega-3 polyunsaturated fatty acid (ω-3 PUFA) supplements is increasingly common among middle-aged and older adults. Users of ω-3 PUFA supplements often report using such supplements to support cognitive health, despite mixed findings reported within the ω-3 PUFA literature. To date, very few studies have explored cognitive effects in distinctly middle-aged (40 to 60 years) adults, and none have examined the acute effects (in the hours following a single dose) on cognitive performance. The current study evaluated whether a single dose of ω-3 PUFA (4020 mg docosahexaenoic acid and 720 mg eicosapentaenoic acid) influences cognitive performance and cardiovascular function in middle-aged males. Cognitive performance and cardiovascular function were assessed before and 3.5–4 h after consumption of a high dose of ω-3 PUFA (DHA + EPA) or placebo, incorporated into a standardized meal (i.e., single serve of Greek yogurt). In this study of middle-aged males, no significant differential treatment effects were observed for cognitive performance. However, a significant reduction in aortic systolic blood pressure (pre-dose to post-dose) was apparent following consumption of the ω-3 PUFA (DHA + EPA) treatment (mean difference = −4.11 mmHg, p = 0.004) but not placebo (mean difference = −1.39 mmHg, p = 0.122). Future replication in a sample comprising females, as well as patients with hypertension, is merited. Full article
(This article belongs to the Special Issue Pathways Linking Nutrition with Cognitive and Mental Health)
Show Figures

Figure 1

15 pages, 1584 KB  
Article
Physicochemical Characteristics, Antioxidant Properties and Consumer Acceptance of Greek Yogurt Fortified with Apple Pomace Syrup
by Jisoo Kim, Moonsook Kim and Ilsook Choi
Foods 2023, 12(9), 1856; https://doi.org/10.3390/foods12091856 - 29 Apr 2023
Cited by 11 | Viewed by 3770
Abstract
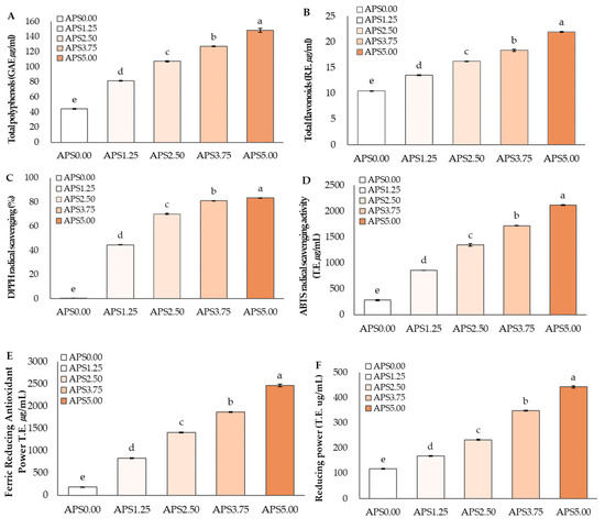
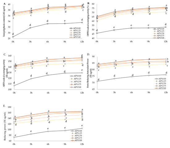
Despite having high polyphenolic phytochemicals and functional components, apple pomace (AP) is often discarded in landfills, leading to pollution. The study aimed to find a sustainable application for AP in Greek yogurt fortified with AP syrup (APS). Physicochemical characteristics and antioxidant properties were [...] Read more.
Despite having high polyphenolic phytochemicals and functional components, apple pomace (AP) is often discarded in landfills, leading to pollution. The study aimed to find a sustainable application for AP in Greek yogurt fortified with AP syrup (APS). Physicochemical characteristics and antioxidant properties were analyzed for APS (APS0.00, APS1.25, APS2.50, APS3.75, APS5.00). As the AP content in the syrup increased, moisture content, titratable acidity, and viscosity significantly increased (p < 0.05). The total polyphenols and flavonoid content of APS increased with increasing AP content. In Greek yogurt fortified with APS (APY), reducing sugar content (0.55 mg/mL to 0.71 mg/mL) significantly increased with fermentation time and AP content, whereas pH level (6.85 to 4.28) decreased. The antioxidant activities by DPPH radical scavenging activity, ABTS radical scavenging activity, ferric reducing antioxidant power, and reducing power were also significantly increased with the AP content and fermentation time. In the consumer acceptance test of APY, APY1.25 had significantly high scores in overall acceptance, taste acceptance, and aftertaste acceptance with purchase intent (p < 0.05). The Greek yogurt fortified with APS as functional food had improved antioxidant properties and consumer acceptance, suggesting the possibility of developing sustainable AP products. Full article
(This article belongs to the Section Food Nutrition)
Show Figures

Figure 1

15 pages, 2772 KB  
Article
Aerobic Cultivation of Mucor Species Enables the Deacidification of Yogurt Acid Whey and the Production of Fungal Oil
by Xingrui Fan, Viviana K. Rivera Flores, Timothy A. DeMarsh, Dana L. deRiancho and Samuel D. Alcaine
Foods 2023, 12(9), 1784; https://doi.org/10.3390/foods12091784 - 25 Apr 2023
Cited by 4 | Viewed by 2844
Abstract
As the Greek-style yogurt market continues to experience prosperous growth, finding the most appropriate destination for yogurt acid whey (YAW) is still a challenge for Greek yogurt manufacturers. This study provides a direct alternative treatment of YAW by leveraging the abilities of Mucor [...] Read more.
As the Greek-style yogurt market continues to experience prosperous growth, finding the most appropriate destination for yogurt acid whey (YAW) is still a challenge for Greek yogurt manufacturers. This study provides a direct alternative treatment of YAW by leveraging the abilities of Mucor circinelloides and Mucor genevensis to raise the pH of YAW and to produce fungal biomass with a high lipid content. Aerobic cultivations of these species were conducted in YAW, both with and without the addition of lactase, at 30 °C, and 200 rpm agitation. The density, pH, biochemical oxygen demand (BOD), biomass production, lipid content, fatty acid profile, and sugar and lactic acid concentrations were regularly measured throughout the 14-day cultivations. The data showed that M. genevensis was superior at deacidifying YAW to a pH above 6.0—the legal limit for disposing of cultured dairy waste. On the other hand, M. circinelloides generated more fungal biomass, containing up to 30% w/w of lipid with high proportions of oleic acid and γ-linolenic acid. Additionally, the treatments with lactase addition showed a significant decrease in the BOD. In conclusion, our results present a viable treatment to increase the pH of YAW and decrease its BOD, meanwhile generating fungal oils that can be further transformed into biodiesel or processed into functional foods or dietary supplements. Full article
Show Figures

Figure 1

13 pages, 986 KB  
Article
Nutritional Quality of Plant-Based Meat and Dairy Imitation Products and Comparison with Animal-Based Counterparts
by Alexandra Katidi, Konstantina Xypolitaki, Antonis Vlassopoulos and Maria Kapsokefalou
Nutrients 2023, 15(2), 401; https://doi.org/10.3390/nu15020401 - 12 Jan 2023
Cited by 40 | Viewed by 9812
Abstract
While consumers are increasingly adopting plant-based meat and dairy imitation products, the nutritional quality and adequacy of those foods to act as a substitute is still under discussion. The Greek Branded Food Composition Database (HelTH) was expanded to map currently available meat and [...] Read more.
While consumers are increasingly adopting plant-based meat and dairy imitation products, the nutritional quality and adequacy of those foods to act as a substitute is still under discussion. The Greek Branded Food Composition Database (HelTH) was expanded to map currently available meat and dairy imitations in Greece. Their main ingredient used, nutritional composition, and promotion as a healthy, nutritious food were described, and their overall nutritional quality using the Nutri-Score algorithm was evaluated. A total of n = 421 plant-based imitations were analyzed, made primarily of wheat or wheat mixes (83.5%) for meat imitations and grain (19.8%) or vegetable oil (17.1%) for dairy imitations. All meat imitations were high in protein and fiber, while, for dairy, only yogurts carried a protein content claim (80.9%). Imitation sausages, milk, and yogurt products had lower total fat and saturated fat content compared to their animal-based counterparts. All dairy imitations had lower protein content than animal-based dairy. The nutritional quality of imitation cheeses was graded as D–E, under the Nutri-Score system, compared to A–C for the animal-based cheese. Plant-based imitations have variable composition based on their main ingredient, and the substitution of specific food groups with plant-based alternatives may not support an equivalent or improved diet. Full article
(This article belongs to the Section Nutrition and Public Health)
Show Figures

Figure 1

19 pages, 338 KB  
Article
The Impact of Brand Awareness and Country of Origin in the Advertising Effectiveness of Greek Food Products in the United Kingdom: The Case of Greek Yogurt
by Dimitrios Karagiannis, Leonidas Hatzithomas, Thomas Fotiadis and Antonios Gasteratos
Foods 2022, 11(24), 4019; https://doi.org/10.3390/foods11244019 - 13 Dec 2022
Cited by 10 | Viewed by 5972
Abstract
The present study aims to investigate the country-of-origin effect and the branding process on the brand equity of Greek yogurt abroad, specifically in the United Kingdom. The research was carried out as a 2 × 2 experiment using a closed-ended questionnaire with the [...] Read more.
The present study aims to investigate the country-of-origin effect and the branding process on the brand equity of Greek yogurt abroad, specifically in the United Kingdom. The research was carried out as a 2 × 2 experiment using a closed-ended questionnaire with the participation of a total of 400 consumers, using two Greek yogurts (branded and non-branded) as the product under study, with or without country-of-origin insignia (viz. the Greek flag) on the packaging. According to the research results, brand equity was found to be higher for the branded Greek yogurt with country-of-origin insignia among the four product categories, as reflected in its three sub-dimensions (brand awareness, loyalty, and perceived quality). It was also found that country of origin influences brand equity regardless of branding, a finding that confirms the significant effect of this factor on consumers’ perceptions. This highlights the distinction between perceived quality and the specific image of the country in terms of its production experience for a specific product category. Based on these findings, Greek yogurt companies exporting abroad should lay great emphasis on developing branding strategies to strengthen their product brand, while at the same time incorporate country of origin as an indicator of the quality of their brand. The latter finding applies in particular to less well-known brands, since geographical indication (insignia) or other strategies that promote the country of origin are perceived as important informational cues for consumers. Full article
(This article belongs to the Section Food Quality and Safety)
Show Figures

Graphical abstract

Back to TopTop