Sign in to use this feature.

Years

Between: -

Subjects

remove_circle_outline
remove_circle_outline
remove_circle_outline
remove_circle_outline
remove_circle_outline
remove_circle_outline
remove_circle_outline

Journals

Article Types

Countries / Regions

Search Results (18)

Search Parameters:
Keywords = Darcy–Forchheimer relation

Order results
Result details
Results per page
Select all
Export citation of selected articles as:
21 pages, 7707 KB  
Article
Combining Glimm’s Scheme and Operator Splitting for Simulating Constrained Flows in Porous Media
by Maria Laura Martins-Costa, Felipe Bastos de Freitas Rachid, Rogério Pazetto S. da Gama and Rogério M. Saldanha da Gama
Axioms 2024, 13(9), 587; https://doi.org/10.3390/axioms13090587 - 29 Aug 2024
Viewed by 1057
Abstract
This paper studies constrained Newtonian fluid flows through porous media, accounting for the drag effect on the fluid, modeled using a Mixture Theory perspective and a constitutive relation for the pressure—namely, a continuous and differentiable function of the saturation that ensures always preserving [...] Read more.
This paper studies constrained Newtonian fluid flows through porous media, accounting for the drag effect on the fluid, modeled using a Mixture Theory perspective and a constitutive relation for the pressure—namely, a continuous and differentiable function of the saturation that ensures always preserving the problem hyperbolicity. The pressure equation also permits an ultra-small porous matrix supersaturation (that is controlled) and the transition from unsaturated to saturated flow (and vice versa). The mathematical model gives rise to a nonlinear, non-homogeneous hyperbolic system. Its numerical simulation combines Glimm’s method with an operator-splitting strategy to account for the Darcy and Forchheimer terms that cause the system’s non-homogeneity. Despite the Glimm method’s proven convergence, it is not adequate to approximate non-homogeneous hyperbolic systems unless combined with an operator-splitting technique. Although other approaches have already addressed this problem, the novelty is combining Glimm’s method with operator-splitting to account for linear and nonlinear drag effects. Glimm’s scheme marches in time using a formerly selected number of associated Riemann problems. The constitutive relation for the pressure—an increasing function of the saturation, with the first derivative also increasing, convex, and positive, enables us to obtain explicit expressions for the Riemann invariants. The results show the influence of the Darcy and Forchheimer drag terms on the flow. Full article
(This article belongs to the Section Mathematical Physics)
Show Figures

Figure 1

17 pages, 421 KB  
Article
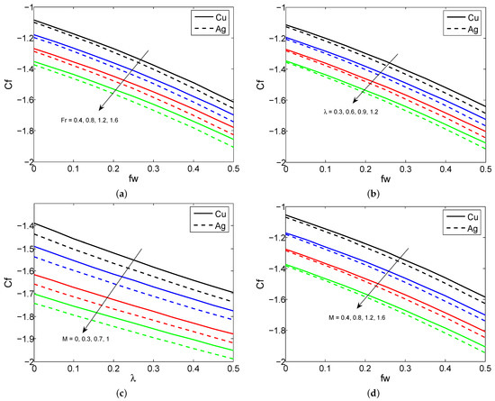
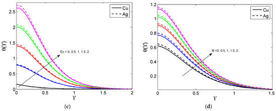
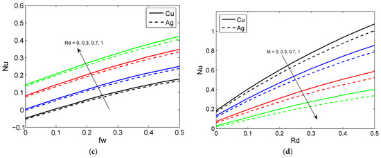
Thermally Radiative Darcy–Forchheimer Flow of Cu/Ag Nanoliquid in Water Past a Heated Stretchy Sheet with Magnetic and Viscous Dissipation Impacts
by S. Divya, Nazek Alessa, S. Eswaramoorthi and Karuppusamy Loganathan
Symmetry 2023, 15(1), 16; https://doi.org/10.3390/sym15010016 - 21 Dec 2022
Cited by 8 | Viewed by 1820
Abstract
This communication predominately discusses the rheological attributes of the Darcy–Forchheimer flow of a nanoliquid over a stretchy sheet with a magnetic impact. The present model considers the two diverse nanoparticles, such as Cu and Ag, and water as a base [...] Read more.
This communication predominately discusses the rheological attributes of the Darcy–Forchheimer flow of a nanoliquid over a stretchy sheet with a magnetic impact. The present model considers the two diverse nanoparticles, such as Cu and Ag, and water as a base liquid. The heat equation accounts for the consequences of thermal radiation and a nonlinear heat sink/source when evaluating heat transmission phenomena. The current mechanical system is represented by higher-order PDEs, which are then remodeled into nonlinear higher-order ODEs that employ appropriate symmetry variables. The current mathematical systems are numerically computed by implementing the bvp4c technique. The characteristic attitudes of the related pertinent factors on the non-dimensional profiles are sketched via the figures, tables, and charts. The analysis predicts that the speed of the nanoliquid particles becomes slower when there is more presence of a magnetic field and injection/suction parameters. The growing amount of radiation is also pointed out, and the Eckert number corresponds to enriching the thermal profile. Full article
Show Figures

Figure 1

20 pages, 5914 KB  
Article
Numerical Computation for Gyrotactic Microorganisms in MHD Radiative Eyring–Powell Nanomaterial Flow by a Static/Moving Wedge with Darcy–Forchheimer Relation
by Muhammad Faizan Ahmed, A. Zaib, Farhan Ali, Omar T. Bafakeeh, El Sayed Mohamed Tag-ElDin, Kamel Guedri, Samia Elattar and Muhammad Ijaz Khan
Micromachines 2022, 13(10), 1768; https://doi.org/10.3390/mi13101768 - 18 Oct 2022
Cited by 127 | Viewed by 3225
Abstract
The intention of this study is to carry out a numerical investigation of time-dependent magneto-hydro-dynamics (MHD) Eyring–Powell liquid by taking a moving/static wedge with Darcy-Forchheimer relation. Thermal radiation was taken into account for upcoming solar radiation, and the idea of bioconvection is also [...] Read more.
The intention of this study is to carry out a numerical investigation of time-dependent magneto-hydro-dynamics (MHD) Eyring–Powell liquid by taking a moving/static wedge with Darcy-Forchheimer relation. Thermal radiation was taken into account for upcoming solar radiation, and the idea of bioconvection is also considered for regulating the unsystematic exertion of floating nanoparticles. The novel idea of this work was to stabilized nanoparticles through the bioconvection phenomena. Brownian motion and thermophoresis effects are combined in the most current revision of the nanofluid model. Fluid viscosity and thermal conductivity that depend on temperature are predominant. The extremely nonlinear system of equations comprising partial differential equations (PDEs) with the boundary conditions are converted into ordinary differential equations (ODEs) through an appropriate suitable approach. The reformed equations are then operated numerically with the use of the well-known Lobatto IIIa formula. The variations of different variables on velocity, concentration, temperature and motile microorganism graphs are discussed as well as force friction, the Nusselt, Sherwood, and the motile density organism numbers. It is observed that Forchheimer number Fr decline the velocity field in the case of static and moving wedge. Furthermore, the motile density profiles are deprecated by higher values of the bio convective Lewis number and Peclet number. Current results have been related to the literature indicated aforementioned and are found to be great achievement. Full article
(This article belongs to the Special Issue Heat and Mass Transfer in Micro/Nanoscale)
Show Figures

Figure 1

17 pages, 2264 KB  
Article
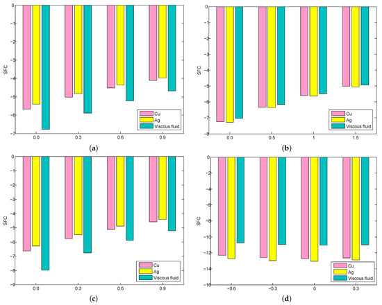
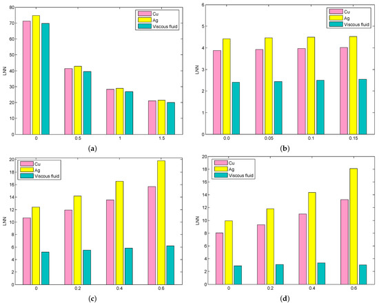
Statistical Modelling for the Darcy–Forchheimer Flow of Casson Cobalt Ferrite-Water/Ethylene Glycol Nanofluid under Nonlinear Radiation
by Anum Shafiq, Showkat A. Lone, Tabassum Naz Sindhu and Kamsing Nonlaopon
Symmetry 2022, 14(8), 1717; https://doi.org/10.3390/sym14081717 - 17 Aug 2022
Cited by 11 | Viewed by 1751
Abstract
Current research is focused on the utilization of a numerical solution of Casson cobalt ferrite nanofluid flow by taking two forms of base fluid. This investigation includes the gradual influence of nonlinear thermal radiation on the improvement of heat transfer related to the [...] Read more.
Current research is focused on the utilization of a numerical solution of Casson cobalt ferrite nanofluid flow by taking two forms of base fluid. This investigation includes the gradual influence of nonlinear thermal radiation on the improvement of heat transfer related to the flow of nanofluids over a stretched rotating surface by the Darcy–Forchheimer law. The model constructed by a Casson nanoliquid in the boundary layer’s flow is studied for its symmetric behaviour, including cobalt ferrite nanomaterials. Two base liquids named as ethylene glycol and water are considered. The rate of heat transport is examined by considering Newtonian heating conditions. By utilizing similarity transformations, a partial differential system that governs the said model has been transformed into a highly nonlinear ordinary differential system, and numerical outcomes are obtained by implementing the RK4 via shooting methodologies. All obtained results, including local skin friction coefficients and local Nusselt number, are defined and discussed in the paper. The study’s findings ensure that the Casson cobalt ferrite nanofluid flowing towards a stretching plate has a unique solution: A variation of the solid volume fraction corresponds to the decrease in various values of the Casson nanofluid parameter for both type of nanofluid. Furthermore, a similar behaviour is noted for various values of the solid volume fraction, which corresponds to various values of the inertia coefficient parameter. Moreover, for the highest values of the solid volume fraction and all values of R1 and Ni taken into account, the rate of heat transfer upsurges. The data from the local skin friction coefficient (LSFC) and local Nusselt number (LNN) have been analysed using various statistical distributions, and it has been determined that both datasets generally fit the exponentiated Weibull distribution for various values of considered parameters. The findings would serve as a starting point for the manufacture of devices. Full article
(This article belongs to the Special Issue Symmetry of Nanofluids and Their Applications in Engineering)
Show Figures

Figure 1

28 pages, 11408 KB  
Article
Darcy–Forchheimer Relation Influence on MHD Dissipative Third-Grade Fluid Flow and Heat Transfer in Porous Medium with Joule Heating Effects: A Numerical Approach
by Amir Abbas, Mdi Begum Jeelani and Nadiyah Hussain Alharthi
Processes 2022, 10(5), 906; https://doi.org/10.3390/pr10050906 - 4 May 2022
Cited by 41 | Viewed by 3161
Abstract
The current investigations are carried out to study the influence of the Darcy–Forchheimer relation on third-grade fluid flow and heat transfer over an angled exponentially stretching sheet embedded in a porous medium. In the current study, the applied magnetic field, Joule heating, thermaldiffusion, [...] Read more.
The current investigations are carried out to study the influence of the Darcy–Forchheimer relation on third-grade fluid flow and heat transfer over an angled exponentially stretching sheet embedded in a porous medium. In the current study, the applied magnetic field, Joule heating, thermaldiffusion, viscous dissipation, and diffusion-thermo effects are incorporated. The proposed model in terms of partial differential equations is transformed into ordinary differential equations using suitable similarity transformation. The reduced model is then solved numerically with the help of MATLAB built-in function bvp4c.The numerical solutions for velocity profile, temperature profile, and mass concentration under the effects of pertinent parameters involved in the model are determined and portrayed in graphical form. The graphical effects of the skin friction coefficient, the Nusselt number, and the Sherwood number are also shown. From the displayed results, we conclude that when the Joule heating parameter is enlarged, the velocity and the temperature of the fluid are increased. We observed that while enhancing the viscous dissipation parameter (Eckert number) the fluid’s velocity and temperature increase but decreases the mass concentration. By increasing the values of the thermal-diffusion parameter, the velocity distribution, the temperature field, and the mass concentration increase. When the diffusion–thermo parameter rises, the velocity field and the temperature distribution increase, and the reverse scenario is seen in the mass concentration. The results of the current study are compared with already published results, and a good agreement is noted to validate the current study. Full article
(This article belongs to the Special Issue Advances in CFD Analysis of Convective Heat Transfer)
Show Figures

Figure 1

18 pages, 17420 KB  
Article
Prediction of Heat Transfer and Fluid Flow Effects on Entropy Generation in a Monolithic Catalytic Converter Using Large-Eddy Simulation
by Yongxiang Li, Luis Felipe Rico Cortes, Hardy Hamel, Kaushal Nishad, Luigi Biondo and Florian Ries
Entropy 2022, 24(5), 602; https://doi.org/10.3390/e24050602 - 26 Apr 2022
Cited by 3 | Viewed by 3020
Abstract
In the present work, heat transfer and fluid flow and their effects on entropy generation in a realistic catalytic converter of a Lada Niva 21214 vehicle are studied using large eddy simulation. At first, the pressure drop over the catalytic converter is measured [...] Read more.
In the present work, heat transfer and fluid flow and their effects on entropy generation in a realistic catalytic converter of a Lada Niva 21214 vehicle are studied using large eddy simulation. At first, the pressure drop over the catalytic converter is measured for dry air at constant temperature (T=298 K), different volumetric flow rates, and extrapolated to large volumetric flow rates for dry air (T=298 K) and for the exhaust gas under realistic engine conditions (T=900 K) using the Darcy–Forchheimer relation. Then, coupled heat and fluid flow phenomena inside the catalytic converter are analyzed for nonreacting isothermal conditions and nonreacting conditions with conjugate heat transfer by using the large-eddy simulation. The predicted pressure drop agrees well with the measured and extrapolated data. Based on the obtained numerical results, the characteristic flow features are identified, namely: the impinging flow with stagnation, recirculation, flow separation and laminarization within the fine ducts of the monolith, which depends on the heat transfer through temperature-dependent thermophysical properties of exhaust gas. Moreover, due to high-velocity gradients at the wall of the narrow ducts in the monolith, entropy production by viscous dissipation is observed predominantly in the monolith region. In contrast, entropy production due to heat transport is relatively small in the monolith region, while it overwhelms viscous dissipation effects in the pipe regions. Full article
(This article belongs to the Special Issue Entropy Generation Analysis in Near-Wall Turbulent Flow)
Show Figures

Figure 1

21 pages, 4391 KB  
Article
Convective Heat and Mass Transfer in Third-Grade Fluid with Darcy–Forchheimer Relation in the Presence of Thermal-Diffusion and Diffusion-Thermo Effects over an Exponentially Inclined Stretching Sheet Surrounded by a Porous Medium: A CFD Study
by Amir Abbas, Ramsha Shafqat, Mdi Begum Jeelani and Nadiyah Hussain Alharthi
Processes 2022, 10(4), 776; https://doi.org/10.3390/pr10040776 - 15 Apr 2022
Cited by 39 | Viewed by 3475
Abstract
The current study aims to investigate the thermal-diffusion and diffusion-thermo effects on heat and mass transfer in third-grade fluid with Darcy–Forchheimer relation impact over an exponentially inclined stretching sheet embedded in a porous medium. The proposed mechanism in terms non-linear and coupled partial [...] Read more.
The current study aims to investigate the thermal-diffusion and diffusion-thermo effects on heat and mass transfer in third-grade fluid with Darcy–Forchheimer relation impact over an exponentially inclined stretching sheet embedded in a porous medium. The proposed mechanism in terms non-linear and coupled partial differential equations is reduced to set of ordinary differential equations by employing an appropriate similarity variable formulation. The reduced form of equations is solved by using the MATLAB built-in numerical solver bvp4c. The numerical results for unknown physical properties such as velocity profile, temperature field, and mass concentration along with their gradients such as the skin friction, the rate of heat transfer, and the rate of mass transfer at angle of inclination α=π/6 are obtained under the impact of material parameters that appear in the flow model. The solutions are displayed in forms of graphs as well as tables and are discussed with physical reasoning. From the demonstration of the graphical results, it is inferred that thermal-diffusion parameter Sr velocity, temperature, and concentration profiles are augmented. For the increasing magnitude of the diffusion-thermo parameter Df the fluid velocity and fluid temperature rise but the opposite trend in mass concentration is noted. The current results are compared with the available results in the existing literature, and there is good agreement between them that shows the validation of the present study. Full article
(This article belongs to the Special Issue Advances in CFD Analysis of Convective Heat Transfer)
Show Figures

Figure 1

24 pages, 9915 KB  
Article
Significance of Chemical Reaction and Lorentz Force on Third-Grade Fluid Flow and Heat Transfer with Darcy–Forchheimer Law over an Inclined Exponentially Stretching Sheet Embedded in a Porous Medium
by Amir Abbas, Ramsha Shafqat, Mdi Begum Jeelani and Nadiyah Hussain Alharthi
Symmetry 2022, 14(4), 779; https://doi.org/10.3390/sym14040779 - 8 Apr 2022
Cited by 42 | Viewed by 3287
Abstract
The combined impact of a linear chemical reaction and Lorentz force on heat and mass transfer in a third-grade fluid with the Darcy–Forchheimer relation over an inclined, exponentially stretching surface embedded in a porous medium is investigated. The proposed process is mathematically expressed [...] Read more.
The combined impact of a linear chemical reaction and Lorentz force on heat and mass transfer in a third-grade fluid with the Darcy–Forchheimer relation over an inclined, exponentially stretching surface embedded in a porous medium is investigated. The proposed process is mathematically expressed in terms of nonlinear and coupled partial differential equations, with the symmetry of the conditions normal to the surface. To solve the mathematical model of the proposed phenomenon, the partial differential equations are first reduced to ordinary differential equations; then, MATLAB built-in Numerical Solver bvp4c is used to obtain the numerical results of these equations. The influence of all the pertinent parameters that appeared in the flow model on the unknown material properties of interest is depicted in the forms of tables and graphs. The physical attitude of the unknown variables is discussed with physical reasoning. From the numerical solutions, it is inferred that, as Lorentz force parameter M is increased, the velocity of the fluid decreases, but fluid temperature and mass concentration increase. This is due to the fact that Lorentz force retards the motion of fluid, and the increasing resistive force causes the rise in the temperature of the fluid. It is also noted that, owing to an increase in the magnitude of chemical reaction parameter R, the velocity profile and the mass concentration decline as well, but the fluid temperature increases in a reasonable manner. It is noted that, by augmenting the values of the local inertial coefficient Fr and the permeability parameter K*, the velocity field decreases, the temperature field increases, and mass concentration also increases with reasonable difference. Increasing values of Prandtl number Pr results in a decrease in the profiles of velocity and temperature. All the numerical results are computed at the angle of inclination α=π/6. The current results are compared with the available results in the existing literature for this special case, and there is good agreement between them that shows the validation of the present study. All the numerical results show asymptotic behavior by satisfying the given boundary conditions. Full article
(This article belongs to the Special Issue Symmetry in CFD: Convection, Diffusion and Dynamics)
Show Figures

Figure 1

20 pages, 3997 KB  
Article
Discrimination between Pore and Throat Resistances against Single-Phase Flow in Porous Media
by Hadi Adloo, Saeed Foshat, Behzad Vaferi, Falah Alobaid and Babak Aghel
Water 2022, 14(7), 1064; https://doi.org/10.3390/w14071064 - 28 Mar 2022
Viewed by 2921
Abstract
This study investigates the critical agents that cause non-Darrian flow in porous media. Four porous media different in morphology but similar in topology were studied numerically. By varying the throat diameters, the distinct roles of pores and throats in total dissipation were investigated [...] Read more.
This study investigates the critical agents that cause non-Darrian flow in porous media. Four porous media different in morphology but similar in topology were studied numerically. By varying the throat diameters, the distinct roles of pores and throats in total dissipation were investigated using direct numerical simulation. Forchheimer model was selected to analyze the non-Darcian flow. In our simplified geometry, the ratio KappKD can best be correlated by non-Darcy effect (E). Total dissipation is directly related to the porous medium resistance against fluid flow. The energy dissipated in pores and throats was calculated by summing the dissipation in each computational segment. Pores are more prone to disobey the Darcy model than throats due to irregularity in fluid flow, and they are introduced as the cause of Darcy-model cessation. By increasing the pore-to-throat ratio, the non-Darcian flow in the pores begins sooner. The results show that the energy dissipation due to eddies is negligible. The dissipation in pores and throats was simulated through separate power-law equations, and their exponents were also extracted. The exponent for the pore body is equal to two when the viscous forces are dominant, and it increases by increasing the inertia force. The dissipation due to pore bodies is more apparent when the size of pore and throats are of the same order of magnitude. The relative losses of pore body increase as the velocity increases, in contrast to throats. Full article
(This article belongs to the Special Issue Numerical Modelling of Single and Multi-Phase Flow)
Show Figures

Figure 1

13 pages, 495 KB  
Article
Nonlinear Stability and Linear Instability of Double-Diffusive Convection in a Rotating with LTNE Effects and Symmetric Properties: Brinkmann-Forchheimer Model
by Ghazi Abed Meften, Ali Hasan Ali, Khalil S. Al-Ghafri, Jan Awrejcewicz and Omar Bazighifan
Symmetry 2022, 14(3), 565; https://doi.org/10.3390/sym14030565 - 13 Mar 2022
Cited by 24 | Viewed by 3309
Abstract
The major finding of this paper is studying the stability of a double diffusive convection using the so-called local thermal non-equilibrium (LTNE) effects. A new combined model that we call it a Brinkmann-Forchheimer model was considered in this inquiry. Using both linear and [...] Read more.
The major finding of this paper is studying the stability of a double diffusive convection using the so-called local thermal non-equilibrium (LTNE) effects. A new combined model that we call it a Brinkmann-Forchheimer model was considered in this inquiry. Using both linear and non-linear stability analysis, a double diffusive convection is used in a saturated rotating porous layer when fluid and solid phases are not in the state of local thermal non-equilibrium. In addition, we discussed several related topics such as the effect of solute Rayleigh number, symmetric properties, Brinkman coefficient, Taylor number, inter-phase heat transfer coefficient on the stability of the system, and porosity modified conductivity ratio. Moreover, two cases were investigated in non-linear theory, the case of the Forchheimer coefficient F=0 and the case of the Taylor-Darcy number τ=0. For the validation of this work, some numerical experiments were made in the non-linear energy stability and the linear instability theories. Full article
Show Figures

Figure 1

15 pages, 691 KB  
Article
The Role of Buoyancy Induced Instability in Transpirational Cooling Applications
by C. Taber Wanstall and Phillip R. Johnson
Appl. Sci. 2021, 11(24), 11766; https://doi.org/10.3390/app112411766 - 10 Dec 2021
Cited by 1 | Viewed by 2263
Abstract
Transpirational cooling is an effective thermal protection method in hypersonic vehicles. In order to properly manage the high heat load, an understanding of the convective flow regimes as well as the thermophysical properties of the working fluid are required. Often, the vehicle’s fuel [...] Read more.
Transpirational cooling is an effective thermal protection method in hypersonic vehicles. In order to properly manage the high heat load, an understanding of the convective flow regimes as well as the thermophysical properties of the working fluid are required. Often, the vehicle’s fuel is re-purposed as the coolant or working fluid that is passed through the porous media. If the geometry is such that the coolant is heated from below, buoyancy-induced instability can ensue resulting in a mixed convection phenomena. Transpirational cooling applications require a unique analysis which combines a Darcy–Forchheimer relationship for the momentum relation, a flowing base state which introduces non-negligible convective terms for the energy equation, and a novel consideration of a cubic density dependence on temperature. This latter feature is justified by fitting thermodynamic data for typical transpirational cooling conditions. A base state solution is provided and the onset of instability is investigated using linear stability analysis. The governing equations are solved utilizing multiple methods, comparing results from a combination of analytical solutions, finite difference, power series, and Chebyshev methods. Results demonstrate excellent consistency in predictions across these methods and indicate that including non-linear density effects promote a stabilizing effect. Finally, the effect of varying the net through-flow in the porous media is investigated. Full article
(This article belongs to the Special Issue Convective Heat and Mass Transfer in Porous Media)
Show Figures

Figure 1

26 pages, 7635 KB  
Article
Cu and Cu-SWCNT Nanoparticles’ Suspension in Pulsatile Casson Fluid Flow via Darcy–Forchheimer Porous Channel with Compliant Walls: A Prospective Model for Blood Flow in Stenosed Arteries
by Amjad Ali, Zainab Bukhari, Muhammad Umar, Muhammad Ali Ismail and Zaheer Abbas
Int. J. Mol. Sci. 2021, 22(12), 6494; https://doi.org/10.3390/ijms22126494 - 17 Jun 2021
Cited by 13 | Viewed by 3030
Abstract
The use of experimental relations to approximate the efficient thermophysical properties of a nanofluid (NF) with Cu nanoparticles (NPs) and hybrid nanofluid (HNF) with Cu-SWCNT NPs and subsequently model the two-dimensional pulsatile Casson fluid flow under the impact of the magnetic field and [...] Read more.
The use of experimental relations to approximate the efficient thermophysical properties of a nanofluid (NF) with Cu nanoparticles (NPs) and hybrid nanofluid (HNF) with Cu-SWCNT NPs and subsequently model the two-dimensional pulsatile Casson fluid flow under the impact of the magnetic field and thermal radiation is a novelty of the current study. Heat and mass transfer analysis of the pulsatile flow of non-Newtonian Casson HNF via a Darcy–Forchheimer porous channel with compliant walls is presented. Such a problem offers a prospective model to study the blood flow via stenosed arteries. A finite-difference flow solver is used to numerically solve the system obtained using the vorticity stream function formulation on the time-dependent governing equations. The behavior of Cu-based NF and Cu-SWCNT-based HNF on the wall shear stress (WSS), velocity, temperature, and concentration profiles are analyzed graphically. The influence of the Casson parameter, radiation parameter, Hartmann number, Darcy number, Soret number, Reynolds number, Strouhal number, and Peclet number on the flow profiles are analyzed. Furthermore, the influence of the flow parameters on the non-dimensional numbers such as the skin friction coefficient, Nusselt number, and Sherwood number is also discussed. These quantities escalate as the Reynolds number is enhanced and reduce by escalating the porosity parameter. The Peclet number shows a high impact on the microorganism’s density in a blood NF. The HNF has been shown to have superior thermal properties to the traditional one. These results could help in devising hydraulic treatments for blood flow in highly stenosed arteries, biomechanical system design, and industrial plants in which flow pulsation is essential. Full article
(This article belongs to the Special Issue Multifunctional Nanomaterials: Synthesis, Properties and Applications)
Show Figures

Figure 1

19 pages, 3224 KB  
Article
Numerical Scrutinization of Darcy-Forchheimer Relation in Convective Magnetohydrodynamic Nanofluid Flow Bounded by Nonlinear Stretching Surface in the Perspective of Heat and Mass Transfer
by Ghulam Rasool, Anum Shafiq, Marei S. Alqarni, Abderrahim Wakif, Ilyas Khan and Muhammad Shoaib Bhutta
Micromachines 2021, 12(4), 374; https://doi.org/10.3390/mi12040374 - 1 Apr 2021
Cited by 85 | Viewed by 3640
Abstract
The aim of this research is mainly concerned with the numerical examination of Darcy-Forchheimer relation in convective magnetohydrodynamic nanofluid flow bounded by non-linear stretching sheet. A visco-elastic and strictly incompressible liquid saturates the designated porous medium under the direct influence of the Darcy-Forchheimer [...] Read more.
The aim of this research is mainly concerned with the numerical examination of Darcy-Forchheimer relation in convective magnetohydrodynamic nanofluid flow bounded by non-linear stretching sheet. A visco-elastic and strictly incompressible liquid saturates the designated porous medium under the direct influence of the Darcy-Forchheimer model and convective boundary. The magnetic effect is taken uniformly normal to the flow direction. However, the model is bounded to a tiny magnetic Reynolds number for practical applications. Boundary layer formulations are taken into consideration. The so-formulated leading problems are converted into highly nonlinear ordinary problems using effectively modified transformations. The numerical scheme is applied to solve the governing problems. The outcomes stipulate that thermal layer receives significant modification in the incremental direction for augmented values of thermal radiation parameter Rd. Elevation in thermal Biot number γ1 apparently results a significant rise in thermal layer and associated boundary layer thickness. The solute Biot number is found to be an enhancing factor the concentration profile. Besides the three main profiles, the contour and density graphs are sketched for both the linear and non-linear cases. Furthermore, skin friction jumps for larger porosity and larger Forchheimer number. Both the heat and mass flux numbers receive a reduction for augmented values of the Forchheimer number. Heat flux enhances, while mass flux reduces, the strong effect of thermal Biot number. The considered problem could be helpful in any several industrial and engineering procedures, such as rolling, polymeric extrusion, continuously stretching done in plastic thin films, crystal growth, fiber production, and metallic extrusion, etc. Full article
(This article belongs to the Special Issue Advances in Heat and Mass Transfer in Micro/Nano Systems)
Show Figures

Figure 1

17 pages, 9703 KB  
Article
Experimental Assessment of the Flow Resistance of Coastal Wooden Fences
by Hoang Tung Dao, Bas Hofland, Marcel J. F. Stive and Tri Mai
Water 2020, 12(7), 1910; https://doi.org/10.3390/w12071910 - 4 Jul 2020
Cited by 14 | Viewed by 5348
Abstract
Wooden fences are applied as a nature-based solution to support mangrove restoration along mangrove coasts in general and the Mekong Delta coast in particular. The simple structure uses vertical bamboo poles as a frame to store horizontal bamboo and tree branches (brushwood). Fence [...] Read more.
Wooden fences are applied as a nature-based solution to support mangrove restoration along mangrove coasts in general and the Mekong Delta coast in particular. The simple structure uses vertical bamboo poles as a frame to store horizontal bamboo and tree branches (brushwood). Fence resistance is quantitatively determined by the drag coefficient exerted by the fence material on the flow; however, the behaviour of drag is predictable only when the arrangement of the cylinders is homogeneous. Therefore, for more arbitrary arrangements, the Darcy–Forchheimer equations need to be considered. In this study, the law of fluid flow was applied by forcing a constant flow of water through the fence material and measuring the loss of hydraulic pressure over a fence thickness. Fences, mainly using bamboo sticks, were installed with model-scale and full-scale diameters applying two main arrangements, inhomogeneous and staggered. Our empirical findings led to several conclusions. The bulk drag coefficient ( C D ¯ ) is influenced by the flow regime represented by Reynolds number. The drag coefficient decreases with the increase of the porosity, which strongly depends on fence arrangements. Finally, the Forchheimer coefficients can be linked to the drag coefficient through a related porosity parameter at high turbulent conditions. The staggered arrangement is well-predicted by the Ergun-relations for the Darcy–Forchheimer coefficients when an inhomogeneous arrangement with equal porosity and diameter leads to a large drag and flow resistance. Full article
(This article belongs to the Special Issue Nature-Based Solutions for Coastal Engineering and Management)
Show Figures

Figure 1

14 pages, 3923 KB  
Article
Numerical Simulation of Darcy–Forchheimer 3D Unsteady Nanofluid Flow Comprising Carbon Nanotubes with Cattaneo–Christov Heat Flux and Velocity and Thermal Slip Conditions
by Jamshaid ul Rahman, Umair Khan, Shafiq Ahmad, Muhammad Ramzan, Muhammad Suleman, Dianchen Lu and Saba Inam
Processes 2019, 7(10), 687; https://doi.org/10.3390/pr7100687 - 2 Oct 2019
Cited by 38 | Viewed by 3565
Abstract
A mathematical model comprising Darcy Forchheimer effects on the 3D nanofluid flow with engine oil as a base fluid containing suspended carbon nanotubes (CNTs) is envisioned. The CNTs are of both types i.e., multi-wall carbon nanotubes (MWCNTs) and single-walled carbon nanotubes (SWCNTs). The [...] Read more.
A mathematical model comprising Darcy Forchheimer effects on the 3D nanofluid flow with engine oil as a base fluid containing suspended carbon nanotubes (CNTs) is envisioned. The CNTs are of both types i.e., multi-wall carbon nanotubes (MWCNTs) and single-walled carbon nanotubes (SWCNTs). The flow is initiated by an exponentially stretched surface. The impacts of Cattaneo–Christov heat flux along with velocity and thermal slip conditions are key factors in the novelty of the defined model. The boundary layer notion is designed to convert the compact form of equations into the component shape. Appropriate transformations lead to differential equations with high nonlinearity. The final non-dimensional system is solved numerically by a “MATLAB” function known as bvp4c. For both CNTs, different graphical sketches are drawn to present the influence of arising parameters versus related profiles. The outcomes show that higher slip parameter boosts the axial velocity, whereas fluid temperature lowers for a sturdier relaxation parameter. Full article
(This article belongs to the Special Issue Fluid Flow and Heat Transfer of Nanofluids)
Show Figures

Figure 1

Back to TopTop