Nonlinear Stability and Linear Instability of Double-Diffusive Convection in a Rotating with LTNE Effects and Symmetric Properties: Brinkmann-Forchheimer Model
Abstract
:1. Introduction
2. Basic Equations
3. Linear Instability
4. Nonlinear Energy Stability Theory
4.1. Nonlinear Stability Analysis with Forchheimer Coefficient
4.2. Nonlinear Stability Analysis with Taylor-Darcy Number
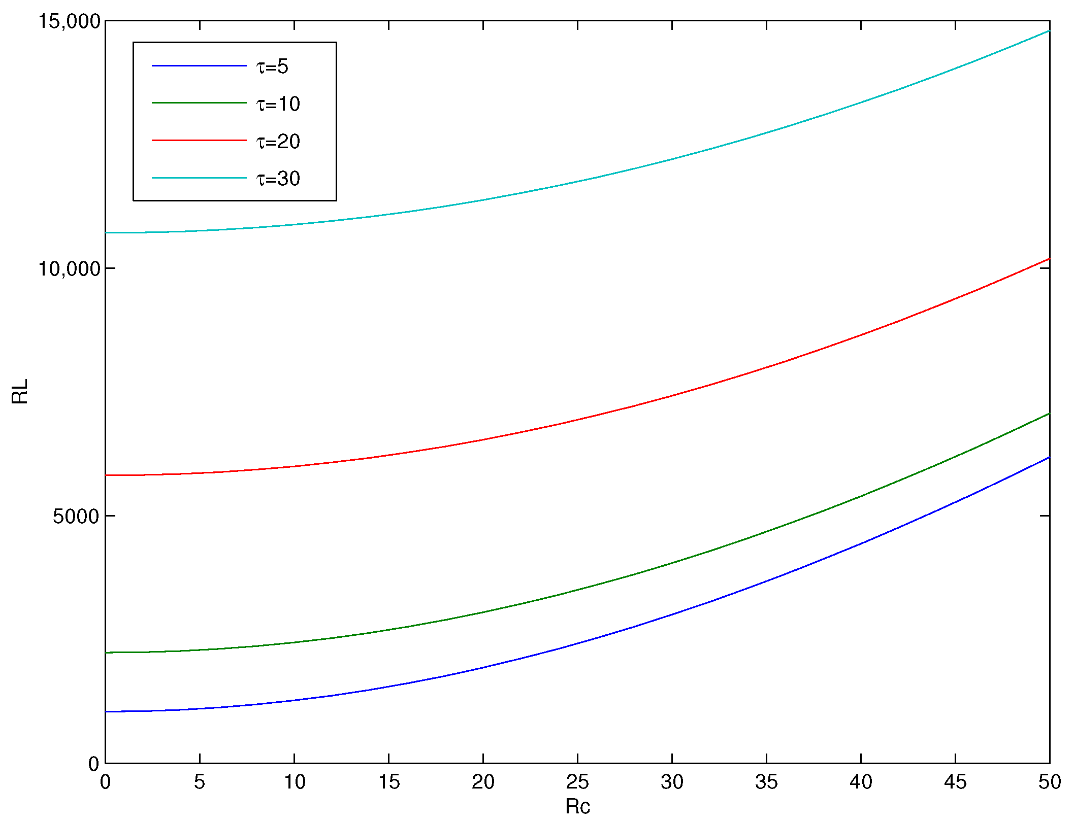
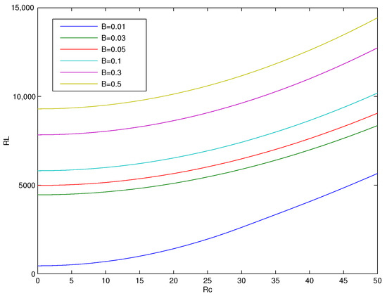
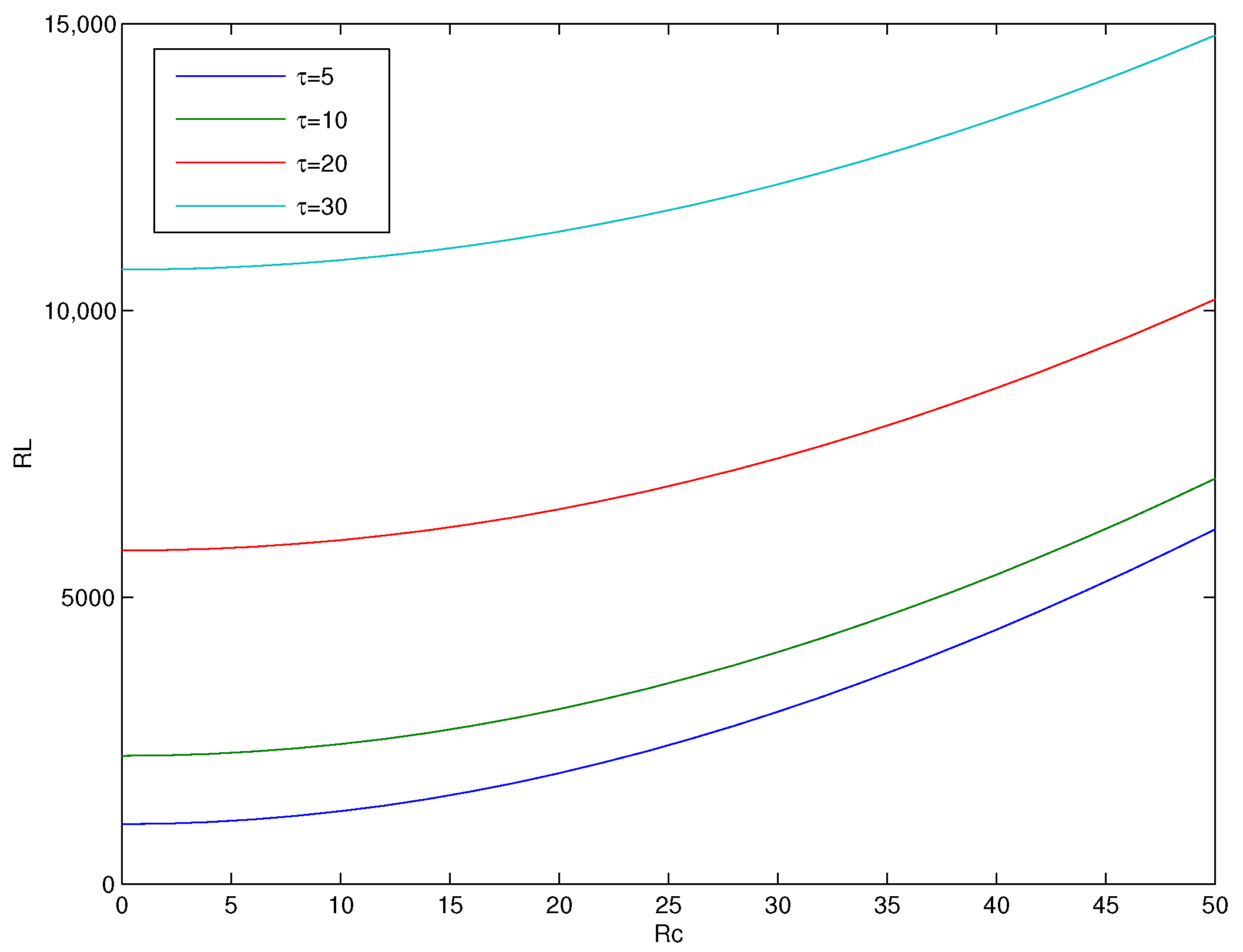
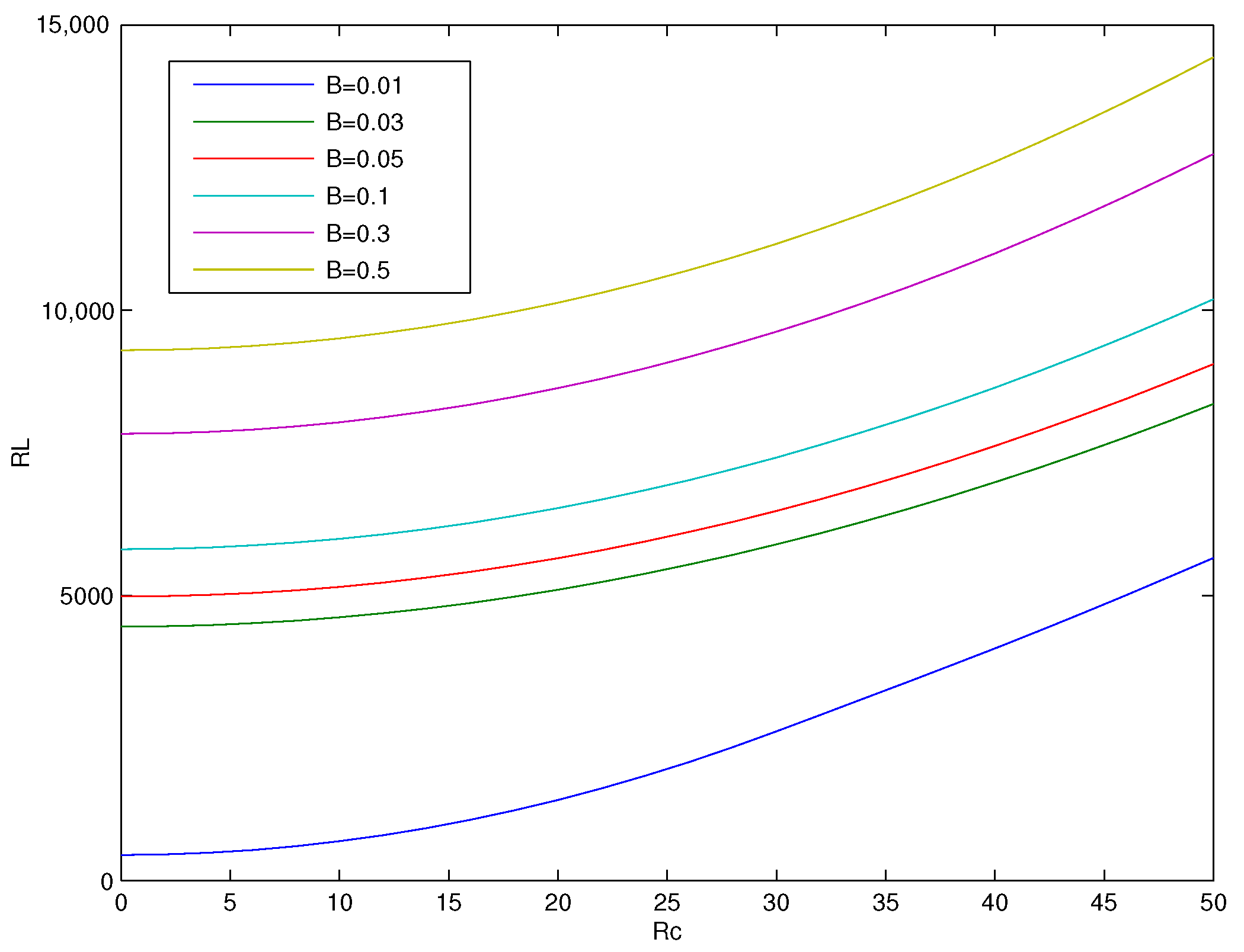
5. Discussion of Results
6. Conclusions and Future Direction
Author Contributions
Funding
Institutional Review Board Statement
Informed Consent Statement
Data Availability Statement
Conflicts of Interest
References
- Nield, D.A. Onset of thermohaline convection in a porous medium. Water Resour. Res. 1968, 4, 553–560. [Google Scholar] [CrossRef]
- Rudraiah, N.; Malashetty, M.S. The influence of coupled molecular diffusion on the double diffusive convection in a porous medium. ASME J. Heat Transf. 1986, 108, 872–876. [Google Scholar] [CrossRef]
- Rudraiah, N.; Shivakumara, I.S.; Friedrich, R. The effect of rotation on linear and nonlinear double diffusive convection in a sparsely packed porous medium. Int. J. Heat Mass Transf. 1986, 29, 1301–1317. [Google Scholar] [CrossRef] [Green Version]
- Joseph, D.D. Global stability of the conduction-diffusion solution. Arch. Rational Mech. Anal. 1970, 36, 285–292. [Google Scholar] [CrossRef]
- Mulone, G. On the nonlinear stability of a fluid layer of a mixture heated and salted from below. Contin. Mech. Thermodyn. 1994, 6, 161–184. [Google Scholar] [CrossRef]
- Straughan, B. The Energy Method, Stability and Nonlinear Convection, 2nd ed.; Springer: New York, NY, USA, 2004; Volume 91. [Google Scholar]
- Straughan, B. Stability and Wave Motion in Porous Media; Applied Mathematical Sciences; Springer: New York, NY, USA, 2008; Volume 165. [Google Scholar]
- Nield, D.A.; Bejan, A. Convection in Porous Media, 3rd ed.; Springer: Berlin/Heidelberg, Germany, 2006. [Google Scholar]
- Mojtabi, A.; Charrier-Mojtabi, M.C. Double-diffusive convection in porous media. In Handbook of Porous Media; Vafai, K., Ed.; Marcel Dekker: New York, NY, USA, 2000; pp. 559–603. [Google Scholar]
- Mojtabi, A.; Charrier-Mojtabi, M.C. Double-diffusive convection in porous media. In Handbook of Porous Media, 2nd ed.; Vafai, K., Ed.; Taylor and Francis: New York, NY, USA, 2005; pp. 269–320. [Google Scholar]
- Mamou, M. Stability analysis of double-diffusive convection in porous enclosures. In Transport Phenomena in Porous Media II; Ingham, D.B., Pop, I., Eds.; Elsevier: Oxford, UK, 2002; pp. 113–154. [Google Scholar]
- Chakrabarti, A.; Gupta, A.S. Nonlinear thermohaline convection in a rotating porous medium. Mech. Res. Commun. 1981, 8, 9–15. [Google Scholar] [CrossRef]
- Straughan, B. Global non-linear stability in porous convection with a thermal non-equilibrium model. Proc. R. Soc. Lond. A 2006, 462, 409–418. [Google Scholar]
- Rudraiah, N.; Srimani, P.K.; Friedrich, R. Finite amplitude convection in a two component fluid saturated porous layer. Heat Mass Transf. 1982, 25, 715–722. [Google Scholar] [CrossRef]
- Poulikakos, D. Double diffusive convection in a horizontally sparsely packed porous layer. Int. Commun. Heat Mass Transf. 1986, 13, 587–598. [Google Scholar] [CrossRef]
- Galdi, G.P.; Payne, L.E.; Proctor, M.R.E.; Straughan, B. Convection in thawing subsea permafrost. Proc. R. Soc. Lond. A 1987, 414, 83–102. [Google Scholar]
- Hutter, K.; Straughan, B. Penetrative convection in thawing subsea permafrost. Continuum Mech. Thermodyn. 1997, 9, 259–272. [Google Scholar] [CrossRef]
- Hutter, K.; Straughan, B. Models for convection in thawing porous media in support for the subsea permafrost equations. J. Geophys. Res. 1999, 104, 29249–29260. [Google Scholar] [CrossRef]
- Payne, L.E.; Song, J.C.; Straughan, B. Double diffusive porous penetrative convection. Int. J. Eng. Sci. 1988, 26, 797–809. [Google Scholar] [CrossRef]
- Patil, P.R.; Parvathy, C.P.; Venkatakrishnan, K.S. Thermohaline instability in a rotating anisotropic porous medium. Appl. Sci. Res. 1989, 46, 73–88. [Google Scholar] [CrossRef]
- Amahmid, A.; Hasnaoui, M.; Mamou, M.; Vasseur, P. Double-diffusive parallel flowinduced in a horizontal Brinkman porous layer subjected to constant heat and mass fluxes: Analytical and numerical studies. Heat Mass Transf. 1999, 35, 409–421. [Google Scholar] [CrossRef]
- Harfash, A.J.; Meften, G.A. Couple stresses effect on instability and nonlinear stability in a double diffusive convection. Appl. Math. Comput. 2019, 341, 301–320. [Google Scholar] [CrossRef]
- Harfash, A.J.; Meften, G.A. Nonlinear stability analysis for double-diffusive convection when the viscosity depends on temperature. Phys. Scr. 2020, 95, 085203. [Google Scholar] [CrossRef]
- Meften, G.A. Conditional and unconditional stability for double diffusive convection when the viscosity has a maximum. Appl. Math. Comput. 2021, 392, 125694. [Google Scholar] [CrossRef]
- Bahloul, A.; Boutana, N.; Vasseur, P. Double diffusive and Soret-induced convection in a shallow horizontal porous layer. J. Fluid Mech. 2003, 491, 325–352. [Google Scholar] [CrossRef]
- Hill, A.A. Double-diffusive convection in a porous medium with a concentration based internal heat source. Proc. R. Soc. Lond. A 2005, 461, 561–574. [Google Scholar] [CrossRef]
- Malashetty, M.S.; Pop, I.; Heera, R. Linear and nonlinear double diffusive convection in a rotating sparsely packed porous layer using a thermal nonequilibrium model. Contin. Mech. Thermodyn. 2009, 21, 317–339. [Google Scholar] [CrossRef]
- Malashetty, M.S. Anisotropic thermo convective effects on the onset of double diffusive convection in a porous medium. Int. J. Heat Mass Transf. 1993, 36, 2397–2401. [Google Scholar] [CrossRef]
- Mamou, M.; Vasseur, P. Thermosolutal bifurcation phenomena in porous enclosures subject to vertical temperature and concentration gradients. J. Fluid Mech. 1999, 395, 61–87. [Google Scholar] [CrossRef]
- Mamou, M.; Vasseur, P.; Hasnaoui, M. On numerical stability analysis of double diffusive convection in confined enclosures. J. Fluid Mech. 2001, 433, 209–250. [Google Scholar] [CrossRef]
- Murray, B.T.; Chen, C.F. Double diffusive convection in a porous medium. J. Fluid Mech. 1989, 201, 147–166. [Google Scholar] [CrossRef]
- Straughan, B.; Hutter, K. A priori bounds and structural stability for double diffusive convection incorporating the Soret effect. Proc. R. Soc. Lond. A 1999, 455, 767–777. [Google Scholar] [CrossRef]
- Taslim, M.E.; Narusawa, U. Binary fluid composition and double diffusive convection in porous medium. J. Heat Mass Transf. 1986, 108, 221–224. [Google Scholar]
- Meften, G.A.; Ali, A.H.; Yaseen, M.T. Continuous Dependence for Thermal Convection in a Forchheimer-Brinkman Model with Variable Viscosity. AIP Conf. Proc. 2021, in press. [Google Scholar]
- Meften, G.A.; Ali, A.H. Continuous dependence for double diffusive convection in a Brinkman model with variable viscosity. Acta Univ. Sapientiae Math. 2022, in press. [Google Scholar]
- Abdul-Hassan, N.Y.; Ali, A.H.; Park, C. A new fifth-order iterative method free from second derivative for solving nonlinear equations. J. Appl. Math. Comput. 2021, 1–10. [Google Scholar] [CrossRef]
- Ali, A.H. Modifying Some Iterative Methods for Solving Quadratic Eigenvalue Problems. Master’s Thesis, Wright State University, Dayton, OH, USA, 2017. [Google Scholar]
- Harfash, A.J.; Meften, G.A. Couple stresses effect on linear instability and nonlinear stability of convection in a reacting fluid. Chaos Solitons Fractals 2018, 107, 18–25. [Google Scholar] [CrossRef]
- Harfash, A.J.; Meften, G.A. Poiseuille flow with couple stresses effect and no-slip boundary conditions. Appl. Comput. Mech. 2020, 6, 1069–1083. [Google Scholar]





| M | B | ||||||
|---|---|---|---|---|---|---|---|
| 1 | 3129.269 | 0.03 | 4454.813 | 5 | 1040.987 | 0.1 | 6891.419 |
| 10 | 3571.252 | 0.05 | 4983.339 | 10 | 2230.570 | 0.3 | 6287.196 |
| 20 | 3963.275 | 0.1 | 5812.355 | 20 | 5812.355 | 0.5 | 5812.355 |
| 40 | 4584.929 | 0.3 | 7836.130 | 30 | 10,708.940 | 1 | 5023.691 |
| 100 | 5813.3146 | 0.5 | 9299.307 | 50 | 16,011.301 | 3 | 3940.149 |
| M | B | ||||||
|---|---|---|---|---|---|---|---|
| 1 | 2.00 | 0.03 | 2.04 | 5 | 1.47 | 0.1 | 2.08 |
| 10 | 2.01 | 0.05 | 1.31 | 10 | 25.30 | 0.3 | 5.23 |
| 20 | 8.15 | 0.1 | 2.26 | 20 | 2.26 | 0.5 | 2.26 |
| 40 | 1.82 | 0.3 | 8.60 | 30 | 1.68 | 1 | 5.26 |
| 100 | 2.08 | 0.5 | 2.12 | 50 | 2.18 | 3 | 5.24 |
| M | B | ||||
|---|---|---|---|---|---|
| 1 | 2.22 | 0.03 | 5.07 | 0.1 | 7.04 |
| 10 | 1.64 | 0.05 | 1.30 | 0.3 | 1.70 |
| 20 | 3.86 | 0.1 | 3.62 | 0.5 | 5.38 |
| 40 | 3.03 | 0.3 | 5.38 | 1 | 1.44 |
| 100 | 7.04 | 0.5 | 4.12 | 3 | 1.44 |
Publisher’s Note: MDPI stays neutral with regard to jurisdictional claims in published maps and institutional affiliations. |
© 2022 by the authors. Licensee MDPI, Basel, Switzerland. This article is an open access article distributed under the terms and conditions of the Creative Commons Attribution (CC BY) license (https://creativecommons.org/licenses/by/4.0/).
Share and Cite
Abed Meften, G.; Ali, A.H.; Al-Ghafri, K.S.; Awrejcewicz, J.; Bazighifan, O. Nonlinear Stability and Linear Instability of Double-Diffusive Convection in a Rotating with LTNE Effects and Symmetric Properties: Brinkmann-Forchheimer Model. Symmetry 2022, 14, 565. https://doi.org/10.3390/sym14030565
Abed Meften G, Ali AH, Al-Ghafri KS, Awrejcewicz J, Bazighifan O. Nonlinear Stability and Linear Instability of Double-Diffusive Convection in a Rotating with LTNE Effects and Symmetric Properties: Brinkmann-Forchheimer Model. Symmetry. 2022; 14(3):565. https://doi.org/10.3390/sym14030565
Chicago/Turabian StyleAbed Meften, Ghazi, Ali Hasan Ali, Khalil S. Al-Ghafri, Jan Awrejcewicz, and Omar Bazighifan. 2022. "Nonlinear Stability and Linear Instability of Double-Diffusive Convection in a Rotating with LTNE Effects and Symmetric Properties: Brinkmann-Forchheimer Model" Symmetry 14, no. 3: 565. https://doi.org/10.3390/sym14030565
APA StyleAbed Meften, G., Ali, A. H., Al-Ghafri, K. S., Awrejcewicz, J., & Bazighifan, O. (2022). Nonlinear Stability and Linear Instability of Double-Diffusive Convection in a Rotating with LTNE Effects and Symmetric Properties: Brinkmann-Forchheimer Model. Symmetry, 14(3), 565. https://doi.org/10.3390/sym14030565

