Cu and Cu-SWCNT Nanoparticles’ Suspension in Pulsatile Casson Fluid Flow via Darcy–Forchheimer Porous Channel with Compliant Walls: A Prospective Model for Blood Flow in Stenosed Arteries
Abstract
1. Introduction
2. Mathematical Model and Formulation
2.1. Problem Statement
2.2. Governing Equations
2.3. Stream and Vorticity Functions
2.4. Boundary Conditions
2.5. Transformation of Coordinates
3. Numerical Scheme and Validation
4. Results and Discussion
4.1. The Magnetic Parameter Effect
4.2. The Pulsation Parameter Effect
4.3. The Casson Fluid Parameter Effect
4.4. The Porosity Parameter Effect
4.5. The Reynolds Number Effect
4.6. The Varying Time Effect
4.7. The Radiation Parameter Effect
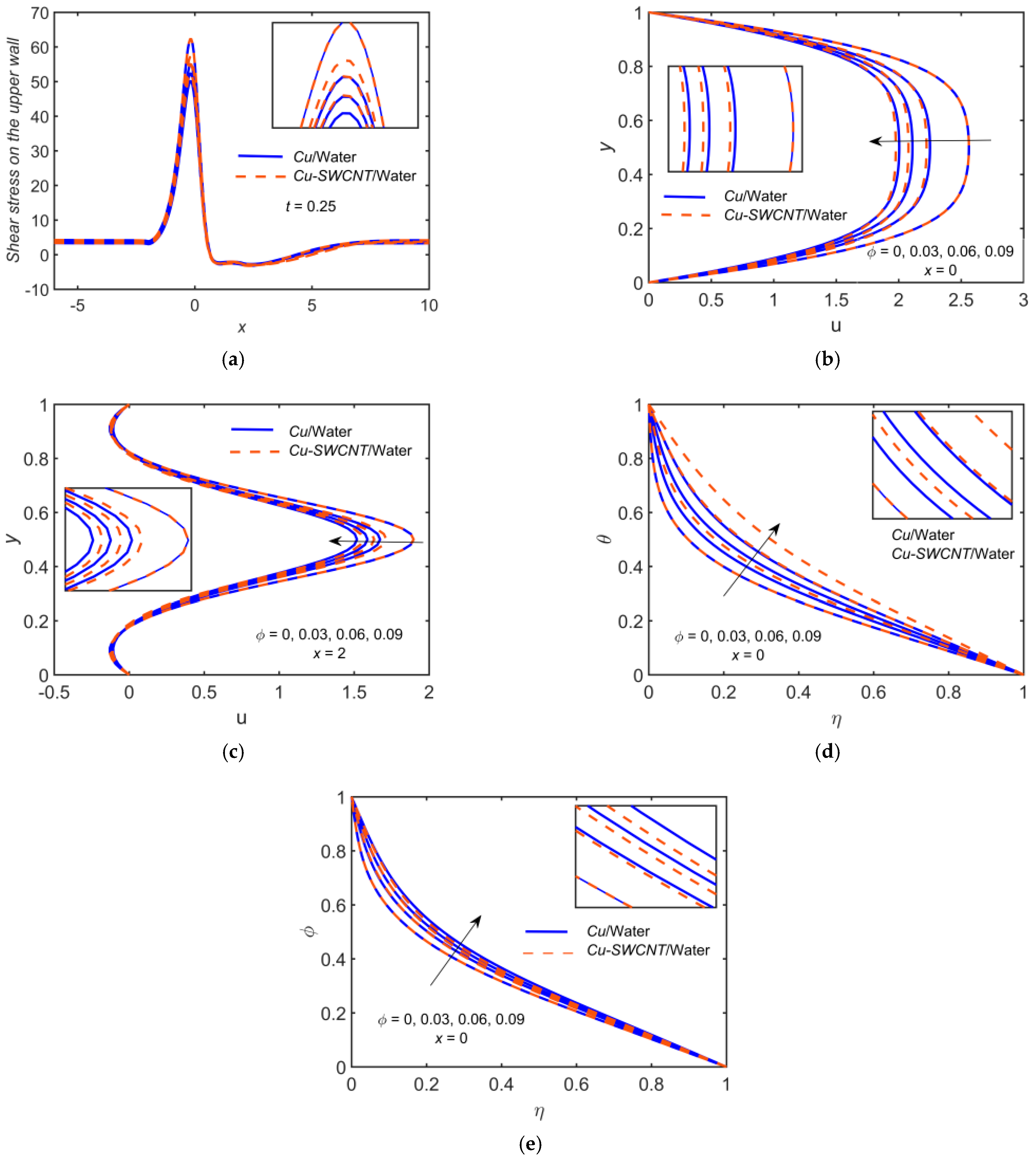
4.8. The Solid Volume Fraction Effect
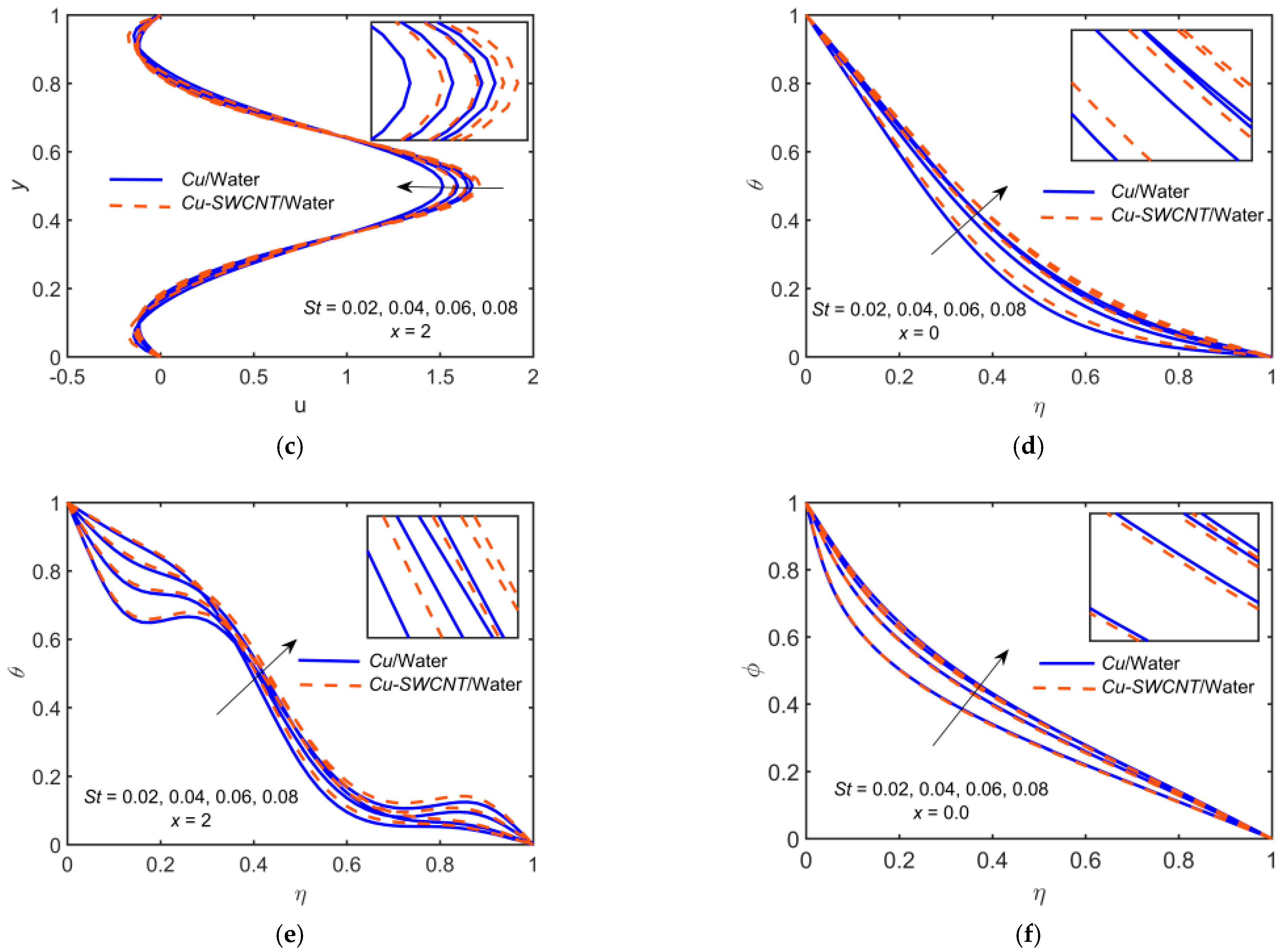
4.9. Some Other Physical Parameters Effect
4.10. The Influence of Physical Parameters on the Nusselt Number, Sherwood Number, and Skin Friction Coefficient Profiles
5. Concluding Remarks
- (1)
- The WSS escalates with the rising value of , , , and , whereas it reduces with rising values of and . The WSS for HNF is observed to be the highest, which is followed by NF.
- (2)
- The velocity field’s boundary layer thickness escalates as , , , , and grow, and the velocity field reduces but shows opposite behavior for . As Hartmann number estimations grow, the restricting force increases, and the velocity field reduces. The HNF velocity profile is slightly lower than that of the NF when but opposite behavior is noticed when in the case of .
- (3)
- The research shows that a magnetic field applied to the blood reduces the velocity of both blood and magnetic particles.
- (4)
- Temperature profiles escalate as , , , , , and grow but reduce as , and estimations intensify.
- (5)
- A rapid rise in temperature is observed due to the HNF, since it increases the thermal conductivity when comparing the NF and HNF. Hence, it is interpreted that the HNF hits higher temperatures compared to the NF.
- (6)
- The concentration profile escalates as , , , , , and grow but reduces as , , , and estimations intensify.
- (7)
- The heat transfer rate, Sherwood number, and skin friction coefficient escalate as estimations intensify and reduce by escalating the porosity parameter. The Nusselt number grows as estimations intensify.
Author Contributions
Funding
Institutional Review Board Statement
Informed Consent Statement
Data Availability Statement
Conflicts of Interest
Nomenclature
| constricted channel’s lower wall | |
| constricted channel’s upper wall | |
| upper wall constriction height | |
| lower wall constriction height | |
| product of deformation rate’s component | |
| critical value of | |
| yield stress of the fluid | |
| plastic dynamic viscosity | |
| velocity in -direction | |
| velocity in -direction | |
| density | |
| pressure | |
| dynamic viscosity | |
| Casson fluid parameter | |
| Thermal conductivity | |
| characteristic flow velocity | |
| coefficient of mass diffusivity | |
| current density | |
| magnetic field | |
| uniform magnetic field strength | |
| kinematic viscosity | |
| Transformed -coordinate | |
| Transformed -coordinate | |
| Prandtl number | |
| parameter defining weak/strong concentrations/turbulence | |
| electric field | |
| radiative heat flux | |
| electrical conductivity | |
| specific heat constant | |
| length among channel walls | |
| flow pulsation period | |
| Strouhal number | |
| Darcy number | |
| Reynolds number | |
| Hartmann number | |
| Dynamic viscosity | |
| medium’s magnetic permeability | |
| Radiation parameter | |
| concentration profile | |
| temperature profile | |
| Soret number | |
| Peclet number for heat transfer | |
| Peclet number for mass transfer | |
| stream function | |
| vorticity function | |
| skin friction coefficient | |
| Nusselt number | |
| Sherwood number | |
| pulsating amplitude | |
| Reynolds number |
References
- Young, D.F. Fluid mechanics of arterial stenoses. J. Biomech. Eng. 1979, 101, 157–175. [Google Scholar] [CrossRef]
- Chaturani, P.; Upadhya, V.S. Casson fluid model for pulsatile flow of blood under periodic body acceleration. J. Biorheol. 1990, 27, 619–630. [Google Scholar] [CrossRef] [PubMed]
- Shit, G.C.; Roy, M. Pulsatile flow and heat transfer of a magneto-micropolar fluid through a stenosed artery under the influence of body acceleration. J. Mech. Med. Biol. 2011, 11, 643–661. [Google Scholar] [CrossRef]
- Ellahi, R.; Rahman, S.U.; Nadeem, S.; Akbar, N.S. Influence of heat and mass transfer on micropolar fluid of blood flow through a tapered stenosed arteries with permeable walls. J. Comput. Theor. Nanosci. 2014, 11, 1156–1163. [Google Scholar] [CrossRef]
- Haghighi, A.R.; Asl, M.S. Mathematical modelling of micropolar fluid flow through an overlapping arterial stenosis. Int. J. Biomath. 2015, 8, 1–15. [Google Scholar] [CrossRef]
- Ali, A.; Farooq, H.; Abbas, Z.; Bukhari, Z.; Fatima, A. Impact of Lorentz force on the pulsatile flow of non-Newtonian Casson fluid in a constricted channel using Darcy’s law: A numerical study. Sci. Rep. 2020, 10, 10629. [Google Scholar] [CrossRef]
- Bukhari, Z.; Ali, A.; Abbas, Z.; Farooq, H. The pulsatile flow of thermally developed non-Newtonian Casson fluid in a channel with wall. AIP Adv. 2020, 11, 025324. [Google Scholar] [CrossRef]
- Ali, A.; Umar, M.; Abbas, Z.; Shahzadi, G.; Bukhari, Z.; Saleem, A. Numerical investigation of MHD pulsatile flow of micropolar fluid in a channel with symmetrically constricted walls. Mathematics 2021, 9, 1000. [Google Scholar] [CrossRef]
- Umar, M.; Ali, A.; Bukhari, Z.; Shahzadi, G.; Saleem, A. Impact of Lorentz force in thermally developed pulsatile micropolar fluid flow in a constricted channel. Energies 2021, 14, 2173. [Google Scholar] [CrossRef]
- Ali, A.; Umar, M.; Bukhari, Z.; Abbas, Z. Pulsating flow of a micropolar-Casson fluid through a constricted channel influenced by a magnetic field and Darcian porous medium: A numerical study. Results Phys. 2020, 19, 103544. [Google Scholar] [CrossRef]
- Chitra1, M.; Suhasini, M. Effect of the Porous Medium through a Constricted Channel under the Influence of Transverse Magnetic Field. Int. J. Pure Appl. Math. Sci. 2017, 10, 185–192. [Google Scholar]
- Santra, A.K.; Sen, S.; Chakraborty, N. Study of heat transfer due to laminar flow of copper–water nanofluid through two isothermally heated parallel plates. Int. J. Ther. Sci. 2009, 48, 391–400. [Google Scholar] [CrossRef]
- Shukla, J.B.; Parihar, R.S.; Rao, B.R. Effects of stenosis on non-Newtonian flow of the blood in an artery. Bull. Math. Biol. 1980, 42, 283–294. [Google Scholar] [CrossRef]
- Huminicl, G.; Huminic, A. Hybrid nanofluids for heat transfer applications—A state of the art review. Int. J. Heat Mass Trans. 2018, 125, 82–103. [Google Scholar] [CrossRef]
- Waini, I.; Ishak, A.; Pop, I. Transpiration effects on hybrid NF flow and heat transfer over a stretching/shrinking sheet with uniform shear flow. Alex. Eng. J. 2020, 59, 91–99. [Google Scholar] [CrossRef]
- Lund, L.A.; Omar, Z.; Khan, I.; Sherif, E.M. Dual Solutions and Stability Analysis of a Hybrid NF over a Stretching/Shrinking Sheet Executing MHD Flow. Symmetry 2020, 12, 276. [Google Scholar] [CrossRef]
- Khan, M.; Malik, M.; Salahuddin, T.; Hussian, A. Heat and mass transfer of Williamson nanofluid flow yield by an inclined Lorentz force over a non-linear stretching sheet. Results Phys. 2018, 8, 862–868. [Google Scholar] [CrossRef]
- Devi, S.S.U.; Devi, S.P.A. Numerical investigation on three dimensional hybrid Cu-Al2O3/water nanofluid flow over a stretching sheet with effecting Lorentz force subject to Newtonian heatings. Can. J. Phys. 2016, 94, 490–496. [Google Scholar] [CrossRef]
- Vasua, B.; Dubey, A.; Bég, O.A.; Gorla, R.S.R. Micropolar pulsatile blood flow conveying nanoparticles in a stenotic tapered artery: Non-Newtonian pharmacodynamic simulation. Comput. Biol. Med. 2020, 126, 104025. [Google Scholar] [CrossRef] [PubMed]
- Priyadharshini, S.; Ponalagusamy, R. Mathematical modelling for pulsatile flow of Casson fluid along with magnetic nanoparticles in a stenosed artery under external magnetic field and body acceleration. Neural Comput. Appl. 2019, 31, 813–826. [Google Scholar] [CrossRef]
- Suresh, S.; Venkitaraj, K.; Selvakumar, P.; Chandrasekar, M. Effect of Al2O3/water hybrid nanouid in heat transfer. Exp. Ther. Fluid Sci. 2012, 8, 54–60. [Google Scholar] [CrossRef]
- Momin, G.G. Experimental investigation of mixed convection with Al2O3/water and hybrid nanofluid in inclined tube for laminar flow. Int. J. Sci. Res. Sci. 2013, 2, 195–202. [Google Scholar]
- Prakash, M.; Devi, S.S.U. Hydromagnetic hybrid Al2O3–Cu/water nanofluid flow over a slendering stretching sheet with prescribed surface temperature. Asian J. Hum. Soc. Sci. 2016, 6, 1921–1936. [Google Scholar] [CrossRef]
- Bahiraei, M.; Mazaheri, N. Application of a novel hybrid nanofluid containing grapheme platinum nanoparticles in a chaotic twisted geometry for utilization in miniature devices thermal and energy effciency considerations. Int. J. Mech. Sci. 2018, 138, 337–349. [Google Scholar] [CrossRef]
- Aman, S.; Zokri, S.M.; Ismail, Z.; Salleh, M.Z.; Khan, I. Effect of MHD and Porosity on Exact Solutions and Flow of a Hybrid Casson-Nanofluid. IJFMTS 2018, 44, 131–139. [Google Scholar]
- Aman, S.; Zokri, S.M.; Ismail, Z.; Salleh, M.Z.; Khan, I. Casson Model of MHD Flow of SA-Based Hybrid Nanofluid Using Caputo Time-Fractional Models. Defect Diffus. Forum 2019, 390, 83–90. [Google Scholar] [CrossRef]
- Kamis, N.I.; Basir, M.F.M.; Shafie, S.; Khairuddin, T.K.A.; Jiann, L.Y. Suction effect on an unsteady Casson hybrid nanofluid film past a stretching sheet with heat transfer analysis. Mater. Sci. Eng. 2021, 1078, 012019. [Google Scholar]
- Nadeem, S.; Haq, R.U.; Akbar, N.S. MHD three-dimensional boundary layer flow of Casson nanofluid past a linearly stretching sheet with convective boundary condition. IEEE Trans. Nanotech. 2014, 13, 109–115. [Google Scholar] [CrossRef]
- Jamshed, W.; Aziz, A. Cattaneo–Christov based study of TiO2TiO2–CuO/EG Casson hybrid nanofluid flow over a stretching surface with entropy generation. Appl. Nanosci. 2018, 8, 685–698. [Google Scholar] [CrossRef]
- Souayeh, B.; Reddy, M.G.; Sreenivasulu, P.; Poornima, T.; Rahimi-Gorji, M.; Alarifi, I.M. Comparative analysis on non-linear radiative heat transfer on MHD Casson nanofluid past a thin needle. J. Mol. Liq. 2019, 284, 163–174. [Google Scholar] [CrossRef]
- Ullah, I.; Nisar, K.S.; Shafie, S.; Khan, I.; Qasim, M.; Khan, A. Unsteady free convection flow of casson nanofluid over a non-linear stretching sheet. IEEE Access 2019, 7, 93076–93087. [Google Scholar] [CrossRef]
- Aziz, A.M.; Afify, A.A. Effect of Hall current on MHD slip flow of Casson nanofluid over a stretching sheet with zero nanoparticle mass flux. Thermophys. Aeromech. 2019, 26, 429–443. [Google Scholar] [CrossRef]
- Dinarvand, S.; Rostami, M.N.; Dinarvand, R.; Pop, I. Improvement of drug delivery micro-circulatory system with a novel pattern of CuO- Cu/blood hybrid nanofluid flow towards a porous stretching sheet. Int. J. Numer. Methods Heat Fluid Flow 2019, 29, 4408–4429. [Google Scholar] [CrossRef]
- Reddy, P.B. Biomedical aspects of entropy generation on electromagnetohydrodynamic blood flow of hybrid nanofluid with non-linear thermal radiation and non-uniform heat source/sink. Eur. Phys. J. Plus 2020, 135, 852. [Google Scholar] [CrossRef]
- Elelamy, A.F.; Elgazery, N.; Ellahi, R. Blood flow of MHD non-Newtonian nanofluid with heat transfer and slip effects: Application of bacterial growth in heart valve. Int. J. Numer. Methods Heat Fluid Flow 2020, 30, 4883–4908. [Google Scholar] [CrossRef]
- El Kot, M.A.; Elmaboud, Y.A. Hybrid nanofluid flows through a vertical diseased coronary artery with heat transfer. J. Mech. Med. Biol. 2021, 21, 2150012. [Google Scholar] [CrossRef]
- Aly, E.H.; Pop, I. MHD flow and heat transfer over a permeable stretching/shrinking sheet in a hybrid nanofluid with a convective boundary condition. Int. J. Numer. Methods Heat Fluid Flow 2019, 29, 3012–3038. [Google Scholar] [CrossRef]
- Alizadeh, M.; Dogonchi, A.S.; Ganji, D.D. Micropolar nanofluid flow and heat transfer between penetrable walls in the presence of thermal radiation and magnetic field. Case Stud. Therm. Eng. 2018, 12, 319–332. [Google Scholar] [CrossRef]
- Sheikholeslami, M.; Ganji, D.D. Heat transfer of Cu-water nanofluid flow between parallel plates. Powder Technol. 2013, 235, 873–879. [Google Scholar] [CrossRef]
- Wu, J.Z.; Ma, H.Y.; Zhou, M.D. Vorticity and Vortex Dynamics; Springer Science & Business Media: Cham, Switzerland, 2007. [Google Scholar]
- Ali, A.; Fatima, A.; Bukhari, Z.; Farooq, H.; Abbas, Z. Non-Newtonian Casson pulsatile fluid flow influenced by Lorentz force in a porous channel with multiple constrictions: A numerical study. Korea-Aust. Rheol. J. 2020, 33, 79–90. [Google Scholar] [CrossRef]
- Bandyopadhay, S.; Layek, G.C. Study of magnetohydrodynamic pulsatile flow in a constricted channel. Commun. Nonlinear Sci. Numer. Simulat. 2012, 17, 2434–2446. [Google Scholar] [CrossRef]
- Ali, A.; Syed, K.S. An outlook of high performance computing infrastructures for scientific computing. Adv. Comput. 2013, 91, 87–118. [Google Scholar]























Publisher’s Note: MDPI stays neutral with regard to jurisdictional claims in published maps and institutional affiliations. |
© 2021 by the authors. Licensee MDPI, Basel, Switzerland. This article is an open access article distributed under the terms and conditions of the Creative Commons Attribution (CC BY) license (https://creativecommons.org/licenses/by/4.0/).
Share and Cite
Ali, A.; Bukhari, Z.; Umar, M.; Ismail, M.A.; Abbas, Z. Cu and Cu-SWCNT Nanoparticles’ Suspension in Pulsatile Casson Fluid Flow via Darcy–Forchheimer Porous Channel with Compliant Walls: A Prospective Model for Blood Flow in Stenosed Arteries. Int. J. Mol. Sci. 2021, 22, 6494. https://doi.org/10.3390/ijms22126494
Ali A, Bukhari Z, Umar M, Ismail MA, Abbas Z. Cu and Cu-SWCNT Nanoparticles’ Suspension in Pulsatile Casson Fluid Flow via Darcy–Forchheimer Porous Channel with Compliant Walls: A Prospective Model for Blood Flow in Stenosed Arteries. International Journal of Molecular Sciences. 2021; 22(12):6494. https://doi.org/10.3390/ijms22126494
Chicago/Turabian StyleAli, Amjad, Zainab Bukhari, Muhammad Umar, Muhammad Ali Ismail, and Zaheer Abbas. 2021. "Cu and Cu-SWCNT Nanoparticles’ Suspension in Pulsatile Casson Fluid Flow via Darcy–Forchheimer Porous Channel with Compliant Walls: A Prospective Model for Blood Flow in Stenosed Arteries" International Journal of Molecular Sciences 22, no. 12: 6494. https://doi.org/10.3390/ijms22126494
APA StyleAli, A., Bukhari, Z., Umar, M., Ismail, M. A., & Abbas, Z. (2021). Cu and Cu-SWCNT Nanoparticles’ Suspension in Pulsatile Casson Fluid Flow via Darcy–Forchheimer Porous Channel with Compliant Walls: A Prospective Model for Blood Flow in Stenosed Arteries. International Journal of Molecular Sciences, 22(12), 6494. https://doi.org/10.3390/ijms22126494

