Discrimination between Pore and Throat Resistances against Single-Phase Flow in Porous Media
Abstract
:1. Introduction
2. Macroscale Analysis
3. Modeling
3.1. Geometry of Solid and Void Domains
3.2. Governing Equations
3.3. Dissipated Energy
3.4. Eddy Identification
3.5. Dissipation in Throats
3.6. Dissipation in Pores
4. Results and Discussion
4.1. Mesh Study
4.2. Overall Dissipation
4.3. Throat Dissipation
4.4. Pore Dissipation
4.5. Effect of Eddies
4.6. Pore-Scale Analysis
4.7. Discussion
5. Conclusions
- 1.
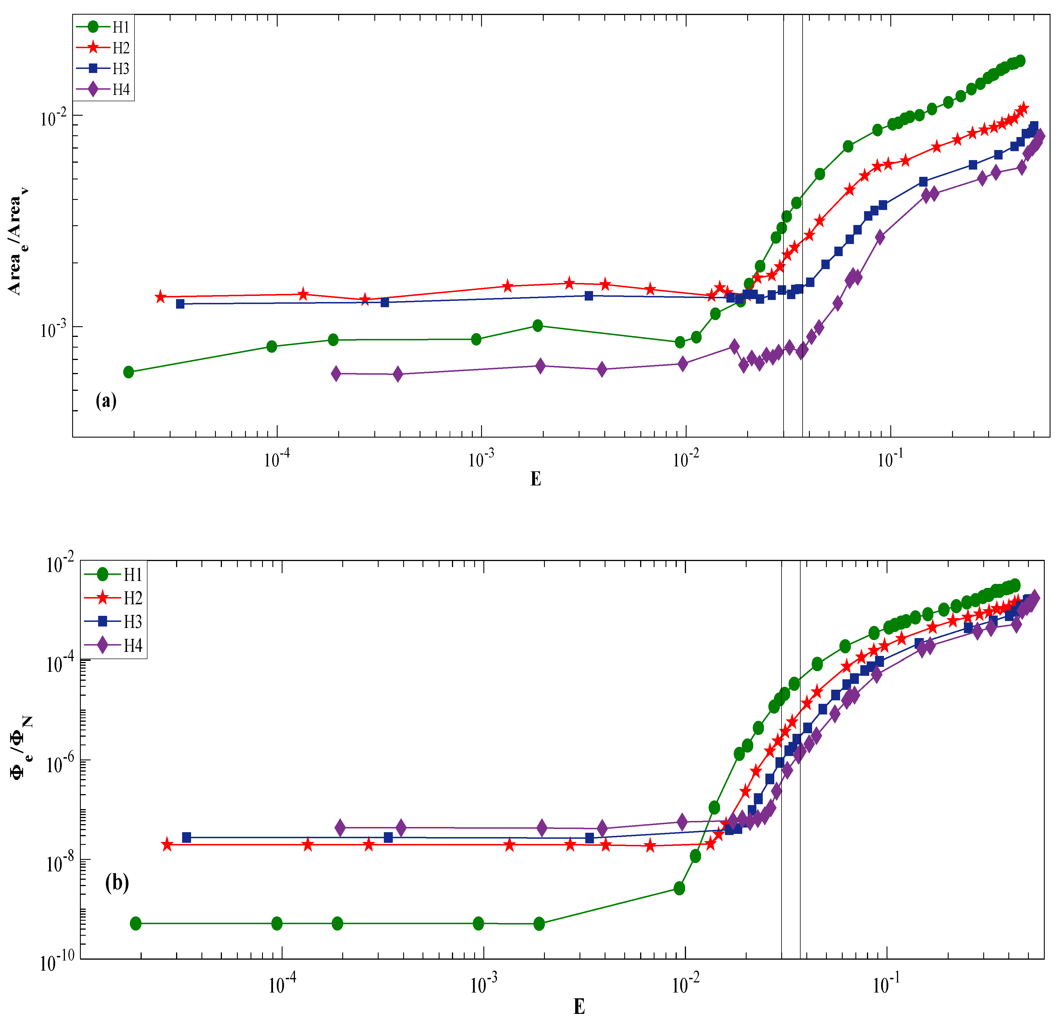
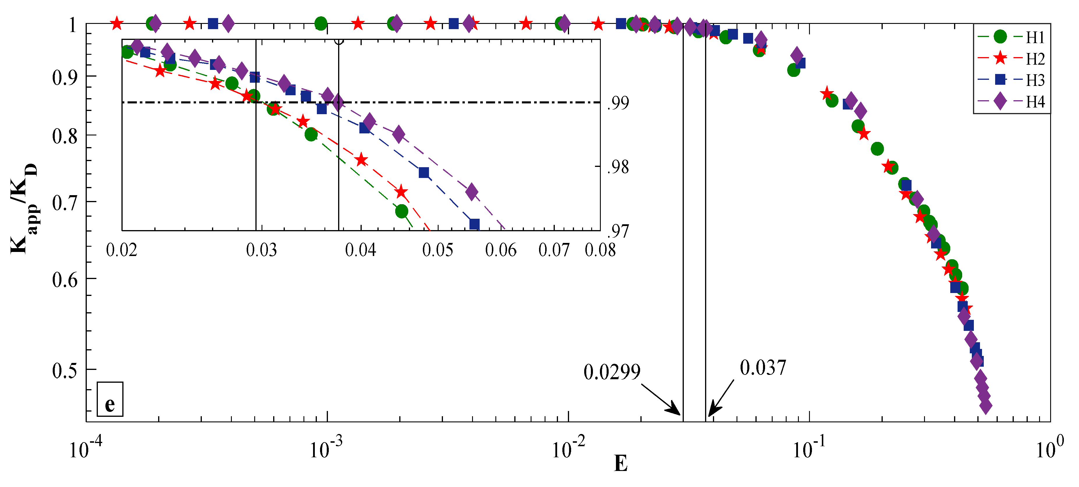
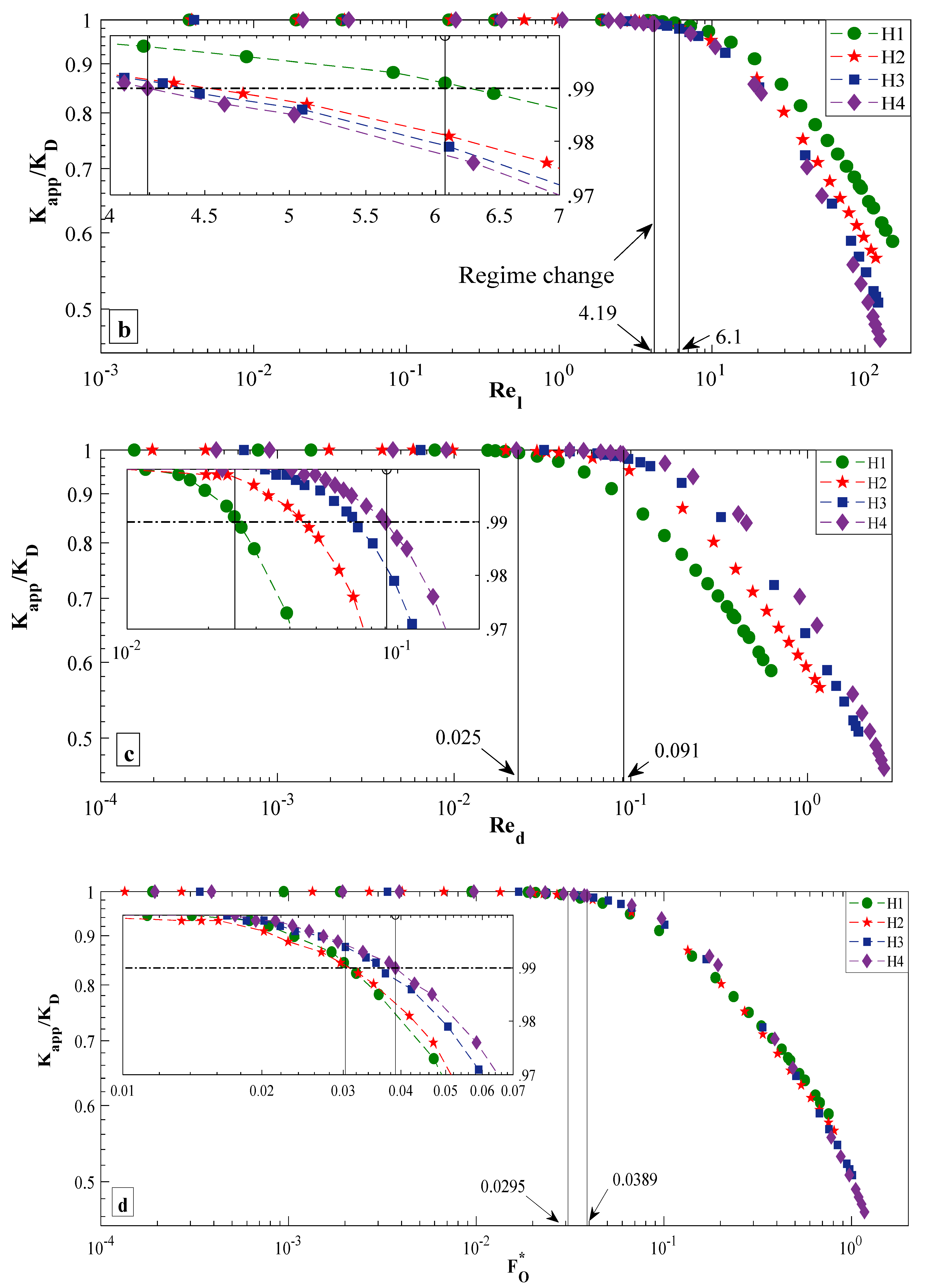
- The parameter E has less uncertainty in predicting the cessation of Darcy flow. Generally, in the networks studied here, the larger is, the sooner Darcy-flow cessation occurs.
- 2.
- Investigations show that the exponent of the power-law equation for pore body, , equals 2 when viscous forces are dominant. The exponent increases as the inertia forces increase. The geometrical parameter has an inverse effect on . Moreover, the onset of the increase in the exponent happens earlier than that of the throats. Compared with the beginning of non-Darcian flow in the entire network, it is found that pore flow induces the termination of Darcy flow.
- 3.
- The dissipation due to pore bodies is more apparent when the size of pore and throats are of the same order of magnitude. The relative losses of pore body increase as the velocity increases in contrast to throats.
- 4.
- The area and dissipation due to eddies are almost negligible compared to the total area and dissipation.
- 5.
- The sudden increase in the dissipation due to eddies coincides with the regime change in pores.
- 6.
- As a jet flow appears in a pore, the magnitude of dissipated energy increases in the jet’s borders. The dissipation could be as high as the dissipation in a throat.
- 7.
- To investigate the fluid flow in porous media, the pores and throats should be discretely analyzed using the following formulation:where and . and are functions of fluid properties and geometries of throats and pores, respectively.
Author Contributions
Funding
Institutional Review Board Statement
Informed Consent Statement
Data Availability Statement
Acknowledgments
Conflicts of Interest
Abbreviations
| Terminology | |
| A | Area of a pore (m2) |
| b | Depth of a throat (m) |
| dC | Diameter of the largest circle surrounded by the pore walls (m) |
| DC | Dimensionless diameter aspect ratio for the largest circle surrounded by the pore walls (-) |
| dR | Width of a trapezoidal half pore (m) |
| DR | Dimensionless aspect ratio for width of trapezoidal half pore (-) |
| dt | Diameter of a throat (m) |
| E | Non-Darcy effect parameter (-) |
| Forchheimer number and modified Forchheimer number | |
| Mean value of a variable | |
| KD | Darcy permeability (m2) |
| KF | Forchheimer permeability (m2) |
| lC | Characteristic length (m) |
| lt | Length of a throat (m) |
| Lt | Dimensionless length aspect ratio for length of a throat (-) |
| Exponent of U | |
| N | Number of cells in domain s |
| p | Pressure (Pa) |
| Mass flow rate (kg/s) | |
| rP | Grid point at point computational domain |
| Red, Rel | Reynolds number (-) |
| Specific surface of the porous medium (m2/m3) | |
| U | superficial velocity (m/s) |
| u | Velocity component in main flow direction (m/s) |
| vt | Average velocity magnitude in a throat (m/s) |
| V | Velocity vector (m/s) |
| VP | Velocity at point P in the computational domain |
| w | Velocity component perpendicular to main flow direction (m/s) |
| Greek letters | |
| α | Proportionality factor used to relate the dissipation in throats to |
| β | Forchheimer parameter (m−1) |
| Pressure drop across a throat (Pa) | |
| Flow in a throat (kg/s) | |
| Γ1, Γ2 | Parameter defining core and borders of eddies (-) |
| λ | Proportionality factor used to relate the dissipation in pores to |
| µ | Dynamic viscosity of fluid (Pa·s) |
| ρ | Density (kg/m3) |
| ϕ | Viscous dissipation (Pa·s−1) |
| φ | Integral of viscous dissipation (N·m·s−1) |
| Π | Perimeter of a pore body (m) |
| Ω | Proportionality factor used to relate the dissipation to U2 |
| σ | Standard deviation |
| Super scripts | |
| cD | Cessation of Darcy flow |
| cHP | Cessation of Hagen–Poissele equation |
| D | Darcy flow |
| e | eddy |
| nD | Non-Darcian flow |
| N | Network |
| p | pore |
| t | throat |
| v | void |
References
- Vaferi, B.; Eslamloueyan, R. Simulation of dynamic pressure response of finite gas reservoirs experiencing time varying flux in the external boundary. J. Nat. Gas Sci. Eng. 2015, 26, 240–252. [Google Scholar] [CrossRef]
- Moosavi, S.R.; Vaferi, B.; Wood, D.A. Applying orthogonal collocation for rapid and reliable solutions of transient flow in naturally fractured reservoirs. J. Pet. Sci. Eng. 2018, 162, 166–179. [Google Scholar] [CrossRef]
- Marusic-Paloka, E.; Mikelic, A. The derivation of a nonlinear filtration law including the inertia effects via homogenization. Nonlinear Anal. A Theory Methods Ser. B Real World Appl. 2000, 42, 97. [Google Scholar] [CrossRef]
- Sedghi-Asl, M.; Rahimi, H.; Salehi, R. Non-Darcy flow of water through a packed column test. Transp. Porous Media 2014, 101, 215–227. [Google Scholar] [CrossRef]
- Javadi, M.; Sharifzadeh, M.; Shahriar, K.; Mitani, Y. Critical Reynolds number for nonlinear flow through rough-walled fractures: The role of shear processes. Water Resour. Res. 2014, 50, 1789–1804. [Google Scholar] [CrossRef] [Green Version]
- Vaferi, B.; Eslamloueyan, R. Hydrocarbon reservoirs characterization by co-interpretation of pressure and flow rate data of the multi-rate well testing. J. Pet. Sci. Eng. 2015, 135, 59–72. [Google Scholar] [CrossRef]
- Xu, J.; Zhou, L.; Li, Y.; Ding, J.; Wang, S.; Cheng, W.-C. Experimental study on uniaxial compression behavior of fissured loess before and after vibration. Int. J. Geomech. 2022, 22, 4021277. [Google Scholar] [CrossRef]
- Xu, J.; Zhou, L.; Hu, K.; Li, Y.; Zhou, X.; Wang, S. Influence of wet-dry cycles on uniaxial compression behavior of fissured loess disturbed by vibratory loads. KSCE J. Civ. Eng. 2022, 1, 1–14. [Google Scholar] [CrossRef]
- Zhao, Y.; Zhu, G.; Zhang, C.; Liu, S.; Elsworth, D.; Zhang, T. Pore-scale reconstruction and simulation of non-Darcy flow in synthetic porous rocks. J. Geophys. Res. Solid Earth 2018, 123, 2770–2786. [Google Scholar] [CrossRef]
- Liu, R.; Li, B.; Jiang, Y. Critical hydraulic gradient for nonlinear flow through rock fracture networks: The roles of aperture, surface roughness, and number of intersections. Adv. Water Resour. 2016, 88, 53–65. [Google Scholar] [CrossRef]
- Wildenschild, D.; Sheppard, A.P. X-ray imaging and analysis techniques for quantifying pore-scale structure and processes in subsurface porous medium systems. Adv. Water Resour. 2013, 51, 217–246. [Google Scholar] [CrossRef]
- Bultreys, T.; De Boever, W.; Cnudde, V. Imaging and image-based fluid transport modeling at the pore scale in geological materials: A practical introduction to the current state-of-the-art. Earth-Sci. Rev. 2016, 155, 93–128. [Google Scholar] [CrossRef]
- Dybbs, A.; Edwards, R.V. A new look at porous media fluid mechanics—Darcy to turbulent. Fundam. Transp. Phenom. Porous Media 1984, 82, 199–256. [Google Scholar]
- Aramideh, S.; Vlachos, P.P.; Ardekani, A.M. Pore-scale statistics of flow and transport through porous media. Phys. Rev. E 2018, 98, 13104. [Google Scholar] [CrossRef] [Green Version]
- Liu, Y.; Zhang, K.; Li, Z.; Liu, Z.; Wang, J.; Huang, P. A hybrid runoff generation modelling framework based on spatial combination of three runoff generation schemes for semi-humid and semi-arid watersheds. J. Hydrol. 2020, 590, 125440. [Google Scholar] [CrossRef]
- Alizadeh, S.M.; Khodabakhshi, A.; Abaei Hassani, P.; Vaferi, B. Smart-identification of petroleum reservoir well testing models using deep convolutional neural networks (GoogleNet). ASME J. Energy Resour. Technol. Energy Resour. Technol. Energy Resour. Technol. 2021, 143, 073008. [Google Scholar] [CrossRef]
- Moosavi, S.R.; Vaferi, B.; Wood, D.A. Auto-characterization of naturally fractured reservoirs drilled by horizontal well using multi-output least squares support vector regression. Arab. J. Geosci. 2021, 14, 545. [Google Scholar] [CrossRef]
- Zhan, C.; Dai, Z.; Soltanian, M.R.; Zhang, X. Stage-Wise Stochastic Deep Learning Inversion Framework for Subsurface Sedimentary Structure Identification. Geophys. Res. Lett. 2022, 49, e2021GL095823. [Google Scholar] [CrossRef]
- Muljadi, B.P.; Blunt, M.J.; Raeini, A.Q.; Bijeljic, B. The impact of porous media heterogeneity on non-Darcy flow behaviour from pore-scale simulation. Adv. Water Resour. 2016, 95, 329–340. [Google Scholar] [CrossRef]
- Fourar, M.; Radilla, G.; Lenormand, R.; Moyne, C. On the non-linear behavior of a laminar single-phase flow through two and three-dimensional porous media. Adv. Water Resour. 2004, 27, 669–677. [Google Scholar] [CrossRef]
- Lasseux, D.; Valdés-Parada, F.J. On the developments of Darcy’s law to include inertial and slip effects. Comptes Rendus Mécanique 2017, 345, 660–669. [Google Scholar] [CrossRef]
- Hassanizadeh, S.M.; Gray, W.G. High velocity flow in porous media. Transp. Porous Media 1987, 2, 521–531. [Google Scholar] [CrossRef]
- Ruth, D.; Ma, H. On the derivation of the Forchheimer equation by means of the averaging theorem. Transp. Porous Media 1992, 7, 255–264. [Google Scholar] [CrossRef]
- Skjetne, E.; Auriault, J.-L. High-velocity laminar and turbulent flow in porous media. Transp. Porous Media 1999, 36, 131–147. [Google Scholar] [CrossRef]
- Bai, B.; Zhou, R.; Cai, G.; Hu, W.; Yang, G. Coupled thermo-hydro-mechanical mechanism in view of the soil particle rearrangement of granular thermodynamics. Comput. Geotech. 2021, 137, 104272. [Google Scholar] [CrossRef]
- Raeini, A.Q.; Bijeljic, B.; Blunt, M.J. Generalized network modeling: Network extraction as a coarse-scale discretization of the void space of porous media. Phys. Rev. E 2017, 96, 13312. [Google Scholar] [CrossRef] [Green Version]
- Ma, H.; Ruth, D.W. The microscopic analysis of high Forchheimer number flow in porous media. Transp. Porous Media 1993, 13, 139–160. [Google Scholar] [CrossRef]
- Newman, M.S.; Yin, X. Lattice Boltzmann simulation of non-Darcy flow in stochastically generated 2D porous media geometries. SPE J. 2013, 18, 12–26. [Google Scholar] [CrossRef]
- Chukwudozie, C.; Tyagi, M. Pore scale inertial flow simulations in 3-D smooth and rough sphere packs using lattice Boltzmann method. AIChE J. 2013, 59, 4858–4870. [Google Scholar] [CrossRef]
- Chai, Z.; Shi, B.; Lu, J.; Guo, Z. Non-Darcy flow in disordered porous media: A lattice Boltzmann study. Comput. Fluids 2010, 39, 2069–2077. [Google Scholar] [CrossRef]
- Fathi, E.; Akkutlu, I.Y. Lattice Boltzmann method for simulation of shale gas transport in kerogen. Spe J. 2013, 18, 27–37. [Google Scholar] [CrossRef] [Green Version]
- Cheng, Z.; Ning, Z.; Wang, Q.; Zeng, Y.; Qi, R.; Huang, L.; Zhang, W. The effect of pore structure on non-Darcy flow in porous media using the lattice Boltzmann method. J. Pet. Sci. Eng. 2019, 172, 391–400. [Google Scholar] [CrossRef] [Green Version]
- Akolkar, A.; Petrasch, J. Tomography-based characterization and optimization of fluid flow through porous media. Transp. Porous Media 2012, 95, 535–550. [Google Scholar] [CrossRef]
- Adloo, H.; Abbasi, B. Some insights into the use of pore network simulations for predicting single-phase fluid flow in model porous media. Microfluid. Nanofluidics 2021, 25, 1–22. [Google Scholar] [CrossRef]
- Veyskarami, M.; Hassani, A.H.; Ghazanfari, M.H. Modeling of non-Darcy flow through anisotropic porous media: Role of pore space profiles. Chem. Eng. Sci. 2016, 151, 93–104. [Google Scholar] [CrossRef]
- Baychev, T.G.; Jivkov, A.P.; Rabbani, A.; Raeini, A.Q.; Xiong, Q.; Lowe, T.; Withers, P.J. Reliability of algorithms interpreting topological and geometric properties of porous media for pore network modelling. Transp. Porous Media 2019, 128, 271–301. [Google Scholar] [CrossRef] [Green Version]
- Zhao, X.; Xia, H.; Pan, L.; Song, H.; Niu, W.; Wang, R.; Li, R.; Bian, X.; Guo, Y.; Qin, Y. Drought monitoring over Yellow River basin from 2003–2019 using reconstructed MODIS land surface temperature in Google Earth Engine. Remote Sens. 2021, 13, 3748. [Google Scholar] [CrossRef]
- Zhang, X.; Ma, F.; Yin, S.; Wallace, C.D.; Soltanian, M.R.; Dai, Z.; Ritzi, R.W.; Ma, Z.; Zhan, C.; Lü, X. Application of upscaling methods for fluid flow and mass transport in multi-scale heterogeneous media: A critical review. Appl. Energy 2021, 303, 117603. [Google Scholar] [CrossRef]
- Chen, Y.-F.; Zhou, J.-Q.; Hu, S.-H.; Hu, R.; Zhou, C.-B. Evaluation of Forchheimer equation coefficients for non-Darcy flow in deformable rough-walled fractures. J. Hydrol. 2015, 529, 993–1006. [Google Scholar] [CrossRef]
- Panfilov, M.; Fourar, M. Physical splitting of nonlinear effects in high-velocity stable flow through porous media. Adv. Water Resour. 2006, 29, 30–41. [Google Scholar] [CrossRef]
- Firdaouss, M.; Guermond, J.-L.; Le Quéré, P. Nonlinear corrections to Darcy’s law at low Reynolds numbers. J. Fluid Mech. 1997, 343, 331–350. [Google Scholar] [CrossRef]
- Fagbemi, S.; Tahmasebi, P.; Piri, M. Interaction between fluid and porous media with complex geometries: A direct pore-scale study. Water Resour. Res. 2018, 54, 6336–6356. [Google Scholar] [CrossRef]
- El-Zehairy, A.A.; Nezhad, M.M.; Joekar-Niasar, V.; Guymer, I.; Kourra, N.; Williams, M.A. Pore-network modelling of non-Darcy flow through heterogeneous porous media. Adv. Water Resour. 2019, 131, 103378. [Google Scholar] [CrossRef]
- Rong, G.; Yang, J.; Cheng, L.; Zhou, C. Laboratory investigation of nonlinear flow characteristics in rough fractures during shear process. J. Hydrol. 2016, 541, 1385–1394. [Google Scholar] [CrossRef]
- Zolotukhin, A.B.; Gayubov, A.T. Semi-analytical Approach to Modeling Forchheimer Flow in Porous Media at Meso-and Macroscales. Transp. Porous Media 2021, 136, 715–741. [Google Scholar] [CrossRef]
- Zeng, Z.; Grigg, R. A criterion for non-Darcy flow in porous media. Transp. Porous Media 2006, 63, 57–69. [Google Scholar] [CrossRef]
- Talon, L.; Bauer, D.; Gland, N.; Youssef, S.; Auradou, H.; Ginzburg, I. Assessment of the two relaxation time Lattice-Boltzmann scheme to simulate Stokes flow in porous media. Water Resour. Res. 2012, 48. [Google Scholar] [CrossRef]
- Raeini, A.Q.; Blunt, M.J.; Bijeljic, B. Direct simulations of two-phase flow on micro-CT images of porous media and upscaling of pore-scale forces. Adv. Water Resour. 2014, 74, 116–126. [Google Scholar] [CrossRef]
- Graftieaux, L.; Michard, M.; Grosjean, N. Combining PIV, POD and vortex identification algorithms for the study of unsteady turbulent swirling flows. Meas. Sci. Technol. 2001, 12, 1422. [Google Scholar] [CrossRef]
- Lahooti, M.; Kim, D. Multi-body interaction effect on the energy harvesting performance of a flapping hydrofoil. Renew. Energy 2019, 130, 460–473. [Google Scholar] [CrossRef]
- Quan, Q.; Gao, S.; Shang, Y. Wang, B. Assessment of the sustainability of Gymnocypris eckloni habitat under river damming in the source region of the Yellow River. Sci. Total Environ. 2021, 778, 146312. [Google Scholar] [CrossRef] [PubMed]
- Cai, J.; Perfect, E.; Cheng, C.-L.; Hu, X. Generalized modeling of spontaneous imbibition based on Hagen–Poiseuille flow in tortuous capillaries with variably shaped apertures. Langmuir 2014, 30, 5142–5151. [Google Scholar] [CrossRef]
- Gostick, J.; Aghighi, M.; Hinebaugh, J.; Tranter, T.; Hoeh, M.A.; Day, H.; Spellacy, B.; Sharqawy, M.H.; Bazylak, A.; Burns, A. OpenPNM: A pore network modeling package. Comput. Sci. Eng. 2016, 18, 60–74. [Google Scholar] [CrossRef] [Green Version]
- Raoof, A.; Nick, H.M.; Wolterbeek, T.K.T.; Spiers, C.J. Pore-scale modeling of reactive transport in wellbore cement under CO2 storage conditions. Int. J. Greenh. Gas Control 2012, 11, S67–S77. [Google Scholar] [CrossRef]
- Lu, X.; Kharaghani, A.; Adloo, H.; Tsotsas, E. The Brooks and Corey capillary pressure model revisited from pore network simulations of capillarity-controlled invasion percolation process. Processes 2020, 8, 1318. [Google Scholar] [CrossRef]
- Lin, J.; Zhang, W.; Chen, H.; Zhang, R.; Liu, L. Effect of pore characteristic on the percolation threshold and diffusivity of porous media comprising overlapping concave-shaped pores. Int. J. Heat Mass Transf. 2019, 138, 1333–1345. [Google Scholar] [CrossRef]
- Kanda, H.; Shimomukai, K. Numerical study of pressure distribution in entrance pipe flow. J. Complex. 2009, 25, 253–267. [Google Scholar] [CrossRef] [Green Version]
- Valvatne, P.H.; Blunt, M.J. Predictive pore-scale modeling of two-phase flow in mixed wet media. Water Resour. Res. 2004, 40. [Google Scholar] [CrossRef] [Green Version]
- Lindquist, W.B.; Venkatarangan, A.; Dunsmuir, J.; Wong, T. Pore and throat size distributions measured from synchrotron X-ray tomographic images of Fontainebleau sandstones. J. Geophys. Res. Solid Earth 2000, 105, 21509–21527. [Google Scholar] [CrossRef] [Green Version]
- Prodanović, M.; Lindquist, W.B.; Seright, R.S. 3D image-based characterization of fluid displacement in a Berea core. Adv. Water Resour. 2007, 30, 214–226. [Google Scholar] [CrossRef]
- Silin, D.; Patzek, T. Pore space morphology analysis using maximal inscribed spheres. Phys. A Stat. Mech. its Appl. 2006, 371, 336–360. [Google Scholar] [CrossRef]
- Rabbani, A.; Jamshidi, S.; Salehi, S. An automated simple algorithm for realistic pore network extraction from micro-tomography images. J. Pet. Sci. Eng. 2014, 123, 164–171. [Google Scholar] [CrossRef]
- Raeini, A.Q.; Bijeljic, B.; Blunt, M.J. Generalized network modeling of capillary-dominated two-phase flow. Phys. Rev. E 2018, 97, 23308. [Google Scholar] [CrossRef] [Green Version]
- Rabbani, A.; Babaei, M. Hybrid pore-network and lattice-Boltzmann permeability modelling accelerated by machine learning. Adv. Water Resour. 2019, 126, 116–128. [Google Scholar] [CrossRef] [Green Version]
- Costa, T.B.; Kennedy, K.; Peszynska, M. Hybrid three-scale model for evolving pore-scale geometries. Comput. Geosci. 2018, 22, 925–950. [Google Scholar] [CrossRef]
- Blunt, M.J.; Jackson, M.D.; Piri, M.; Valvatne, P.H. Detailed physics, predictive capabilities and macroscopic consequences for pore-network models of multiphase flow. Adv. Water Resour. 2002, 25, 1069–1089. [Google Scholar] [CrossRef]









| Network | Pore Area/Total Void Area | Throat Area/Total Void Area | Pore Area/Throat Area | ||||
|---|---|---|---|---|---|---|---|
| H1 | 9.48 | 7.71 | 0.856 | 0.144 | 5.94 | 18 | |
| H2 | 5.24 | 4.58 | 0.806 | 0.194 | 4.14 | 20 | |
| H3 | 3.82 | 3.55 | 0.782 | 0.218 | 3.58 | 23 | |
| H4 | 3.12 | 3 | 0.771 | 0.229 | 3.36 | 25 |
| Network | KD × 109 (m2) | KF × 109 (m2) | β × 10−2 (m−1) |
|---|---|---|---|
| H1 | 5.4 | 5.3 | 167 |
| H2 | 38.7 | 38.1 | 35.4 |
| H3 | 118 | 119 | 15.1 |
| H4 | 256 | 257 | 8.51 |
| Throats | Pores | Total | ||||||||||
|---|---|---|---|---|---|---|---|---|---|---|---|---|
| Network | 1 | 2 | ||||||||||
| H1 | 2 | 2.07 | 0.124 | 2 | 2.48 | 0.98 | 0.0093 | 2.18 | 0.025 | 6.07 | 0.030 | 0.030 |
| H2 | 2 | 2.11 | 0.093 | 2 | 2.35 | 1.09 | 0.0133 | 2.17 | 0.047 | 4.33 | 0.031 | 0.031 |
| H3 | 2 | 2.14 | 0.075 | 2 | 2.32 | 1.2 | 0.023 | 2.21 | 0.071 | 4.27 | 0.037 | 0.036 |
| H4 | 2 | 2.21 | 0.07 | 2 | 2.3 | 1.6 | 0.023 | 2.3 | 0.091 | 4.19 | 0.039 | 0.037 |
| 3 | 0.23 | 0.19 | 0.35 | 0.43 | 0.17 | 0.093 | 0.096 | |||||
Publisher’s Note: MDPI stays neutral with regard to jurisdictional claims in published maps and institutional affiliations. |
© 2022 by the authors. Licensee MDPI, Basel, Switzerland. This article is an open access article distributed under the terms and conditions of the Creative Commons Attribution (CC BY) license (https://creativecommons.org/licenses/by/4.0/).
Share and Cite
Adloo, H.; Foshat, S.; Vaferi, B.; Alobaid, F.; Aghel, B. Discrimination between Pore and Throat Resistances against Single-Phase Flow in Porous Media. Water 2022, 14, 1064. https://doi.org/10.3390/w14071064
Adloo H, Foshat S, Vaferi B, Alobaid F, Aghel B. Discrimination between Pore and Throat Resistances against Single-Phase Flow in Porous Media. Water. 2022; 14(7):1064. https://doi.org/10.3390/w14071064
Chicago/Turabian StyleAdloo, Hadi, Saeed Foshat, Behzad Vaferi, Falah Alobaid, and Babak Aghel. 2022. "Discrimination between Pore and Throat Resistances against Single-Phase Flow in Porous Media" Water 14, no. 7: 1064. https://doi.org/10.3390/w14071064
APA StyleAdloo, H., Foshat, S., Vaferi, B., Alobaid, F., & Aghel, B. (2022). Discrimination between Pore and Throat Resistances against Single-Phase Flow in Porous Media. Water, 14(7), 1064. https://doi.org/10.3390/w14071064

