Global Dieting Trends and Seasonality: Social Big-Data Analysis May Be a Useful Tool
Abstract
1. Introduction
1.1. Big-Data in Public Health
1.2. Dieting
1.3. Aims and Goals
2. Methods
2.1. Searching Tools and Keyword
2.2. Study Population and Data
2.3. Theoretical. Model
2.4. Statistical Analyses
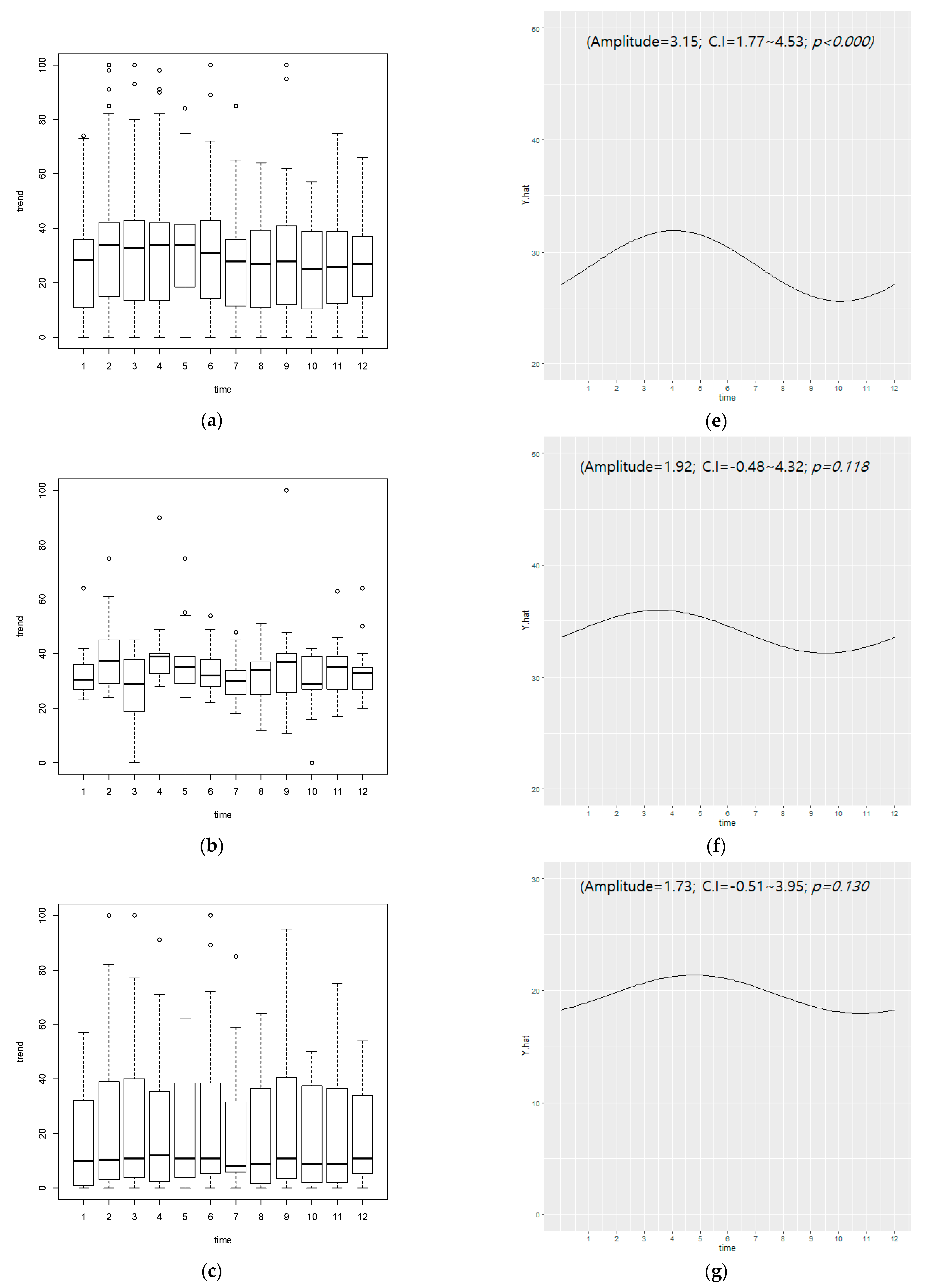
3. Results
3.1. Descriptive Statistics
3.2. Cosinor Analysis
4. Discussion
Strengths and Limitations
5. Conclusions
Author Contributions
Funding
Institutional Review Board Statement
Informed Consent Statement
Data Availability Statement
Acknowledgments
Conflicts of Interest
References
- Wikidepia. Big Data [Internet]. Available online: https://en.wikipedia.org/wiki/Big_data (accessed on 23 February 2021).
- McAfee, A.; Brynjolfsson, E.; Davenport, T.H.; Patil, D.; Barton, D. Big data: The management revolution. Harv. Bus. Rev. 2012, 90, 60–68. [Google Scholar]
- Gantz, J.; Reinsel, D. The digital universe in 2020: Big data, bigger digital shadows, and biggest growth in the far east. IDC IView IDC Anal. Future 2012, 2007, 1–16. [Google Scholar]
- Hoover, R.; Sheth, P.; Burde, A. Determining the accuracy of open-access databases for identifying commonly prescribed oral medications. J. Am. Pharm. Assoc. 2016, 56, 37–40. [Google Scholar] [CrossRef]
- Laffer, M.S.; Feldman, S.R. Improving medication adherence through technology: Analyzing the managing meds video challenge. Ski. Res. Technol. 2014, 20, 62–66. [Google Scholar] [CrossRef]
- Annamalai, M.; Jesintha, D.X.M. Smart IoT System Based Patient Monitoring and Medicine Reminder Based on Registry Service Selection Scheme. Eur. J. Mol. Clin. Med. 2021, 7, 2710–2721. [Google Scholar]
- Manyazewal, T.; Woldeamanuel, Y.; Holland, D.P.; Fekadu, A.; Blumberg, H.M.; Marconi, V.C. Electronic pillbox-enabled self-administered therapy versus standard directly observed therapy for tuberculosis medication adherence and treatment outcomes in Ethiopia (SELFTB): Protocol for a multicenter randomized controlled trial. Trials 2020, 21, 1–13. [Google Scholar] [CrossRef]
- Ahmed, M.N.; Toor, A.S.; O’Neil, K.; Friedland, D. Cognitive computing and the future of health care cognitive computing and the future of healthcare: The cognitive power of IBM Watson has the potential to transform global personalized medicine. IEEE Pulse 2017, 8, 4–9. [Google Scholar] [CrossRef]
- Carneiro, H.A.; Mylonakis, E. Google trends: A web-based tool for real-time surveillance of disease outbreaks. Clin. Infect. Dis. 2009, 49, 1557–1564. [Google Scholar] [CrossRef]
- Cho, S.; Sohn, C.H.; Jo, M.W.; Shin, S.-Y.; Lee, J.H.; Ryoo, S.M.; Kim, W.Y.; Seo, D.-W. Correlation between national influenza surveillance data and google trends in South Korea. PLoS ONE 2013, 8, e81422. [Google Scholar] [CrossRef] [PubMed]
- Kang, M.; Zhong, H.; He, J.; Rutherford, S.; Yang, F. Using google trends for influenza surveillance in South China. PLoS ONE 2013, 8, e55205. [Google Scholar] [CrossRef]
- Dugas, A.F.; Hsieh, Y.-H.; Levin, S.R.; Pines, J.M.; Mareiniss, D.P.; Mohareb, A.; Gaydos, C.A.; Perl, T.M.; Rothman, R.E. Google Flu Trends: Correlation with emergency department influenza rates and crowding metrics. Clin. Infect. Dis. 2012, 54, 463–469. [Google Scholar] [CrossRef]
- Bhattacharya, I.; Ramachandran, A.; Bhattacharya, J.; Dogra, N. Google trends for formulating GIS mapping of disease outbreaks in India. Int. J. Geoinform. 2013, 9, 9–19. [Google Scholar]
- Ayers, J.W.; Althouse, B.M.; Allem, J.-P.; Rosenquist, J.N.; Ford, D.E. Seasonality in seeking mental health information on Google. Am. J. Prev. Med. 2013, 44, 520–525. [Google Scholar] [CrossRef] [PubMed]
- Yang, A.C.; Huang, N.E.; Peng, C.-K.; Tsai, S.-J. Do seasons have an influence on the incidence of depression? The use of an internet search engine query data as a proxy of human affect. PLoS ONE 2010, 5, e13728. [Google Scholar] [CrossRef]
- Butler, D. When Google got flu wrong. Nature 2013, 494, 155. [Google Scholar] [CrossRef]
- Lazer, D.; Kennedy, R.; King, G.; Vespignani, A. The parable of Google Flu: Traps in big data analysis. Science 2014, 343, 1203–1205. [Google Scholar] [CrossRef] [PubMed]
- Valencia, W.M.; Stoutenberg, M.; Florez, H. Weight loss and physical activity for disease prevention in obese older adults: An important role for lifestyle management. Curr. Diabetes Rep. 2014, 14, 539. [Google Scholar] [CrossRef]
- England, N. Implementing the Five Year forward View for Mental Health; NHS: London, UK, 2016. [Google Scholar]
- CDC. The Health Effects of Overweight and Obesity. Available online: https://www.cdc.gov/healthyweight/effects/index.html (accessed on 27 February 2021).
- Lavie, C.J.; Milani, R.V.; Ventura, H.O. Obesity and cardiovascular disease: Risk factor, paradox, and impact of weight loss. J. Am. Coll. Cardiol. 2009, 53, 1925–1932. [Google Scholar] [CrossRef]
- Guh, D.P.; Zhang, W.; Bansback, N.; Amarsi, Z.; Birmingham, C.L.; Anis, A.H. The incidence of co-morbidities related to obesity and overweight: A systematic review and meta-analysis. BMC Public Health 2009, 9, 88. [Google Scholar] [CrossRef]
- Scott, K.M.; Bruffaerts, R.; Simon, G.E.; Alonso, J.; Angermeyer, M.; de Girolamo, G.; Demyttenaere, K.; Gasquet, I.; Haro, J.M.; Karam, E. Obesity and mental disorders in the general population: Results from the world mental health surveys. Int. J. Obes. 2008, 32, 192. [Google Scholar] [CrossRef]
- Wang, F.; Wild, T.; Kipp, W.; Kuhle, S.; Veugelers, P. The influence of childhood obesity on the development of self-esteem. Health Rep. 2009, 20, 21. [Google Scholar]
- Luppino, F.S.; de Wit, L.M.; Bouvy, P.F.; Stijnen, T.; Cuijpers, P.; Penninx, B.W.; Zitman, F.G. Overweight, obesity, and depression: A systematic review and meta-analysis of longitudinal studies. Arch. Gen. Psychiatry 2010, 67, 220–229. [Google Scholar] [CrossRef]
- Fox, C.L.; Farrow, C.V. Global and physical self-esteem and body dissatisfaction as mediators of the relationship between weight status and being a victim of bullying. J. Adolesc. 2009, 32, 1287–1301. [Google Scholar] [CrossRef]
- Abuyassin, B.; Laher, I. Obesity-linked diabetes in the Arab world: A review. East. Mediterr. Health J. 2015, 21, 420. [Google Scholar] [CrossRef] [PubMed]
- Johnson, F.; Cooke, L.; Croker, H.; Wardle, J. Changing perceptions of weight in Great Britain: Comparison of two population surveys. BMJ 2008, 337, a494. [Google Scholar] [CrossRef]
- Burke, M.A.; Heiland, F.W.; Nadler, C.M. From “overweight” to “about right”: Evidence of a generational shift in body weight norms. Obesity 2010, 18, 1226–1234. [Google Scholar] [CrossRef] [PubMed]
- Madden, K.M. The seasonal periodicity of healthy contemplations about exercise and weight loss: Ecological correlational study. JMIR Public Health Surveill. 2017, 3, e92. [Google Scholar] [CrossRef] [PubMed]
- Deal, B.J.; Huffman, M.D.; Binns, H.; Stone, N.J. Perspective: Childhood obesity requires new strategies for prevention. Adv. Nutr. 2020, 11, 1071–1078. [Google Scholar] [CrossRef]
- Low, S.; Chin, M.C.; Deurenberg-Yap, M. Review on epidemic of obesity. Ann. Acad. Med. Singap. 2009, 38, 57. [Google Scholar]
- Piernas, C.; Aveyard, P.; Jebb, S. Recent trends in weight loss attempts: Repeated cross-sectional analyses from the health survey for England. Int. J. Obes. 2016, 40, 1754. [Google Scholar] [CrossRef]
- Polivy, J.; Heatherton, T. Spiral Model of Dieting and Disordered Eating. In Encyclopedia of Feeding and Eating Disorders; Springer: Berlin/Heidelberg, Germany, 2015; pp. 791–793. [Google Scholar]
- Ferreira, C.; Trindade, I.A.; Martinho, A. Explaining rigid dieting in normal-weight women: The key role of body image inflexibility. Eat. Weight Disord. Stud. Anorex. Bulim. Obes. 2016, 21, 49–56. [Google Scholar] [CrossRef]
- Grogan, S. Body Image: Understanding Body Dissatisfaction in Men, Women and Children; Taylor & Francis: Abingdon, UK, 2016. [Google Scholar]
- Osborn, R.L.; Forys, K.L.; Psota, T.L.; Sbrocco, T. Yo-yo dieting in African American women: Weight cycling and health. Ethn. Dis. 2011, 21, 274. [Google Scholar] [PubMed]
- Ismail, T.A.T.; Jalil, R.A.; Ishak, W.R.W.; Hamid, N.F.; Nik, W.S.W.; Mohamed, H.J.J.; Mohd, N.H.; Arifin, W.N.; Mohamed, W.M.I.W.; Ibrahim, M.I.; et al. Understanding Dieting and Previous Weight Loss Attempts among Overweight and Obese Participants: Insights into My Body Is Fit and Fabulous at Work Program. Korean J. Fam. Med. 2018, 39, 15–22. [Google Scholar] [CrossRef]
- Capala, M. Global Search Engine Market Share for 2018 in the Top 15 GDP Nations. Available online: https://alphametic.com/global-search-engine-market-share (accessed on 10 January 2021).
- Logger. Internet Trend. Available online: http://internettrend.co.kr/trendForward.tsp (accessed on 27 February 2021).
- McCabe, M.P.; Waqa, G.; Dev, A.; Cama, T.; Swinburn, B.A. The role of cultural values and religion on views of body size and eating practices among adolescents from Fiji, Tonga, and Australia. Br. J. Health Psychol. 2013, 18, 383–394. [Google Scholar] [CrossRef]
- McCabe, M.P.; Busija, L.; Fuller-Tyszkiewicz, M.; Ricciardelli, L.; Mellor, D.; Mussap, A. Sociocultural influences on strategies to lose weight, gain weight, and increase muscles among ten cultural groups. Body Image 2015, 12, 108–114. [Google Scholar] [CrossRef]
- Maziak, W. Science, modernity, and the Muslim world: To improve scientific research in Muslim countries requires profound social and economic liberalization of their societies. EMBO Rep. 2017, 18, 194–197. [Google Scholar] [CrossRef] [PubMed]
- Tanaka, T.; Natsume, T.; Shibata, H.; Nozawa, K.-I.; Kojima, S.-I.; Tsuchiya, M.; Ashida, T.; Ikeda, M. Circadian rhythm of blood pressure in primary aldosteronism and renovascular hypertension: Analysis by the cosinor method. Jpn. Circ. J. 1983, 47, 788–794. [Google Scholar] [CrossRef][Green Version]
- Massin, M.M.; Maeyns, K.; Withofs, N.; Ravet, F.; Gérard, P. Circadian rhythm of heart rate and heart rate variability. Arch. Dis. Child. 2000, 83, 179–182. [Google Scholar] [CrossRef]
- Muzhikov, V.; Vershinina, E.; Muzhikov, R. Possibilities of the Akabane Test and Cosinor Analysis to Predict the Level of Glycemia and the Individual Selection of Drugs and their Doses in the Treatment of Diabetes. Biomed. J. Sci. Tech. Res. 2020, 29, 22502–22510. [Google Scholar] [CrossRef]
- Portela, A.; Northrup, G.; Halberg, F.; Cornélissen, G.; Wendt, H.; Melby, J.C.; Haus, E. Changes in human blood pressure with season, age and solar cycles: A 26-year record. Int. J. Biometeorol. 1996, 39, 176–181. [Google Scholar] [CrossRef]
- Oberg, A.L.; Ferguson, J.A.; McIntyre, L.M.; Horner, R.D. Incidence of stroke and season of the year: Evidence of an association. Am. J. Epidemiol. 2000, 152, 558–564. [Google Scholar] [CrossRef]
- Degerud, E.; Hoff, R.; Nygård, O.; Strand, E.; Nilsen, D.; Nordrehaug, J.E.; Midttun, Ø.; Ueland, P.M.; De Vogel, S.; Dierkes, J. Cosinor modelling of seasonal variation in 25-hydroxyvitamin D concentrations in cardiovascular patients in Norway. Eur. J. Clin. Nutr. 2016, 70, 517. [Google Scholar] [CrossRef] [PubMed]
- Cornelissen, G. Cosinor-based rhythmometry. Theor. Biol. Med. Model. 2014, 11, 16. [Google Scholar] [CrossRef] [PubMed]
- Chan, R.S.; Woo, J. Prevention of overweight and obesity: How effective is the current public health approach. Int. J. Environ. Res. Public Health 2010, 7, 765–783. [Google Scholar] [CrossRef] [PubMed]
- Sassi, F. Obesity and the Economics of Prevention; Edward Elgar Publishing: Jotham, UK, 2010. [Google Scholar]
- Kiley, R. Medical Information on the Internet: A Guide for Health Professionals; Harcourt Health Sciences: London, UK, 2003. [Google Scholar]
- Winker, M.A.; Flanagin, A.; Chi-Lum, B.; White, J.; Andrews, K.; Kennett, R.L.; DeAngelis, C.D.; Musacchio, R.A. Guidelines for medical and health information sites on the internet: Principles governing AMA web sites. JAMA 2000, 283, 1600–1606. [Google Scholar] [CrossRef]
- Slater, M.D.; Zimmerman, D.E. Descriptions of Web sites in search listings: A potential obstacle to informed choice of health information. Am. J. Public Health 2003, 93, 1281–1282. [Google Scholar] [CrossRef] [PubMed][Green Version]
- Sillence, E.; Briggs, P.; Harris, P.R.; Fishwick, L. How do patients evaluate and make use of online health information? Soc. Sci. Med. 2007, 64, 1853–1862. [Google Scholar] [CrossRef]
- Basch, C.H.; Ethan, D.; Kecojevic, A. Comparing Health-Related News Articles to Original Research Studies: A Lesson for Research Methods. Pedagog. Health Promot. 2017, 3, 202–206. [Google Scholar] [CrossRef]
- Quick, V.; Nansel, T.R.; Liu, D.; Lipsky, L.M.; Due, P.; Iannotti, R.J. Body size perception and weight control in youth: 9-year international trends from 24 countries. Int. J. Obes. 2014, 38, 988–994. [Google Scholar] [CrossRef]
- Stice, E.; Shaw, H.E. Adverse effects of the media portrayed thin-ideal on women and linkages to bulimic symptomatology. J. Soc. Clin. Psychol. 1994, 13, 288–308. [Google Scholar] [CrossRef]
- Daniels, J. Weight and weight concerns: Are they associated with reported depressive symptoms in adolescents? J. Pediatric Health Care 2005, 19, 33–41. [Google Scholar]
- Mamun, A.; Cramb, S.; McDermott, B.M.; O’callaghan, M.; Najman, J.M.; Williams, G.M. Adolescents’ perceived weight associated with depression in young adulthood: A longitudinal study. Obesity 2007, 15, 3097–3105. [Google Scholar] [CrossRef] [PubMed]
- Herpertz-Dahlmann, B.; Dempfle, A.; Konrad, K.; Klasen, F.; Ravens-Sieberer, U.; Group, B.S. Eating disorder symptoms do not just disappear: The implications of adolescent eating-disordered behaviour for body weight and mental health in young adulthood. Eur. Child Adolesc. Psychiatry 2015, 24, 675–684. [Google Scholar] [CrossRef]
- Richard, A.; Rohrmann, S.; Lohse, T.; Eichholzer, M. Is body weight dissatisfaction a predictor of depression independent of body mass index, sex and age? Results of a cross-sectional study. BMC Public Health 2016, 16, 863. [Google Scholar] [CrossRef] [PubMed]
- Sweeting, H.; Walker, L.; MacLean, A.; Patterson, C.; Räisänen, U.; Hunt, K. Prevalence of eating disorders in males: A review of rates reported in academic research and UK mass media. Int. J. Men’s Health 2015, 14, 14. [Google Scholar]
- Marti-Soler, H.; Gonseth, S.; Gubelmann, C.; Stringhini, S.; Bovet, P.; Chen, P.-C.; Wojtyniak, B.; Paccaud, F.; Tsai, D.-H.; Zdrojewski, T. Seasonal variation of overall and cardiovascular mortality: A study in 19 countries from different geographic locations. PLoS ONE 2014, 9, e113500. [Google Scholar] [CrossRef] [PubMed]
- Helander, E.E.; Wansink, B.; Chieh, A. Weight gain over the holidays in three countries. N. Engl. J. Med. 2016, 375, 1200–1202. [Google Scholar] [CrossRef]
- Phelan, S.; Wing, R.R.; Raynor, H.A.; Dibello, J.; Nedeau, K.; Peng, W. Holiday weight management by successful weight losers and normal weight individuals. J. Consult. Clin. Psychol. 2008, 76, 442. [Google Scholar] [CrossRef]
- Thompson, J.K.; Heinberg, L.J. The media’s influence on body image disturbance and eating disorders: We’ve reviled them, now can we rehabilitate them? J. Soc. Issues 1999, 55, 339–353. [Google Scholar] [CrossRef]
- Yamasaki, J.; Geist-Martin, P.; Sharf, B.F. Storied Health and Illness: Communicating Personal, Cultural, and Political Complexities; Waveland Press: Long Grove, IL, USA, 2016. [Google Scholar]
- Dutta-Bergman, M.J. Primary sources of health information: Comparisons in the domain of health attitudes, health cognitions, and health behaviors. Health Commun. 2004, 16, 273–288. [Google Scholar] [CrossRef]






| Diet | Dieting | Weight Loss | |
|---|---|---|---|
| Diet | 1.000 | 0.980 <0.000 | 0.975 <0.000 |
| Dieting | 0.980 <0.000 | 1.000 | 0.946 <0.000 |
| Weight loss | 0.975 <0.000 | 0.946 <0.000 | 1.000 |
| Month | Six Countries with Highest Search Volume Mean (SD) | Arab and Muslim Countries Mean (SD) | South Korea Mean (SD) | ||||||
|---|---|---|---|---|---|---|---|---|---|
| Overall | Northern Hemisphere | Southern Hemisphere | Overall | Conservative | Semi-Conservative | Liberal | Naver | ||
| January | 68.0 (16.6)↑ | 66.3 (15.8)↑ | 69.8 (16.8)↑ | 26.6 (16.5) | 33.1 (9.4) | 17.0 (16.5)↓ | 34.1 (13.3) | 23.2 (22.4)↑ | 49.2 (9.0) |
| February | 56.4 (13.0) | 56.4 (11.7) | 56.4 (14.3) | 32.2 (21.6) | 39.3 (13.3) | 21.0 (21.9) | 40.9 (18.6) | 20.3 (13.1) | 56.7 (25.2) |
| March | 54.9 (12.9) | 53.8 (11.9) | 56.1 (13.9) | 31.9 (22.3) | 27.8 (13.1)↓ | 22.0 (23.5) | 43.1 (18.3)↑ | 17.7 (13.5) | 62.2 (20.2)↑ |
| April | 57.1 (13.0) | 56.8 (10.5) | 57.3 (15.2) | 32.3 (20.9)↑ | 40.5 (13.9)↑ | 21.0 (21.1) | 40.9 (17.3) | 17.8 (10.1) | 58.7 (15.3) |
| May | 57.6 (13.1) | 57.9 (12.4) | 57.3 (13.9) | 30.8 (18.2) | 37.9 (12.9) | 20.2 (18.6) | 39.1 (13.3) | 18.8 (9.5) | 58.1 (15.7) |
| June | 54.8 (12.4) | 55.6 (10.7) | 54.0 (13.9) | 31.5 (22.0) | 34.5 (9.1) | 22.8 (24.6)↑ | 39.1 (19.3) | 21.1 (10.8) | 49.7 (9.6) |
| July | 54.8 (12.8) | 53.7 (11.6) | 55.9 (14.0) | 26.7 (17.7) | 30.4 (8.8) | 18.6 (19.5) | 33.6 (14.7) | 20.1 (11.1) | 47.1 (6.8) |
| August | 54.9 (13.5) | 50.7 (11.1) | 59.1 (14.4) | 26.1 (16.7) | 31.4 (10.4) | 18.4 (18.5) | 32.1 (13.3) | 19.2 (10.7) | 44.3 (4.0) |
| September | 55.4 (13.8) | 48.3 (7.9) | 62.5 (14.9) | 29.2 (20.0) | 36.3 (19.3) | 21.1 (21.4) | 34.9 (15.8) | 19.9 (17.3) | 38.3 (4.0) |
| October | 52.3 (13.0) | 45.4 (7.3) | 59.3 (13.9) | 25.3 (15.8)↓ | 29.6 (11.1) | 17.8 (18.0) | 31.3 (11.1) | 17.5 (13.6) | 39.3 (4.7) |
| November | 49.8 (12.3) | 43.7 (7.5) | 55.9 (13.2) | 26.6 (16.8) | 34.3 (107) | 18.1 (18.6) | 32.6 (12.5) | 15.8 (10.8) | 37.5 (5.3) |
| December | 41.5 (10.6) ↑ | 37.2 (7.7)↓ | 45.8 (11.5)↓ | 25.7 (15.2) | 33.6 (10.6) | 18.0 (16.4) | 30.8 (11.4)↓ | 16.3 (13.5)↓ | 36.2 (5.6)↓ |
Publisher’s Note: MDPI stays neutral with regard to jurisdictional claims in published maps and institutional affiliations. |
© 2021 by the authors. Licensee MDPI, Basel, Switzerland. This article is an open access article distributed under the terms and conditions of the Creative Commons Attribution (CC BY) license (http://creativecommons.org/licenses/by/4.0/).
Share and Cite
Park, M.-B.; Wang, J.M.; Bulwer, B.E. Global Dieting Trends and Seasonality: Social Big-Data Analysis May Be a Useful Tool. Nutrients 2021, 13, 1069. https://doi.org/10.3390/nu13041069
Park M-B, Wang JM, Bulwer BE. Global Dieting Trends and Seasonality: Social Big-Data Analysis May Be a Useful Tool. Nutrients. 2021; 13(4):1069. https://doi.org/10.3390/nu13041069
Chicago/Turabian StylePark, Myung-Bae, Ju Mee Wang, and Bernard E. Bulwer. 2021. "Global Dieting Trends and Seasonality: Social Big-Data Analysis May Be a Useful Tool" Nutrients 13, no. 4: 1069. https://doi.org/10.3390/nu13041069
APA StylePark, M.-B., Wang, J. M., & Bulwer, B. E. (2021). Global Dieting Trends and Seasonality: Social Big-Data Analysis May Be a Useful Tool. Nutrients, 13(4), 1069. https://doi.org/10.3390/nu13041069

