Fabrication and Evaluation of Polyhydroxyalkanoate-Based Nanoparticles for Curcumin Delivery in Biomedical Applications
Abstract
1. Introduction
2. Results and Discussion
2.1. Characteristics of Polymeric Nanoparticles Based on Polyhydroxyalkanoates
2.2. In Vitro Release Profiles of Curcumin from PHA-Based Nanoparticles
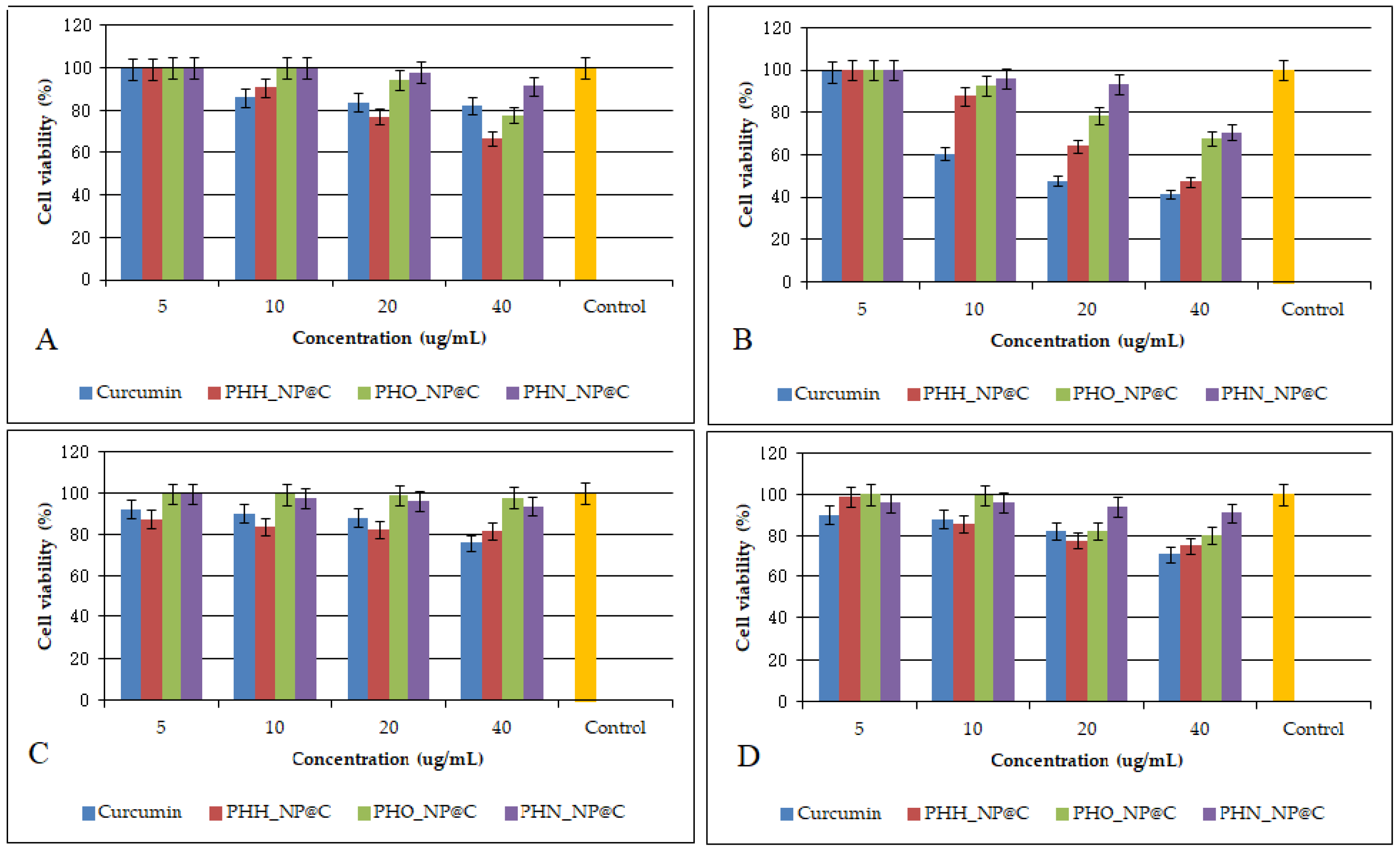
2.3. Cytotoxicity and Antiproliferative Effects of PHA-Based Nanoparticles Loaded with Curcumin
2.4. Evaluation of Dermal Toxicity and Irritability of PHA-Based Nanoparticles Loaded with Curcumin
3. Materials and Methods
3.1. Materials
3.2. Preparation of Nanoparticles Based on PHAs Loaded with Curcumin
3.3. Characterization of PHA-Based Nanoparticles Loaded with Curcumin
3.4. In Vitro Curcumin Release from PHA-Based Nanoparticles
3.5. In Vitro Cytotoxicity and Antiproliferative Effect of Nanoparticles Based on PHAs Loaded with Curcumin
3.6. Evaluation of Dermal Irritability and Corrosivity of Nanoparticles Based on PHAs Loaded with Curcumin
3.6.1. Tissue Pre-Cultivation
3.6.2. Sample Preparation and Exposure
3.6.3. MTT Assay and Viability Assessment
4. Conclusions
Author Contributions
Funding
Institutional Review Board Statement
Informed Consent Statement
Data Availability Statement
Conflicts of Interest
References
- Beach, M.A.; Nayanathara, U.; Gao, Y.; Zhang, C.; Xiong, Y.; Wang, Y.; Such, G.K. Polymeric Nanoparticles for Drug Delivery. Chem. Rev. 2024, 124, 5505–5616. [Google Scholar] [CrossRef]
- Bhardwaj, H.; Jangde, R.K. Current updated review on preparation of polymeric nanoparticles for drug delivery and biomedical applications. Next Nanotechnol. 2023, 2, 100013. [Google Scholar] [CrossRef]
- Yudaev, P.; Tupikov, A.; Chistyakov, E. Organocyclophosphazenes and Materials Based on Them for Pharmaceuticals and Biomedicine. Biomolecules 2025, 15, 262. [Google Scholar] [CrossRef] [PubMed]
- Soppimath, K.; Aminabhavi, T.; Kulkarni, A.; Rudzinski, W. Biodegradable Polymeric Nanoparticles as Drug Delivery Devices. J. Control Release 2001, 70, 1–20. [Google Scholar] [CrossRef]
- Arif, U.; Haider, S.; Haider, A.; Khan, N.; Alghyamah, A.A.; Jamila, N.; Khan, M.I.; Almasry, W.A.; Kang, I.K. Biocompatible Polymers and their Potential Biomedical Applications: A Review. Curr. Pharm. Des. 2019, 25, 3608–3619. [Google Scholar] [CrossRef] [PubMed]
- Rao, J.P.; Geckeler, K.E. Polymer Nanoparticles: Preparation Techniques and Size-Control Parameters. Prog. Polym. Sci. 2011, 36, 887–913. [Google Scholar] [CrossRef]
- Zhang, J.; Shishatskaya, E.; Volova, T.; da Silva, F.L.; Chen, J.Q. Polyhydroxyalkanoates (PHA) for Therapeutic Applications. Mater. Sci. Eng. C 2018, 86, 144–150. [Google Scholar] [CrossRef]
- Ray, S.; Kalia, V.C. Biomedical Applications of Polyhydroxyalkanoates. Indian J. Microbiol. 2017, 57, 261–269. [Google Scholar] [CrossRef]
- Gregory, D.A.; Taylor, C.S.; Fricker, A.; Asare, E.; Tetali, S.; Haycock, J.W.; Roy, I. Polyhydroxyalkanoates and Their Advances for Biomedical Applications. Trends Mol. Med. 2022, 28, 331–342. [Google Scholar] [CrossRef]
- Defoirdt, T.; Boon, N.; Sorgeloos, P.; Verstraete, W.; Bossier, P. Short-Chain Fatty Acids and Poly-β-Hydroxyalkanoates: (New) Biocontrol Agents for a Sustainable Animal Production. Biotechnol. Adv. 2009, 27, 680–685. [Google Scholar] [CrossRef]
- Trucillo, P. Biomaterials for Drug Delivery and Human Applications. Materials 2024, 17, 456. [Google Scholar] [CrossRef]
- Mokhtarzadeh, A. Recent Advances on Biocompatible and Biodegradable Nanoparticles as Gene Carriers. Expert Opin. Biol. Ther. 2016, 16, 771–785. [Google Scholar] [CrossRef] [PubMed]
- Xiong, Y.C.; Yao, Y.C.; Zhan, X.Y.; Chen, G.Q. Application of Polyhydroxyalkanoates Nanoparticles as Intracellular Sustained Drug-Release Vectors. J. Biomater. Sci. Polym. Ed. 2010, 21, 127–140. [Google Scholar] [CrossRef] [PubMed]
- Hewlings, S.J.; Kalman, D.S. Curcumin: A Review of Its Effects on Human Health. Foods 2017, 6, 92. [Google Scholar] [CrossRef] [PubMed]
- Han, Y.; Fu, S.; Yang, X.; Wang, X.; Zhao, H.; Yang, X. Recent Nanotechnology Improvements in Curcumin Bioavailability and Related Applications. Food Biosci. 2024, 61, 104660. [Google Scholar] [CrossRef]
- Hu, Q.; Luo, Y. Chitosan-Based Nanocarriers for Encapsulation and Delivery of Curcumin: A Review. Int. J. Biol. Macromol. 2021, 179, 125–135. [Google Scholar] [CrossRef]
- Yadav, A.; Lomash, V.; Samim, M.; Flora, S.J. Curcumin Encapsulated in Chitosan Nanoparticles: A Novel Strategy for the Treatment of Arsenic Toxicity. Chem. Biol. Interact. 2012, 199, 49–61. [Google Scholar] [CrossRef]
- Sable, A.A.; Kunwar, A.; Barik, A. Alginate and Chitosan-Based Delivery Systems for Improving the Bioavailability and Therapeutic Efficacy of Curcumin. Pharmaceutics 2024, 16, 423. [Google Scholar] [CrossRef]
- Karim, A.; Rehman, A.; Feng, J.; Noreen, A.; Assadpour, E.; Kharazmi, M.S.; Lianfu, Z.; Jafari, S.M. Alginate-Based Nanocarriers for the Delivery and Controlled-Release of Bioactive Compounds. Adv. Colloid Interface Sci. 2022, 307, 102744. [Google Scholar] [CrossRef]
- Li, D.; Wei, Z.; Xue, C. Alginate-Based Delivery Systems for Food Bioactive Ingredients: An Overview of Recent Advances and Future Trends. Compr. Rev. Food Sci. Food Saf. 2021, 20, 5345–5369. [Google Scholar] [CrossRef]
- Zhong, C.; Luo, S.; Xiong, R.; Liu, C.; Ye, J. A New Green Self-Assembly Strategy for Preparing Curcumin-Loaded Starch Nanoparticles Based on Natural Deep Eutectic Solvent: Development, Characterization, and Stability. Food Hydrocoll. 2024, 151, 109878. [Google Scholar] [CrossRef]
- Miu, D.M.; Sha’at, F.; Neagu, G.; Albulescu, A.; Pavaloiu, R.D.; Eremia, M.C.; Jinga, S.I. Biopolymer Nanoparticles Loaded with Curcumin for Biomedical Applications. UPB Sci. Bull. Ser. B Chem. Mater. Sci. 2024, 86, 173–186. [Google Scholar]
- Senthilkumar, P.; Dawnb, S.S.; Samanvitha, K.S.; Kumar, S.S.; Kumar, G.N.; Samrot, A.V. Optimization and Characterization of Poly[R]Hydroxyalkanoate of Pseudomonas aeruginosa SU-1 to Utilize in Nanoparticle Synthesis for Curcumin Delivery. Biocatal. Agric. Biotechnol. 2017, 12, 292–298. [Google Scholar] [CrossRef]
- Miu, D.M.; Eremia, M.C.; Moscovici, M. Polyhydroxyalkanoates (PHAs) as Biomaterials in Tissue Engineering: Production, Isolation, Characterization. Materials 2022, 15, 1410. [Google Scholar] [CrossRef] [PubMed]
- Yallapu, M.M.; Jaggi, M.; Chauhan, S.C. β-Cyclodextrin-Curcumin Self-Assembly Enhances Curcumin Delivery in Prostate Cancer Cells. Colloids Surf. B 2010, 79, 113–125. [Google Scholar] [CrossRef] [PubMed]
- Aguilar-Rabiela, A.E.; Hernández-Cooper, E.M.; Otero, J.A.; Vergara-Porras, B. Modeling the Release of Curcumin from Microparticles of Poly(hydroxybutyrate) [PHB]. Int. J. Biol. Macromol. 2020, 144, 47–52. [Google Scholar] [CrossRef]
- Zhang, H.Z.; Gao, F.P.; Liu, L.R.; Li, X.M.; Zhou, Z.M.; Yang, X.D.; Zhang, Q.Q. Pullulan Acetate Nanoparticles Prepared by Solvent Diffusion Method for Epirubicin Chemotherapy. Colloids Surf. B 2009, 71, 19–26. [Google Scholar] [CrossRef]
- Lee, S.J.; Hong, G.Y.; Jeong, Y.I.; Kang, M.S.; Oh, J.S.; Song, C.E.; Lee, H.C. Paclitaxel-incorporated nanoparticles of hydrophobized polysaccharide and their antitumor activity. Int. J. Pharm 2012, 433, 121–128. [Google Scholar] [CrossRef]
- Mendyk, A.; Jachowicz, R. Unified Methodology of Neural Analysis in Decision Support Systems Built for Pharmaceutical Technology. Expert Syst. Appl. 2007, 32, 1124–1131. [Google Scholar] [CrossRef]
- Hemmati, K.; Ahmadi Nasab, N.; Hesaraki, S.; Nezafati, N. In vitro evaluation of curcumin-loaded chitosan-coated hydroxyapatite nanocarriers as a potential system for effective treatment of cancer. J. Biomater. Sci. Polym. 2021, 32, 1267–1287. [Google Scholar] [CrossRef]
- Zhou, H.; Ning, Y.; Zeng, G.; Zhou, C.; Ding, X. Curcumin promotes cell cycle arrest and apoptosis of acute myeloid leukemia cells by inactivating AKT. Oncol Rep 2021, 45, 11. [Google Scholar] [CrossRef]
- Zhai, K.; Brockmüller, A.; Kubatka, P.; Shakibaei, M.; Büsselberg, D. Curcumin’s Beneficial Effects on Neuroblastoma: Mechanisms, Challenges, and Potential Solutions. Biomolecules 2020, 10, 1469. [Google Scholar] [CrossRef]
- Demirci, Z.; Islek, Z.; Siginc, H.I.; Sahin, F.; Ucisik, M.H.; Bolat, Z.B. Curcumin-loaded emulsome nanoparticles induces apoptosis through p53 signaling pathway in pancreatic cancer cell line PANC-1. Toxicol Vitr. 2025, 102, 105958. [Google Scholar] [CrossRef] [PubMed]
- Farghadani, R.; Naidu, R. Curcumin: Modulator of Key Molecular Signaling Pathways in Hormone-Independent Breast Cancer. Cancers 2021, 13, 3427. [Google Scholar] [CrossRef]
- Sathyabhama, M.; Priya Dharshini, L.C.; Karthikeyan, A.; Kalaiselvi, S.; Min, T. The Credible Role of Curcumin in Oxidative Stress-Mediated Mitochondrial Dysfunction in Mammals. Biomolecules 2022, 12, 1405. [Google Scholar] [CrossRef] [PubMed]
- OECD. Guideline for the Testing of Chemicals: In Vitro Skin Irritation—Reconstructed Human Epidermis Test Method. OECD/OCDE 2019, 439. Available online: https://www.oecd.org/en/publications/2021/06/test-no-439-in-vitro-skin-irritation-reconstructed-human-epidermis-test-method_g1g59b2f.html (accessed on 15 February 2025).
- OECD. Guidelines for the Testing of Chemicals: In Vitro Skin Corrosion—Reconstructed Human Epidermis (RhE) Test Method. OECD/OCDE 2014, TG 431. Available online: https://www.oecd.org/en/publications/2019/06/test-no-431-in-vitro-skin-corrosion-reconstructed-human-epidermis-rhe-test-method_g1g6ed0a.html (accessed on 15 February 2025).
- European Commission. Classification and Labelling (CLP/GHS). Available online: https://single-market-economy.ec.europa.eu/sectors/chemicals/classification-and-labelling-clpghs_en (accessed on 12 February 2025).
- Shrivastav, A.; Kim, H.Y.; Kim, Y.R. Advances in the Applications of Polyhydroxyalkanoate Nanoparticles for Novel Drug Delivery System. Biomed. Res. Int. 2013, 2013, 581684. [Google Scholar] [CrossRef] [PubMed]
- Cercel, M.; Eremia, M.C.; Moscovici, M.; Cornea, P.; Lupescu, I.; Săvoiu, G.; Spiridon, M. Process for Obtaining Biodegradable Polymers by Microbial Path, Published in the State Office for Inventions and Trademarks (OSIM). RO Patent 125102-A8, 30 April 2014. [Google Scholar]
- Vladu, M.; Petrescu, M.; Stefaniu, A.; Savoiu, G. Studies on Polyhydroxyalkanoates Biosynthesis by Some Pseudomonas spp. Strains. Rom. Biotechnol. Lett. 2019, 24, 388–394. [Google Scholar] [CrossRef]
- Casas, J.W.; Lewerenz, G.M.; Rankin, E.A.; Willoughby, J.A.; Blakeman, L.C., Sr.; McKim, J.M.; Coleman, K.P. In vitro human skin irritation test for evaluation of medical device extracts. Toxicol In Vitro. 2013, 27, 2175–2183. [Google Scholar] [CrossRef]
- Wills, J.W.; Hondow, N.; Thomas, A.D.; Chapman, K.E.; Fish, D.; Maffeis, T.G.; Penny, M.W.; Brown, R.A.; Jenkins, G.J.; Brown, A.P.; et al. Genetic toxicity assessment of engineered nanoparticles using a 3D in vitro skin model (EpiDerm™). Part Fibre Toxicol. 2016, 13, 50. [Google Scholar] [CrossRef]


| Sample | EE (%) | Size (nm) * | PDI |
|---|---|---|---|
| PHH_NP@C | 80.41 ± 1.25 | 307.5 ± 3.44 | 0.219 ± 1.24 |
| PHO_NP@C | 82.47 ± 0.11 | 309.9 ± 1.55 | 0.247 ± 1.79 |
| PHN_NP@C | 84.35 ± 0.23 | 315 ± 2.76 | 0.289 ± 1.34 |
| Sample | Curcumin Content (mg per Total Formulation) | |||
|---|---|---|---|---|
| Initial | 1 Month | 2 Months | 3 Months | |
| PHH_NP@C | 4.12 ± 0.01 | 4.10 ± 0.02 | 4.08 ± 0.04 | 4.04 ± 0.02 |
| PHO_NP@C | 4.21 ± 0.02 | 4.20 ± 0.03 | 4.18 ± 0.03 | 4.13 ± 0.03 |
| PHN_NP@C | 4.25 ± 0.01 | 4.23 ± 0.02 | 4.21 ± 0.01 | 4.17 ± 0.04 |
| Sample | Size (nm) | |||
|---|---|---|---|---|
| Initial | 1 Month | 2 Months | 3 Months | |
| PHH_NP@C | 307.5 ± 3.44 | 308.4 ± 5.84 | 309.1 ± 3.54 | 310.5 ± 1.44 |
| PHO_NP@C | 309.9 ± 1.55 | 310.5 ± 2.55 | 311.2 ± 2.65 | 311.9 ± 2.45 |
| PHN_NP@C | 315 ± 2.76 | 315.8 ± 3.75 | 316.3 ± 1.66 | 317 ± 2.44 |
| Release Medium: PBS 0.1 M pH 7.4 | Release Medium: PBS 0.1 M pH 5 | |||||
|---|---|---|---|---|---|---|
| Model | R2 | AIC | RMSE | R2 | AIC | RMSE |
| PHH_NP@C | ||||||
| Zero order | 0.7768 | 106.1746 | 10.2735 | 0.9077 | 78.6231 | 3.8404 |
| First order | 0.1436 | 156.9316 | 62.9483 | 0.2030 | 134.8438 | 28.6016 |
| Hixson–Crowell | 0.4299 | 118.3895 | 15.8919 | 0.6595 | 87.9145 | 5.3517 |
| Higuchi | 0.6695 | 111.6706 | 12.5015 | 0.5684 | 100.2178 | 8.3047 |
| Korsmeyer–Peppas | 0.9741 | 114.3055 | 13.7351 | 0.9887 | 84.1526 | 4.6789 |
| Weibull | 0.9744 | 91.5702 | 6.0981 | 0.9865 | 86.8556 | 5.1531 |
| Baker–Lonsdale | 0.9624 | 145.5648 | 41.9449 | 0.7769 | 123.1996 | 18.8705 |
| PHO_NP@C | ||||||
| Zero order | 0.6454 | 111.2418 | 12.3115 | 0.8576 | 94.3508 | 6.7348 |
| First order | 0.1283 | 157.8511 | 65.0497 | 0.1355 | 144.6726 | 40.6294 |
| Hixson–Crowell | 0.3055 | 121.0583 | 17.4812 | 0.4978 | 103.7460 | 9.4200 |
| Higuchi | 0.3839 | 118.9761 | 16.2283 | 0.8221 | 97.4691 | 7.5282 |
| Korsmeyer–Peppas | 0.9387 | 126.2095 | 21.0121 | 0.9943 | 108.8406 | 11.2997 |
| Weibull | 0.9384 | 109.7094 | 11.6558 | 0.9959 | 92.2845 | 6.2557 |
| Baker–Lonsdale | 0.9443 | 148.4218 | 46.4508 | 0.8917 | 138.6672 | 32.7864 |
| PHN_NP@C | ||||||
| Zero order | 0.5499 | 113.3368 | 13.2680 | 0.9273 | 87.4120 | 5.2565 |
| First order | 0.1161 | 154.0049 | 56.7008 | 0.1436 | 147.6702 | 45.2204 |
| Hixson–Crowell | 0.2615 | 120.5077 | 17.1408 | 0.5627 | 102.6912 | 9.0717 |
| Higuchi | 0.2499 | 120.4888 | 17.1292 | 0.8504 | 97.5217 | 7.5423 |
| Korsmeyer–Peppas | 0.9466 | 131.6434 | 25.5124 | 0.9964 | 102.2520 | 8.9305 |
| Weibull | 0.9458 | 116.8895 | 15.0629 | 0.9980 | 80.4967 | 4.1062 |
| Baker–Lonsdale | 0.8197 | 148.3988 | 46.4126 | 0.9513 | 139.8785 | 34.2359 |
| Korsmeyer–Peppas Parameters | Weibull Parameters | ||||
|---|---|---|---|---|---|
| Sample | Release Medium | n | KKP | a | b |
| PHH_NP@C | PBS 0.1 M pH 7.4 | 0.6503 | 31.2864 | 2.4498 | 0.6663 |
| PHO_NP@C | PBS 0.1 M pH 7.4 | 0.6555 | 35.1844 | 2.083 | 0.6727 |
| PHN_NP@C | PBS 0.1 M pH 7.4 | 0.6534 | 37.1902 | 1.9703 | 0.6700 |
| PHH_NP@C | PBS 0.1 M pH 5 | 0.6103 | 10.5847 | 8.6340 | 0.6162 |
| PHO_NP@C | PBS 0.1 M pH 5 | 0.6360 | 26.5643 | 3.1105 | 0.6475 |
| PHN_NP@C | PBS 0.1 M pH 5 | 0.6370 | 26.9083 | 3.0422 | 0.6493 |
| Product | Mean OD | STDEV | P (3) | P (4) | Relative Viability (%) |
|---|---|---|---|---|---|
| SDS, 1 | 0.057 | 0.0063 | - | - | 1.92 |
| PBS, 2 | 1.466 | 0.1465 | - | - | 100 |
| PHH_NP@C | 1.189 | 0.1301 | 2.9 × 10−9 | 0.056 | 88.59 |
| PHO_NP@C | 1.063 | 0.1535 | 1.3 × 10−8 | 0.166 | 91.13 |
| PHN_NP@C | 1.240 | 0.188 | 6.4 × 10−8 | 0.285 | 92.41 |
Disclaimer/Publisher’s Note: The statements, opinions and data contained in all publications are solely those of the individual author(s) and contributor(s) and not of MDPI and/or the editor(s). MDPI and/or the editor(s) disclaim responsibility for any injury to people or property resulting from any ideas, methods, instructions or products referred to in the content. |
© 2025 by the authors. Licensee MDPI, Basel, Switzerland. This article is an open access article distributed under the terms and conditions of the Creative Commons Attribution (CC BY) license (https://creativecommons.org/licenses/by/4.0/).
Share and Cite
Sha’at, F.; Miu, D.; Eremia, M.C.; Neagu, G.; Albulescu, A.; Albulescu, R.; Deaconu, M.; Vladu, M.G.; Pavaloiu, R.-D. Fabrication and Evaluation of Polyhydroxyalkanoate-Based Nanoparticles for Curcumin Delivery in Biomedical Applications. Molecules 2025, 30, 1216. https://doi.org/10.3390/molecules30061216
Sha’at F, Miu D, Eremia MC, Neagu G, Albulescu A, Albulescu R, Deaconu M, Vladu MG, Pavaloiu R-D. Fabrication and Evaluation of Polyhydroxyalkanoate-Based Nanoparticles for Curcumin Delivery in Biomedical Applications. Molecules. 2025; 30(6):1216. https://doi.org/10.3390/molecules30061216
Chicago/Turabian StyleSha’at, Fawzia, Dana Miu, Mihaela Carmen Eremia, Georgeta Neagu, Adrian Albulescu, Radu Albulescu, Mihaela Deaconu, Mariana Gratiela Vladu, and Ramona-Daniela Pavaloiu. 2025. "Fabrication and Evaluation of Polyhydroxyalkanoate-Based Nanoparticles for Curcumin Delivery in Biomedical Applications" Molecules 30, no. 6: 1216. https://doi.org/10.3390/molecules30061216
APA StyleSha’at, F., Miu, D., Eremia, M. C., Neagu, G., Albulescu, A., Albulescu, R., Deaconu, M., Vladu, M. G., & Pavaloiu, R.-D. (2025). Fabrication and Evaluation of Polyhydroxyalkanoate-Based Nanoparticles for Curcumin Delivery in Biomedical Applications. Molecules, 30(6), 1216. https://doi.org/10.3390/molecules30061216

