Intelligent Calibration of the Cycle Liquefaction Constitutive Model Parameter Using a Genetic Algorithm-Based Optimization Framework
Abstract
1. Introduction
2. Numerical Unit Tests Conducted by Cycle Liquefaction Constitutive Model
2.1. Conventional Triaxial Compression Drainage Test
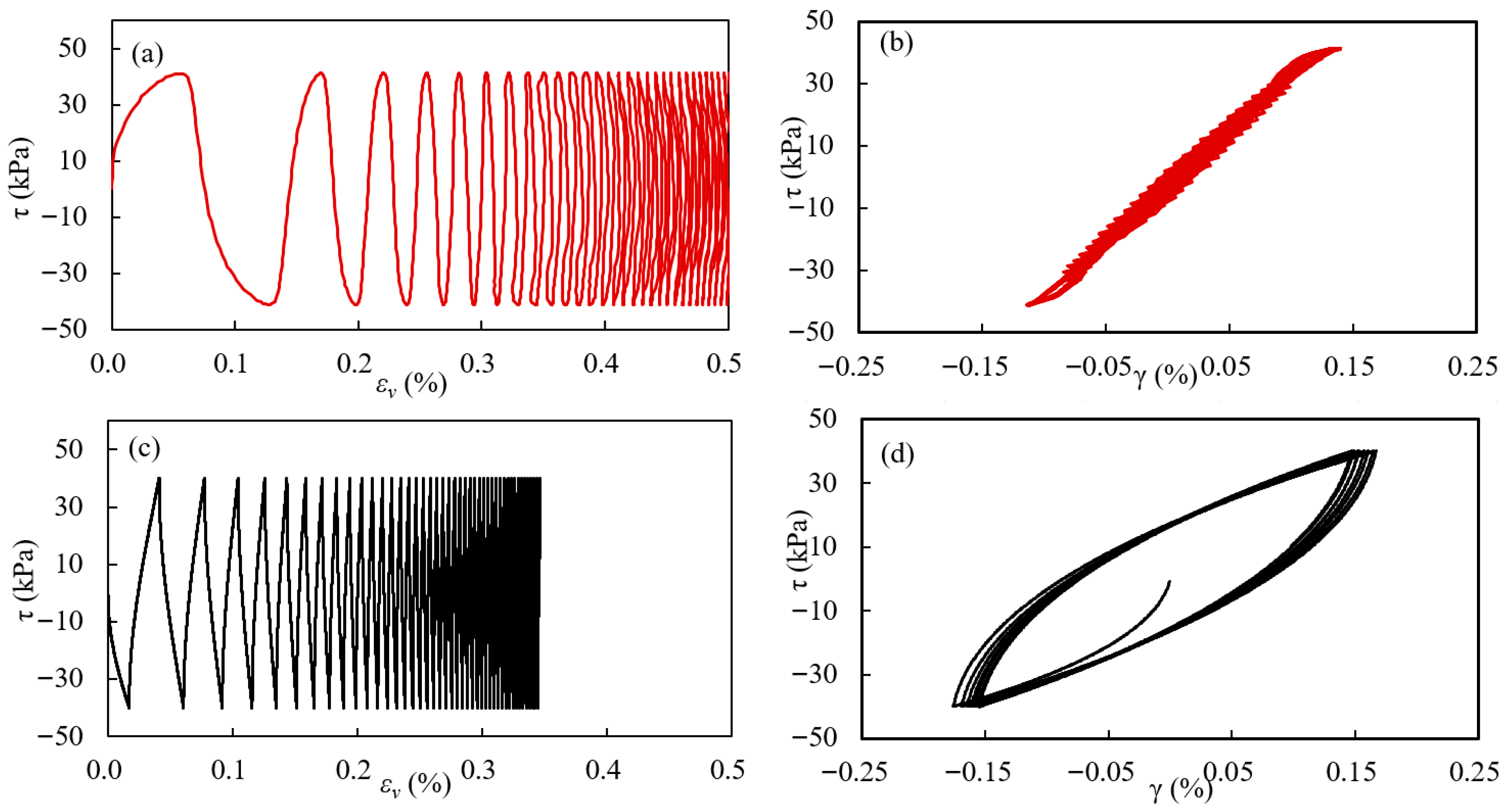
2.2. Undrained Cyclic Torsional Shear Test
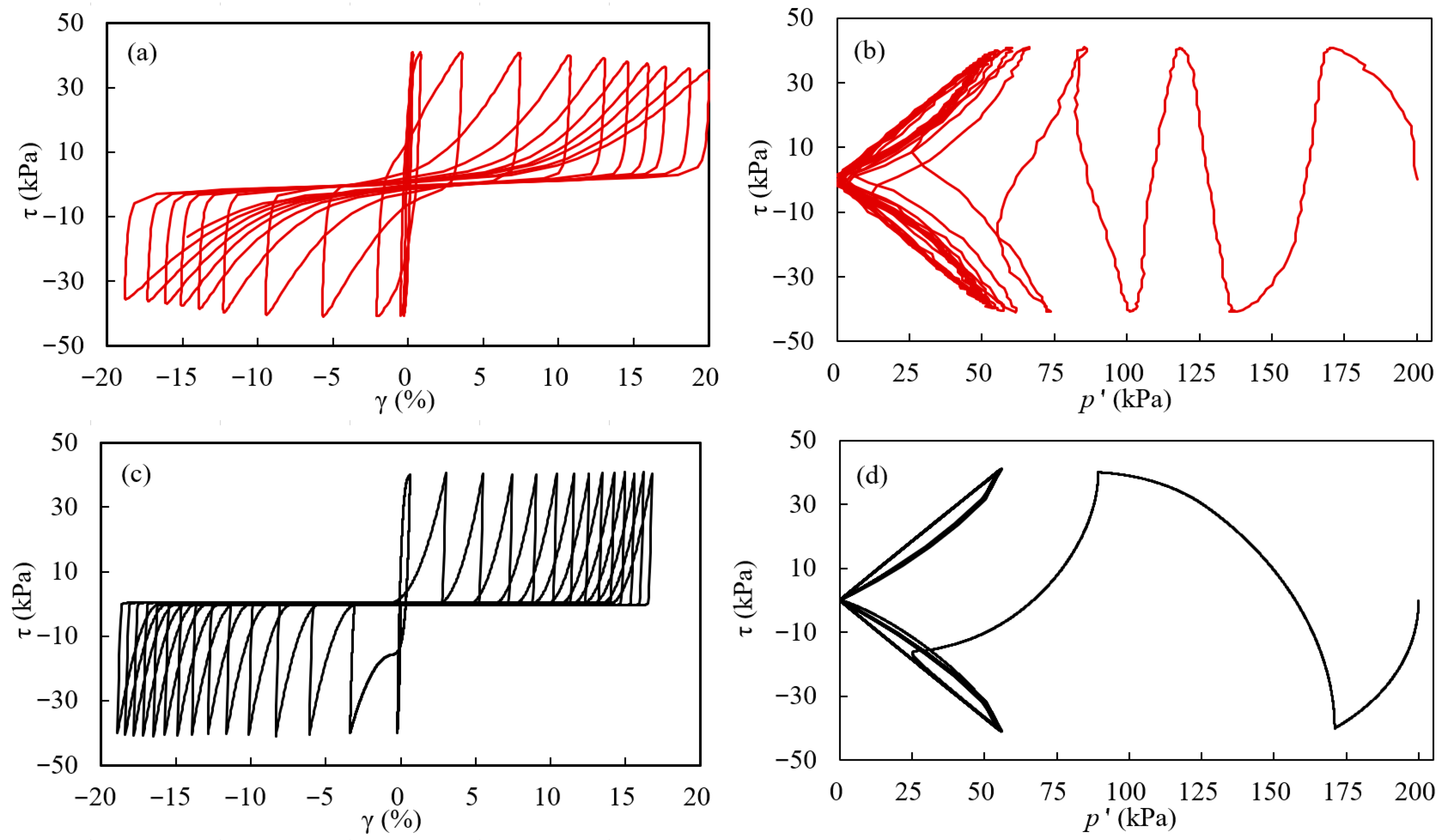
2.3. Drained Cyclic Torsional Shear Test
3. Intelligent Calibration Framework Based on Genetic Algorithm
3.1. Overall Workflow
3.2. Population Initialization Strategy
3.3. Fitness Evaluation and Cost Function
3.4. Population Update via Genetic Operations
4. Analysis of Intelligent Calibration Results
4.1. Calibration Accuracy
4.2. Convergence Behavior
4.3. Repeatability and Uncertainty
5. Verification of the Effectiveness of the Intelligent Calibration Method
5.1. Laboratory Testing Program
5.2. Calibration and Predictive Performance of the CycLiq Model
5.2.1. Parameter Calibration and Comparative Analysis
5.2.2. Performance on Calibration Tests
5.3. Model Generalization and Predictive Validation
6. Conclusions
- A robust, physics-embedded calibration framework was developed and validated, integrating a genetic algorithm with a numerical solver to automate parameter identification for the CycLiq model under the investigated conditions.
- The proposed method achieved a high calibration accuracy of 91.84% in parameter recovery and demonstrated superior performance in simulating key laboratory tests compared to an existing data-driven approach, suggesting its effectiveness for the calibration challenge at hand.
- The robustness of the calibrated model was supported by repeatability analysis, and its predictive capability was shown to extend to higher CSR levels for the same material, indicating good generalizability within the tested loading spectrum.
Author Contributions
Funding
Data Availability Statement
Acknowledgments
Conflicts of Interest
Appendix A
| Algorithm A1: Optimization Algorithm-main |
| main(): INIT.POP(Ni, P*min, P*max)→Pop for IT in (1, NI) do EVAL.POP(Pop)→ID UPDATE.POP(Pop, Ni, ID, IT, NI)→Pop end for EVAL.POP(Pop→ID) Pob= Pop[ID] return: Pob end |
| Algorithm A2: Initialization of population |
| Note: Formula random.uniform and random.normal are the functions in Numpy for implementing uniform distribution and normal distribution |
| procedure INIT.POP (Ni, P*min, P*max) NANN = 0.8Ni NGau = (Ni − NANN)/2 NUni = (Ni − NANN)/2 for i in (1,11) do = (P*max[i] − P*min[i])/2 = (P*max[i] − P*min[i])/11 end for PA = ANNout PU = random.uniform(Pmin, Pmax, NUni) PG = random.normal(, , NGau) Return: Pop = PA∪PU∪PG end procedure |
| Algorithm A3: Evaluate population |
| procedure EVAL.POP (Pop) COST = C(Pop, λi, λd, ω1, ω2, ω3, DATA) ID = COST.argsort() return: ID end procedure |
| Algorithm A4: Update the population |
| Note: Formula random.uniform and random.triangularis are the functions in Numpy for implementing uniform distribution and triangular distribution |
| procedure UPDATE.POP(Pop, Ni, ID, IT, NI) nE = 0.01, nf = 0.50, μ0 = 0.50, μfin = 0.10 NE = nE·Ni Peli = Pop[ID[0: NE]] nM = μ0·exp[IT/NI log(μfin/μ0)] NM = nM·Ni Pmut = random.uniform(P*min, P*max, NM) NM = Ni ·(1-nM-nE) for i in (1, NN) do Sel = random.triangular(nf·NN, 2) θ = random.uniform(0,1,11) Pn1 = Pop[ID[Sel[1]]] Pn2 = Pop[ID[Sel[2]]] Pnew[i] = θ·Pn1 + (θ − 1)·Pn2 end for return: Pop = Peli∪Pmut∪Pnew end procedure |
References
- Terzaghi, K.; Peck, R.B. Soil Mechanics in Engineering Practice; John Wiley & Sons Inc.: Now York, NY, USA, 1948. [Google Scholar]
- Martin, G.R.; Seed, H.B.; Finn, W.L. Fundamentals of Liquefaction under Cyclic Loading. J. Geotech. Eng. Div. 1975, 101, 423–438. [Google Scholar] [CrossRef]
- Biot, M.A. Theory of Propagation of Elastic Waves in a Fluid-Saturated Porous Solid. II. Higher Frequency Range. J. Acoust. Soc. Am. 1956, 28, 179–191. [Google Scholar] [CrossRef]
- Zienkiewicz, O.C.; Shiomi, T. Dynamic Behaviour of Saturated Porous Media; the Generalized Biot Formulation and Its Numerical Solution. Int. J. Numer. Anal. Methods Geomech. 1984, 8, 71–96. [Google Scholar] [CrossRef]
- Zienkiewicz, O.C.; Chan, A.H.C.; Pastor, M.; Paul, D.K.; Shiomi, T. Static and Dynamic Behaviour of Soils: A Rational Approach to Quantitative Solutions. I. Fully Saturated Problems. Proc. R. Soc. Lond. Math. Phys. Sci. 1990, 429, 285–309. [Google Scholar] [CrossRef]
- Zienkiewicz, O.C.; Xie, Y.M.; Schrefler, B.A.; Ledesma, A.; Biĉaniĉ, N. Static and Dynamic Behaviour of Soils: A Rational Approach to Quantitative Solutions. II. Semi-Saturated Problems. Proc. R. Soc. Lond. Math. Phys. Sci. 1990, 429, 311–321. [Google Scholar] [CrossRef]
- Kawai, T. Summary Report on the Development of the Computer Program DIANA–Dynamic Interaction Approach and Nonlinear Analysis; Science University of Tokyo: Tokyo, Japan, 1985. [Google Scholar]
- Huang, M.; Qian, J.; Wu, S. An Adaptive Finite Element Method for Strain Localization and Progressive Failure of Earth Dam under Earthquake. Chin. J. Geotech. Eng. Chin. Ed. 2001, 23, 306–310. [Google Scholar]
- Prevost, J.H. DYNAFLOW: A Nonlinear Transient Finite Element Analysis Program; Report of Civil Engineering; Princeton University: Princeton, NJ, USA, 1985. [Google Scholar]
- Li, X.S.; Wang, Z.L.; Shen, C.K. SUMDES: A Nonlinear Procedure for Response Analysis of Horizontally-Layered Sites Subjected to Multi-Directional Earthquake Loading; University of California, Davis: Davis, CA, USA, 1992. [Google Scholar]
- Ming, H.Y.; Li, X.S. SUMDES2D, a Two Dimensional Fully-Coupled Geotechnical Earthquake Analysis Program; Hong Kong University of Science and Technology: Hong Kong, China, 2001. [Google Scholar]
- McKenna, F.; Fenves, G.L.; Scott, M.H. Open System for Earthquake Engineering Simulation; University of California: Berkeley, CA, USA, 2000. [Google Scholar]
- Brinkgreve, R.B.J.; Swolfs, W.M.; Engin, E. Plaxis Introductory: Student Pack and Tutorial Manual 2010; CRC Press, Inc.: Boca Raton, FL, USA, 2011. [Google Scholar]
- Petalas, A.; Galavi, V. Plaxis Liquefaction Model UBC3D-PLM; Plaxis Report; Southeast Asian Geotechnical Society (SEAGS): Pathumthani, Thailand, 2013. [Google Scholar]
- Zhuang, H.; Hu, Z.; Wang, X.; Chen, G. Seismic Responses of a Large Underground Structure in Liquefied Soils by FEM Numerical Modelling. Bull. Earthq. Eng. 2015, 13, 3645–3668. [Google Scholar] [CrossRef]
- Al-Isawi, A.T.; Collins, P.E.F.; Cashell, K.A. Fully Non-Linear Numerical Simulation of a Shaking Table Test of Dynamic Soil-Pile-Structure Interactions in Soft Clay Using ABAQUS. In Proceedings of the Geo-Congress 2019, Philadelphia, PA, USA, 24–27 March 2019; American Society of Civil Engineers: Reston, VA, USA, 2019; pp. 252–265. [Google Scholar]
- Banerjee, R.; Konai, S.; Sengupta, A.; Deb, K. Shake Table Tests and Numerical Modeling of Liquefaction of Kasai River Sand. Geotech. Geol. Eng. 2017, 35, 1327–1340. [Google Scholar] [CrossRef]
- Esfeh, P.K.; Kaynia, A.M. Numerical Modeling of Liquefaction and Its Impact on Anchor Piles for Floating Offshore Structures. Soil Dyn. Earthq. Eng. 2019, 127, 105839. [Google Scholar] [CrossRef]
- Reyes, A.; Yang, M.; Barrero, A.R.; Taiebat, M. Numerical Modeling of Soil Liquefaction and Lateral Spreading Using the SANISAND-Sf Model in the LEAP Experiments. Soil Dyn. Earthq. Eng. 2021, 143, 106613. [Google Scholar] [CrossRef]
- Zhang, J. Reversible and Irreversible Dilatancy of Sand. Chin. J. Geotech. Eng. 2000, 22, 15–20. [Google Scholar]
- Wang, R.; Zhang, J.-M.; Wang, G. A Unified Plasticity Model for Large Post-Liquefaction Shear Deformation of Sand. Comput. Geotech. 2014, 59, 54–66. [Google Scholar] [CrossRef]
- Zhang, J.-M.; Wang, G. Large Post-Liquefaction Deformation of Sand, Part I: Physical Mechanism, Constitutive Description and Numerical Algorithm. Acta Geotech. 2012, 7, 69–113. [Google Scholar] [CrossRef]
- Zou, Y.-X.; Zhang, J.-M.; Wang, R. Seismic Analysis of Stone Column Improved Liquefiable Ground Using a Plasticity Model for Coarse-Grained Soil. Comput. Geotech. 2020, 125, 103690. [Google Scholar] [CrossRef]
- Sun, W.; Wang, R.; Zhang, J.-M. Coupled Peridynamics Modelling of Liquefaction-Induced Shear Strain Localisation and Delayed Failure. Géotechnique 2024, 74, 1815–1828. [Google Scholar] [CrossRef]
- Sun, W.; Zhang, J.; Fish, J.; Wang, R. Superposition-based Concurrent Multiscale Approaches for Porodynamics. Int. J. Numer. Anal. Methods Geomech. 2024, 48, 3909–3932. [Google Scholar] [CrossRef]
- Maheshwari, B.K.; Firoj, M. Seismic Response of Combined Piled Raft Foundation Using Advanced Liquefaction Model. Soil Dyn. Earthq. Eng. 2024, 181, 108694. [Google Scholar] [CrossRef]
- Li, J.; Zou, W.; Lin, E.; Sun, W.; Chen, L.; Zhang, P.; Cui, T.; Song, R. Dynamic Response Analysis of Liquefiable Offshore Foundation Reinforced by Lattice-Type Cement-Mixed Soil Countermeasure. J. Ocean Eng. Mar. Energy 2025, 11, 455–466. [Google Scholar] [CrossRef]
- Pal, S.; Wathugala, G.W.; Kundu, S. Calibration of a Constitutive Model Using Genetic Algorithms. Comput. Geotech. 1996, 19, 325–348. [Google Scholar] [CrossRef]
- Calvello, M.; Finno, R.J. Selecting Parameters to Optimize in Model Calibration by Inverse Analysis. Comput. Geotech. 2004, 31, 410–424. [Google Scholar] [CrossRef]
- Graham, J. The 2003 RM Hardy Lecture: Soil Parameters for Numerical Analysis in Clay. Can. Geotech. J. 2006, 43, 187–209. [Google Scholar] [CrossRef]
- Samarajiva, P.; Macari, E.J.; Wathugala, W. Genetic Algorithms for the Calibration of Constitutive Models for Soils. Int. J. Geomech. 2005, 5, 206–217. [Google Scholar] [CrossRef]
- Kadlíček, T.; Janda, T.; Šejnoha, M. Calibration of Hypoplastic Models for Soils. Appl. Mech. Mater. 2016, 821, 503–511. [Google Scholar] [CrossRef]
- Kadlíček, T.; Janda, T.; Šejnoha, M. Automatic Online Calibration Software EXCALIBRE. Eng. Mech. 2018, 2018, 353–356. [Google Scholar]
- Mendez, F.J.; Pasculli, A.; Mendez, M.A.; Sciarra, N. Calibration of a Hypoplastic Model Using Genetic Algorithms. Acta Geotech. 2021, 16, 2031–2047. [Google Scholar] [CrossRef]
- Du, X.; Song, Y.; Wang, D.; He, K.; Chi, W.; Xiu, Z.; Zhao, X. Comparative Evaluation of Machine Learning Models for Assessment of Seabed Liquefaction Using Finite Element Data. Front. Mar. Sci. 2024, 11, 1491899. [Google Scholar] [CrossRef]
- Abbasimaedeh, P. Soil Liquefaction in Seismic Events: Pioneering Predictive Models Using Machine Learning and Advanced Regression Techniques. Environ. Earth Sci. 2024, 83, 189. [Google Scholar] [CrossRef]
- Şehmusoğlu, E.H.; Kurnaz, T.F.; Erden, C. Estimation of Soil Liquefaction Using Artificial Intelligence Techniques: An Extended Comparison between Machine and Deep Learning Approaches. Environ. Earth Sci. 2025, 84, 130. [Google Scholar] [CrossRef]
- Liu, C.; Macedo, J. Machine Learning-Based Models for Estimating Liquefaction-Induced Building Settlements. Soil Dyn. Earthq. Eng. 2024, 182, 108673. [Google Scholar] [CrossRef]
- Song, Z.; Liu, S.; Jiang, M.; Yao, S. Parameter Determination Method of Soil Constitutive Model Based on Machine Learning. Wirel. Commun. Mob. Comput. 2022, 2022, 3765169. [Google Scholar] [CrossRef]
- Wang, S.; Yang, W.; Wang, M.; Ma, S.; Bai, Y.; Tian, C.; Liu, L. Constitutive Modeling and Mechanical Response of Weak Expansive Soils Under Loaded Wetting–Drying Cycles. Geotech. Geol. Eng. 2025, 43, 513. [Google Scholar] [CrossRef]
- Zhou, J.; Li, E.; Wang, M.; Chen, X.; Shi, X.; Jiang, L. Feasibility of Stochastic Gradient Boosting Approach for Evaluating Seismic Liquefaction Potential Based on SPT and CPT Case Histories. J. Perform. Constr. Facil. 2019, 33, 04019024. [Google Scholar] [CrossRef]
- Zhang, G.; Robertson, P.K.; Brachman, R.W.I. Estimating Liquefaction-Induced Lateral Displacements Using the Standard Penetration Test or Cone Penetration Test. J. Geotech. Geoenviron. Eng. 2004, 130, 861–871. [Google Scholar] [CrossRef]
- Zhang, J.M.; Wang, G. A Constitutive Model for Evaluating Small to Large Cyclic Strains of Saturated Sand during Liquefaction Process. Chin. J. Geotech. Eng. Chin. Ed. 2004, 26, 546–552. [Google Scholar]
- Richart, F.E.; Hall, J.R.; Woods, R.D. Vibrations of Soils and Foundations; Prentice Hall: Upper Saddle River, NJ, USA, 1970. [Google Scholar]
- Hardin, B.O.; Drnevich, V.P. Shear Modulus and Damping in Soils: Design Equations and Curves. J. Soil Mech. Found. Div. 1972, 98, 667–692. [Google Scholar] [CrossRef]
- Yin, Z.-Y.; Jin, Y.-F.; Shen, J.S.; Hicher, P.-Y. Optimization Techniques for Identifying Soil Parameters in Geotechnical Engineering: Comparative Study and Enhancement. Int. J. Numer. Anal. Methods Geomech. 2018, 42, 70–94. [Google Scholar] [CrossRef]
- Jekel, C.F.; Venter, G.; Venter, M.P.; Stander, N.; Haftka, R.T. Similarity Measures for Identifying Material Parameters from Hysteresis Loops Using Inverse Analysis. Int. J. Mater. Form. 2019, 12, 355–378. [Google Scholar] [CrossRef]
- Kennedy, J.; Eberhart, R. Particle Swarm Optimization. In Proceedings of the IEEE International Conference on Neural Networks, Perth, Australia, 27 November–1 December 1995; pp. 1942–1948. [Google Scholar]
- Haupt, R.L.; Haupt, S.E. Practical Genetic Algorithms; John Wiley & Sons: Hoboken, NJ, USA, 2004; ISBN 0-471-67175-4. [Google Scholar]
- Tafili, M.; Triantafyllidis, T. AVISA: Anisotropic Visco-ISA Model and Its Performance at Cyclic Loading. Acta Geotech. 2020, 15, 2395–2413. [Google Scholar] [CrossRef]
- Liu, H.; Zhang, J.-M.; Zhang, X.; Wang, R. Seismic Performance of Block-Type Quay Walls with Liquefiable Calcareous Sand Backfill. Soil Dyn. Earthq. Eng. 2020, 132, 106092. [Google Scholar] [CrossRef]
- Li, X.-S.; Dafalias, Y.F.; Wang, Z.-L. State-Dependant Dilatancy in Critical-State Constitutive Modelling of Sand. Can. Geotech. J. 1999, 36, 599–611. [Google Scholar] [CrossRef]














| Type of Laboratory Test | Confining Pressure (kPa) | Dynamic Shear Stress τd (kPa) | ein |
|---|---|---|---|
| Conventional triaxial compression drainage test 1 | 200 | - | 0.78 |
| Conventional triaxial compression drainage test 2 | 400 | - | 0.78 |
| Conventional triaxial compression drainage test 3 | 600 | - | 0.78 |
| Undrained cyclic torsional shear test | 200 | 20 | 0.78 |
| Drained cyclic torsional shear test | 200 | 20 | 0.78 |
| CycLiq Parameters | G0 | κ | h | M | dre,1 | dir | λc | e0 | np | nd |
|---|---|---|---|---|---|---|---|---|---|---|
| maximum value | 400 | 0.03 | 3.0 | 1.9 | 3.0 | 3.5 | 0.04 | 1.00 | 3 | 11 |
| minimum value | 100 | 0.005 | 0.5 | 1.0 | 0.5 | 0.5 | 0.01 | 0.85 | 0.5 | 1 |
| CycLiq Parameters | Minimum Value | Maximum Value | Average Value μ | σ/μ (%) |
|---|---|---|---|---|
| G0 | 112.23 | 121.20 | 116.80 | 1.574 |
| κ | 0.0050 | 0.0063 | 0.0056 | 4.467 |
| h | 0.77 | 0.84 | 0.81 | 1.879 |
| M | 1.21 | 1.25 | 1.23 | 0.475 |
| dre1 | 0.50 | 0.64 | 0.56 | 6.588 |
| dir | 0.87 | 1.04 | 0.98 | 3.426 |
| λc | 0.0161 | 0.0236 | 0.0211 | 5.886 |
| e0 | 0.8208 | 0.8526 | 0.8378 | 0.791 |
| np | 0.82 | 1.08 | 0.93 | 4.851 |
| nd | 5.73 | 7.61 | 6.60 | 5.942 |
| Type of Laboratory Test | Confining Pressure (kPa) | Dynamic Shear Stress τd (kPa) | Density (kg/m3) |
|---|---|---|---|
| Conventional triaxial compression drainage test | 200/400/600 | - | 1512/1517/1526 |
| Undrained cyclic torsional shear test | 200 | 20/30/40 | 1508/1514/1513 |
| Drained cyclic torsional shear test | 200 | 20/30/40 | 1514/1515/1524 |
| Parameters | G0 | κ | h | M | dre,1 | dir | λc | e0 | np | nd |
|---|---|---|---|---|---|---|---|---|---|---|
| Zhou 2019 [41] | 106 | 0.0052 | 0.70 | 1.12 | 0.52 | 0.74 | 0.0181 | 0.882 | 0.74 | 2.75 |
| GA calibration | 112 | 0.006 | 0.82 | 1.43 | 0.12 | 2.14 | 0.016 | 0.88 | 2.2 | 7.2 |
| Feature | q_0.5 | q_1 | q_2 | q_5 | q_10 | q_15 | εv_0.5 | εv_1 | εv _2 |
| Test | 164.66 | 256.91 | 381.99 | 554.46 | 618.01 | 618.01 | −0.37 | −0.65 | −1.03 |
| Zhou 2019 [41] | 478.39 | 587.20 | 668.98 | 672.27 | 633.88 | 615.02 | −0.75 | −0.75 | −0.45 |
| GA calibration | 251.09 | 311.27 | 395.46 | 536.20 | 630.11 | 630.11 | −0.80 | −1.03 | −1.13 |
| Feature | εv _5 | εv _10 | εv _15 | εvmax | εvmax _ε1 | φmax | q/p | Dilatation rate_max | MSE (%) |
| Test | −1.37 | −0.94 | −0.94 | −1.37 | 4.91 | 37.44 | 2.76 | −0.02 | 0.00 |
| Zhou 2019 [41] | 0.81 | 2.32 | 3.10 | −0.78 | 0.72 | 39.27 | 2.68 | −0.25 | 2.59 |
| GA calibration | −1.21 | −1.16 | −1.16 | −1.21 | 5.29 | 38.41 | 2.72 | −0.02 | 0.22 |
| Feature | u_40 | u_80 | u_120 | u_160 | Liq1st | γ1st | γ1+ | γ1− | γ2+ |
| Test | 10.03 | 32.73 | 64.04 | 84.13 | 88.50 | 0.74 | 1.02 | −1.21 | 1.87 |
| Zhou 2019 [41] | 0.17 | 0.21 | 0.19 | 0.14 | 0.50 | 0.06 | 0.01 | −0.11 | 0.04 |
| GA calibration | 4.06 | 7.22 | 9.69 | 11.40 | 12.50 | 0.42 | 0.65 | −0.98 | 1.15 |
| Feature | γ2− | γ5+ | γ5− | γ10+ | γ10− | λ | Gd | - | MSE (%) |
| Test | −1.91 | 4.58 | −4.98 | - | - | 0.02 | 321.76 | - | 0.00 |
| Zhou 2019 [41] | −0.14 | 0.10 | −0.19 | 0.15 | −0.24 | - | - | - | 5.62 |
| GA calibration | −1.51 | 2.64 | −2.93 | 4.35 | −4.52 | 0.03 | 367.24 | - | 0.87 |
| Feature | εv_20(%) | e_20 | MSE (%) |
|---|---|---|---|
| Test | 0.17 | 0.45 | 0.00 |
| GA calibration | 0.17 | 0.46 | 0.17 |
Disclaimer/Publisher’s Note: The statements, opinions and data contained in all publications are solely those of the individual author(s) and contributor(s) and not of MDPI and/or the editor(s). MDPI and/or the editor(s) disclaim responsibility for any injury to people or property resulting from any ideas, methods, instructions or products referred to in the content. |
© 2025 by the authors. Licensee MDPI, Basel, Switzerland. This article is an open access article distributed under the terms and conditions of the Creative Commons Attribution (CC BY) license.
Share and Cite
Zhang, Y.; Song, H.; Yang, Y. Intelligent Calibration of the Cycle Liquefaction Constitutive Model Parameter Using a Genetic Algorithm-Based Optimization Framework. Geosciences 2026, 16, 18. https://doi.org/10.3390/geosciences16010018
Zhang Y, Song H, Yang Y. Intelligent Calibration of the Cycle Liquefaction Constitutive Model Parameter Using a Genetic Algorithm-Based Optimization Framework. Geosciences. 2026; 16(1):18. https://doi.org/10.3390/geosciences16010018
Chicago/Turabian StyleZhang, Yifan, Hongbing Song, and Yusheng Yang. 2026. "Intelligent Calibration of the Cycle Liquefaction Constitutive Model Parameter Using a Genetic Algorithm-Based Optimization Framework" Geosciences 16, no. 1: 18. https://doi.org/10.3390/geosciences16010018
APA StyleZhang, Y., Song, H., & Yang, Y. (2026). Intelligent Calibration of the Cycle Liquefaction Constitutive Model Parameter Using a Genetic Algorithm-Based Optimization Framework. Geosciences, 16(1), 18. https://doi.org/10.3390/geosciences16010018
