- Article
Clinical Characteristics and Early Evolution of Neonates with Perinatal Gram-Negative Bacterial Infections
- Mihaela Zaharie,
- Aniko Maria Manea and
- Marioara Boia
- + 4 authors
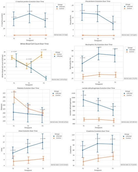
Background/Objectives: Perinatal infections caused by Gram-negative bacteria pose a significant risk to neonatal health, especially in low-resource settings. These infections often lead to severe complications due to diagnostic and therapeutic challenges. This study aimed to clinical characterize, early outcomes, and risk factors associated with Gram-negative infections in neonates admitted to the tertiary neonatal intensive care unit (NICU) at “Louis Turcanu” Children’s Hospital, Timisoara. Methods: A retrospective, case–control study was conducted at a tertiary neonatal care unit in Timișoara, Romania, including neonates with microbiologically confirmed Gram-negative infections (n = 44) and a matched control group without infection (n = 47). Clinical, laboratory, and microbiological data were analyzed. Statistical comparisons and logistic regression analyses were used to evaluate risk factors and outcomes. Results: Male sex (79.5% in infected vs. 57.4% in controls; p = 0.0418) and vaginal delivery (43.2% vs. 17.0%; p = 0.00001) were significantly associated with infection. Respiratory distress (72.7%) and digestive symptoms (75.0%) were common in infected neonates. C-reactive protein and procalcitonin levels were markedly elevated in infected infants. Escherichia coli was the most common pathogen, with multidrug-resistant strains observed in bloodstream infections. Mechanical ventilation was required in 75% of infected neonates compared with 16.2% in controls (p < 0.0001). Mortality was higher among infected neonates (25% vs. 4.3% in the control group), although not statistically significant. Conclusions: Gram-negative perinatal infections are associated with considerable morbidity, particularly in male neonates and those delivered vaginally. Early identification, antimicrobial stewardship, and intensive respiratory support are essential to improving outcomes in this vulnerable population.
13 December 2025




