Advanced Technology in Heat Transfer, Ventilation, and Multiphysics Building Performance

A special issue of Buildings (ISSN 2075-5309). This special issue belongs to the section "Building Energy, Physics, Environment, and Systems".

Deadline for manuscript submissions: 28 February 2026 | Viewed by 99

Special Issue Editor


E-Mail Website
Guest Editor
1. European Organization for Nuclear Research (CERN), 1211 Meyrin, Switzerland
2. Laboratory of Heating, Ventilation, Air-Conditioning and Refrigeration, Cracow University of Technology, 31-155 Kraków, Poland
Interests: computational fluid dynamics; finite element modelling; flow measurements; sensing technologies for fluid and gas systems; environmental engineering; energy consumption; contaminant distribution in the air; air quality measurements; cooling and ventilation systems design; HVAC systems; cryogenics
Special Issues, Collections and Topics in MDPI journals

Special Issue Information

Dear Colleagues,

Modern buildings must balance energy efficiency, occupant comfort, and environmental sustainability. While heat transfer and ventilation are central to thermal regulation and indoor air quality, other factors—such as vibration control, acoustic performance, and water quality management—play a critical role in overall building functionality and user well-being.

This Special Issue explores advanced technologies and integrated solutions for optimizing building performance across multiple physical domains. We invite contributions on innovative research and practical applications, including but not limited to:

Core Topics:

Heat Transfer and Thermal Systems:

  • Advanced heat recovery systems (enthalpy exchangers, thermoelectric cooling/heating);
  • Phase-change materials (PCMs) and thermal energy storage;
  • Solar-assisted and geothermal-integrated HVAC systems.

Smart Ventilation and Air Quality:

  • AI-driven and demand-controlled ventilation strategies;
  • Indoor air quality (IAQ) monitoring and filtration technologies;
  • Hybrid natural-mechanical ventilation systems.

Vibration and Acoustics in Building Systems:

  • Noise control in HVAC and ductwork systems;
  • Vibration damping in mechanical installations;
  • Building acoustics for improved occupant comfort;
  • Building acoustics impact on voice recognition for intelligent building and machine control.

Water Quality and Hydronic Systems:

  • Legionella prevention and water treatment in heating/cooling circuits;
  • Hydronic system efficiency and low-energy distribution;
  • Greywater heat recovery and sustainable water management.

Cross-Disciplinary Approaches:

  • IoT and smart sensors for multiphysics building optimization;
  • Computational modeling (CFD, FEM) of coupled heat–air–vibration phenomena;
  • Case studies on retrofitting and sustainable building design.

We welcome original research articles, reviews, and case studies that address these challenges through technological innovation, simulations, or experimental validations.

Dr. Nina Szczepanik-Scislo
Guest Editor

Manuscript Submission Information

Manuscripts should be submitted online at www.mdpi.com by registering and logging in to this website. Once you are registered, click here to go to the submission form. Manuscripts can be submitted until the deadline. All submissions that pass pre-check are peer-reviewed. Accepted papers will be published continuously in the journal (as soon as accepted) and will be listed together on the special issue website. Research articles, review articles as well as short communications are invited. For planned papers, a title and short abstract (about 250 words) can be sent to the Editorial Office for assessment.

Submitted manuscripts should not have been published previously, nor be under consideration for publication elsewhere (except conference proceedings papers). All manuscripts are thoroughly refereed through a single-blind peer-review process. A guide for authors and other relevant information for submission of manuscripts is available on the Instructions for Authors page. Buildings is an international peer-reviewed open access semimonthly journal published by MDPI.

Please visit the Instructions for Authors page before submitting a manuscript. The Article Processing Charge (APC) for publication in this open access journal is 2600 CHF (Swiss Francs). Submitted papers should be well formatted and use good English. Authors may use MDPI's English editing service prior to publication or during author revisions.

Keywords

  • heat transfer
  • ventilation
  • indoor air quality
  • building acoustics
  • vibration control
  • water quality
  • HVAC
  • smart buildings
  • multiphysics optimization

Benefits of Publishing in a Special Issue

  • Ease of navigation: Grouping papers by topic helps scholars navigate broad scope journals more efficiently.
  • Greater discoverability: Special Issues support the reach and impact of scientific research. Articles in Special Issues are more discoverable and cited more frequently.
  • Expansion of research network: Special Issues facilitate connections among authors, fostering scientific collaborations.
  • External promotion: Articles in Special Issues are often promoted through the journal's social media, increasing their visibility.
  • Reprint: MDPI Books provides the opportunity to republish successful Special Issues in book format, both online and in print.

Further information on MDPI's Special Issue policies can be found here.

Published Papers (1 paper)

Order results
Result details
Select all
Export citation of selected articles as:

Research

20 pages, 5565 KB  
Article
Calculation of Pollutant and Thermal Accumulation in Recirculating Ventilation Systems with Discrete High-Temperature Sources
by Huijie Zhang, Gaoju Song, Chongfang Song, Wuxuan Pan, Yonghui Wang, Haichen Jiao and Yonggang Lei
Buildings 2025, 15(23), 4329; https://doi.org/10.3390/buildings15234329 (registering DOI) - 28 Nov 2025
Viewed by 63
Abstract
The non-fixed location and intermittent emission of pollution sources are posing significant challenges for industrial ventilation and dust removal. Owing to its energy-saving and emission-reduction advantages, recirculating ventilation has emerged as a critical solution in industrial ventilation. However, the introduction of recirculated air [...] Read more.
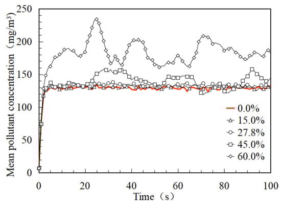
The non-fixed location and intermittent emission of pollution sources are posing significant challenges for industrial ventilation and dust removal. Owing to its energy-saving and emission-reduction advantages, recirculating ventilation has emerged as a critical solution in industrial ventilation. However, the introduction of recirculated air leads to the accumulation of both pollutants and temperature in controlled environments. However, the accumulation situation and control methods within the recirculation air system are still not fully understood, especially for discrete pollution sources. Theoretical models were developed in this paper to quantitatively calculate these issues. Then, the spatiotemporal distributions of air temperature and pollutant concentrations were investigated within the controlled environment by numerical simulation. The result shows that upper limits exist for both pollutant and heat accumulation. Controlling the recirculation air ratio between 0% and 60% resulted in a corresponding increase in pollutant concentration ranging up to 28.58% and a temperature rise of up to 6.16%. At a 27.8% recirculation ratio, fresh air consumption decreased by 27.8%, mean pollutant concentration increased by 5.50%, and mean air temperature rose by 3.78%. In addition, the dynamic characteristics of pollutant concentration and temperature variation at different circulating air ratios were analyzed. The recirculating air system effectively conserves energy and reduces emissions. The quantitative calculation models can facilitate the adoption and promotion of such systems, thereby contributing to industrial green development. Full article
Show Figures

Figure 1

Back to TopTop