Abstract
Twenty-five years after the invention of quantum teleportation, the concept of entanglement gained enormous popularity. This is especially nice to those who remember that entanglement was not even taught at universities until the 1990s. Today, entanglement is often presented as a resource, the resource of quantum information science and technology. However, entanglement is exploited twice in quantum teleportation. Firstly, entanglement is the “quantum teleportation channel”, i.e., entanglement between distant systems. Second, entanglement appears in the eigenvectors of the joint measurement that Alice, the sender, has to perform jointly on the quantum state to be teleported and her half of the “quantum teleportation channel”, i.e., entanglement enabling entirely new kinds of quantum measurements. I emphasize how poorly this second kind of entanglement is understood. In particular, I use quantum networks in which each party connected to several nodes performs a joint measurement to illustrate that the quantumness of such joint measurements remains elusive, escaping today’s available tools to detect and quantify it.
1. Introduction
In 1993 six co-authors surprised the world by proposing a method to teleport a quantum state from one location to a distant one [,]. Twenty five years later the surprise is gone, but the fascination remains; how can an object submitted to the no-cloning theorem disappear here and reappear there without anything carrying any information about it transmitted from the sender, Alice, to the receiver, Bob? Today, the answer seems well known and has a name: entanglement []. This merely shifts the mystery, and thus the fascination, to entanglement. However, entanglement appears twice in quantum teleportation. The first and most obvious appearance of entanglement is as the “quantum teleportation channel”, i.e., entanglement between two systems, the first one controlled by Alice, the second one controlled by Bob. This sort of entanglement is by now pretty well (though no fully) understood. But entanglement appears a second time in quantum teleportation: the measurement that Alice has to perform jointly on the quantum state to be teleported and her half of the “quantum teleportation channel” has all its eigenstates maximally entangled.
Without this second appearance of entanglement, quantum teleportation would be impossible. This can be understood intuitively as follows []. First, observe that two (maximally) entangled systems are characterized by the property that if one asks both of them the same question—i.e., perform the same measurement on each of them, then both systems deliver the same answer (see Endnote []—which refers to References [,]). Well, for singlets it’s just the opposite, they get opposite results instead of identical ones, but that’s just a matter of systematically flipping one of the answers. Now, the joint measurement essentially asks to two independent systems the following “strange question”: “if I would perform the same measurement on both of you, would you provide the same answer?” This is a question about the relation between the two systems, not a pair of questions to each system whose answers are then combined in some clever way. Indeed, classical systems, including humans, can’t answer such unusual joint questions. But quantum systems can. For example, the two systems can answer “yes” and get (maximally) entangled in such a way that whatever identical questions are later asked to them, they’ll provide the same answer. Or the answer could be “no” and the two systems get into a different (maximally) entangled state such that their answer to arbitrary but identical questions would always be opposite. As is well-known, in order to terminate the quantum teleportation process, Alice has to communicate (classically) which result she obtained to her “strange question”. Then Bob knows whether his system will provide the same answer as had the question been asked to the original system, the one to be teleported, or whether he will receive just the opposite answer. It is important to notice that this classical communication from Alice to Bob carries exactly zero information about the teleported quantum state.
Well, in quantum theory the situation is a bit more complicated, with four possible answers to the joint “strange” measurement and a bit more involved relations between the answer and Bob’s system. But the essential is there and it calls for understanding! Physics requires an understanding of such joint measurements of similar quality as our understanding of entanglement between distant systems, i.e., of entanglement as quantum teleportation channels. The quality of today’s understanding of entanglement between distant systems is illustrated by its relation to Bell non-locality (i.e., Bell inequality violation) [], to quantum steering [] and, highly illuminating in my opinion, by the conceptual tool of the non-local PR-boxes that summarizes in a beautifully simple equation, , the involved mathematical concept of entanglement []. Something analogous for joint measurements is still missing.
2. Quantum Teleportation and High-Impact Journals
On request of the editor, let me stress that “this section presents the author’s own opinion regarding publication trends in quantum information” (see Endnote []).
Since the advent of quantum teleportation, especially since its first experimental demonstrations [,,], it has become quasi-mandatory to publish in journals with high impact factors, like Nature, Nature Physics, Nature Photonics, Science and PRL. For example, all papers on long-distance quantum teleportation followed that trend (well, probably I am missing some, precisely those that do not follow that pattern): [,,,,,]. So, what happens if you resist the trend? We tried. We published an experiment in which the state to be teleported was carried by a photon produced long after the entangled photons constituting the quantum teleportation channel had left the laboratory. This required that the entangled photons and the photon carrying the state to be teleported were produced by different laser pulses (though from the same laser). This appeared in J. Opt. Soc. Am. B [] and received a relatively low number of citations. This is the price to pay for independence. But who cares about independence today (see Endnote []—which refers to Reference [])?
I am not complaining, but find it interesting to be aware of the huge impact quantum teleportation had on our community’s trend to overvalue high-profile journals, with all the frustration that too often comes along. Unfortunately, that trend spread all over quantum information science. Admittedly, I am not the least responsible person for that (see Endnote []). Sorry.
3. The Bell-State Measurement in Quantum Networks
The joint measurement exploited in quantum teleportation, known as a Bell state measurement (BSM), is characterized by all its eigenvectors being maximally entangled. For instance, teleportation of qubits require the BSM whose eigenvectors are the four Bell states:
As already pointed out in the original paper [], quantum teleportation can be extended to teleportation of entanglement, known as entanglement swapping. This, in turn, can be extended to teleportation over entire and complex networks [], as illustrated in Figure 1. In such networks, each node with more than one edge performs a joint measurement, possibly on more than two systems. For simplicity, here we concentrate on only two cases, either a line or a triangle, see Figure 2 and Figure 3. Notice that here only players with a single edge get inputs, denoted x and y, that determine which measurement to perform.

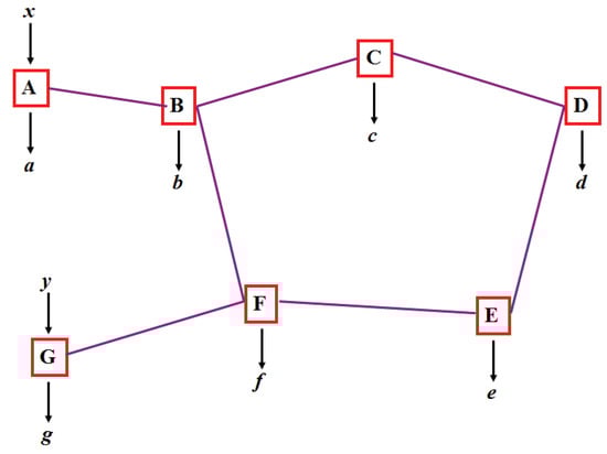
Figure 1.
Example of a quantum network. Each edge represents a resource shared by the connected nodes. The resource are entangled quantum states, or, in order to compare with classical networks, correlated local variables (i.e., shared randomness). In this paper we consider only cases where inputs are provided to parties connected by a single edge.

Figure 2.
(N-1)-local scenario in a line []. The ’s represent independent quantum states, or, in the classical scenario used for comparison, random independent local variables. Only the first and last parties get inputs, x and y respectively.

Figure 3.
The triangle configuration for three parties []. Each pair of parties shares either a quantum state and performs quantum measurements—quantum scenario, or shares independent random variables , and and outputs a function of the random variables to which they have access. Notice that the three random variables are only used locally, hence the terminology three-local scenario. The “quantum grail” is to find a quantum scenario (without external inputs) leading to a probability which can’t be reproduced by any three-local scenario.
Let us first consider the triangle, see Figure 3. If Alice, Bob and Charlie each perform the BSM, then there is a simple classical model that reproduces the statistics of their outcomes, —notice that there are no inputs (see Endnote []—which refers to Reference []). Hence, somewhat surprisingly, in this case the joint measurement doesn’t produce any quantum signature: such a triangle with BSM displays no quantumness.
Let’s now consider the line of Figure 2. Start with only two edges. This corresponds to the scenario of entanglement swapping, i.e., of quantum teleportation of entanglement. For this simple case we name the parties with their usual names, i.e., Alice, Bob and Charlie, instead of , and , and similarly for the outcomes. Depending on Bob’s outcome b, Alice’s and Charlie’s qubits get projected onto different entangled states; which exact entangled state depends on b. This can be checked with some entanglement witness, or, in a device-independent way, with some Bell inequality. For the Clauser-Horne-Shimony-Holt (CHSH) inequality, assuming perfect (noise-free) measurements, a violation is obtained if the product of the visibilities (see Endnote []) satisfies . In the symmetric case, , which implies . Such a high visibility has been achieved experimentally, e.g., [], but with non-independent sources for the two quantum states and represented by the edges.
However, in such an entanglement scenario with independent sources, like e.g., [], it is very natural to check for quantumness by comparing it with classical correlations under the assumption that the local (hidden) variables are also independent:
Such a case is called bi-local [,], to contrast it with the usual Bell locality. In case of n independent sources, the achievable classical correlations are called n-local [,,].
In the bi-locality scenario it has been proven that a visibility product of suffices to prove quantumness, i.e., to prove a quantum advantage over bi-local classical correlations [,]. Accordingly, in the symmetric case suffices, as, e.g., in the experiment of Reference []. In this scenario, an explicit non-linear inequality (non-linear because the set of n-local correlations in non convex for all ) has been found and fully analyzed []. The analyses show that this bi-local scenario is essentially identical to the old and well-known CHSH-Bell inequality between two parties. The relation builds on the fact that the two-bit outcome of the BSM is equivalent to the outcome of for the first bit and for the second bit. Hence, in a nutshell, Bob measures both of his qubits in the x–z bases, while Alice and Charlie measure in the bases, exactly as in the CHSH case.
This is quite disappointing, as the threshold visibility per singlet, , is identical to the simpler case of CHSH between two parties. Apparently, the assumption of independent local variables and plays no role. But that cannot be! Independence is a strong assumption, it should thus lead to consequences. This illustrates how poorly we understand joint measurements. Could it be that increasing the number of inputs at Alice and Charlie’s side, or studying longer linear chains, allows one to lower the threshold visibility per singlet? Reference [], which considers n-locality in longer lines, and reference [], which derives n-local inequalities from Bell inequalities, suggest the contrary and, so far, numerous numerical searches lead to disappointing results, see though the interesting findings in [,,,].
The mentioned negative results are no proof that the bi-local scenario is useless to lower the threshold visibility per singlet. But they call for alternative ideas. One nice idea is to go for a star network [,], though so far results seem very similar to the bi-local case.
The next section recalls results first presented in [], a paper I never submitted to any journal, hence parts of it are reproduced here. In a nutshell, it presents another joint measurement and applies it to a three-partite scenario in the triangle configuration with three independent sources.
4. The Elegant Joint Measurement on Two Qubits
In order to study joint measurements different from the BSM we like to find a two-qubit basis with four partially entangled eigenstates, all with the same degree of entanglement and some nice symmetries. For this, we start with the four vertices of the tetrahedron inscribed in the Poincaré sphere:
Using cylindrical coordinates, , one obtains the natural correspondence with qubit states (note that here for all j):
Note that , as expected (with the three Pauli matrices).
Inspired by [,], we consider the following 2-qubit basis constructed on anti-parallel spins []:
where is orthogonal to : it has the same form as (8) but with and . Notice that in (10) the states are written in their Schmidt bases.
In order to check that the are normalized and mutually orthogonal one should use for all and for all .
Using the corresponding one-dimensional projectors:
it is not difficult to compute the partial traces and observe the elegant properties:
In words, the partial states (obtained by tracing out one party) point along the edges of the tetrahedron, but with Bloch vectors of reduced lengths .
We name the two-qubit measurement with eigenstates (9) and (10) the elegant joint measurement (EJM). We believe it is unique with all four eigenstates having identical degrees of partial entanglement and with all partial states of all eigenstates parallel or anti-parallel to the vertices of the tetrahedron.
5. Quantum Correlation from Singlets and the EJM in the Triangle Configuration
Consider three independent singlets in the triangle configuration and assume that Alice, Bob and Charlie each perform the EJM on their two (independent) qubits, see Figure 3. Denote the resulting correlation , where 1, 2, 3, 4. By symmetry, is fully characterized by three numbers corresponding to the cases , (and circular permutations, i.e., two outcomes are equal, but the third differs) and . A not too complex computation gives []:
The normalization holds: .
As expected . More interesting is the probabilities that two parties get identical results:
Hence, all pairs of parties are correlated, e.g., . In worlds, given an outcome for Bob, Alice’s outcome has a large chance to take the same value: . Accordingly:
The strength of the three-party correlation is even more impressive:
Hence .
The high correlation displayed by strongly suggests that it can’t be realized by any three-local model. However, one has to be careful. Indeed, reference [] presents two three-local models with even higher correlations, though not symmetric and not reproducing the correlations (14)–(16) of . For completeness, these two models are reproduced in the next Section 6. Since [] was posted on the arXiv quite some researchers tried to prove or disprove the three-local nature of . In particular Elisa Bäumer and Elie Wolfe (private communications) devoted time to this fascinating question, the first one with strong arguments in favour of a negative answer and the second one, using his “inflation method” [,], arguing in favour of a positive answer. The fact is that the three-local nature of remains elusive. More generally, the existence/nonexistence of a quantum scenario that can provably not be reproduced by any three-local model and that respects the triangle symmetry, or some other closed symmetric loop, remains open, illustrating how poorly we understand joint measurements. Let me emphasize that if such a quantum example exists, its quantumness could only be due to the joint measurements, as in a loop there are no “ends”, hence no parties with inputs, in strong contrast to the by now common Bell inequality scenarios. I elaborate on this in Section 7.
6. Is Three-Local?
In this section, we consider the question whether the quantum probability is three-local, i.e., whether it can be reproduced by a 3-local model:
In such a three-local model of the Alice–Bob correlation could only be due to their shared randomness . Similarly, the correlation between Bob and Charlie is necessarily due to and the Alice–Charlie correlation due to . Accordingly, each local variable , and would contain a four-dit, equally distributed among the values 1, 2, 3, 4, and with a relatively high probability both Alice and Bob output the four-digit contained in , and similarly for the other pairs of parties. Admittedly, this is only an argument, not a proof of the conjecture that is non-local.
Accordingly, let’s consider the following natural type of three-local models. Let , where 1, 2, 3, 4, each with equal probability and with . The idea is that whenever , then Alice and Bob results are given by , hence Alice and Bob get perfectly correlated. More explicitly, Alice’s output function reads:
where indicates that equals or with equal probability .
Table 1 indicates all possible outputs (where .

Table 1.
The eight lines correspond to the eight possible combinations of values of , and (first three columns). The next three columns indicate Alice, Bob and Charlie’s outputs. The seventh column indicates the probability of the corresponding line and the last two columns the probability that and , respectively.
Averaging the probabilities that over the eight combinations of values of , and , i.e., over the eight lines of Table 1, gives:
Hence, the maximal three-particle correlation of our three-local model is achieved for and reads:
This is much smaller than the value obtained in the quantum case with the elegant joint measurement.
The above is not a proof, but leads us to conjecture that the quantum probability is not three-local. Indeed, has to correlate A and B, i.e., contributes to the probability that , and contributes to and contributes to . But then the three independent variables , and can’t do the job for the three-particle correlation .
Note that if the outcomes are grouped two by two, such that outcomes are binary, then a three-local model similar to (21) can reproduce the quantum correlation. But, again, with four outcomes per party this seems impossible.
A Natural but Asymmetric Three-Local Model
There is another three-local model that we need to consider, directly inspired by the quantum singlet states shared by each pair of parties. Assume that the three local variables , and each take values (0, 1) or (1, 0) with 50% probabilities, where the first bit of is sent to Bob and the second bit to Charlie, and similarly for and . Clearly, this three-local model assumes binary local variables, i.e., bits, but we like to keep the notation (0, 1) and (1, 0) for the two values.
The outcomes are then determined by the two bits that each party receives from the local variables it shares with his two neighbours. We like to maximize the probability . All output functions that maximize are equivalent. One possible choice is:
Note that in this three-local model imposes that both Alice and Bob can only output one out of two values. Which of the two values happens depends on the second local variable. This provides intuition as to why this three-local model achieves , i.e., an even larger value than the quantum probabilities with the EJM. Moreover , hence . However, this model does not respect the symmetries of the quantum scenario. In particular 20 out of the 24 cases with take values 0 (recall that in the quantum scenario all 24 probabilities take value , see Equations (14)–(16)).
This simple three-local model shows that in order to prove the non-three-locality of it is not sufficient to consider , but one has to consider also the cases .
7. Consequences of a Non-Three-Local Quantum Triangle
Let’s assume that there is a nicely symmetric quantum example of a triangle provably not three-local, e.g., a probability distribution which derives from three independent quantum states and identical quantum measurements in the triangle configuration, see Figure 3, that has no three-local decomposition (20) (see Endnote []—which refers to References [,,]). What would that imply for our worldview? First, notice that in such a scenario there are no inputs. Accordingly, one could imagine a toy universe consisting of only six qubits, without anything outside, which nevertheless manifests quantumness, including provable randomness. Well, the outcomes a, b and c should get out of this mini-quantum-universe in order to produce any evidence; one more manifestation of the infamous quantum measurement problem [,]. This is in strong contrast to the usual Bell inequality scenario where inputs provided from outside the systems under test are essential to prove any quantumness. Of course, our six qubit toy universe must satisfy the assumption of independence of the three sources (without any assumption, nothing can be proven). But this assumption is really minimal: if the sources are spatially separated, then it is very natural to assume that they are independent. The first source could be powered by solar power and produce entangled photons, the second source powered by human energy and produce entangled atoms, and the third source powered by nuclear power and produce some entangled quantum “stuff”, e.g., cats or crystals [].
Admittedly, one may argue that Alice, for instance, somehow gets inputs from the sources denoted and on Figure 3. But in Bell inequality scenarios, one never thinks of the source in-between Alice and Bob as the inputs, the inputs are determining the measurement setting and, in Bell scenarios, necessarily come from outside the quantum systems. Nothing like this in the triangle scenario. Quantumness would be proven from inside the six qubit toy universe (see Endnote []—which refers to Reference []). Also quantum randomness would be proven within this toy universe.
A second interesting consequence of a “quantum triangle” appears when one moves the sources , and close to one of the players, or even inside the players. Assume the source is given to Bob, is given to Charlie and to Alice. In the quantum case, Alice, Bob and Charlie each emits some quantum state, e.g., one qubit, and sends it to his partner counter-clock wise. In the classical case they each send an arbitrarily large amount of classical information (possibly infinite) to their partner, still counter-clock wise. The three-local assumption of independence translates into the assumption that all communications are well enough synchronized to guarantee that each party sends out his quantum state or classical information before receiving anything from his partner. In this way one compares the power of quantum communication (of even just a qubit) with the power of classical communication, possibly an infinite amount of classical information. Under the synchronization assumption of the communications, one would prove the superiority of the former over the latter.
Admittedly, a similar story of replacing entanglement (shared randomness) by quantum (classical) communication can be told for the standard Bell inequality scenario. Instead of an entanglement source in-between Alice and Bob, Alice would send a quantum state to Bob prior to receiving her input x. This would allow them to violate the CHSH-Bell inequality, while if Alice is restricted to sending classical information—prior to receiving her input—they can’t violate any Bell inequality.
8. Conclusions
In summary, 25 years after the beautiful invention of quantum teleportation lots of progress has been made on Bell-locality [], on quantum steering [] and more generally quantum information theory. Likewise enormous progress happens in experimental, applied and engineering, even in industrialization of quantum technologies [,,]. But, quite surprisingly and disappointingly, essentially no progress took place in improving our understanding of joint measurements (see Endnote []—which refers to Reference [,,,]), i.e., on the second usage of entanglement in quantum teleportation. For example, it was proven that there is no simple analog of PR-boxes for joint measurements [,,,]. This is exciting, as it indicates that big surprises still await us in the—hopefully not too far—future.
Funding
This work partially supported by the Swiss NCCR-QSIT and the European ERC-AG MEC.
Acknowledgments
The present version profited from valuable comments by Nicolas Brunner, Sandu Popescu, Armin Tavakoli and—for once—the two referees.
Conflicts of Interest
The author declares no conflict of interest.
References and Notes
- Bennett, C.H.; Brassard, G.; Crépeau, C.; Jozsa, R.; Peres, A.; Wootters, W.K. Teleporting an unknown quantum state via dual classical and Einstein-Podolsky-Rosen channels. Phys. Rev. Lett. 1993, 70, 1895. [Google Scholar] [CrossRef] [PubMed]
- Pirandola, S.; Eisert, J.; Weedbrook, C.; Furusawa, A.; Braunstein, S.L. Advances in quantum teleportation. Nat. Photonics 2015, 9, 641. [Google Scholar] [CrossRef]
- Horodecki, R.; Horodecki, P.; Horodecki, M.; Horodecki, K. Quantum entanglement. Rev. Mod. Phys. 2009, 81, 865. [Google Scholar] [CrossRef]
- Gisin, N. Quantum Chance, Nonlocality, Teleportation and Other Quantum Marvels; Springer: Berlin, Germany, 2014. [Google Scholar]
- As said, this is only an intuitive explanation, as there are no two-qubit states with this property. For a more formal description of quantum teleportation see [,], though the here presented intuition contains the essential point in the present context.
- Brunner, N.; Cavalcanti, D.; Pironio, S.; Scarani, V.; Wehner, S. Bell nonlocality. Rev. Mod. Phys. 2014, 86, 419. [Google Scholar] [CrossRef]
- Cavalcanti, D.; Skrzypczyk, P. Quantum steering: A review with focus on semidefinite programming. Rep. Prog. Phys. 2017, 80, 024001. [Google Scholar] [CrossRef]
- Popescu, S.; Rohrlich, D. Quantum nonlocality as an axiom. Found. Phys. 1994, 24, 379–385. [Google Scholar] [CrossRef]
- Let me add that this is true of all opinions expressed in all my papers.
- Boschi, D.; Branca, S.; de Martini, F.; Hardy, L.; Popescu, S. Experimental realisation of teleporting an unknown pure quantum state via dual classical and Einstein-Podolski-Rosen channels. Phys. Rev. Lett. 1998, 80, 1121. [Google Scholar] [CrossRef]
- Bouwmeester, D.; Pan, J.-W.; Mattle, K.; Eibl, M.; Weinfurter, H.; Zeilinger, A. Experimental quantum teleportation. Nature 1997, 390, 575. [Google Scholar] [CrossRef]
- Furusawa, A.; Sørensen, J.L.; Braunstein, S.L.; Fuchs, C.A.; Kimble, H.J.; Polzik, E.S. Unconditional quantum teleportation. Science 1998, 282, 706–709. [Google Scholar] [CrossRef]
- Marcikic, I.; de Riedmatten, H.; Tittel, W.; Zbinden, H.; Gisin, N. Long-distance teleportation of qubits at telecommunication wavelengths. Nature 2003, 421, 509. [Google Scholar] [CrossRef]
- Ursin, R.; Jennewein, T.; Aspelmeyer, M.; Kaltenbaek, R.; Lindenthal, M.; Walther, P.; Zeilinger, A. Quantum teleportation across the Danube. Nature 2004, 430, 849. [Google Scholar] [CrossRef]
- Yin, J.; Ren, J.G.; Lu, H.; Cao, Y.; Yong, H.L.; Wu, Y.P.; Liu, C.; Liao, S.K.; Zhou, F.; Jiang, Y.; et al. Quantum teleportation and entanglement distribution over 100 km free space channels. Nature 2012, 488, 185–188. [Google Scholar] [CrossRef]
- Ma, X.S.; Herbst, T.; Scheidl, T.; Wang, D.; Kropatschek, S.; Naylor, W.; Wittmann, B.; Mech, A.; Kofler, J.; Anisimova, E.; et al. Quantum teleportation over 143 km using active feed forward. Nature 2012, 489, 269–273. [Google Scholar] [CrossRef] [PubMed]
- Ren, J.G.; Xu, P.; Yong, H.L.; Zhang, L.; Liao, S.K.; Yin, J.; Liu, W.Y.; Cai, W.Q.; Yang, M.; Li, L.; et al. Ground to satelite quantum teleportation. Nature 2017, 549, 70–73. [Google Scholar] [CrossRef] [PubMed]
- Bussières, F.; Clausen, C.; Tiranov, A.; Korzh, B.; Verma, V.B.; Nam, S.W.; Marsili, F.; Ferrier, A.; Goldner, P.; Herrmann, H.; et al. Quantum teleportation from a telecom-wavelength photon to a solid-state quantum memory. Nat. Photonics 2014, 8, 775–778. [Google Scholar] [CrossRef]
- Landry, O.; van Houwelingen, J.A.W.; Beveratos, A.; Zbinden, H.; Gisin, N. Quantum teleportation over the Swisscom telecommunication network. J. Opt. Soc. Am. B 2007, 24, 398–403. [Google Scholar] [CrossRef]
- Here is an instructive example. I wrote (among others) the introduction to our long-distance quantum teleportation paper [] and cited Aristotle for his distinction of form and substance that make up objects. When the proofs arrived we discovered that the editor dared to remove all this stuff about Aristotle, form and substance (although she/he is not a co-author of our paper, isn’t it?) I got angry and suggested to my students to withdraw our (accepted) submission to Nature. That proposal triggered a sort of nuclear bomb. No way to argue against the dominant fashion. I surrendered. But the arXiv version of our paper still contains Aristotle (quant-ph/0301178).
- Though, before having students I used to send all my papers to Physics Letters A, a journal with the enormous quality of always accepting all my submissions, hence allowing me to concentrate on research.
- Briegle, H.-J.; Dur, W.; Cirac, J.I.; Zoller, P. Quantum repeaters: The role of imperfect local operations in quantum communication. Phys. Rev. Lett. 1998, 81, 5932–5935. [Google Scholar] [CrossRef]
- Branciard, C.; Rosset, D.; Gisin, N.; Pironio, S. Bilocal versus nonbilocal correlations in entanglement-swapping experiments. Phys. Rev. A 2012, 85, 032119. [Google Scholar] [CrossRef]
- Another three-partite scenario in a triangle configuration without inputs should be mentioned here [], though it is essentially the usual Clauser-Horne-Shimony-Holt (CHSH) two-party case with the two random number generators collected as the third party. As expected, the resistance to noise per singlet is poor, certainly not better than for the usual CHSH inequality.
- Fritz, T. Beyond Bell’s theorem: Correlation scenarios. New J. Phys. 2012, 14, 103001. [Google Scholar] [CrossRef]
- Recall that for the Werner states ρW = W · |ψ−⟩⟨ψ−| + (1 − W)𝟙/4, where |ψ−⟩ denotes the singlet, the visibility equals W.
- Jennewein, T.; Weihs, G.; Pan, J.-W.; Zeilinger, A. Experimental nonlocality proof of quantum teleportation and entanglement swapping. Phys. Rev. Lett. 2002, 88, 017903. [Google Scholar] [CrossRef]
- Halder, M.; Beveratos, A.; Gisin, N.; Scarani, V.; Simon, C.; Zbinden, H. Entangling independent photons by time measurement. Nat. Phys. 2007, 3, 692–695. [Google Scholar] [CrossRef]
- Branciard, C.; Gisin, N.; Pironio, S. Characterizing the Nonlocal Correlations Created via Entanglement Swapping. Phys. Rev. Lett. 2010, 104, 170401. [Google Scholar] [CrossRef] [PubMed]
- Rosset, D.; Branciard, C.; Barnea, T.J.; Pütz, G.; Brunner, N.; Gisin, N. Nonlinear Bell Inequalities Tailored for Quantum Networks. Phys. Rev. Lett. 2016, 116, 010403. [Google Scholar] [CrossRef]
- Tavakoli, A.; Renou, M.-O.; Gisin, N.; Brunner, N. Correlations in star networks: From Bell inequalities to network inequalities. New J. Phys. 2017, 19, 073003. [Google Scholar] [CrossRef]
- Tavakoli, A. Quantum correlations in connected multipartite Bell experiments. J. Phys. A 2016, 49, 145304. [Google Scholar] [CrossRef]
- Gisin, N.; Mei, Q.; Tavakoli, A.; Renou, M.-O.; Brunner, N. All entangled pure quantum states violate the bilocality inequality. Phys. Rev. A 2017, 96, 020304. [Google Scholar] [CrossRef]
- Chaves, R. Polynomial Bell Inequalities. Phys. Rev. Lett. 2016, 116, 010402. [Google Scholar] [CrossRef] [PubMed]
- Fraser, T.C.; Wolfe, E. Causal compatibility inequalities admitting quantum violations in the triangle structure. Phys. Rev. A 2018, 98, 022113. [Google Scholar] [CrossRef]
- Fritz, T. Beyond Bell’s Theorem II: Scenarios with Arbitrary Causal Structure. Commun. Math. Phys. 2016, 341, 391–434. [Google Scholar] [CrossRef]
- Andreoli, F.; Carvacho, G.; Santodonato, L.; Chaves, R.; Sciarrino, F. Maximal qubit violation of n-locality inequalities in a star-shaped quantum network. New J. Phys. 2017, 19, 113020. [Google Scholar] [CrossRef]
- Tavakoli, A.; Skrzypczyk, P.; Cavalcanti, D.; Acín, A. Nonlocal correlations in the star-network configuration. Phys. Rev. A 2014, 90, 062109. [Google Scholar] [CrossRef]
- Gisin, N. The elegant joint quantum measurement and some conjectures about N-locality in the triangle and other configurations. arXiv, 2017; arXiv:1708.05556. [Google Scholar]
- Massar, S.; Popescu, S. Optimal Extraction of Information from Finite Quantum Ensembles. Phys. Rev. Lett. 1995, 74, 1259. [Google Scholar] [CrossRef]
- Gisin, N.; Popescu, S. Spin Flips and Quantum Information for Antiparallel Spins. Phys. Rev. Lett. 1999, 83, 432. [Google Scholar] [CrossRef]
- Wolfe, E.; Spekkens, R.W.; Fritz, T. The Inflation Technique for Causal Inference with Latent Variables. arXiv, 2018; arXiv:1609.00672. [Google Scholar]
- Navascues, M.; Wolfe, E. The inflation technique solves completely the classical inference problem. arXiv, 2017; arXiv:1707.06476. [Google Scholar]
- While finishing this work, Prof. Salman Beigi sent me what appears to be the first such example []! For a non-symmetric example see Fritz’s example [] recalled in Note [].
- Beigi, S.; Institute for Research in Fundamental Science (IPM), Tehran, Iran. Personal communication, 2018.
- Gisin, N. Collapse. What else? In Collapse of the Wave Function; Gao, S., Ed.; Cambridge University Press: Cambridge, UK, 2018. [Google Scholar]
- Gisin, N.; Fröwis, F. From quantum foundations to applications and back. Philos. Trans. R. Soc. A 2018, 376. [Google Scholar] [CrossRef]
- Usmani, I.; Clausen, C.; Bussières, F.; Sangouard, N.; Afzelius, M.; Gisin, N. Heralded quantum entanglement between two crystals. Nat. Photonics 2012, 6, 234. [Google Scholar] [CrossRef]
- Note that the six qubits could also be on a line, as in Figure 7 of [].
- Available online: www.idquantique.com (accessed on 27 September 2018).
- Available online: www.idquantique.com/introducing-quantum-rng-chip (accessed on 27 September 2018).
- Boaron, A.; Boso, G.; Rusca, D.; Vulliez, C.; Autebert, C.; Caloz, M.; Perrenoud, M.; Gras, G.; Bussières, F.; Li, M.J.; et al. Secure quantum key distribution over 421 km of optical fiber. Phys. Rev. Lett. 2018, 121, 190502. [Google Scholar] [CrossRef] [PubMed]
- One exception is the possibility of detecting joint measurements in a device-independent way, see, e.g., [,,,].
- Rabelo, R.; Ho, M.; Cavalcanti, D.; Brunner, N.; Scarani, V. Device-Independent Certification of Entangled Measurements. Phys. Rev. Lett. 2011, 107, 050502. [Google Scholar] [CrossRef] [PubMed]
- Ciarán, M.L. Device-independent certification of non-classical measurements via causal models. arXiv, 2018; arXiv:1806.10895. [Google Scholar]
- Renou, M.-O.; Kaniewski, J.; Brunner, N. Self-testing entangled measurements in quantum networks. Phys. Rev. Lett. 2018, 121, 250507. [Google Scholar] [CrossRef] [PubMed]
- Bancal, J.-D.; Sangouard, N.; Sekatski, P. Noise-resistant device-independent certification of Bell state measurements. Phys. Rev. Lett. 2018, 121, 250506. [Google Scholar] [CrossRef]
- Short, A.J.; Popescu, S.; Gisin, N. Entanglement swapping for generalized nonlocal correlations. Phys. Rev. A 2006, 73, 012101. [Google Scholar] [CrossRef]
- Barrett, J. Information processing in generalized probabilistic theories. Phys. Rev. A 2007, 75, 032304. [Google Scholar] [CrossRef]
- Skrzypczyk, P.; Brunner, N. Couplers for non-locality swapping. New J. Phys. 2009, 11, 073014. [Google Scholar] [CrossRef]
- Skrzypczyk, P.; Brunner, N.; Popescu, S. Emergence of quantum correlations from nonlocality swapping. Phys. Rev. Lett. 2009, 102, 110402. [Google Scholar] [CrossRef] [PubMed]
© 2019 by the author. Licensee MDPI, Basel, Switzerland. This article is an open access article distributed under the terms and conditions of the Creative Commons Attribution (CC BY) license (http://creativecommons.org/licenses/by/4.0/).