Abstract
The present challenges in the automotive industry require the development and practical implication of novel machining procedures, which will provide appropriate solutions. These procedures should still meet the requirements of productivity, surface quality and energy efficiency. The further development of novel machining procedures introduces new problems that did not occur (or occurred to a lesser extent) with traditionally applied procedures. Rotational turning has come to the attention of production engineers in the previous decade since it can be used to machine ground-like surfaces in an ecologically friendly and highly productive manner. However, the chip removal characteristic is slightly different from traditional turning due to the applied special kinematic relation and complex tool edge geometry. The run-in phase will take longer, which is the time period between the first contact of the tool and the formation of a constant chip cross-sectional area. The clarification of the chip formation is important in any machining procedure. To achieve this goal, the geometric parameters of the chip must be determined. Since the start of the chip removal is a crucial stage in rotational turning due to its length, the chip height, chip width and the cross-sectional area of the chip should be separately defined in the initial stage. Therefore, in this paper, the initial phase of chip removal in rotational turning is studied. The increasing cross-sectional area of the chip is determined analytically by the application of the previously elaborated equation of the cut surface. Calculating formulas are defined for the different stages of the start of the chip removal, which could be used in the forthcoming studies to analyze the chip formation. The effects of different determining parameters are analyzed theoretically by the deduced formulas of the run-in phase and practical experiments are also carried out. The analytical and experimental analyses showed that increasing feed also increases the dynamic load on the cutting edge, while the depth of cut lowers the growth of the characteristic parameters of the chip, which results in a lower dynamic load on the tool.
1. Introduction
In machining processes, particularly in finishing operations, a proper understanding and control of chip removal are crucial to achieving high-quality results [1,2,3]. The beginning of chip removal is a highly sensitive phase that can significantly impact the final surface finish, dimensional accuracy and overall performance of the machined part. This initial contact between the cutting tool and the workpiece is a complex interaction involving multiple factors, such as tool geometry, cutting conditions, material properties, and tool–workpiece alignment. For manufacturers aiming to produce precision components, especially in sectors like the aerospace, automotive and medical device sectors, studying this critical phase is essential to improving machining outcomes [4,5]. Chip formation is a fundamental aspect of material removal in machining, and it directly influences the forces acting on the tool, the heat generated and the stresses experienced by the material [6]. At the initiation of the chip removal, any irregularities, such as misalignment, inadequate cutting parameters, or material inconsistencies, can lead to poor surface quality, increased tool wear, or even tool breakage. These factors become even more critical in finishing procedures, where tolerances are tight, and the surface finish must meet stringent requirements. Even a slight deviation during the start of the cutting process can leave behind defects like micro-cracks, surface irregularities, or burrs, which compromise the functional performance and durability of the component [7,8,9]. Moreover, in finish machining, the material removal rate is generally lower, and the focus is on achieving superior surface quality rather than bulk material removal. As such, the cutting forces and thermal effects during the beginning of chip formation have a more pronounced impact on the resulting surface [10,11]. Since the finish machining operations often target very thin layers of material, any disorder at the initial stage of chip formation can spread through the entire cut, leading to suboptimal surface texture and geometric inaccuracies. In high-precision industries, where components must endure coarse operating conditions, such as extreme temperatures, pressures, or dynamic loads, surface integrity becomes a critical factor [12,13]. Poor surface integrity, decreasing from improper chip formation at the start of the machining process, can lead to early component failure. In applications like engine components or medical implants [14,15], surface defects can reduce fatigue life or affect biocompatibility, making the thorough study of chip removal initiation not just an option but a necessity. The process of understanding and optimizing the start of chip removal involves advanced analytical methods, such as cutting force measurements [16,17], high-speed imaging of chip formation [18,19], and simulations using finite element modeling (FEM) [20,21]. Additionally, careful selection of cutting tools with the appropriate geometry, coatings, and wear resistance is required to ensure smooth initiation of the cutting process. Cutting parameters, including speed, feed rate and depth of cut, must also be meticulously optimized to avoid issues such as excessive heat generation or vibrations at the initiation of the cut. In conclusion, the study of the initiation of chip removal is important for ensuring optimal performance in finish machining procedures. Given the sensitivity of this phase, especially when dealing with fine tolerances and high surface finish requirements, it plays a key role in determining the overall quality and functionality of the machined component. By focusing on the nuances of chip formation initiation, manufacturers can enhance the precision, surface integrity and lifespan of their products, thus meeting the demanding standards of modern industrial applications.
Rotational turning [22] can be considered a combination of coaxial rotational milling and skiving turning [23]. Such surface topography can be achieved with processes that meet the strict specifications typical of precision machining; thus, grinding can be substituted, thereby reducing the length of production chains [24]. Klocke et al. proposed a relationship to determine the theoretical roughness in which the base plane projection of the tool edge is approximated by a circle, thus bringing the process back to longitudinal feed turning with a radius insert [23]. In their experimental work, they found that as the feed rate increases, the effect of the tool geometry becomes more and more significant. The theoretical values of the roughness follow the change in their measured values as a function of the feed. In their research, Degen et al. concluded that a significantly lower roughness can be achieved with rotational turning [25]. However, tool vibration was experienced due to the small chip thickness. Šajgalík and his co-authors analyzed the base plane projection of the helical tool and approximated it with a trigonometric angle function for the maximum roughness calculation method [26]. The peak height of the theoretical machined surface was calculated from the written trigonometric function. Martikan et al. present a uniquely designed, driven tool clamping device that can be mounted on a conventional lathe, with which circular feed can be ensured [27].
The analytical and experimental study of chip formation and chip geometry remains an important topic for researchers in production technology today. It is crucial to have a good understanding of the material removal process in different procedures and applications. Uhlmann et al. utilized a simulation model for the analysis of chip formation for dry flood-cooling and high-pressure cooling conditions [28]. Based on the analytical modelling, the differences in the chip formation were determined in the machining of C45 and Inconel 718 workpiece materials. Abena et al. analyzed the chip formation mechanism in the machining of unidirectional carbon fiber composites [29]. The application of the ANOVA method highlighted the main tool geometry factors in chip formation. Alammari et al. studied the initial period of chip formation in the machining of Inconel 718 material [30]. Their work highlighted the complexity of this cutting stage, and it also drew attention to this topic. It is necessary to study the beginning of chip removal since it affects the temperature distribution and transient thermal behavior of the materials. Li et al. applied the rounded edge discretization and unequal division shear zone model to predict the chip flow direction of cylindrical turning [31]. The effects of cutting parameters on components and resultant chip flow angle are analyzed by the applied analytical and geometrical modelling. It is found that the main cutting edge angle, cutting depth and nose radius are the main factors affecting the resultant chip flow direction.
Analysis and determination of the chip thickness are also necessary to fully understand the chip removal process; therefore, many researchers have worked on this topic in recent years as well. Kundrák et al. studied the energetic characteristics of milling, with special attention paid to the shape of the cross-section removed by the tool [32]. The equivalent chip thickness is defined as a function of the angular position of the tool by geometric modelling in their work. This enabled the study of the change in the main cutting force and the specific cutting force during the start and further stages of the chip formation. Guo et al. investigated the effect of tool inclination on chip geometries and surface finishing in the micro-milling of Glow discharge polymer using a single-edge diamond tool [33]. A novel model framework was proposed for the evaluation of undeformed and deformed chip geometries, including chip length, width and thickness, by considering the tool inclination angle, effective cutting radius and tool orientation. They found, by the application of constructive tool geometric modelling, that a larger tool inclination angle leads to a longer cutting length and a higher feed rate, resulting in a higher material removal rate and a higher undeformed chip thickness and the maximum values of deformed chip thickness show a parabolic distribution with the increase in the tool inclination angle. Duc et al. studied the influences of tool geometry on the performance characteristics of hard turning by the application of a developed mathematical model [34]. The local chip thickness and local chip cross-sectional area are defined by tool geometric modelling in their work. They used the results to optimize the hard-turning process. Mikołajczyk et al. studied the minimal uncut chip thickness in the oblique cutting process of C45 steel [35]. The goals of their study were the analysis of the effect of the inclination angle on the minimum uncut chip thickness and the creation of a model that describes the interaction of the minimum uncut chip thickness and the edge with a defined radius of rounding. It was shown, based on analytical modelling of the uncut chip thickness, that the inclination angle value has a significant effect on the cutting process, especially in the range of small uncut chip thickness due to the change configuration of cutting edge geometry in the chip flow angle.
Another field in chip formation research is the determination of the material removal area. Itoh et al. developed a novel chatter-less turning insert [36]. An analytical model has been constructed in their work to predict the stability of the cutting by the conventional and proposed inserts. They defined the dynamic material removing area by geometric modelling to analyze the cutting force during machining. Weng et al. proposed a novel and effective model for predictions of the cutting mechanics and machining-induced residual stress in curved surface machining [37]. The uncut chip area and local information along the engaged cutting edge are obtained based on detailed geometric analysis and a new discretization methodology in their work. The developed fully analytical model could predict the distributed cutting mechanics during cured surface machining. Li and Chang proposed a method to determine the boundaries of the undeformed chip region using a three-dimensional geometric model in turning [38]. Their work showed the effect of the cutting-edge radius on the change in material removal and flow direction through modelling.
The previous explanation highlights that chip formation is a critical aspect that requires careful study in finish machining. In rotational turning, the interaction between the rotating cutting tool and the workpiece significantly influences chip formation, which in turn affects surface quality and tool life. Understanding the dynamics of chip formation helps optimize cutting parameters, reduce tool wear, and ensure better surface finishes. In a previous study, the cross-sectional area of the chip is already analyzed in rotational turning, when the chip removal is constant [39]. However, as shown in another work [40], initiation of the material removal (or run-in phase of the cutting) is significant in rotational turning. This phase occurs after the first intersection of the cutting edge and the workpiece, and it lasts until the constant chip cross-section is not formed. This phase (start of the material removal) is analyzed in this paper. Firstly, the characteristic geometric values of the chip are determined analytically by the application of constructive tool geometry modelling. This is followed by the evaluation of the determined formulas. To further analyze the start of the chip removal, cutting experiments were also made, in which the effect of the feed and depth of cut is determined. The results of this study improve the understanding of the chip-removal process and highlight the importance of the start of the material removal. The determined equations enable the analysis of the impact conditions in rotational turning as well.
2. Applied Methods and Equipment
The aim of this study is to analyze some important characteristics of the start of the chip removal during rotational turning, which is achieved by analytical determination and the evaluation of practical experiments.
Firstly, equations will mathematically describe the geometric parameters of the chip during the run-in phase of the procedure. The constructive tool geometry modelling method is applied in the theoretical analysis. In this paper, the previously determined mathematical model is presented with the definition of the applied parameters. The equation of the cut surface is used as a basis for the analytical determination of the geometric parameters of the chip.
This is followed by the experimental work, in which the major cutting force will be evaluated. Several machining experiments are made to study the effect of the alteration of the feed and the depth of cut on the major cutting force. The experimental data are used to compare the practical results with the theoretical formulas.
2.1. Basis of the Analytical Determination
The theoretical analysis is carried out by using constructive tool geometry modelling [41]. This method was successfully applied in a previous study on tangential turning, in which the surface roughness is determined mathematically [42]. The mathematical model of the rotational turning process is defined and consists of several key components: (1) a geometrical and kinematic analysis, (2) the definition of the necessary coordinate systems, (3) the formulation of the transformation equations, (4) the specification of the vector equation for the cutting edge, and (5) the determination of the motion equation. Figure 1 shows the determined model.
Figure 1.
Mathematical model of rotational turning [41].
The geometrical and kinematic analysis revealed the parameters describing the rotational turning procedure. The geometric factors are the following:
- Radius of the tool (rt);
- Radius of the machined surface (rw);
- Radius of the surface to be machined (Rw);
- Inclination angle (λs);
- Length of the workpiece (Lw);
- Projected length of the tool (Lt).
The kinematic relations between the tool and the workpiece are determined by the following parameters:
- Tangential feed rate (vt,t);
- Axial feed rate (vt,a);
- Angular velocity of the tool (ωt);
- Angular velocity of the workpiece (ωw);
- Number of revolutions of the tool (nt);
- Number of revolutions of the workpiece (nw).
Upon reviewing the relevant literature, it was stated that utilizing four coordinate systems (CS) is practical and advantageous for this model. In summary, there are two coordinate systems attached to the workpiece and two to the tool. One system for each moves with its corresponding object (tool or workpiece), while the other pair remains stationary relative to the machine. Figure 1 visually demonstrates these coordinate systems for tangential turning, showing how the movements of the tool and workpiece occur within the defined systems. The rotation of the tool and the workpiece are described by their angular velocity (ωt and ωw), as it simplifies mathematical derivation. The name and the definition of the four coordinate systems are the following:
- The first system, called the “Tool Moving CS” (Kt,m), is used as the base coordinate system where the vector equation of the cutting edge is formulated. This system moves with the tool during machining.
- The second system, known as the “Tool Stationary CS” (Kt,s), is fixed to the machine and describes the feeding motion by the transformation between Kt,m and Kt,s, representing the relative movement of the tool reference point in relation to the machine.
- The third system is the “Workpiece Stationary CS” (Kw,s), which is also attached to the machine but linked to the workpiece’s reference point. The transformation between the Tool Stationary CS and the Workpiece Stationary CS accounts for the radial distance (aw) between the tool and the symmetry axis of the workpiece.
- The fourth system, referred to as the “Workpiece Moving CS” (Kw,m), is associated with the workpiece and rotates with it. The transformation between the Workpiece Stationary CS and Workpiece Moving CS describes the rotational motion of the workpiece.
Once the appropriate starting positions for the coordinate systems were defined, further considerations were made to aid in the analytical calculations and rationalize the mathematical process.
- The Greek symbols ξi, ηi, and ζi represent the axes of the moving coordinate systems, while the Latin letters xi, yi, and zi correspond to the axes of the stationary coordinate systems, where the subscript i stands for w (workpiece) or t (tool).
- The ζi and zi axes are both aligned with the symmetry axis of the workpiece.
- The base plane is represented by the [xi; zi] and [ξi; ζi] planes.
- For each coordinate system, the axes must form a right-handed system, which determines the orientation of the ηi and yi axes.
- Additionally, the ξi axis in both the moving coordinate systems for the tool and the workpiece passes through the surface-generating point “1”.
The result of the mathematical determination [41] was the equation of the cut surface section in the base plane in one-variable function form, which is written as
and this equation is used in the following mathematical determination of the studied geometrical parameters of the chip.
2.2. Experimental Setup
The second section of this study contains experimental research on the initiation of the chip removal in rotational turning. The aim of this part is to measure and evaluate the major cutting force on different levels of feeds and depths of cut and compare the previously determined mathematical formulas with practical results. The characteristic kinematic relations of the process were achieved using a Perfect-Jet MCV-M8 machining center (manufacturer: Ping Jeng Machinery Industry, Taichung City 422413 Taiwan; power: 5.5 [kW], maximum spindle speed: 10,000 [1/min], table size: 900 [mm] × 500 [mm]). This machine provided the necessary power and rigidity for the experiments, and the force measurement equipment used was also compatible with it. A 5% emulsion of Rhenus TS 25 coolant and lubricant was applied during the machining process. Figure 2 presents the applied cutting tool clamped on the machine and an illustration of the chip removal during the experiments (without coolant).
Figure 2.
The applied cutting tool in the experiments (a) and the illustration of the chip removal (b).
The experiments were conducted on normalized C45 steel workpieces with a hardness of 220 [HV], a length of 12 [mm], and a diameter of 40 [mm]. The material removal was performed using a Fraisa (FRAISA Hungária Kft., Sárospatak, Hungary) P5300682 cutting tool with a 30° inclination angle and a 32 [mm] axial length of the cutting edge. The following characteristics were measured on an AltiSurf 520 three-dimensional topography measuring instrument (Altimet, Thonon-les-Bains, France): a rake angle of 12.332°; a flank angle of 10.915°; an edge radius of 14.75 [µm]. As can be seen in Figure 2b, the rotation of the tool has resulted from the circular interpolation of the machine tool.
The technological parameters are selected according to the aim of the study. The goal was to carry out a preliminary analysis of the run-in phase in rotational turning, which supplemented the theoretical research while also providing data for the validation of the mathematically derived formulas. Eight kinds of axial feed (fa) were chosen, which is supplemented by three kinds of depth of cut (ap) values. The previously carried out experiments showed that the geometry of the cutting tool sets a limit on the adjustable depth of the cut, which is 0.3 [mm]. The eight levels of feed are chosen to provide a high variety of data for the analysis. The highest level of feed (1.2 [mm/rev.]) is chosen to analyze rotational turning at high feeds, which is its main advantage. The resulting experimental setups can be seen in Table 1. The cutting speed was 200 [m/min] since this ensures good cutting conditions, but it does not affect the theoretical chip geometry.
Table 1.
Experimental setups.
During the cutting experiments, cutting forces were measured using a Kistler 9257A three-component dynamometer (Kistler Instrumente AG, Winterthur, Switzerland) fixed between the cutting tool and the machine table. This device recorded three force components acting along mutually perpendicular axes at each moment in time. The signals produced by the piezoelectric force measurement system were converted into voltage values by three Kistler 5011 single-channel charge amplifiers (Kistler Instrumente AG, Winterthur, Switzerland). These voltage values were then transmitted to a data processing computer via a NI-9215 Analog Input Module housed in a cDAQ-9171 casing (National Instruments (NI) Corporation, Austin, TX, USA), both provided by National Instruments. The data were collected at a sampling rate of 1000 [Hz], displayed, and stored using software for subsequent analysis (LabVIEW 2018 SP1, National Instruments (NI) Corporation, Austin, TX, USA). The actual cutting force values in the tool coordinate system were computed from the measured forces in the machine coordinate system, accounting for the constantly changing relative positions of the tool and the workpiece.
3. Analytical Determination of the Undeformed Chip
The study of the start of the chip removal requires the mathematical determination of the undeformed chip in the base plane of the cutting tool. Figure 3 shows that part of the workpiece material that is removed during one rotation of the workpiece.
Figure 3.
Cross-sectional area of the chip in rotational turning.
A and A′ represents the intersection point between the cutting tool and the machined surface of the workpiece; B and B′ represents the intersection point between the cutting edge and the to-be-machined surface. The AB curved line represents the cut surface, which is generated one workpiece rotation before. The A′B′ curved line represents that cut surface, which is being generated in the current workpiece rotation. The closed area between the two curves (the ABB′A′ two-dimensional figure) is the cross-sectional area of the chip in the base plane. The figure also shows the depth of cut (ap), which is the radial difference between the machined and the to-be-machined surface, and the applied axial feed in one workpiece revolution (fa).
Based on the previous considerations, Figure 4 is drawn to mathematically determine the cross-sectional area of the chip, where the two sections of the cut surface are shown. The first, which is described by the ξw(ζw) function, is the initial position of the cutting edge. The second, which is determined by the ξw(ζw + fa) function, shows the cut surface after one whole rotation of the workpiece. This means an offset of the initial function in the ζw axis by the value of the resultant axial feed (fa). These two functions are intersected by the ξw = 0 and ξw = ap lines. The resultant area bounded by the formerly described four equations shows the theoretical cross-sectional area of the chip in the base plane perpendicular to the cutting speed, which thus, is mathematically determined.
Figure 4.
The characteristic points and curves applied in the analysis.
In the following deductions, the intersection line of the end plane of the workpiece and the base plane is represented by the ζw = ζk line. This intersecting line will be moved during the description, as the theoretical cross-sectional area of the chip is moving in the axial (ζw) direction during the rotations of the workpiece, thus representing the axial motion of the cutting tool. The moving theoretical chip cross-section comes into contact with the end of the workpiece at the B′ point. The constant cross-sectional chip removal starts when the ζw = ζk line reaches the A point. During the analysis, the chip width is calculated by the average of the two cutting edge sections, which bounds the increasing cross-sectional area of the chip in the axial (ζw) direction. This methodology results in a better description of the real conditions since the chip width should represent the length on which the load distributes on the cutting edge. The chip width would be greater than the real conditions if only the ξw(ζw + fa) curve is used; furthermore, the chip width would be lower than the actual loading length if the ξw(ζw) curve were used. The characteristic points of Figure 4 are determined as the following, where ζw,i and ξw,i (i = A, B, A′, B′) are the positions of the analyzed points in the ζw and ξw directions, respectively:
It can be seen in Equations (2)–(5) that ζw,B (the position of point B in the axial (ζw) direction) is needed to continue the deduction. This value equals the radius of the to-be-machined surface (Rw), which equals the radius of the machined surface (rw) plus the depth of cut (ap). Due to the position of the tool and the workpiece in the coordinate systems, their negative value must be used:
The axial position of point B can be determined if we substitute Equation (6) into Equation (1). The required value can be determined with the following formula (after the possible mathematical transformations are applied):
To continue the determination of the start of the chip removal process, intervals should be defined, which are listed in Table 2. These are based on the position of the ζw = ζk line (which represents the axial movement of the end of the workpiece).
Table 2.
Defined intervals at the start of the chip removal.
As the necessary boundary conditions and the specific intervals of the start of the material removal are defined, the characteristic parameters of the chip could be determined for each phase. Three attributes should be defined: the cross-sectional area of the chip (Aci), the chip width (bi), and the chip height (hi), where i marks the number of the phase (i = 1,2,3). The cross-sectional area of the chip will be determined by the calculation of the corresponding areas in the figures, and the chip width will be calculated based on arc length calculations. The chip height will not be expressed separately for each case, but it will be defined as an equivalent chip height as follows:
Every characteristic parameter of the chip is equal to zero in the 0 point since this is where the first contact occurs. The chip is only a point for a very brief time. The first type of chip takes the form of a triangle-like shape, which can be seen in Figure 5. It can be seen that the depth of cut (ap(ζk)) is slowly increasing as a function of the position of the ζk line.
Figure 5.
Chip form during the first defined interval.
The cross-sectional area of the chip can be determined by the solution of the following expression:
and the width of the chip is calculated as
The chip shape will take a trapezoid form once one full rotation of the workpiece is passed after the initial contact between it and the cutting edge. This means that the ζw directional distance between the ζk line and the B′ point is greater than the axial feed (fa). The characteristic shape of the chip during the second interval is presented in Figure 6. The depth of cut continues its slow increase, and the form of the chip becomes wider during this interval.
Figure 6.
Chip form during the second defined interval.
The cross-sectional area of this trapezoid-like chip can be determined by the solution of the following expression:
and the width of the chip during the second interval is calculated as
Equation (12) takes the following form after the competition of the possible mathematical simplifications:
The last phase of the initiation of chip removal begins when the ζk line reaches the A′ point. The major cutting edge of the tool is in full contact with the workpiece when this occurs. In this phase, the secondary cutting edge of the tool is getting cut, and the machined surface of the workpiece begins to form. The cross-sectional area of the chip in the base plane starts to obtain the shape, which is characteristic of the constant phase. The geometrical relations are shown in Figure 7.
Figure 7.
Chip form during the third defined interval.
The cross-sectional area of the chip can be determined by the solution of the following expression, which begins to take the form of the formula determined for the constant phase while the ζk line reaches the A point:
The width of the chip is calculated as
which is simplified to the following expression:
4. Results and Discussion
The study continues with the evaluation of the experimental results and the application of the determined, analytical method for the calculation of the geometric parameters of the chip. This section is divided into three subsections. Firstly, the analytical method will be compared with the experimental data. Secondly, an application possibility of the determined formulas is shown. Finally, a preliminary analysis of the experimental results is carried out.
4.1. Comparison of the Analytical Results with the Experimental Data
It is important to compare a theoretical formula with practical experiments so the correctness of the determination can be seen. The calculation methods of the geometrical parameters of the chip during the run-in phase are shown in the previous section. However, the measurement of the geometric attributes of the deformed chip (removed material) is a complex task, which is beyond the scale of this study. The analysis of the deformed chip in rotational turning will be carried out in a later study. However, there is another characteristic, with is related to the size of the chip, which is the cutting force. The cutting force is proportional to the cross-sectional area of the chip to be removed. It can be expected that the alteration of the cutting force and the cross-sectional area of the chip will be the same in those cases where the conditions are continuously changing. This is the case in the run-in phase of rotational turning as well. Therefore, the alteration of the major cutting force is compared to the increase in the cross-sectional area of the chip in the run-in phase in this study.
Figure 8, Figure 9, Figure 10 and Figure 11 present the result of the described comparison, where the green dotted line shows the results of the cross-sectional area calculations based on the formulas presented in the previous section. The continuous yellow lines show the results of the cutting force measurements. Among the experimental data, four cases are analyzed: two kinds of depth of cut (0.1 [mm] and 0.3 [mm]) and feed (0.4 [mm/rev.] and 1.0 [mm/rev.]) were chosen, which resulted in four combinations. It can be stated by the analysis of these figures that the calculated Ac and the measured Fc show a very good correlation. This phenomenon will be further deeply studied in upcoming research, but the calculation method presented in this paper is confirmed by this comparison.
Figure 8.
Comparison of the major cutting force (Fc) and the theoretical cross-sectional area of the chip (Ac), when f = 0.4 [mm/rev.] and ap = 0.1 [mm].
Figure 9.
Comparison of the major cutting force (Fc) and the theoretical cross-sectional area of the chip (Ac) when f = 0.4 [mm/rev.] and ap = 0.3 [mm].
Figure 10.
Comparison of the major cutting force (Fc) and the theoretical cross-sectional area of the chip (Ac), when f = 1.0 [mm/rev.] and ap = 0.1 [mm].
Figure 11.
Comparison of the major cutting force (Fc) and the theoretical cross-sectional area of the chip (Ac) when f = 1.0 [mm/rev.] and ap = 0.3 [mm].
4.2. Application of the Determined Formulas
The theoretical study of the start of the chip removal in rotational turning is carried out based on the previously determined equations. The analysis is carried out in two steps. Firstly, base values were chosen based on previous practical experiments. The charts resulting from the substitution of these data can be seen on the lefthand side of Figure 12, Figure 13 and Figure 14. The second analysis is carried out to examine the effect of the feed and depth of cut on the change of the cross-sectional area, width, and height of the chip during the run-in phase. Therefore, new charts were drawn when the feed value is tripled (middle part of Figure 12, Figure 13 and Figure 14) and when the depth of cut is tripled (right side of Figure 12, Figure 13 and Figure 14). The chosen base values were the following: the inclination angle of the tool is 30°, the radius of the tool is 40 [mm], the diameter of the workpiece is 40 [mm], the cutting speed is 200 [m/min], the depth of cut is 0.1 [mm], and the feed is 0.4 [mm/rev.]. The other previously applied physical parameters are calculated to meet the described values.
Figure 12.
Calculated charts of the cross-sectional area of the chip (Ac) in the run-in phase.
Figure 13.
Calculated charts of the chip width (b) in the run-in phase.
Figure 14.
Calculated charts of the equivalent chip thickness (he) in the run-in phase.
Figure 12 and Figure 13 show the change in the cross-sectional area of the chip and chip width during the run-in phase. The growth is continuous during the axial displacement of the surface-forming point. Only two break points can be observed in the curve due to the change in the form of the chip (Table 2). The first break point occurs at the moment when the cutting edge first intersects with the already cut surface after one revolution of the workpiece. The second breaking point occurs when the cutting edge has reached the finished diameter of the workpiece; however, one more workpiece revolution is required to form the constant cross-section of the chip. Therefore, the rate of growth is slightly reduced.
It can be seen via the examination of the change in the cross-section area of the chip until the full depth of cut is reached (Figure 12) that the alteration in Ac can be divided into three intervals. In the first part, which lasts until almost 10% of the run-in phase, the growth of the chip cross-section is exponential since, in addition to the in-cut length of the cutting edge, the layer of material to be removed also increases (Figure 14). The next interval shows an almost linear increase, lasting from 10% to 60% of the run-in phase. Here, the chip thickness is almost constant (Figure 14). In the last interval, which lasts until the constant chip cross-section is reached, the growth rate of Ac reduces.
The change in the equivalent chip thickness is shown in Figure 14. During the first interval, an intense increase can be observed until a local maximum is reached. After it is exceeded, the chip thickness decreases until its constant value is reached. In the first section of the run-in phase, the width and thickness of the cross-section increase equally. However, in the second and third intervals of this phase, the material thickness perpendicular to the given edge section decreases, so the calculated equivalent chip thickness will also decrease.
The second part of the theoretical analysis is the description of the effect of the growth of the feed and depth of cut. Both technological parameters are increased three-fold. Therefore, the cross-sectional area of the chip is also increased to its three-fold value. However, it can be seen in Figure 12 that the growth is much steeper when the feed is increased. This results in a higher dynamical load on the cutting edge. This also shows a phenomenon: when the depth of cut is higher, the cutting edge comes into contact with the workpiece earlier. Thus, the same chip cross-section could be reached in the longer axial workpath of the tool. Figure 13 shows the alteration of the chip width. Increasing the feed has no effect on the maximum value of the chip width. However, the transition of its values is stretched out when the feed is increased (left and middle part of Figure 13). Figure 14 shows that the feed increase has a high impact on the equivalent chip thickness, which has a 2.5-fold increase when the feed is increased. Due to the definition of the equivalent chip thickness, when just the depth of cut is increased, he is also increased slightly.
This example shows that the determined analytical description is capable of the description of the chip cross-section in the run-in phase. The dynamical load could be compared when different technological parameters are used.
4.3. Preliminary Study of the Effect of the Feed and Depth of Cut on the Run-In Phase
The preliminary analysis of the run-in phase is concluded with the evaluation of the cutting experiments. Rotational turning is characterized by the continuous removal of the chip with a constant cross-section when machining external cylindrical surfaces. Due to the tool geometry and kinematic conditions, the start and end phases of the chip removal will be longer in the case of circular feed compared to longitudinal feed. This affects the dynamic load on the cutting edge during the engagement. Therefore, the change in the major cutting force (Fc) during the run-in phase is studied.
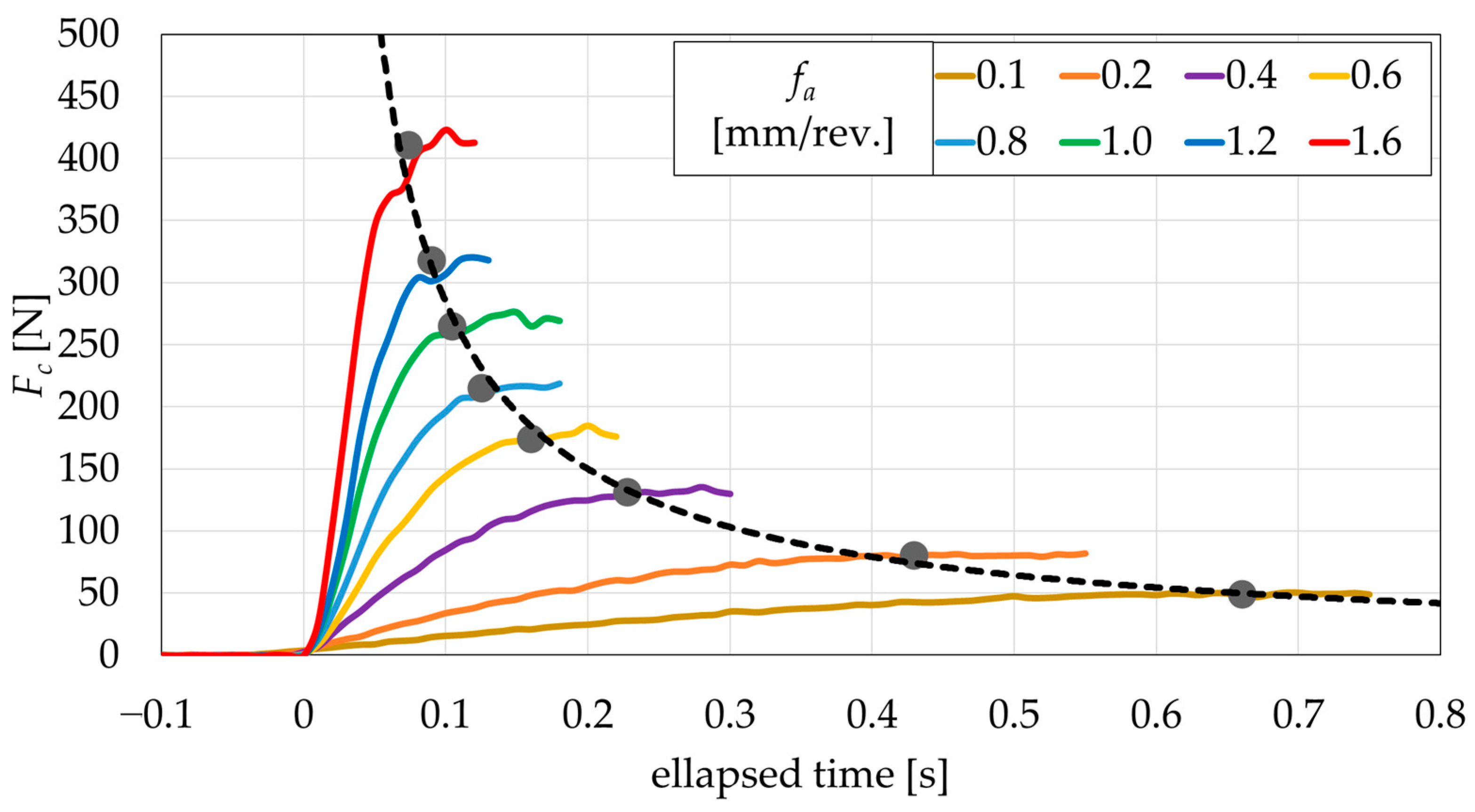
Figure 15 shows how the major cutting force changes over time at different feed rates. The ends of the run-in phase in the different setups are marked with dots in this figure. The dashed line shows the expected value of the major cutting force in the function of the feed at the end of the run-in phase. As a result of increasing the feed, the major cutting force increases since the cross-sectional area of the chip also increases proportionally. However, the force–time diagram also becomes narrower as the time between the tool entering and exiting the cut decreases. As a result of these two effects, increasing the feed increases the dynamic load on the tool due to the increasing major cutting force and the decreasing run-in time.
Figure 15.
Effect of the feed on the growth rate of the major cutting force in the run-in phase when depth of cut is 0.1 [mm].
Figure 16 shows the change in the major cutting force on 0.4 [mm/rev.] feeds at different cutting depths. The dot-dashed lines show the expected value of the major cutting force in the function of the depth of cut. The major cutting force increases to the same extent as the depth of the cut. At the same time, the greater depth of cut also means that the helical edge performing the circular motion needs more time to reach the full cut depth. Therefore, the increasing ap also increases the time of the run-in phase. Thus, the dynamic effect increases at a smaller rate than the rate of increase in the depth of cut. During the run-in phase at 0.4 [mm/rev.] feed, the tangential dynamic load on the tool will be greater by 37% when the depth of cut is increased two-fold, and the load will be greater by 114% when the depth of cut is increased three-fold.
Figure 16.
Effect of the depth of cut on the growth rate of the major cutting force in the run-in phase when the feed is 0.4 [mm/rev.].
5. Conclusions
In this study, the start of chip removal during the rotational turning process is analyzed. The starting of chip formation is a critical moment in any machining process, which was chosen as the subject in the research of rotational turning due to its importance.
The primary outcome of this research is the analytical determination of the characteristic parameters of the chip during rotational turning. Through constructive tool geometrical modelling, the geometrical parameters of the undeformed chip are determined. The calculation formulas of the chip thickness, chip width, and the cross-sectional area were derived. The results of the analytical model provide insights into how cutting conditions, such as feed rate and tool geometry, influence chip formation at the start of the process. The application of the determined formulas is shown by analyzing the effect of the increase in the feed and the depth of cut on the derived geometric parameters for a chosen example.
In addition to the analytical work, the study also includes an experimental study of chip removal. The results of the theoretical calculations were compared with the force measurements, which showed a good correlation between the major cutting force and the cross-sectional area of the chip. A preliminary analysis was also carried out on the effect of the feed and depth of cut on the run-in phase of the machining in rotational turning. This showed that while both process parameter increases the major cutting force, the depth of cut decreases and the feed increases its growth rate during the run-in phase, which results in a different dynamic load. This phenomenon will be deeply analyzed in the following comprehensive study.
In conclusion, this study offers valuable contributions to the understanding of chip formation in rotational turning by providing an analytical background for determining key chip parameters and results through experimental work. The findings of this research enhance the current understanding of the initial stages of chip removal. This study lays the groundwork for further investigations into advanced machining techniques and their potential for industrial applications.
The following findings from this study may be highlighted:
- The calculation formulas of the chip width, chip height, and cross-sectional area of the chip are determined by constructive geometrical modeling;
- The comparison of the alteration of the cross-sectional area of the chip and the major cutting force showed a good correlation, which proved the correctness of the determined calculation formulas;
- The analytical and experimental analysis showed that the increasing feed also increases the dynamic load on the cutting edge;
- Increasing the depth of cut lowers the growth of the characteristic parameters of the chip, which results in a lower dynamic load on the tool.
Funding
Supported by the University Research Scholarship Program of the Ministry for Culture and Innovation from the source of the National Research, Development and Innovation fund. Contract identifier: TNI/1648-64/2024. Scholarship identifier: EKÖP-24-4-II-15.
Institutional Review Board Statement
Not applicable.
Informed Consent Statement
Not applicable.
Data Availability Statement
The original contributions presented in the study are included in the article; further inquiries can be directed to the corresponding author.
Acknowledgments
The author fully acknowledges and greatly appreciates the support of the University of Miskolc in the preparation of this work.
Conflicts of Interest
The author declares no conflicts of interest.
References
- Jawahir, I.S.; Van Luttervelt, C.A. Recent developments in chip control research and applications. CIRP Ann. 1993, 42, 659–693. [Google Scholar] [CrossRef]
- Yılmaz, B.; Karabulut, Ş.; Güllü, A. A review of the chip breaking methods for continuous chips in turning. J. Manuf. Process. 2020, 49, 50–69. [Google Scholar] [CrossRef]
- Gao, Y.; Wang, G.; Liu, B. Chip formation characteristics in the machining of titanium alloys: A review. Int. J. Mach. Mach. Mater. 2016, 18, 155. [Google Scholar] [CrossRef]
- Taniguchi, N. Current status in, and future trends of, ultraprecision machining and ultrafine materials processing. CIRP Ann. 1983, 32, 573–582. [Google Scholar] [CrossRef]
- Abdelnasser, E.; El-Sanabary, S.; Nassef, A.; Barakat, A.; Elkaseer, A. Influence of technological parameters on chip formation and chip control in precision hard turning of TI-6AL-4V. Micromachines 2023, 14, 1973. [Google Scholar] [CrossRef]
- Shaw, M.C. Metal Cutting Principles; Oxford University Press: New York, NY, USA, 2005. [Google Scholar]
- La Monaca, A.; Murray, J.W.; Liao, Z.; Speidel, A.; Robles-Linares, J.A.; Axinte, D.A.; Hardy, M.C.; Clare, A.T. Surface integrity in metal machining—Part II: Functional performance. Int. J. Mach. Tools Manuf. 2021, 164, 103718. [Google Scholar] [CrossRef]
- Bruzzone, A.A.G.; Costa, H.L.; Lonardo, P.M.; Lucca, D.A. Advances in engineered surfaces for functional performance. CIRP Ann. 2008, 57, 750–769. [Google Scholar] [CrossRef]
- Kovács, G. Optimization of a new composite multicellular plate structure in order to reduce weight. Polymers 2022, 14, 3121. [Google Scholar] [CrossRef] [PubMed]
- Liu, C.R.; Barash, M.M. The mechanical state of the sublayer of a surface generated by Chip-Removal Process—Part 1: Cutting with a sharp tool. J. Eng. Ind. 1976, 98, 1192–1199. [Google Scholar] [CrossRef]
- Cui, X.; Guo, J.; Zhao, J.; Yan, Y. Chip temperature and its effects on chip morphology, cutting forces, and surface roughness in high-speed face milling of hardened steel. Int. J. Adv. Manuf. Technol. 2014, 77, 2209–2219. [Google Scholar] [CrossRef]
- Astakhov, V.P. Surface integrity—Definition and importance in functional performance. In Surface Integrity in Machining; Springer: London, UK, 2010; pp. 1–35. [Google Scholar] [CrossRef]
- Fang, F.; Gu, C.; Hao, R.; You, K.; Huang, S. Recent progress in surface integrity research and development. Engineering 2018, 4, 754–758. [Google Scholar] [CrossRef]
- Festas, A.; Ramos, A.; Davim, J.P. Machining of titanium alloys for medical application—A review. Proc. Inst. Mech. Eng. Part B J. Eng. Manuf. 2021, 236, 309–318. [Google Scholar] [CrossRef]
- Markopoulos, A.; Galanis, N.; Karkalos, N.; Manolakos, D. Precision CNC machining of femoral component of knee implant: A case study. Machines 2018, 6, 10. [Google Scholar] [CrossRef]
- Pálmai, Z.; Kundrák, J.; Felhő, C.; Makkai, T. Investigation of the transient change of the cutting force during the milling of C45 and X5CrNi18-10 steel taking into account the dynamics of the electro-mechanical measuring system. Int. J. Adv. Manuf. Technol. 2024, 133, 163–182. [Google Scholar] [CrossRef]
- Demirpolat, H.; Binali, R.; Patange, A.D.; Pardeshi, S.S.; Gnanasekaran, S. Comparison of Tool Wear, Surface Roughness, Cutting Forces, Tool Tip Temperature, and Chip Shape during Sustainable Turning of Bearing Steel. Materials 2023, 16, 4408. [Google Scholar] [CrossRef]
- Struzikiewicz, G. The application of high-speed camera for analysis of chip creation process during the steel turning. Proc. SPIE Int. Soc. Opt. Eng./Proc. SPIE 2016, 10031, 100310F. [Google Scholar] [CrossRef]
- Zouabi, H.; Calamaz, M.; Wagner, V.; Cahuc, O.; Dessein, G. Kinematic fields measurement during Ti-6Al-4V chip formation using new high-speed imaging system. Int. J. Adv. Manuf. Technol. 2023, 131, 531–549. [Google Scholar] [CrossRef]
- Ferencsik, V. Finite Element Analysis of Changing of Stress Condition Caused by Diamond Burnishing. Cut. Tools Technol. Syst. 2024, 100, 139–147. [Google Scholar] [CrossRef]
- Kundrák, J.; Markopoulos, A.P.; Karkalos, N.E. Numerical Simulation of Grinding with Realistic Representation of Grinding Wheel and Workpiece Movements: A Finite Volumes Study. Procedia CIRP 2017, 58, 275–280. [Google Scholar] [CrossRef]
- Kummer, N. Method and Device for Machining Rotationally Symmetrical Surfaces of a Workpiece. DE Patent Number DE102004026675C5, 21 January 2010. [Google Scholar]
- Klocke, F.; Bergs, T.; Degen, F.; Ganser, P. Presentation of a novel cutting technology for precision machining of hardened, rotationally symmetric parts. Prod. Eng. 2012, 7, 177–184. [Google Scholar] [CrossRef]
- Neugebauer, R.; Wertheim, R.; Harzbecker, C. Energy and resources efficiency in the metal cutting industry. In Advances in Sustainable Manufacturing; Springer: Berlin/Heidelberg, Germany, 2011; pp. 249–259. [Google Scholar] [CrossRef]
- Degen, F.; Klocke, F.; Bergs, T.; Ganser, P. Comparison of rotational turning and hard turning regarding surface generation. Prod. Eng. 2014, 8, 309–317. [Google Scholar] [CrossRef]
- Šajgalík, M.; Martikáň, A.; Czán, A.; Pile, J.; Holubják, J.; Mrázik, J. Computing of the Theoretical Value of Roughness Parameter Rz when Turning with Helical Cutting Edge. Technol. Eng. 2016, 13, 9–10. [Google Scholar] [CrossRef][Green Version]
- Martikan, P.; Holubjak, J.; Czanova, T.; Pustay, J.; Joch, R. Identification of roughness parameter when turning process with helical cutting edge for machining of automotive transmission parts. Transp. Res. Procedia 2019, 40, 362–366. [Google Scholar] [CrossRef]
- Uhlmann, E.; Barth, E.; Bock-Marbach, B.; Kuhnert, J. Numerical Chip Formation Analysis during High-Pressure Cooling in Metal Machining. CIRP J. Manuf. Sci. Technol. 2024, 53, 103–117. [Google Scholar] [CrossRef]
- Abena, A.; Soo, S.L.; Ataya, S.; Hassanin, H.; El-Sayed, M.A.; Ahmadein, M.; Alsaleh, N.A.; Ahmed, M.M.Z.; Essa, K. Chip Formation and Orthogonal Cutting Optimisation of Unidirectional Carbon Fibre Composites. Polymers 2023, 15, 1897. [Google Scholar] [CrossRef]
- Alammari, Y.; Weng, J.; Saelzer, J.; Biermann, D. Transient Temperature at Tool–Chip Interface during Initial Period of Chip Formation in Orthogonal Cutting of Inconel 718. Materials 2024, 17, 2232. [Google Scholar] [CrossRef] [PubMed]
- Li, B.; Zhang, R.; Qi, W.; Li, B. Analytical Prediction of Chip Flow Direction in Cylindrical Turning Considering Rounded Edge Effect. J. Manuf. Process. 2023, 101, 1234–1245. [Google Scholar] [CrossRef]
- Kundrák, J.; Karpuschewski, B.; Pálmai, Z.; Felhő, C.; Makkai, T.; Borysenko, D. The Energetic Characteristics of Milling with Changing Cross-Section in the Definition of Specific Cutting Force by FEM Method. CIRP J. Manuf. Sci. Technol. 2020, 32, 61–69. [Google Scholar] [CrossRef]
- Guo, R.; Yu, T.; Zhou, X.; Wang, G.; Chen, M. Chip Geometry Modeling in Micro-Milling of Glow Discharge Polymer by a Single-Edge Diamond Tool Considering Tool Inclination. J. Mater. Process. Technol. 2023, 320, 118109. [Google Scholar] [CrossRef]
- Duc, P.M.; Dai, M.D.; Giang, L.H. Modeling and Optimizing the Effects of Insert Angles on Hard Turning Performance. Math. Probl. Eng. 2021, 2021, 1–18. [Google Scholar] [CrossRef]
- Mikołajczyk, T.; Latos, H.; Pimenov, D.Y.; Paczkowski, T.; Gupta, M.K.; Krolczyk, G. Influence of the Main Cutting Edge Angle Value on Minimum Uncut Chip Thickness during Turning of C45 Steel. J. Manuf. Process. 2020, 57, 354–362. [Google Scholar] [CrossRef]
- Itoh, M.; Hayasaka, T.; Shamoto, E. Novel Geometrical Design of Turning Inserts for High-Efficiency Smooth-Surface High-Chatter-Stability Cutting. Precis. Eng. 2020, 64, 138–146. [Google Scholar] [CrossRef]
- Weng, J.; Liu, Y.; Zhuang, K.; Xu, D.; M’Saoubi, R.; Hrechuk, A.; Zhou, J. An Analytical Method for Continuously Predicting Mechanics and Residual Stress in Fillet Surface Turning. J. Manuf. Process. 2021, 68, 1860–1879. [Google Scholar] [CrossRef]
- Li, P.; Chang, Z. A Hybrid Model for Turning Force Based on Shear and Extrusion Deformation Considering Cutting-Edge Radius. J. Manuf. Process. 2022, 84, 134–148. [Google Scholar] [CrossRef]
- Sztankovics, I.; Kundrák, J. Determination of the chip width and the undeformed chip thickness in rotational turning. Key Eng. Mater. 2013, 581, 131–136. [Google Scholar] [CrossRef]
- Kundrák, J.; Gyáni, K.; Deszpoth, I.; Sztankovics, I. Some Topics in Process Planning of Rotational Turning. Eng. Rev. 2014, 34, 23–32. Available online: https://engineeringreview.org/index.php/ER/article/view/349 (accessed on 10 July 2024).
- Sztankovics, I. Analytical determination of high-feed turning procedures by the application of constructive geometric modeling. FME Trans. 2024, 52, 173–185. [Google Scholar] [CrossRef]
- Sztankovics, I. The analytical and experimental analysis of the machined surface roughness in High-Feed Tangential Turning. Eng 2024, 5, 1768–1784. [Google Scholar] [CrossRef]
Disclaimer/Publisher’s Note: The statements, opinions and data contained in all publications are solely those of the individual author(s) and contributor(s) and not of MDPI and/or the editor(s). MDPI and/or the editor(s) disclaim responsibility for any injury to people or property resulting from any ideas, methods, instructions or products referred to in the content. |
© 2024 by the author. Licensee MDPI, Basel, Switzerland. This article is an open access article distributed under the terms and conditions of the Creative Commons Attribution (CC BY) license (https://creativecommons.org/licenses/by/4.0/).















