Next Article in Journal
Prediction of Heat Transfer During Condensation in Annuli
Previous Article in Journal
Analytical and Experimental Study of the Start of the Chip Removal in Rotational Turning
 
 
Font Type:
Arial Georgia Verdana
Font Size:
Aa Aa Aa
Line Spacing:
Column Width:
Background:
Article

On the Origin of Görtler Vortices in Flow over a Multi-Element Airfoil †

by
Hussein Kokash
1,*,
Catherine Mavriplis
2 and
Gbemeho Gilou Agbaglah
1
1
Department of Mechanical Engineering, Wayne State University, Detroit, MI 48202, USA
2
Department of Mechanical Engineering, University of Ottawa, Ottawa, ON K1N 6N5, Canada
*
Author to whom correspondence should be addressed.
This paper is an extended version of our paper published in the Proceedings of the Canadian Society for Mechanical Engineering International Congress, presented at the Computational Fluid Dynamics Canada International Congress (CSME-CFD-SC2023), Sherbrooke, QC, Canada, 28–31 May 2023.
J. Exp. Theor. Anal. 2024, 2(4), 121-133; https://doi.org/10.3390/jeta2040010
Submission received: 29 August 2024 / Revised: 16 October 2024 / Accepted: 29 October 2024 / Published: 1 November 2024

Abstract

The flow characteristics of a 30P30N three-element high-lift airfoil at low Reynolds numbers O 10 4 are examined through three-dimensional simulations using a high-order spectral element method. This study primarily investigates the flow structures of the slat cove and Görtler vortices formed on the upper surface of the main airfoil. Spanwise instability grows exponentially in the slat cove with a constant wavelength, corresponding to that of the subsequently formed Görtler vortices. Görtler number calculations show that curvature-induced centrifugal instability at the slat cusp leads to the subsequent formation of Görtler vortices. Proper orthogonal decomposition (POD) is used to analyze the development of flow structures in the slat cove in different time ranges. At early time, the flow in the slat cove is dominated by shear layers that evolve into spanwise perturbations. These perturbations further evolve into distinct bell-shaped structures close to the slat cusp and are advected to the upper surface of the main airfoil, leading to the formation of Görtler vortices.

1. Introduction

Due to their capacity to deliver high lift coefficients and enhance aircraft performance, particularly during takeoff and landing, multi-element airfoils have been a focus of active research in aerospace engineering. In particular, the 30P30N three-element high-lift airfoil has shown promising results in simulations and wind tunnel experiments, making it a captivating design for aircraft wings. A sketch showing the 30P30N airfoil is presented in Figure 1, where the three-element airfoil is composed of a “slat” leading-edge element, a central main element, and a “flap” trailing-edge element. The name “30P30N” derives from the specific deflection angles in its design, with a 30° angle between the slat and the main elements, as well as a 30° angle between the main and the flap elements. This configuration is intended to optimize aerodynamic performance, particularly in enhancing lift and improving stall characteristics during critical flight phases, such as aircraft takeoff from the ground, despite a temporary increase in drag. This is generally more effective at increasing lift than using passive boundary layer control. The design allows for greater airflow over the wing by significantly increasing the camber of the airfoil while controlling the boundary layer with the aid of the jets formed between the elements. Passive boundary layer control can help improve overall performance but typically does not achieve the same level of lift enhancement as the three-element design. Research on multi-element airfoils is important not only for better lift and performance but also for reducing aircraft noise and emissions as well as for improving takeoff and landing safety.
The dynamics of the flow over the 30P30N three-element airfoil is widely studied in the literature for high Reynolds numbers, O ( 10 6 ) O ( 10 7 ) , because of its practical importance [1,2,3,4,5]. Here, the airfoil-chord Reynolds number is considered, defined as R e c = c U / ν , where c is the stowed chord length, U is the free-stream velocity, and ν is the kinematic viscosity. While most numerical studies of flow over the 30P30N use Reynolds-averaged numerical simulations (RANSs), their comparisons with experimental results still have unexplained gaps. Direct numerical simulations (DNSs), as employed in the present study, can provide valuable insights into flow dynamics. However, they are currently challenging to perform at such high Reynolds numbers for this complex geometry. This work is aimed at extending the capabilities of DNSs for high-lift systems, focusing first on the complexities of lower Reynolds number flows that are fully three-dimensional and transition to turbulence.
Low Reynolds numbers are also the domain of unmanned aerial vehicles (UAVs) and other small-scale applications. Low Reynolds numbers pose challenges for airfoil design, and the use of multi-element airfoils for these has garnered significant interest. Such applications often involve low Reynolds numbers of R e c < 5 × 10 5 [6,7,8]. Due to the low R e c , the laminar boundary layer above the airfoil exhibits a high tendency for flow separation. A laminar-to-turbulent transition may arise due to the instability of the separated boundary layer, as is commonly observed in studies of flow over bluff bodies such as cylinders [9,10,11]. This has prompted numerous research studies aimed at better understanding the effects of the laminar-to-turbulent transition, as well as the transition from two- to three-dimensional flow over airfoils [12,13,14,15,16]. Such transitions are crucial for understanding the development of three-dimensional structures and the origins of turbulence on wing configurations.
The development of vortical structures in the slat cove, the region between the leading-edge slat and the main airfoil, is particularly important. As the airflow separates from the slat, it generates a series of vortices that interact with the flow over the main airfoil. This phenomenon can delay stall and improve lift characteristics, with the behavior of these vortices being influenced by parameters such as slat angle, Reynolds number, and incoming flow conditions [17]. In addition, the noise generated by the slat is a source of concern [18]. The development of more efficient and quieter low Reynolds number aircraft may depend on a better understanding of the flow dynamics of the slat cove. For instance, the rollup and formation of discrete vortices are observed in the slat cove of a three-element airfoil, namely the DLR-F15 profile, by the means of a zonal detached eddy simulation (ZDES) at R e c = 2.09 × 10 6 [19]. These vortical structures experience severe distortion at the reattachment point where some large and strong vortices are entrapped in the cove. The remaining vortices pass through the gap region at the slat trailing edge and are highly stretched by the gap flow acceleration to generate streamwise vortices. Moreover, using the implicit large-eddy simulation (ILES) of the flow past a three-element airfoil, namely the RA16SC2 high-lift configuration, it is observed that the shear layer emanating from the slat cusp rolls up and evolves into a stream of discrete quasi-2D elongated vortices co-rotating in the spanwise direction [20]. These vortices progressively become three-dimensional and are distorted by the local mean flow strain leading to streamwise elongated vorticity structures. These coherent structures have been confirmed by various numerical simulations [21,22,23], which demonstrate their consistent presence and behavior in the slat cove of three-element airfoils and may interact with the upper boundary layer of the main element.
The effects of the angle of attack α and the Reynolds number R e c on the formation and interaction of vortical structures in the flow past a 30P30N multi-element airfoil were investigated experimentally by Wang et al. [24,25]. It is observed that for α = 4 and R e c below a critical interval from 1.27 × 10 4 to 1.38 × 10 4 , the formation of Görtler vortices is a key characteristic of the flow over the upper surface of the main airfoil. Görtler vortices are counter-rotating vortices evolving in the streamwise direction. They remain localized above the separated shear layer on the upper surface of the main element, leading to the formation of streaky structures within the shear layer. When R e c is larger than the critical interval, the shear layer of the slat cusp experiences rollup, resulting in the co-existence of spanwise and streamwise vortices in the slat cove. Shed vortices from the slat cove are distorted upon impact with the slat trailing edge and are accelerated through the gap region. Ultimately, they turn into hairpin-like vortices above the main element. Our first DNS of these flows [26], which were investigated experimentally by Wang et al. [24,25], confirmed all of these described features. Görtler vortices were identified above the main element for R e c = 8.32 × 10 3 and R e c = 1.27 × 10 4 , while at R e c = 1.83 × 10 4 , the Görtler vortices were not present. Instead, streaky structures formed over the leading edge of the main element, eventually rolling up into more complex structures such as hairpin vortices. The DNS investigation enabled a more detailed study of the slat cove dynamics, revealing three-dimensional tongue-like (for the lower Reynolds number) and rib-like (for the higher Reynolds number) vortical structures in the slat cove at early times. A comparison of the wavelengths of these structures with those of the Görtler vortices suggested a possible relationship between them. Additionally, the splitting of the Görtler vortices observed in the experiments was also reproduced in the simulations. Time-averaged lift, drag, and pressure coefficients were also reported.
The formation of Görtler vortices is frequently associated with boundary layer flows over concave walls. As the flow develops over a curved boundary, a centrifugal instability, named Görtler instability [27,28,29], may occur due to a local imbalance between the adverse pressure gradient and the centrifugal effects within the boundary layer. The Görtler number, denoted by G θ , is usually used to analyze this instability; G θ = U θ / ν θ / r 0 , where θ represents the boundary layer thickness, and r 0 is the radius of curvature. As the Görtler number increases, the flow becomes more prone to instability [30], leading to the formation of vortices that can significantly affect the boundary layer dynamics.
The occurrence of Görtler vortices on the main airfoil is complex, particularly given the absence of concave surfaces, and the flow details leading to their formation are challenging to capture experimentally. Although three-dimensional direct numerical simulations are costly, they can provide valuable insights into the origin and effects of these vortices. As mentioned earlier, there may be a connection between the three-dimensional structures observed in the slat cove during the early stages and the later occurrence of Görtler vortices on the upper surface of the airfoil, as both display a similar wavelength [26]. This motivates the current study, which focuses specifically on (a) the linear development of three-dimensional perturbations in the slat cove, (b) the nonlinear structures and their behaviors within the slat cove, and (c) the relationship between these structures and Görtler vortices. We investigated the spatial and temporal development of vortical structures within the slat cove. In particular, an early-time analysis of flow development in the slat cove was conducted using three-dimensional simulations of the 30P30N airfoil at a Reynolds number of R e c = 1.27 × 10 4 .

2. Materials and Methods

The initial flow configuration along with the coordinate system ( x , y , z ) , where x represents the streamwise, y is the normal, and z is the spanwise direction, are shown in the sketch of Figure 1. The flow moves from the left-hand entrance to the right-hand exit. Using the high-order spectral element method [31] developed in the open source solver Nek5000 [32], we solve the incompressible Navier-Stokes equations with constant density ρ and viscosity μ as follows:
· u = 0
ρ u t + u · u = p + μ 2 u
where u is the velocity vector; ∇ and 2 are the gradient and Laplacian operators, and p is the pressure. The governing Equations (1a) and (1b) are discretized in a weak form using the Galerkin method. The computational domain is divided into K hexahedral spectral elements, with the solution approximated in each element using tensor products of N th-order Legendre polynomial Lagrangian interpolants [32].
The computational domain features a 30 P 30 N high-lift airfoil consisting of three distinct components, namely slat, main, and flap, as shown in Figure 1. In the current simulations, the stowed chord length c of the airfoil was 1 m. The slat and flap lengths measured 15 % c and 30 % c , respectively. The computational domain spanned 3 c ahead, 4.75 c behind, and 2.5 c above and below the airfoil. The domain was a rectangular box, with a length of 9 c and a height of 5 c . The span length accounted for 20 % of the chord length, ensuring that it would be sufficient for the growth of three-dimensional instabilities [33]. Neumann-type boundary conditions were employed at the upper and lower boundaries of the domain (i.e., the “SYM” boundary condition in Nek5000), as illustrated in Figure 1. These conditions impose a zero y-derivative and a zero value for the normal velocity at the boundaries, which is equivalent to a free-slip impermeable boundary. A uniform velocity U = 1 m/s with an angle of attack α = 4 was applied at the inlet boundary and used to initialize the flow domain. A no-stress condition was imposed on the outflow boundary at the exit, while a sponge-forcing function [34] was utilized to dampen outgoing structures over a length of 0.1 c . Periodic boundary conditions were imposed in the spanwise direction, and the airfoil walls had a no-slip condition.
To accurately capture the boundary layer, the mesh density was high near the airfoil surface and decreased progressively toward the far field. A 2D mesh consisting of a total of K = 13 , 282 elements in the x y plane was first considered and used for a grid independence study. The considered polynomial degree was N = 7 , which resulted in a total of 650,818 collocation points. The mesh independence study is reported in our previous work [26], where the polynomial order was increased from N = 7 to 9 and subsequently to 11. Time-averaged lift and drag coefficient values were used to demonstrate that the grid resolution is adequate for our purposes. For instance, the time-averaged values of lift and drag coefficients for N = 7 , 9 , 11 exhibited a percent difference of around 1% for the three resolutions. Therefore, the N = 7 grid was deemed sufficient for the calculations. The 3D mesh was generated by simply extruding the 2D mesh in the spanwise direction, using ten equally sized elements (with eight collocation points per element). This resulted in a total of 46 million grid points in three dimensions, corresponding to a minimum mesh spacing of 2.88 × 10 3 c . No sweep or other three-dimensional variation in the geometry was considered in order to replicate the conditions of the experiments [24,25]. Portions of the spectral element grid around the three airfoil elements are depicted in Figure 2. The subsequent flow analysis concentrates on the early-time development of vortical structures formed within the slat cove.

3. Results

Three-dimensional simulations of the flow over the three-element airfoil were run at R e c = 1.27 × 10 4 with an angle of attack of α = 4 . To ensure the accuracy of the simulations, we compare the mean resultant velocity u ¯ 2 + v ¯ 2 / U , where u ¯ and v ¯ are the x and y mean velocities, with experimental results [35]. The mean here is calculated by averaging in time and z direction. A good agreement is obtained in Figure 3, where velocity profiles are compared with experimental results along lines normal to the airfoil surface. Note that the Reynolds number used in the experiments is R e c = 1.38 × 10 4 , which is 11% different from the considered R e c value used herein.
Figure 4 shows contours of the vorticity magnitude on the upper surface of the main element for two different times t U / c = 6 , 8 . While the contours are smooth in Figure 4a, regular streamwise structures form above the main element at a later time in Figure 4b. The 2D slices in the z y plane above the main element are also presented. Parallel shear layers are observed at t U / c = 6 , whereas the traditional “mushroom shape” of Görtler vortices is observed at t U / c = 8 . Additionally, secondary counter-rotating vortices, which rotate in the opposite direction, are observed beneath the Görtler vortices and are illustrated in the 2D slice shown in Figure 4b. This mushroom shape persists with the flow in the streamwise direction, aligning closely with previous experimental observations [24,25].
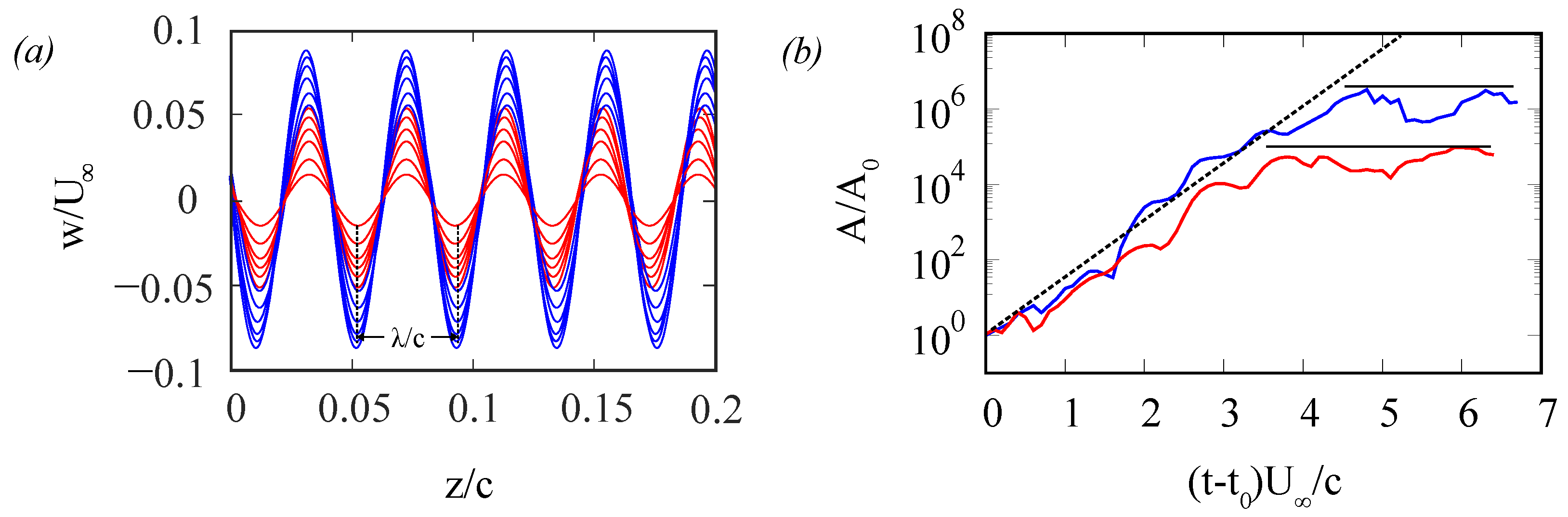
To investigate the origin of the Görtler vortices, we analyze the early-time flow development of the slat cove. The spanwise velocity component, w, is measured along two different lines in the span direction and passing through points P1 and P2 located at ( x / c , y / c , z / c ) = ( 0.02 , 0.11 , 0 ) and ( 0.02 , 0.05 , 0 ) , respectively. These two points are within the slat cove with P1 located near the slat cusp and P2 in the central region of the slat cove, as shown in Figure 1b. The obtained results reveal a distinct sinusoidal shape of the w velocity for time t U / c 8 . The amplitude of the w velocity is computed using a fit with a sinusoidal function. An exponential growth is observed, and the corresponding wavelength λ of the perturbation is found to be constant during the linear amplification over the time range of t U / c = 3.2 8 , with a value of λ / c = 0.04 ; see Figure 5. The growth rate of the linear amplification is estimated by fitting an exponential function to the amplitude plot. The resulting growth rate ω is found to be ω c / U = 3.5 , and a saturation regime is observed for time t U / c > 8 . As shown in Figure 4, Görtler vortices emerge on the upper surface of the main element at a time corresponding to the saturation regime of the slat cove perturbation.
Next, we use a statistical metric, the normalized squared deviation (also known as the squared z-score) of the velocity to examine the similarities and coherent structures present in the flow. This metric measures how far the velocity deviates from its mean value, helping to determine whether a spatial location is typical or unusual compared to the rest of the flow. This is useful for identifying localized structures formed in the flow. At each time step, the velocity fluctuations at each grid point in a z y plane, u ( x , y , t ) , are calculated by subtracting the mean velocity. The normalized squared deviation is then computed at each grid point as follows:
D ¯ ( x , y , t ) = u ( x , y , t ) 2 σ u 2
where σ u is the standard deviation of the velocity fluctuations. Figure 6 shows the D ¯ value applied to the streamwise velocity of the slat cove at x / c = 0.02 and at a time t U / c = 7.4 . Two different sets of coherent structures are observed: one located around y / c 0.04 corresponding to the central region of the slat cove and the second around y / c 0.1 , which corresponds to the location of the separated shear layer of the slat cusp. The distance between the centers of these structures is equal to the wavelength of the spanwise perturbation of the slat cove ( λ / c = 0.04 ). Interestingly, both sets of coherent structures exhibit the same wavelength. We attribute the central region’s coherent structures to the nonlinear evolution of the slat cove perturbation. The observed structures near the slat cusp exhibit a distinct bell-shaped form, characteristic of Görtler vortices’ formation [29]. This indicates that the observed Görtler vortices on the upper surface of the main element, as shown in Figure 4b, start to form in the slat cusp region rather than near the slat trailing edge.
To further observe the spatial development of Görtler vortices, vortical structures evolving in the slat cove prior to the nonlinear regime are displayed using 2D slices of the x-vorticity contours in the z y planes at different streamwise positions along the separated shear layer of the slat cusp, at x / c = 0.01 , 0.02 , 0.06 , covering the space between the slat and the main airfoil; see Figure 7. At the early-time instance of t U / c = 6 , vortical structures are observed at x / c = 0.01 near the slat cusp, as shown in Figure 7a. These structures consist of pairs of counter-rotating vortices and are accompanied by secondary counter-rotating vortices directly underneath, as observed for the Görtler vortices in Figure 4b. Note that the magnitude of these x-vorticity contours is small, about two orders of magnitude smaller when compared to the spanwise vorticity. Nevertheless, the presence of such structures at the slat cusp clearly indicates the spatial origin of Görtler vortices. Consequently, the flow separation from the concave wall formed by the bottom part of the slat is a key element of Görtler vortices’ formation. As the flow progresses in time, the vortical structures evolve into bell-shaped structures at x / c = 0.02 , as shown in Figure 7b for t U / c = 7 . At a later stage, mushroom-shaped structures are observed at x / c = 0.06 , as depicted in Figure 7c for t U / c = 8 . Note that by t U / c = 8 , the secondary structures close to the slat cusp are destroyed, as shown in the middle panel ( x / c = 0.02 ) of Figure 7c. The presence of streamwise vortical structures, including pairs of primary and secondary counter-rotating vortices, as well as bell-shaped and mushroom-shaped structures at various time instances, underscores the structural evolution within the slat cove.
Figure 8 shows the Görtler number, G θ , calculated below the leading edge of the slat (from the leading edge to the cusp, shown in red in the inset figure). As reported by Saric [36], the onset of Görtler instability starts at G θ 0.3 , and the resulting vortices can be detected around G θ 5 6 . The exponential-like increase in the Görtler number shown in Figure 8 can be related to the curvature of the lower part of the slat (from the leading edge to the cusp), which promotes the centrifugal instability of the separated shear layer, leading to the subsequent formation of Görtler vortices in the slat cove.
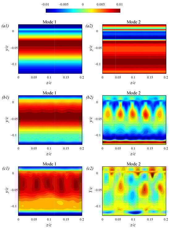
Understanding the dominant structures and their contributions to the overall flow behavior is essential for analyzing flow dynamics. Proper orthogonal decomposition (POD) [37] serves as a valuable tool for this purpose, as it allows us to decompose complex flow fields into a set of ordered modes that capture the most energetic structures. The main procedure involves computing the covariance matrix of the dataset, followed by obtaining the eigenvalues and eigenvectors of this matrix. The eigenvalues represent the energy content of each mode, while the eigenvectors (POD modes) describe the spatial structure of the corresponding mode. The first POD mode has the highest eigenvalue and captures the most significant structures in the flow, while the lower-energy modes represent the finer-scale structures and their interactions with the dominant flow features. For each time span considered below, a total of 100 snapshots representing the velocity field were used to decompose the flow field into a set of ordered modes. A singular value decomposition (SVD) was applied to the velocity fluctuations to compute the POD modes and their corresponding energies. The energy content of the first four modes was evaluated to capture the most significant flow structures. The streamwise velocity within the z y plane of the slat cove at x / c = 0.02 was used to obtain the POD modes. Three different time spans were considered, namely t U / c = 3.2 6 corresponding to the initial amplification of the spanwise perturbation of the slat cove (see Figure 5b); t U / c = 6 8 corresponding to the formation of bell-shaped structures along the separated shear layer of the cusp (see Figure 7); and t U / c = 8 10 corresponding to the saturation regime of the slat cove perturbation and the appearance of Görtler vortices on the upper surface of the main element (see Figure 4b). Figure 9 shows a comparison of the energy content among the first four modes for the three different time spans.
Together, Mode 1 and Mode 2 capture most of the total energy, typically between 60% and 80%. Figure 10 displays the first two POD modes of the slat cove for the three different time intervals examined. For t U / c = 3.2 6 , Figure 10(a1,a2) exhibit no coherent structures in the slat cove. For this time range, the flow is dominated by shear layers. As time increases, t U / c = 6 8 , spanwise waves are observed in the first mode of Figure 10(b1), indicating that the flow in the slat cove is dominated by the spanwise perturbation. In addition, well-defined coherent structures are observed in the second mode of the POD. These structures resemble those of the normalized squared deviation of Figure 6, with the central region of the slat cove showing structures resulting from the nonlinear evolution of the spanwise perturbation and the bottom region showing the bell-shaped structures. For this time range, the observed structures are secondary and do not significantly impact the overall flow field of the slat cove. This explains why the Görtler vortices emerge above the main airfoil only at later times. Lastly, for the time between t U / c = 8 and 10, the coherent structures of the central region of the slat cove become dominant and start to appear in the first POD mode of Figure 10(c1). The remaining POD modes display nonlinear patterns, indicating a breakdown of the coherent structures. Note that the bell-shaped structures observed in the second mode of Figure 10(b2) around y / c 0.1 do not appear as dominant structures of the slat cove in Figure 10(c1). In fact, these structures are advected to the upper surface of the main element to form Görtler vortices and are quickly broken down close to the slat cusp, as shown in Figure 7c.

4. Conclusions

Three-dimensional numerical simulations of the flow past a 30 P 30 N airfoil were performed using a high-order spectral element method at the Reynolds number based on the stowed chord length R e c = 1.27 × 10 4 with a fixed angle of attack α = 4 . Görtler vortices were observed on top of the main airfoil, as observed in previous experimental work [24,25]. The early-time flow dynamics of the slat cove revealed an exponential amplification of a spanwise perturbation with a fixed wavelength, which matched that of the structures later observed above the main airfoil. Bell-shaped structures, consisting of pairs of counter-rotating vortices accompanied by secondary vortices directly underneath, were observed in the early-time dynamics of the flow near the slat cusp. These structures are characteristic of the formation of Görtler vortices [29], and along with the increase in the Görtler number along the lower side of the slat, from the leading edge to the cusp, they indicate that the origin of Görtler vortices’ formation lies in the flow separation from the concave wall formed by the bottom part of the slat. Coherent structures in the central region of the slat cove and bell-shaped vortices close to the slat cusp were well captured and represented by the normalized squared deviation of the streamwise velocity. The distance between the cores of these structures was equal to the wavelength of the spanwise perturbation of the slat cove. Proper orthogonal decomposition (POD) analysis was used to further investigate the dynamic development of the flow structures within the slat cove. This analysis revealed that the flow was initially dominated by shear layers, which developed into spanwise perturbations. At saturation, the spanwise perturbation of the central region of the slat cove evolved into distinct coherent structures, while close to the cusp, bell-shaped structures were formed due to the curvature-induced centrifugal instability at the lower surface of the slat. The resulting bell-shaped structures were advected to the upper surface of the main airfoil and formed the observed Görtler vortices.

Author Contributions

Investigation, visualization, writing—original draft preparation, H.K.; conceptualization, methodology, writing—review and editing, C.M.; conceptualization, methodology, supervision, writing—review and editing, G.G.A. All authors have read and agreed to the published version of the manuscript.

Funding

The second author, C.M., is supported by the Natural Sciences and Engineering Research Council of Canada.

Institutional Review Board Statement

Not applicable.

Informed Consent Statement

Not applicable.

Data Availability Statement

The dataset is available upon request from the authors.

Conflicts of Interest

The authors declare no conflicts of interest.

References

  1. Rogers, S.; Menter, F.; Durbin, P.; Mansour, N. A comparison of turbulence models in computing multi-element airfoil flows. In Proceedings of the 32nd Aerospace Sciences Meeting and Exhibit, Reno, NV, USA, 10–13 January 1994. [Google Scholar]
  2. Valarezo, W.O.; Mavriplis, D.J. Navier-Stokes applications to high-lift airfoil analysis. J. Aircr. 1995, 32, 618–624. [Google Scholar] [CrossRef]
  3. Lynch, F.; Potter, R.; Spaid, F. Requirements for effective high lift CFD. In Proceedings of the 20th ICAS Congress, Napoli, Italy, 8–13 September 1996; pp. 1479–1482. [Google Scholar]
  4. Klausmeyer, S.M.; Lin, J.C. Comparative Results from a CFD Challenge over a 2D Three-Element High-Lift Airfoil; NASA Technical Memorandum No. 112858; NASA: Washington, DC, USA, 1997.
  5. van Dam, C.P. The aerodynamic design of multi-element high-lift systems for transport airplanes. Prog. Aerosp. Sci. 2002, 38, 101–144. [Google Scholar] [CrossRef]
  6. Carmichael, B.H. Low Reynolds Number Airfoil Survey; NTRS No. NASA-CR-165803-VOL-1; NASA: Washington, DC, USA, 1981.
  7. Lissaman, P.B.S. Low-Reynolds-number airfoils. Annu. Rev. Fluid Mech. 1983, 15, 223–239. [Google Scholar] [CrossRef]
  8. Mueller, T.J.; DeLaurier, J.D. Aerodynamics of small vehicles. Annu. Rev. Fluid Mech. 2003, 35, 89–111. [Google Scholar] [CrossRef]
  9. Williamson, C.H.K. Vortex dynamics in the cylinder wake. Annu. Rev. Fluid Mech. 1996, 28, 477–539. [Google Scholar] [CrossRef]
  10. Agbaglah, G.; Mavriplis, C. Computational analysis of physical mechanisms at the onset of three-dimensionality in the wake of a square cylinder. J. Fluid Mech. 2017, 833, 631–647. [Google Scholar] [CrossRef]
  11. Kokash, H.; Agbaglah, G.G. On the origin of mode B instability of the wake of a square cylinder. Phys. Fluids 2022, 34, 074116. [Google Scholar] [CrossRef]
  12. Hosseinverdi, S.; Fasel, H.F. Numerical investigation of laminar–turbulent transition in laminar separation bubbles: The effect of free-stream turbulence. J. Fluid Mech. 2019, 858, 714–759. [Google Scholar] [CrossRef]
  13. Yarusevych, S.; Kotsonis, M. Steady and transient response of a laminar separation bubble to controlled disturbances. J. Fluid Mech. 2017, 813, 955–990. [Google Scholar] [CrossRef]
  14. Boutilier, M.S.H.; Yarusevych, S. Separated shear layer transition over an airfoil at a low Reynolds number. Phys. Fluids 2012, 24, 084105. [Google Scholar] [CrossRef]
  15. Marxen, O.; Lang, M.; Rist, U.; Levin, O.; Henningson, D.S. Mechanisms for spatial steady three-dimensional disturbance growth in a non-parallel and separating boundary layer. J. Fluid Mech. 2009, 634, 165–189. [Google Scholar] [CrossRef]
  16. Burgmann, S.; Dannemann, J.; Schröder, W. Time-resolved and volumetric PIV measurements of a transitional separation bubble on an SD7003 airfoil. Exp. Fluids 2008, 44, 609–622. [Google Scholar] [CrossRef]
  17. Squire, L.C. Interactions between wakes and boundary-layers. Prog. Aerosp. Sci. 1989, 26, 261–288. [Google Scholar] [CrossRef]
  18. Dobrzynski, W. Almost 40 years of airframe noise research: What did we achieve? J. Aircr. 2010, 47, 353–367. [Google Scholar] [CrossRef]
  19. Deck, S.; Laraufie, R. Numerical investigation of the flow dynamics past a three-element aerofoil. J. Fluid Mech. 2013, 732, 401–444. [Google Scholar] [CrossRef]
  20. Meyer, M.H.S.B.C.; Adams, N. Wall-modelled implicit large-eddy simulation of the Ra16sc1 highlift configuration. In Proceedings of the 31st AIAA Applied Aerodynamics Conference, San Diego, CA, USA, 24–27 June 2013. [Google Scholar]
  21. Choudhari, M.; Lockard, D.P. Assessment of slat noise predictions for 30p30n high-lift configuration from banc-Iii workshop. In Proceedings of the 21st AIAA/CEAS Aeroacoustics Conference, AIAA AVIATION Forum, AIAA Paper, Dallas, TX, USA, 22–26 June 2015; pp. 2015–2844. [Google Scholar]
  22. Lockard, D.P.C.M.; Buning, P.G. Influence of spanwise boundary conditions on slat noise simulations. In Proceedings of the 21st AIAA/CEAS Aeroacoustics Conference, AIAA AVIATION Forum, AIAA Paper, Dallas, TX, USA, 22–26 June 2015; pp. 2015–3136. [Google Scholar]
  23. Terracol, M.; Manoha, E.; Murayama, M.; Yamamoto, K. Aeroacoustic calculations of the 30p30n high-lift airfoil using hybrid rans/les methods: Modeling and grid resolution effects. In Proceedings of the 21st AIAA/CEAS Aeroacoustics Conference, Lyon, France, 22 June 2015. [Google Scholar]
  24. Wang, J.S.; Feng, L.H.; Wang, J.j.; Li, T. Görtler vortices in low-Reynolds-number flow over multi-element airfoil. J. Fluid Mech. 2018, 835, 898–935. [Google Scholar] [CrossRef]
  25. Wang, J.; Wang, J.; Kim, K.C. Wake/shear layer interaction for low-Reynolds-number flow over multi-element airfoil. Exp. Fluids 2019, 60, 1–24. [Google Scholar] [CrossRef]
  26. Vadsola, M.; Agbaglah, G.G.; Mavriplis, C. Slat cove dynamics of low Reynolds number flow past a 30P30N high lift configuration. Phys. Fluids 2021, 33, 033607. [Google Scholar] [CrossRef]
  27. Smith, A.M.O. On the growth of Taylor-Görtler vortices along highly concave walls. Q. Appl. Math. 1955, 13, 233–262. [Google Scholar] [CrossRef]
  28. Hall, P. Görtler vortices in growing boundary layers: The leading edge receptivity problem, linear growth and the nonlinear breakdown stage. Mathematika 1990, 37, 151–189. [Google Scholar] [CrossRef]
  29. Floryan, J.M. On the Görtler instability of boundary layers. Prog. Aerosp. Sci. 1991, 28, 235–271. [Google Scholar] [CrossRef]
  30. Sun, M.; Sandham, N.D.; Hu, Z. Turbulence structures and statistics of a supersonic turbulent boundary layer subjected to concave surface curvature. J. Fluid Mech. 2019, 865, 60–99. [Google Scholar] [CrossRef]
  31. Patera, A.T. A spectral element method for fluid dynamics: Laminar flow in a channel expansion. J. Comp. Phys. 1984, 54, 468–488. [Google Scholar] [CrossRef]
  32. Fischer, P.; Kruse, J.; Mullen, J.; Tufo, H.; Lottes, J.; Kerkemeier, S. Nek5000: Open Source Spectral Element CFD Solver; Argonne National Laboratory, Mathematics and Computer Science Division: Argonne, IL, USA, 2008. Available online: https://nek5000.mcs.anl.gov/index.php/MainPage (accessed on 15 August 2022).
  33. Lockard, D.; Choudhari, M. Noise radiation from a leading-edge slat. In Proceedings of the 15th AIAA/CEAS Aeroacoustics Conference (30th AIAA Aeroacoustics Conference), Miami, FL, USA, 11–13 May 2009; p. 3101. [Google Scholar]
  34. Schrader, L.U.; Brandt, L.; Henningson, D.S. Receptivity mechanisms in three-dimensional boundary-layer flows. J. Fluid Mech. 2009, 618, 209–241. [Google Scholar] [CrossRef]
  35. Wang, J.S.; Wang, J.J. Wake-induced transition in the low-Reynolds-number flow over a multi-element airfoil. J. Fluid Mech. 2021, 915, A28. [Google Scholar] [CrossRef]
  36. Saric, W.S. Görtler vortices. Annu. Rev. Fluid Mech. 1994, 26, 379–409. [Google Scholar] [CrossRef]
  37. Berkooz, G.; Holmes, P.; Lumley, J.L. The proper orthogonal decomposition in the analysis of turbulent flows. Annu. Rev. Fluid Mech. 1993, 25, 539–575. [Google Scholar] [CrossRef]
Figure 1. A sketch of the computational domain of the 30P30N airfoil showing (a) a side view of the x-y plane, (b) a close-up view of the airfoil slat, and (c) an isometric view of the three-element airfoil highlighting the spanwise length of 0.2 c . The red and blue points, P 1 and P 2 , represent positions where velocity components are recorded for later analysis. Note that the schematic is not to scale.
Figure 1. A sketch of the computational domain of the 30P30N airfoil showing (a) a side view of the x-y plane, (b) a close-up view of the airfoil slat, and (c) an isometric view of the three-element airfoil highlighting the spanwise length of 0.2 c . The red and blue points, P 1 and P 2 , represent positions where velocity components are recorded for later analysis. Note that the schematic is not to scale.
Jeta 02 00010 g001
Figure 2. Close-ups of the computational grid in the x y plane. Both collocation points within each element and element boundaries are shown.
Figure 2. Close-ups of the computational grid in the x y plane. Both collocation points within each element and element boundaries are shown.
Jeta 02 00010 g002
Figure 3. Mean resultant velocity u ¯ 2 + v ¯ 2 / U profiles’ distribution along the local wall-normal coordinate y L / c , extended from the airfoil surface y L / c = 0 , at 8 different positions on the main element from the leading edge to downstream labeled a–h in the top diagram. The top subfigure illustrates the labeled locations along the airfoil surface where profiles are measured. Bottom subfigures (a)–(h) display the velocity profile distributions at these positions. Simulation data for R e c = 1.27 × 10 4 are shown in black, while experimental data for R e c = 1.38 × 10 4 are represented in red, as presented in [35].
Figure 3. Mean resultant velocity u ¯ 2 + v ¯ 2 / U profiles’ distribution along the local wall-normal coordinate y L / c , extended from the airfoil surface y L / c = 0 , at 8 different positions on the main element from the leading edge to downstream labeled a–h in the top diagram. The top subfigure illustrates the labeled locations along the airfoil surface where profiles are measured. Bottom subfigures (a)–(h) display the velocity profile distributions at these positions. Simulation data for R e c = 1.27 × 10 4 are shown in black, while experimental data for R e c = 1.38 × 10 4 are represented in red, as presented in [35].
Jeta 02 00010 g003
Figure 4. Isometric view of the vorticity magnitude for flow around the 30 P 30 N airfoil at R e c = 1.27 × 10 4 for t U / c = 6 (a), showing smooth vorticity contours, and t U / c = 8 (b) where regular streamwise structures are observed on top of the main element. The 2D slice of the z y plane shows the conventional mushroom shape of Görtler vortices identified by the streamwise vorticity (b), while shear layers are observed in (a).
Figure 4. Isometric view of the vorticity magnitude for flow around the 30 P 30 N airfoil at R e c = 1.27 × 10 4 for t U / c = 6 (a), showing smooth vorticity contours, and t U / c = 8 (b) where regular streamwise structures are observed on top of the main element. The 2D slice of the z y plane shows the conventional mushroom shape of Görtler vortices identified by the streamwise vorticity (b), while shear layers are observed in (a).
Jeta 02 00010 g004
Figure 5. (a) Spanwise velocity component, w, in the slat cove along the lines in the span direction, passing through points P1 (near the slat cusp, red lines) and P2 (in the central region, blue lines) for different times. The wavelength corresponds to λ / c = 0.04 . (b) Amplitude growth of the slat cove spanwise perturbation at R e c = 1.27 × 10 4 for the flow around the 30 P 30 N three-element airfoil. The dashed line (in black) corresponds to the exponential fit, exp ( 3.5 ( t t 0 ) U / c ) , with t 0 U / c = 3.2 and the initial amplitude A 0 = A t 0 U / c .
Figure 5. (a) Spanwise velocity component, w, in the slat cove along the lines in the span direction, passing through points P1 (near the slat cusp, red lines) and P2 (in the central region, blue lines) for different times. The wavelength corresponds to λ / c = 0.04 . (b) Amplitude growth of the slat cove spanwise perturbation at R e c = 1.27 × 10 4 for the flow around the 30 P 30 N three-element airfoil. The dashed line (in black) corresponds to the exponential fit, exp ( 3.5 ( t t 0 ) U / c ) , with t 0 U / c = 3.2 and the initial amplitude A 0 = A t 0 U / c .
Jeta 02 00010 g005
Figure 6. Visualization of spatial coherent structures in the slat cove at t U / c = 7.4 using the normalized squared deviation (see Equation (2)) of the streamwise velocity in the z y plane at x / c = 0.02 .
Figure 6. Visualization of spatial coherent structures in the slat cove at t U / c = 7.4 using the normalized squared deviation (see Equation (2)) of the streamwise velocity in the z y plane at x / c = 0.02 .
Jeta 02 00010 g006
Figure 7. 2D slices showing the spanwise vorticity (left, x y plane) and the streamwise vorticity (right, z y plane) in the slat cove at t U / c = 6.0 (a), t U / c = 7.0 (b), and t U / c = 8.0 (c).
Figure 7. 2D slices showing the spanwise vorticity (left, x y plane) and the streamwise vorticity (right, z y plane) in the slat cove at t U / c = 6.0 (a), t U / c = 7.0 (b), and t U / c = 8.0 (c).
Jeta 02 00010 g007
Figure 8. The Görtler number increases from the slat’s leading edge up to the slat cusp.
Figure 8. The Görtler number increases from the slat’s leading edge up to the slat cusp.
Jeta 02 00010 g008
Figure 9. Energy distribution of the first four POD modes in the slat cove in the z y plane at x / c = 0.02 for the three time intervals: t U / c = 3.2 6 (blue), t U / c = 6 8 (red) and t U / c = 8 10 (green).
Figure 9. Energy distribution of the first four POD modes in the slat cove in the z y plane at x / c = 0.02 for the three time intervals: t U / c = 3.2 6 (blue), t U / c = 6 8 (red) and t U / c = 8 10 (green).
Jeta 02 00010 g009
Figure 10. First two POD modes of the slat cove in the z y plane at x / c = 0.02 for the time range t U / c = 3.2 6 (a1,a2), t U / c = 6 8 (b1,b2), and t U / c = 8 10 (c1,c2).
Figure 10. First two POD modes of the slat cove in the z y plane at x / c = 0.02 for the time range t U / c = 3.2 6 (a1,a2), t U / c = 6 8 (b1,b2), and t U / c = 8 10 (c1,c2).
Jeta 02 00010 g010
Disclaimer/Publisher’s Note: The statements, opinions and data contained in all publications are solely those of the individual author(s) and contributor(s) and not of MDPI and/or the editor(s). MDPI and/or the editor(s) disclaim responsibility for any injury to people or property resulting from any ideas, methods, instructions or products referred to in the content.

Share and Cite

MDPI and ACS Style

Kokash, H.; Mavriplis, C.; Agbaglah, G.G. On the Origin of Görtler Vortices in Flow over a Multi-Element Airfoil. J. Exp. Theor. Anal. 2024, 2, 121-133. https://doi.org/10.3390/jeta2040010

AMA Style

Kokash H, Mavriplis C, Agbaglah GG. On the Origin of Görtler Vortices in Flow over a Multi-Element Airfoil. Journal of Experimental and Theoretical Analyses. 2024; 2(4):121-133. https://doi.org/10.3390/jeta2040010

Chicago/Turabian Style

Kokash, Hussein, Catherine Mavriplis, and Gbemeho Gilou Agbaglah. 2024. "On the Origin of Görtler Vortices in Flow over a Multi-Element Airfoil" Journal of Experimental and Theoretical Analyses 2, no. 4: 121-133. https://doi.org/10.3390/jeta2040010

APA Style

Kokash, H., Mavriplis, C., & Agbaglah, G. G. (2024). On the Origin of Görtler Vortices in Flow over a Multi-Element Airfoil. Journal of Experimental and Theoretical Analyses, 2(4), 121-133. https://doi.org/10.3390/jeta2040010

Article Metrics

Back to TopTop