Abstract
Slips and fall-related accidents cause a significant number of injuries in hospitals. Due to constant movement of doctors and nurses across different departments in hospitals such as OPD, trauma centres, and ICUs, there are possible interactions of their footwear with slippery floorings (e.g., wet or with soap suds), which may cause unexpected slips. To date, there is a lack of understanding on the traction of different footwear worn by hospital staff. This impedes the selection of appropriate floorings and footwear for preventing slips and falls in hospitals. In this work, the traction performances of twelve common footwear designs, worn by hospital staff, were tested on three different floorings at important locations, i.e., an outpatient department, trauma centre, and ICU entrance, at a busy public hospital. Oblique tread patterns are recommended for moderately rough floors under dry and Lizol conditions. Horizontally oriented patterns are better for smoother floors in dry conditions, while vertically oriented patterns are ideal for areas with frequent contaminant exposure. No specific recommendation can be made for soap-contaminated floors due to the contaminant’s high viscosity. The results also indicated the strong influence of flooring roughness on the measured traction, over footwear tread parameters. Also, liquid soaps were observed to significantly reduce footwear–floor traction. The findings are anticipated to be valuable to hospital management for the selection of appropriate high-traction floorings, and provide important guidelines for footwear selection, for the mitigation of slips and falls in hospitals.
1. Introduction
Slip and fall incidents at work have high chances of causing severe injuries in hospital environments. An extensive amount of safety research has been conducted on this topic. Slips, trips, and falls are the second most common cause of both fatal and non-fatal work-related injuries in the United States [1,2], leading to significant amounts of US worker compensation claims. Slip and fall accidents are the second most common cause of lost workdays in the U.S. healthcare industry [3]. More than 25% of hospital staff, with doctors and nurses being the majority, have reported experiencing slips, trips, and falls (STFs) during their careers [3]. A study conducted at an Indian tertiary care hospital found that healthcare professionals face significantly more slip incidents than workers in other fields, primarily due to their increased movement within the workplace [4,5]. This industry also has the highest STF rates compared to all other sectors combined [6]. Sprains, dislocations, and tears to the lower extremities are the most prevalent manifestations of injuries caused from slips, trips, and falls [7,8]. Key strategies for reducing work-related injuries include the adoption of slip-resistant footwear, improvements to degreasing procedures, and slip-resistant flooring [9,10,11]. While expecting slippery floorings and contaminants is beyond an individual’s control, it is imperative to select appropriate footwear to maintain adequate foot–floor traction and to act as an intervention against slips and falls especially in hospitals.
Recent studies [12,13] were conducted with the perspective of testing the floorings installed at hospitals. In a recent study by Coşkun et al. [13], the slipperiness of hospital floors in Türkiye, assessing their compliance with international safety standards, was investigated. Measurements of friction in dry and wet conditions, along with user perceptions, reveal that wet hospital floors pose a safety risk to pedestrians and fail to meet required standards. The findings highlight the need for redesigning hospital floor coverings to improve safety and ensure sustainable use. In another recent study by Leane Carvalho et al. [12], fall risks among elderly patients in a Brazilian university hospital using the Morse Falls Scale and environmental checklists were investigated. Moderate fall risk was most common (51.1%), with age showing some statistical association but no significant predictive value in a regression analysis. Environmental issues, such as obstructed corridors, non-functional emergency bells, and inadequate bathroom facilities, highlight the need for improvements to ensure patient safety. Hence, as irregular maintenance of facilities, continuous wearing of floorings, and the presence of contaminants are unavoidable situations, footwear plays an important role in mitigating these types of risks and injuries.
A range of studies have tested the traction performance of formal shoes around the globe. Taylor et al. [14] investigated the impact of shoe design features on the available coefficient of friction (ACOF) across slip-resistant shoes. The work by Taylor analyzed slip-resistant (SR) shoes to understand how design features impact the available coefficient of friction (ACOF) and slipping rates. Twelve shoes were tested on various flooring and contaminant conditions, showing significant ACOF differences tied to outsole geometry and hardness (p < 0.001). Human tests confirmed lower slipping rates for shoes with higher ACOF, offering insights for improved SR shoe design and selection. The results indicated a lack of effectiveness of several slip-resistant shoes in maintaining adequate ACOF (i.e., >0.3), especially on floorings contaminated with canola oil. The study results were validated using a human-slipping study on 36 subjects. Although this study examined a wide range of shoes, floorings, and contaminants, these conditions represented only a small subset of the countless possible combinations. Therefore, the applicability of these findings should have been reassessed as additional data became available. Chanda et al. [15] attempted to understand the correlations between shoe tractions across different contaminated flooring conditions, to reduce redundant slip testing efforts. The ACOF was estimated for 17 shoes (including slip-resistant and non-slip-resistant, collected from 10 different brands) across five floorings and three contaminant conditions. A portable, biofidelic slip simulator was used in the study to quantify ACOF values. Shoe ACOF performance on a single quarry surface with any contaminant was found to be consistent across other quarry-contaminant scenarios, and results for one vinyl tile applied to similar vinyl flooring under the same contaminant. This reduced the need for repeated ACOF testing and enhanced the relevance of traction test results. It considered only a limited range of flooring and contaminant conditions, focusing on common indoor environments such as offices, restaurants, and hospitals. Caution was advised when extrapolating these findings to other types of flooring. Expanding the analysis to include additional conditions, such as outdoor surfaces found in mining environments, could have improved understanding of traction generalization across diverse surfaces.
Iraqi et al. [16] developed a statistical model to predict the available coefficient of friction (ACOF) under boundary lubrication using inexpensive measurements of outsole features. Testing 58 slip-resistant shoe designs, ACOF was measured with canola oil as a contaminant, and regression models using outsole parameters and floor type explained 87% of ACOF variation. This tool could help safety practitioners evaluate footwear traction and enhance worker safety. The study determined the need to conduct pilot testing in specific environments to accurately measure slipping risks. In a recent study by Gupta et al. [17], a specific testing environment, such as hospital floorings and nurse-specific footwear, was considered to quantify the quality of friction produced by the selected shoes. The study tested 50 nurse shoe designs for traction on hospital floors, identifying a 6-month replacement threshold. Softer shoes (shore hardness < 53 A) showed better traction on dry floors, while worn regions > 5 mm significantly reduced performance. While a pilot study was conducted in a specific environment, none of the works have attempted to study the effect of shoe designs in a hospital environment, owing to actual contaminant and flooring conditions. Hence, the primary research objective of the current work was to quantify how specific and local tread designs perform in a specific environment (i.e., hospital).
Although there is a plethora of footwear-testing studies, no such study has yet been conducted in India, specifically in the hospital environment. As the hospital-specific footwear outsole designs available in India are widely different from other countries, the traction ranges of formal footwear estimated in any country may not be translatable to that in India. The current work aims to address this literature gap, through the selection, design, fabrication, and testing of high-selling formal footwear used by healthcare professionals, and to understand what type of tread–flooring combination could perform better in mitigating such injuries.
2. Materials and Methods
Formal shoes worn by healthcare professionals in the All Indian Institute of Medical Science (AIIMS), New Delhi, were considered for this study. The tread patterns of the shoes of healthcare professionals present at the trauma centre, ICU, and OPD were examined. The healthcare professionals included doctors, ward personnel, and nurses. In order to consider unworn treads, shoes with ages less than one month were considered. While examining the shoes of doctors, several tread patterns were found to be repeated and patterns with most of the repetitions were considered. As the selected shoe designs worn by doctors were of a similar brand i.e., Bata (Lausanne, Switzerland), the designs were named from B1 to B7. The cost of B1 to B7 ranged from USD 35 to USD 40. For the ward personnel, most of the repetitions included were from a similar brand, i.e., Egoss (Agra, India). Most of the designs for ward personnel included squared and vertical tread patterns, and were named from E1 to E3, whereas the remaining shoes (i.e., L1, L2, L3) were selected from nurses, which showed three major repetitions. Most of the repetitions in this category were from Lee Cooper (Reliance Retail, India). Hence, based on the high number of repetitions, a total of 12 tread patterns were selected. In addition to this, we would like to clarify that the tread features of the heel location were captured using a camera and tread depth was measured using a depth gauge (Precise Instruments, New Delhi, India). The heel portions of these footwear designs are presented in Figure 1.
Figure 1.
Outsoles of formal footwear of different brands selected for the study.
CAD software (SOLIDWORKS 2017) was used to prepare the models of all the selected formal shoe heels based on healthcare professional footwears. These models were 3D-printed, using Poly-Lactic Acid (PLA), and used to develop flexible negative silicone moulds of the heel designs. Due to the sticking property of the polyurethane with the PLA, negative silicone moulds were developed. This ensured swift release of the final product from the silicone moulds. This was performed to have the final heel outsoles made of polyurethane, which is difficult to extract from PLA rigid moulds. Three-dimensional printing was conducted using the Voxelab Aquila printer (Zhejiang Flashforge 3D Technology Ltd., Zhejiang Province, China). The moulds were printed at 100 mm/s, with an acceleration of 2000 mm/s2. The bed and nozzle temperatures were set at 60 °C and 200 °C, respectively. After the printing was completed, the moulds were removed after the cool-down of the build plate. Two-part polymeric compositions of silicone (LSR 110, Chemzest Techno Products pvt ltd, Chennai, India) were made by mixing 50% of part A and 50% of part B by weight. The resulting polymer combination was measured using a milli-weighing device (NVK Weighing Instruments Ltd., Suzhou, China), poured on positive 3D-printed moulds, and left to dry for 48 h. Polyurethane, with Shore A hardness 70 (from Aditya Silicone) and mixed in the ratio of part A:B = 5:4 by weight, was selected for making footwear outsole models, as it could generate the average hardness of all selected footwear outsoles, and is also widely used in making the outsole of formal shoes [17,18,19]. The drying criteria for polyurethane were similar to that of the silicone. The final models are shown in Figure 2.
Figure 2.
Polyurethane models of the footwear outsoles.
The polyurethane outsole models were attached to a modified shoe using a custom-made 3D-printed heel connector, which was prepared by 3D scanning the heel portion of a human subject (Figure 3). For mechanical slip testing, the British Pendulum Skid Tester was used (Figure 4). This device was selected due to its portability (i.e., can be transported to different locations to assess the slip risk on realistic contaminated floorings) and consistency of the available sliding distance with human slips, and for ease of attachment of the heel connector and polyurethane outsole models.
Figure 3.
Process of fabricating 3D-printed heel connector.
Figure 4.
The British Pendulum Skid Tester along with the shoe modification and heel connector for the polyurethane outsole attachment.
The British Pendulum Skid Tester (BPST) is a portable device used for rapid friction measurements of a rubber sample and surface. It consists of a standardized rubber sample attached to a pendulum. When the pendulum is swung, the rubber sample slides on the surface, which leads the needle to point to a value on the calibrated scale. The resulting value is known as the British Pendulum Number (BPN) and the available friction is calculated by multiplying the BPN by 0.01. In the current work, the pre-attached rubber sample was replaced with a 3D-printed heel for actual foot loading. The heel geometry of a male candidate was 3D-scanned (Figure 3). The scanned model was aligned at 17 degrees, owing to actual slipping conditions [15]. The heel connector was then 3D-printed using PLA. The printed heel was placed inside a part-shoe to represent actual loading. Finally, the polyurethane outsoles were attached beneath the part-shoe for friction measurements (Figure 4). Also, the modified device was calibrated using a standardized flooring with a known friction value of 0.30. For each outsole, 5 repetitions were conducted and the final value was averaged. Overall, less than 5% difference in the outcome friction value was observed, showing that the modified setup was reliable and robust.
Several studies in the past have used the British Pendulum slip tester to study the slip risk on flooring tiles in different locations such as malls and kitchens, and in the presence of contaminants such as floor cleaners and liquid soap [20,21,22]. The available coefficient of friction (ACOF) was estimated across different outsole–floor–contaminant conditions. The 12 different outsole models were tested on realistic hospital flooring locations (Figure 5), which included trauma centre flooring (Ra = 19.5 µm), outpatient department (OPD) flooring (Ra = 5.3 µm), and intensive care unit (ICU) flooring (Ra = 32.5 µm). The surface roughness was estimated using a digital surface profile gauge (Precise Instruments, India). The floor conditions simulated were dry, and with a floor cleaner and water solution (i.e., Lizol), and soap solution. Due to a high number of patients in the outpatient department (OPD), there was frequent cleaning using Lizol and a water-based solution; hence, this particular contaminant combination was considered for this study. Furthermore, in the case of trauma centre and intensive care unit (ICU) locations, due to spillage of other fluids, i.e., biological fluids, a more viscous solution, i.e., a soap solution, was used to clean the floorings and, hence, was considered for this study.
Figure 5.
Hospital floorings selected for study: (A) trauma centre flooring, (B) OPD flooring, (C) ICU flooring.
The contact areas of the outsole models of the different formal shoes selected for the study were estimated in several steps. The outsole tread patterns were first covered with a black-colour acrylic ink and left to dry. This was performed to create a contrast from the outsole colours. This ensured that the ink only covered the treads and not the baseline of the outsole. After drying, the outsole tread images were captured using a regular smartphone camera. The images were then post-processed using the software ImageJ version 1.53u (Laboratory for Optical and Computational Instrumentation, University of Wisconsin, Madison, WI, USA). Using the software, the contrast was further enhanced to further segregate the treads from the baseline. An option in the software, namely ‘thresholding’, was used to highlight the contrasted treads (Figure 6A). Finally, the ‘area’ option was used to calculate the highlighted images (Figure 6B).
Figure 6.
The area estimation of outsole tread patterns in ImageJ software: (A) the process, and (B) estimated areas.
The ACOFs of the outsoles were estimated across the different flooring tiles and contaminant conditions. The quality of correlations between the outsoles and across floorings was described using the coefficient of determination (r2). The estimation of r2 was performed to acknowledge the effect of several parameters (i.e., outsoles, contaminants, floorings) on the ACOF based on its convenience to distinguish among the variables, in line with a previous literature study [17]. The values of 0.5 < r2 < 0.7 and r2 > 0.7 were considered as moderate and high (or strong), respectively, in line with a previous literature study on footwear friction [15].
3. Results
3.1. Traction of Outsoles Across Different Floorings and Contaminants
The ACOF of the outsoles on the dry trauma centre flooring varied in the range of 0.16 to 0.23 (Figure 7). The outsoles that exhibited the highest ACOF were with tread patterns B3 and E1. B2 and B4 outsoles exhibited the lowest ACOF on the dry matt-finished tile. Similar ACOFs were reported on the outsoles B1, B6, B7, L1, and L3. On the dry OPD flooring, ACOF was found to vary in the range of 0.12 to 0.19 (Figure 7). The outsoles exhibiting the highest ACOF were L2 and L3, and the ones showing the lowest ACOF were B4 and E2. Similar ACOFs were generated by the outsoles B2, B6, E1, and L1. On the dry ICU flooring, the ACOF of the outsoles ranged from 0.25 to 0.33 (Figure 7). The highest ACOFs were observed for outsoles B3 and B5, and the lowest ACOF for B4. A majority of the outsoles, B1, B2, B3, B5, E2, and L3, exhibited ACOF above 0.3, which is the safe limit for the prevention of slips and falls.
Figure 7.
Variation in ACOF in dry condition.
The ACOFs of outsoles with the lizol solution across all tiles were much lower than in the dry condition. The ACOF on trauma centre flooring ranged from 0.06 to 0.12 (Figure 8). The outsoles that exhibited ACOF above 0.1 were B3, E1, E2, L1, B2, B5, and L2. The lowest ACOF was generated by the outsole B7. The ACOF of the outsoles on OPD flooring ranged from 0.07 to 0.12 (Figure 8). The outsoles that exhibited ACOF above 0.1 were B3 and L1. The lowest ACOF was exhibited by the outsole B4. Similar ACOFs were observed for several outsole models, namely B1, B2, B6, L3, and B7 and E1. The ACOF on ICU flooring ranged from 0.1 to 0.16 (Figure 8). The highest and lowest ACOFs were generated by the outsoles B2 and L3, respectively. The outsole pairs exhibiting similar ACOF were B4-L2, B6-E2, and B3-L1.
Figure 8.
Variation in ACOF in Lizol condition.
The ACOF of outsoles with liquid soap exhibited the lowest range of 0.05 to 0.06 on the trauma centre flooring and OPD flooring (Figure 9). The minimal variations indicated the generalizability of footwear friction on canola-contaminated matt and glossy tiles. For the ICU flooring, ACOF variations were observed in the range of 0.07 to 0.1 (Figure 9). The highest and similar ACOFs were shown by the outsoles B1, B2, and E2. The lowest and similar ACOFs were exhibited by the outsoles B5 and E1. Other outsoles that generated similar ACOF included B3, B6, B7, L1, L2, and L3.
Figure 9.
Variation in ACOF in liquid soap-applied condition.
3.2. Correlation of Outsole ACOF Between Floorings
The ACOFs of the outsole models were compared between floorings, for the dry, lizol-, and liquid soap-contaminated conditions (Figure 10). For the trauma centre flooring and OPD flooring, two outsole tread patterns exhibited high correlations under the dry condition, namely B2 (r2 = 0.98), and B4 (r2 = 0.97). For the same floorings, with the lizol contaminant, high correlations were observed for outsoles B1 (r2 = 0.75), B3 (r2 = 0.98), and B7 (r2 = 0.84). With the liquid soap contaminant, for these floorings, low correlations were reported for all outsoles. For OPD flooring and ICU flooring, testing under dry conditions exhibited moderate correlations in two outsoles, namely B2 (r2 = 0.63) and B6 (r2 = 0.63). For the same floorings, with the lizol contaminant, high correlations were observed for only outsole B5 (r2 = 0.98). With liquid soap as the contaminant, for these floorings, low correlations were observed for all outsoles. For trauma centre flooring and ICU flooring, testing under the dry condition yielded high correlation for outsole E2 (r2 = 0.98). For the same floorings, with the lizol contaminant, moderate correlation was observed for only outsole L2 (r2 = 0.56). With liquid soap as the contaminant, for these tiles, high correlation was observed for outsole L3 (r2 = 0.98).


Figure 10.
Intra-tile variation: (A) trauma centre flooring versus OPD flooring (dry), (B) trauma centre flooring versus OPD flooring (Lizol), (C) trauma centre flooring versus OPD flooring (liquid soap), (D) OPD flooring versus intensive care unit flooring (dry), (E) OPD flooring versus intensive care unit flooring (Lizol), (F) OPD flooring versus intensive care unit flooring (liquid soap), (G) trauma centre flooring versus intensive care unit flooring (dry), (H) trauma centre flooring versus intensive care unit flooring (lizol), (I) trauma centre flooring versus intensive care unit flooring (liquid soap).
3.3. Correlation of Outsole ACOF Between Contaminants
The ACOFs of the outsole models were compared between contaminants, for the trauma centre flooring, OPD flooring, and intensive care unit flooring. For the trauma centre flooring (Figure 11A), high correlation was observed between dry and lizol conditions for the outsole B3 (r2 = 0.98) and moderate correlations were reported for outsole E1 (r2 = 0.58). Between lizol- and liquid soap-contaminated conditions, the E1 outsole showed moderate correlation (r2 = 0.58), and the rest of the outsoles exhibited low correlations. Between dry and liquid soap-contaminated conditions, outsoles B2 (r2 = 0.77), B7 (r2 = 0.98), and E1 (r2 = 0.98) exhibited high correlations.

Figure 11.
Correlation among the contaminants for (A) trauma centre flooring, (B) OPD flooring, and (C) intensive care unit flooring.
For the OPD flooring (Figure 11B), between dry and lizol-contaminated conditions, outsoles exhibiting high correlations included B1 (r2 = 0.75), B3 (r2 = 0.98), and B7 (r2 = 0.84), and L2 showed moderate correlation (r2 = 0.56). Between lizol- and liquid soap-contaminated conditions, the outsole B7 (r2 = 0.77) exhibited high correlation, and all other outsoles reported low correlations. Between dry and liquid soap-contaminated conditions, the outsoles did not show any significant correlations.
For the intensive care unit flooring (ICU) (Figure 11C), between dry and lizol-contaminated conditions, high correlation was observed only for the outsole B3 (r2 = 0.76). Between lizol- and liquid soap-contaminated conditions, the outsole E2 showed the highest correlation (r2 = 0.98), and moderate correlation was exhibited by B1 (r2 = 0.64). Between dry and liquid soap-contaminated conditions, several outsoles exhibited moderate to high correlations, including B3 (r2 = 0.58), B5 (r2 = 0.76), and L3 (r2 = 0.84).
3.4. Correlation of Outsole ACOF with Contact Area
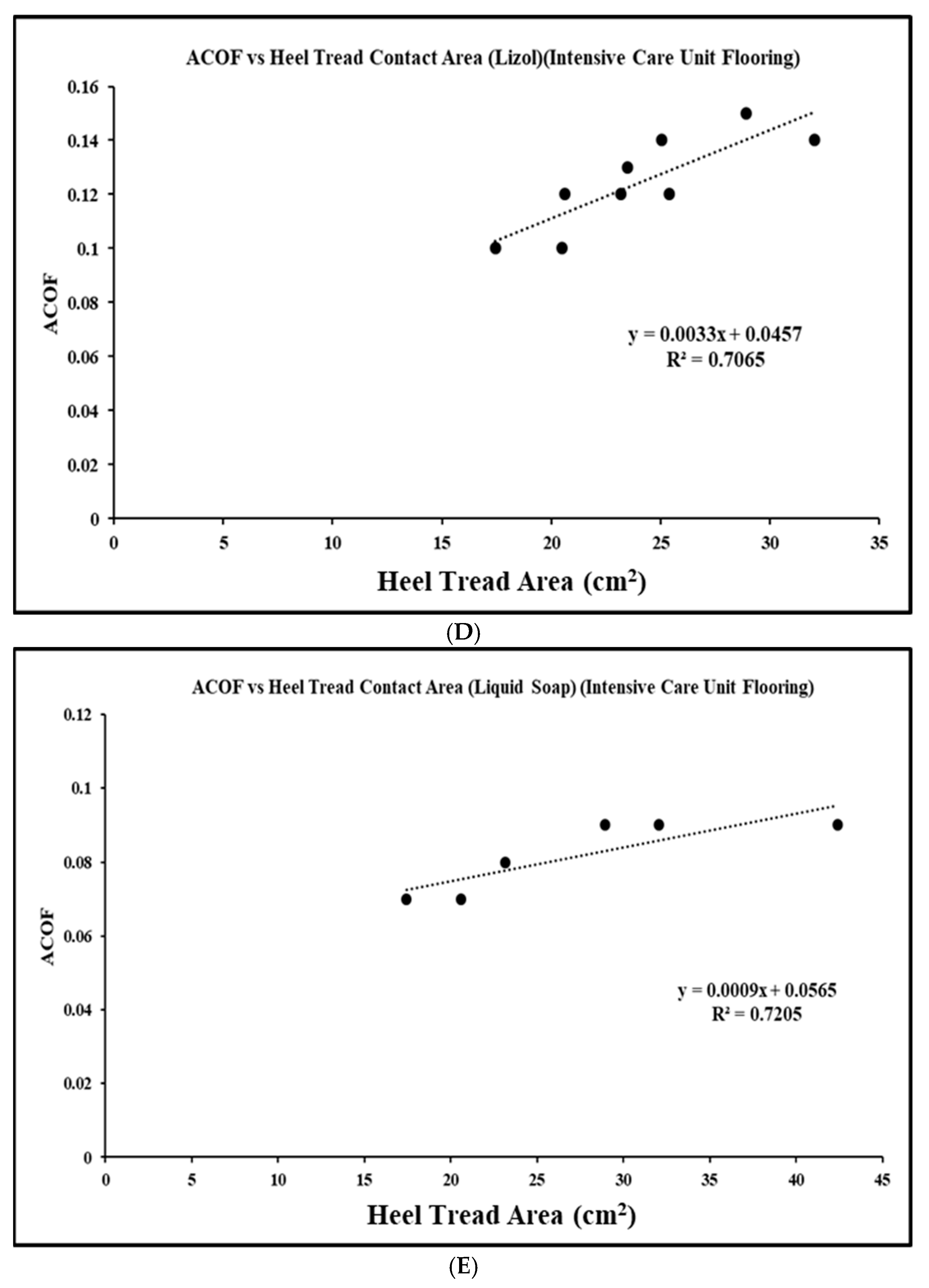
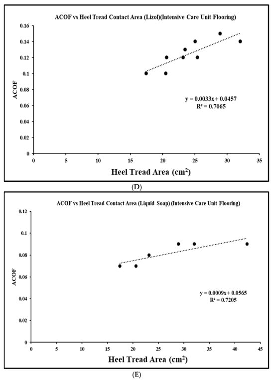
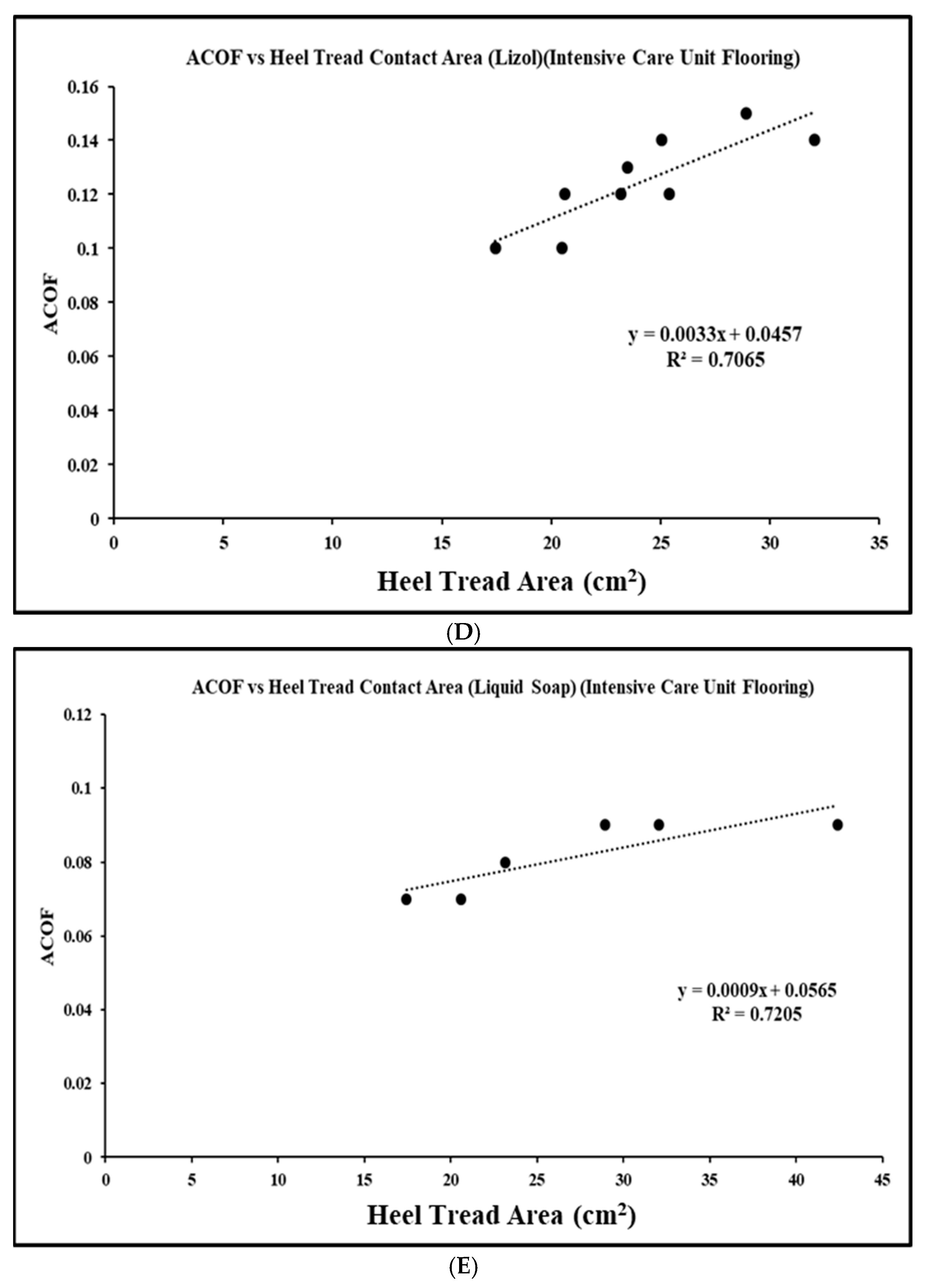
Significant correlations were determined between the ACOF and outsole contact area for at least 50% (i.e., 6) of the outsoles (Figure 12). For the dry OPD flooring (Figure 12A), the outsoles B1, B3, B5, B6, B7, and L3 showed a moderate correlation (r2 = 0.64). Similarly, for dry intensive care unit flooring, a negative moderate correlation (i.e., r2 = 0.62) of ACOF with the contact area was observed in the outsoles B1, B2, B3, B5, B6, B7, and E2 (Figure 12B). For slip testing in the presence of lizol as a contaminant condition, the outsoles B2, B5, B6, E1, E2, L1, and L2 showed a moderate and negative correlation (r2 = 0.53) for the trauma centre flooring (Figure 12C), whereas, for the intensive care unit flooring (Figure 12D), nine outsoles (i.e., B1, B3, B4, B5, B7, E1, E2, L2, and L3) showed a high and positive correlation (r2 = 0.71). Furthermore, for the slip testing in the presence of liquid soap as a contaminant, the outsoles B3, B4, B5, B6, B7, and E1 also showed a positive and high correlation (r2 = 0.72) amongst ACOF and the contact areas (Figure 12E).

Figure 12.
Significant correlations between ACOF and heel tread area for (A) OPD flooring (dry condition), (B) intensive care unit flooring (dry condition), (C) trauma centre flooring (Lizol condition), (D) intensive care unit flooring (Lizol condition), and (E) intensive care unit flooring (liquid soap condition).
4. Discussions
In this work, the traction performance of twelve types of footwear employed by healthcare professionals in AIIMS, New Delhi, were characterized with realistic hospital floorings and contaminant conditions. Mechanical slip testing experiments on dry floorings yielded outsole traction in the ranges of 0.16 to 0.23, 0.12 to 0.19, and 0.25 to 0.33 across trauma centre flooring, OPD flooring, and ICU flooring, respectively. The ACOF of outsoles showed a maximum reduction of 62% across all the floorings, in the presence of the lizol contaminant, which may lead to increased slip risks. Outsoles with tread orientation along or oblique to the slip direction exhibited comparatively high ACOF in wet slipping conditions. The ACOF of outsoles further reduced up to 50% on all floorings with liquid soap as a contaminant. Similar traction behaviour was observed for the majority of the outsoles for liquid soap-contaminated floorings, indicating generalizability of test results.
The correlations of ACOF of shoe outsoles were determined between floorings and contaminants, and with interfacial contact area. In the dry condition, two (i.e., horizontally oriented) out of twelve outsoles showed high correlations for the trauma centre flooring and OPD flooring, and one outsole (vertically oriented) showed high correlations for the trauma centre flooring and intensive care unit flooring. For lizol contamination, a similar number of outsoles showed high correlations for trauma centre flooring and the OPD flooring, and for the trauma centre flooring and ICU flooring. For the liquid soap contaminant, only one outsole showed high correlations for the trauma centre flooring and ICU flooring. Between contaminants, for the trauma centre flooring, one outsole showed high ACOF correlation between dry and lizol conditions, and three outsoles showed high ACOF correlation between dry and liquid soap contaminant conditions. For the OPD flooring, three outsoles showed high ACOF correlation between dry and lizol conditions, and one outsole exhibited high ACOF correlation between lizol and liquid soap contaminant conditions. For the ICU flooring, one outsole showed high correlation between dry and lizol conditions, one between lizol and liquid soap conditions, and two between dry and liquid soap contaminant conditions. Poor correlations were observed between outsole ACOF and contact area. The high correlations indicate that ACOFs of specific outsoles are generalizable across either two floorings or two contaminants, and thus need to be estimated on only one of these floorings or contaminants for traction performance testing.
Based on the outcomes, outsole patterns with obliquely oriented channels were found to produce generalizable results over moderately rough floorings (i.e., more than 19 µm) in dry and lizol conditions. Healthcare professionals working at locations with moderately rough floorings could consider obliquely oriented patterns. On the other hand, horizontally oriented patterns showed better ACOF values even on smoother floorings (i.e., OPD) under dry conditions. Hence, healthcare professionals who are posted where smooth floorings are installed could consider horizontally oriented outsole designs. Also, outcomes suggest that vertically oriented patterns showed better ACOF in the case of contaminated floorings. Hence, healthcare professionals who frequently come in contact with contaminants could consider vertically oriented outsoles. For the soap solution-contaminated floorings, no conclusion could be drawn due to the highly viscous nature of the contaminant.
This work aligns with the prior literature in several ways. For instance, outsoles featuring vertical or oblique tread patterns demonstrated a higher ACOF than other designs. This increased traction and adhesion could be attributed to improved fluid drainage in these tread orientations [17]. Outsoles with horizontal tread patterns showed strong correlation with liquid soap-contaminated OPD and ICU flooring. This outcome may be attributed to inadequate drainage in these outsoles combined with the presence of a highly viscous fluid contaminant, which likely led to the formation of fluid films at the shoe–floor interface and increased hysteresis [23,24,25,26]. With high amounts of hysteresis, the effect of flooring asperities would not contribute much to the traction performance, and possibly have led to greater correlations between a smooth and rough flooring [27].
Although the selected tread patterns had a variety of designs, important flooring locations were considered, and the testing was performed at India’s busiest hospital, i.e., AIIMS Delhi; future work including multiple hospitals and a high number of shoe samples could further help with understanding the generalizability of the friction outcomes. The flooring locations were selected based on high movements of the healthcare professionals. The trauma centre, OPD, and ICU departments were recognized as the busiest locations with large numbers of healthcare professionals being posted there. Moreover, as regular cleaning was performed using Lizol and liquid soap, these contaminants, along with the dry condition, were considered. In the future, more contaminants, such as water and oil, will be considered to further understand the friction behaviour of the outsoles. In addition to this, more locations such as an in-patient department (IPD), surgery rooms, and corridors will be considered to better understand the slip risks. The consideration of additional contaminants, such as water, oil, and biological fluids, could have further helped in understanding the generalizability of the study. Specifically, understanding traction performance of footwear considering biological fluids in the ICU would be highly relevant. In the future, studies specific to ICU locations could include these additional contaminants.
To maintain the actual loading conditions, the heel connector was inclined at 17 degrees and attached to the testing device. The printed heel was placed inside a part-shoe to represent actual loading. This ensured cost-effective and rapid testing methodology. Meanwhile, the study attempted to consider actual slipping loading mechanics; the full human gait cycle and real-time weight distribution were not considered. Future research that includes human trials may provide a more thorough comprehension of traction performance in practical situations. Due to the high viscosity of the contaminant, clear recommendations for the soap-contaminated flooring were not presented. Future studies considering a multitude of footwear and flooring materials, and testing them with soap contaminant conditions, could provide better insights into the frictional behaviour of the scenarios.
5. Conclusions
In conclusion, various shoe–flooring–contaminant combinations for hospital settings were identified that could yield consistent or generalizable traction results. Oblique tread patterns could be recommended for moderately rough floors (>19 µm) under dry and Lizol conditions due to their effectiveness. Horizontally oriented patterns could be better suited for smoother floors, like those in OPD settings, in dry conditions. For environments with frequent contaminant exposure, vertically oriented patterns could provide improved traction. However, no clear recommendation could be made for soap-contaminated floors due to the contaminant’s high viscosity. These findings are expected to streamline the slip risk assessment for footwear worn by healthcare professionals in various hospitals. To the best of our knowledge, such detailed insights on the impact of shoe treads on traction have not been reported, offering valuable guidelines for selecting footwear that minimizes slip risks in hospital environments. Apart from hospitals, future studies could investigate other locations of concern, such as restaurant kitchens, heavy industries or machine shops, home, etc. Investigating these locations could also benefit the community and help reduce slip and fall accidents.
Author Contributions
S.C.: Methodology; Validation; Investigation; Formal Analysis; Writing—Original Draft; Writing—Review and Editing. S.G.: Methodology; Data Curation; Formal Analysis; Investigation. A.C.: Conceptualization; Methodology; Formal Analysis; Supervision; Writing—Review and Editing. All authors have read and agreed to the published version of the manuscript.
Funding
This research received no external funding.
Institutional Review Board Statement
Not applicable
Informed Consent Statement
Not applicable
Data Availability Statement
The datasets generated during and/or analyzed during the current study are present in the manuscript.
Conflicts of Interest
The authors declare no conflicts of interest.
References
- Bureau of Labor Statistics. BLS A-1. Injuries, Illnesses, and Fatalities; Bureau of Labor Statistics: Washington, DC, USA, 2019; pp. 1–21.
- National Safety Council. Make Fall Safety a Top Priority. 2022. Available online: https://www.nsc.org/workplace/safety-topics/slips-trips-and-falls/slips-trips-and-falls-home (accessed on 1 December 2022).
- Courtney, T.K.; Lombardi, D.A.; Sorock, G.S.; Wellman, H.M.; Verma, S.; Brennan, M.J.; Collins, J.; Bell, J.; Chang, W.R.; Grönqvist, R.; et al. Slips, trips and falls in US hospital workers-detailed investigation. In Proceedings of the 16th World Congress on Ergonomics (IEA2006), Maastricht, The Netherlands, 10–14 July 2006. [Google Scholar]
- Gudi, N.; Nair, R.B.; Godinho, M.; Hadpad, B. A Retrospective Analysis of ‘Slip-and-Fall’ Injuries Among Inpatients at a Tertiary Care Hospital, Karnataka, India. J. Clin. Diagn. Res. 2018, 12, IM01–IM03. [Google Scholar] [CrossRef]
- Kumar, N.; Daga, A.; Satpathy, S.; Kumar, P. Slip, trip and falls among healthcare workers of an apex tertiary care hospital of North India: A cross sectional study. Res. Rev. 2021, 4, 1055–1058. [Google Scholar] [CrossRef]
- Bell, J.L.; Collins, J.W.; Tiesman, H.M.; Ridenour, M.; Konda, S.; Wolf, L.; Evanoff, B. Slip, Trip, and Fall Injuries among Nursing Care Facility Workers. Work. Heal. Saf. 2013, 61, 147–152. [Google Scholar] [CrossRef]
- Bell, J.L.; Collins, J.W.; Wolf, L.; Grönqvist, R.; Chiou, S.; Chang, W.-R.; Sorock, G.S.; Courtney, T.K.; Lombardi, D.A.; Evanoff, B. Evaluation of a comprehensive slip, trip and fall prevention programme for hospital employees. Ergonomics 2008, 51, 1906–1925. [Google Scholar] [CrossRef]
- Campbell, A.J.; Borrie, M.J.; Spears, G.F.; Jackson, S.L.; Brown, J.S.; Fitzgerald, J.L. Circumstances and Consequences of Falls Experienced by a Community Population 70 Years and over during a Prospective Study. Age Ageing 1990, 19, 136–141. [Google Scholar] [CrossRef]
- Sinclair, R.C.; Smith, R.; Colligan, M.; Prince, M.; Nguyen, T.; Stayner, L. Evaluation of a safety training program in three food service companies. J. Saf. Res. 2003, 34, 547–558. [Google Scholar] [CrossRef]
- Beschorner, K.E.; Albert, D.L.; Chambers, A.J.; Redfern, M.S. Fluid pressures at the shoe–floor–contaminant interface during slips: Effects of tread & implications on slip severity. J Biomech 2014, 47, 458–463. [Google Scholar] [CrossRef]
- Chang, W.-R.; Leclercq, S.; Lockhart, T.E.; Haslam, R. State of science: Occupational slips, trips and falls on the same level. Ergonomics 2016, 59, 861–883. [Google Scholar] [CrossRef]
- De Carvalho, L.M.; Lira, L.B.; de Oliveira, L.B.; Mendes, A.M.; Pereira, F.G.F.; de Galiza, F.T.; Pereira, L.C.; Machado, A.L.G. Analysis of Hospital Safety and Risk of Falls in the Elderly: A Cross-Sectional Study in Brazil. Int. J. Environ. Res. Public Health 2024, 21, 1036. [Google Scholar] [CrossRef]
- Coşkun, G.; Bendak, S. Safety of hospital floor coverings: A mixed method study. Saf. Sci. 2023, 163, 106145. [Google Scholar] [CrossRef]
- Jones, T.; Iraqi, A.; Beschorner, K. Performance testing of work shoes labeled as slip resistant. Appl. Ergon. 2018, 68, 304–312. [Google Scholar] [CrossRef] [PubMed]
- Chanda, A.; Jones, T.G.; Beschorner, K.E. Generalizability of Footwear Traction Performance across Flooring and Contaminant Conditions. IISE Trans. Occup. Ergon. Hum. Factors 2018, 6, 98–108. [Google Scholar] [CrossRef] [PubMed]
- Iraqi, A.; Vidic, N.S.; Redfern, M.S.; Beschorner, K.E. Prediction of coefficient of friction based on footwear outsole features. Appl. Ergon. 2019, 82, 102963. [Google Scholar] [CrossRef] [PubMed]
- Gupta, S.; Bose, D.; Chatterjee, S.; Chanda, A. Effect of Outsole Material and Wear on Traction Performance of Nurse’s Footwear in Hospitals. Tribol. Trans. 2024, 67, 323–331. [Google Scholar] [CrossRef]
- Luximon, Y.; Yu, J.; Zhang, M. A Comparison of Metatarsal Pads on Pressure Redistribution in High Heeled Shoes. Res. J. Text. Appar. 2014, 18, 40–48. [Google Scholar] [CrossRef]
- Karkalic, R.; Radulovic, J.; Jovanovic, D. Characteristics of polyurethane and elastomer parts for shoe industry produced by liquid injection molding technology. Vojn. Glas. 2017, 65, 948–967. [Google Scholar] [CrossRef]
- Nagata, H.; Watanabe, H.; Inoue, Y.; Kim, I.J. Fall risks and validities of various methods to measure frictional properties of slip-pery floors covered with soapsuds. In Proceedings of the 17th World Congress on Ergonomics, Beijing, China, 9–14 August 2009. [Google Scholar]
- Terjék, A.; Dudás, A. Ceramic Floor Slipperiness Classification—A new approach for assessing slip resistance of ceramic tiles. Constr. Build. Mater. 2018, 164, 809–819. [Google Scholar] [CrossRef]
- Sudoł, E.; Szewczak, E.; Małek, M. Comparative Analysis of Slip Resistance Test Methods for Granite Floors. Materials 2021, 14, 1108. [Google Scholar] [CrossRef]
- Beschorner, K.E.; Redfern, M.S.; Porter, W.L.; Debski, R.E. Effects of slip testing parameters on measured coefficient of friction. Appl. Ergon. 2007, 38, 773–780. [Google Scholar] [CrossRef]
- Meehan, E.E.; Vidic, N.; Beschorner, K.E. In contrast to slip-resistant shoes, fluid drainage capacity explains friction performance across shoes that are not slip-resistant. Appl. Ergon. 2021, 100, 103663. [Google Scholar] [CrossRef]
- Moghaddam, S.R.M.; Acharya, A.; Redfern, M.S.; Beschorner, K.E. Predictive multiscale computational model of shoe-floor coefficient of friction. J. Biomech. 2018, 66, 145–152. [Google Scholar] [CrossRef] [PubMed]
- Strobel, C.M.; Menezes, P.L.; Lovell, M.R.; Beschorner, K.E. Analysis of the Contribution of Adhesion and Hysteresis to Shoe–Floor Lubricated Friction in the Boundary Lubrication Regime. Tribol. Lett. 2012, 47, 341–347. [Google Scholar] [CrossRef]
- Cowap, M.J.H.; Moghaddam, S.R.M.; Menezes, P.L.; Beschorner, K.E. Contributions of adhesion and hysteresis to coefficient of friction between shoe and floor surfaces: Effects of floor roughness and sliding speed. Tribol. Mater. Surfaces Interfaces 2015, 9, 77–84. [Google Scholar] [CrossRef]
Disclaimer/Publisher’s Note: The statements, opinions and data contained in all publications are solely those of the individual author(s) and contributor(s) and not of MDPI and/or the editor(s). MDPI and/or the editor(s) disclaim responsibility for any injury to people or property resulting from any ideas, methods, instructions or products referred to in the content. |
© 2025 by the authors. Licensee MDPI, Basel, Switzerland. This article is an open access article distributed under the terms and conditions of the Creative Commons Attribution (CC BY) license (https://creativecommons.org/licenses/by/4.0/).















