Abstract
Epigenetic modulation of DNA and histones facilitated by and histone deacetylases (HDAC) is associated with the development and progression of many cancers, although less is known about DNA methyltransferase (DNMT) in oral cancers and the regulation of these targets. Using commercially available cell lines, oral squamous cell carcinomas (SCC4, SCC9, SCC15, SCC25, and CAL27), and normal gingival fibroblasts (HGF-1), growth assays and mRNA expression were evaluated using ANOVA. These results revealed homeostasis enzyme DNMT1 expression was significantly higher among slow-growing HGF-1 cells than among fast-growing oral cancers, p < 0.05. In contrast, DNMT3A and DNMT3B expression was significantly higher among oral cancers compared with HGF-1 cells, p < 0.05. However, differential expression of HDAC1 and HDAC2 was observed among SCC4, SCC25, and CAL27 cells. Further analysis of miR-152 (regulation and control of DNMT expression) and miR-21, miR-221, and miR-145 (regulation of HDAC expression) revealed all oral cancers produced miR-21, but none produced miR-221. However, differential expression of miR-145 (SCC15) and miR-152 (SCC25) suggested alternative epigenetic pathways and mechanisms of DNMT and HDAC regulation may be responsible for some of the observations revealed in this study.
1. Introduction
Dysregulations of DNA methylation facilitated by DNA methyltransferase (DNMT) are associated with the development and progression of many types of cancers [1,2]. Although the initiation and progression process of cancers was traditionally considered a syndrome of genetic disorders, such as mutations, deletions, and insertions, more complete and thorough analysis has revealed that epigenetic modifications including DNA methylation and demethylation may be central to the pathogenesis of subsequent DNA mutations, deletions, and other modifications and may also contribute to the phenotypes and behaviors of developing cancer lesions and tumors [3,4,5]. Much of the focus of these research studies has been the downregulation of DNMT-1 responsible for the maintenance of differentiation and homeostasis as well as the upregulation of DNMT-3 family members associated with dedifferentiation and changes to DNA methylation and associated disorders [6,7,8].
More specifically, DNMT-1 is an important regulator of homeostasis, functioning to recognize hemi-methylated DNA during mitosis to maintain tissue-differentiation status among cells undergoing replication for wound healing, repair, or normal cellular turnover [9,10]. However, dysfunction of DNMT-1 may often be observed as a hallmark of many types of cancer, suggesting this may be a key factor in the development and progression of many varied tumors [11,12,13]. Therefore, an understanding of how and when DNMT-1 may be dysfunctional and dysregulated may be critical to assist clinicians and oral health researchers to develop targeted therapies that seek to impair DNMT-1 inhibitors or restore DNMT-1 function [14,15,16].
In contrast, DNMT-3 family members are primarily responsible for DNA demethylation and DNA methyltransferase activity as well as de novo DNA methylation and other functions associated with early embryonic development and implantation [17,18,19]. Reactivation and engagement of DNMT-3 family members has become another hallmark of cancer development and progression, triggering many avenues of research to determine the mechanisms and pathways responsible for this type of epigenetic modification within tumors [20,21,22]. However, both DNMT-1 and DNMT-3 family members also interact with and mediate the activity of multiple histone acetyltransferases (HATs) and histone deacetyltransferases (HDACs) [23,24].
The depth and breadth of research regarding HDACs in cancer has grown extensively in recent years, with multiple HDAC inhibitors approved for the treatment of differing types of cancer, including Vorinostat, Belinostat, Panobinostat, and Romidepsin [25,26,27]. Many studies have demonstrated clinical efficacy in the treatment of certain types of cancer using HDAC inhibitors with side effects that are often less severe, while other unintended positive effects on other organ systems, such as the cardiovascular system, have been noted [28,29,30]. However, the research regarding epigenetic modifications and alterations in some types of cancer, such as oral cancer, has only more recently started to develop more substantially [31,32,33].
For example, much less is known specifically about the dysfunction of DNMT-1 in oral cancers, although some evidence strongly suggests this may be an important prognostic and diagnostic indicator for oral squamous cell carcinomas [34,35]. Even less information is available regarding DNMT-3 in oral cancers, although some evidence now suggests that microRNAs may be involved in their activation within some oral cancers, including miR-152 [36,37]. More is known about HDACs and their role in the development and progression of oral squamous cell carcinoma as well as their regulation in many types of cancer by microRNAs miR-21, miR-221, and miR-145, although the interactions and pathways that intersect with DNMT-1 or DNMT-3 expression remain unclear [38,39,40].
Based upon the paucity of information regarding DNMT1 and DNMT3 in oral cancers, this study sought to assess expression of DNMT-1 and DNMT-3 as well as HDAC1/2 among well-characterized oral cancer cells, including analysis of the microRNA expression of potential epigenetic regulators miR-21, miR-145, miR-152, and miR-221.
2. Materials and Methods
2.1. Cell Lines
Commercially available oral cancer cell lines were obtained from American Type Tissue Culture Collection (ATCC) (Manassas, VA, USA). These included oral squamous cell carcinoma lines (OSCC) SCC-4, SCC-9, SCC-15, SCC-25, and CAL-27 as well as the normal, non-cancerous human gingival fibroblast cell line HGF-1. Cells were thawed and cultured according to the manufacturer recommendations, which included Dulbecco’s modified eagle’s medium (DMEM) or DMEM:F12 supplemented with 10% bovine growth serum (FBS) and 1% antibiotic penicillin–streptomycin solution all obtained from Grand Island Biologic Company or Gibco (Brooklyn, New York, NY, USA). Cells were passed 1:3 at 70–80% confluence and maintained at 37 °C in a Biosafety Level Two (BSL-2) humidity incubator supplemented with 5% carbon dioxide.
2.2. Cell Culture
Specific culturing requirements and conditions were followed according to the manufacturer-recommended protocols and handling instructions, as previously described [41,42]. Handling requirements and other culture conditions were summarized, along with the short tandem repeat (STR) cell line verification analysis from the manufacturer, as follows:
| Cell line | Culture | Sex | Age | Cell type | STR analysis |
| HGF-1 (CRL-2014) | DMEM | Male | 28 | Fibroblast | 100% match |
| CAL-27 (CRL-2095) | DMEM | Male | 56 | OSCC | 93% |
| SCC-15 (CRL-1623) | DMEM:F12 | Male | 55 | OSCC | 95% |
| SCC-25 (CRL-1628) | DMEM:F12 | Male | 70 | OSCC | 100% |
| SCC-4 (CRL-1624) | DMEM:F12 | Male | 55 | OSCC | 95% |
| SCC-9 (CRL-1629) | DMEM:F12 | Male | 25 | OSCC | 100% |
2.3. RNA Isolation
Total RNA was isolated from each cell line following a minimum of five passages using the TRIzol reagent from Invitrogen (Waltham, MA, USA) and phenol–chloroform extraction protocol recommended by the supplier, as previously described [41,42]. Briefly, cells grown in six-well tissue culture dishes had media aspirated and 1000 uL of TRIzol reagent applied. Following cell lysis, the mixture was transferred to a microcentrifuge tube, and 200 uL of chloroform was added and incubated for ten minutes on ice. Samples were centrifuged in a refrigerated microcentrifuge from Eppendorf 5425-R (Hamburg, Germany) at 10,000× g relative centrifugal force (RCF) for ten minutes. The upper aqueous phase was removed, and the RNA precipitated using an equal volume of isopropanol. Samples were then centrifuged using the same settings, after which the isopropanol was removed, and the pellet was washed with ethanol. Following an additional centrifugation, the ethanol was removed, and the pellet was resuspended with nuclease-free water for storage and subsequent screening. Qualitative analysis was completed using a NanoDrop 2000 spectrophotometer and absorbance readings of A260 and A280 nm, as previously described [41,42].
2.4. cDNA Synthesis
Total RNA was converted into cDNA using the Verso One-Step reverse transcription–polymerase chain reaction (RT-PCR) kit from ThermoFisher Scientific (Fair Lawn, NJ, USA). Briefly, 2X One-Step ReddyMix (25 uL), nuclease-free water (20 uL), RT enhancer (2.5 uL), Verso Enzyme Mix (1.0 uL), Universal forward and reverse primers (1.0 uL each,) and sample (1.0 uL) were mixed and processed using an Eppendorf Mastercycler thermal cycler (Hamburg, Germany). Thermocycler settings included the manufacturer-recommended protocol of 50 °C for 30 min for cDNA synthesis, 95 °C enzyme deactivation for two minutes, and 40 cycles of 95 °C denaturation and 30 s of annealing at the appropriate primer pair specific temperature, followed by 60 s of extension at 72 °C. Qualitative analysis was completed using a NanoDrop 2000 spectrophotometer and absorbance readings of A260 and A280 nm, as described [41,42].
2.5. microRNA Amplification
Due to the potential for low and difficult-to-detect expression of microRNA targets, an additional reaction was performed using the TaqMan miR-Amp Reaction Mix from Applied Biosystems (Waltham, MA, USA). In brief, 2X miR-Amp Master Mix (25 uL), RNase-free water (20 uL), 20X Primer Mix (2.5 uL), and total RNA sample (2.5 uL) were mixed and processed using an Eppendorf Mastercycler thermal cycler (Hamburg, Germany). Settings included one cycle for five minutes at 95 °C to activate the enzyme, followed by 14 cycles at 95 °C for denaturation and 60 °C for annealing for 30 s, ending with the stop reaction for ten minutes at 99 °C.
2.6. qPCR Screening
Screening was performed using the SYBR Green PowerTrack qPCR Master Mix system from Fisher Scientific (Fair Lawn, NJ, USA). Each reaction consisted of 25 uL SYBR Green PowerTrack Master Mix, 7.5 uL nuclease-free water, 1.5 uL each of forward and reverse primers, and 2.0 uL of the experimental sample cDNA. Reactions were formed using the QuantStudio Real-Time Polymerase Chain Reaction (PCR) system from Applied Biosciences (Waltham, MA, USA) and the protocol recommended by the manufacturer. In brief, this involved an activation of enzyme activation for 15 min at 95 °C, a subsequent 40 cycles involving denaturation for 15 s at 95 °C, and primer pair-specific temperature annealing for 30 s, with a 30 s final extension at 72 °C. Cycle threshold (CT) was determined by the Applied Biosciences QuantStudio system using the delta-delta Ct method, as previously described [41,42,43]. Relative quantification (RQ) was performed by normalizing CT expression with the internal positive control (GAPDH with DNMT and HDAC; miR-16 for microRNAs) [41,42,43]. Validated primers were synthesized by Eurofins Scientific (Lancaster, PA, USA) as follows [41,42,43]:
| Positive Control |
| Glyceraldehyde 3-phosphate dehydrogenase (GAPDH) |
| GAPDH forward, 5′-ATC TTC CAG GAG CGA GAT CC-3′; Tm: 66 °C |
| GAPDH reverse, 5′-ACC ACT GAC ACG TTG GCA GT-3′; Tm: 70 °C |
| DNMT1 |
| DNMT1 forward, 5′-GGC TAC CTG GCT AAA GTC AAG TCC-3′; Tm: 69 °C |
| DNMT1 reverse, 5′-CAA AAA GGG TGT CAC TGT CCC GAC-3′; Tm: 70 °C |
| DNMT3A |
| DNMT3A forward, 5′-GAA GCG GAG TGA ACC CCA AC-3′; Tm: 69 °C |
| DNMT3A reverse, 5′-CCT TGG TCA CAC AGC AGC C-3′; Tm: 69 °C |
| DNMT3B |
| DNMT3B forward, 5′-GCC AGC CTC ACG ACA GGA AAC-3′; Tm: 71 °C |
| DNMT3B reverse, 5′-GAC TGG GGG TGA GGG AGC ATC-3′; Tm: 73 °C |
| HDAC1 |
| HDAC1 forward, 5′-GGT CCA AAT GCA GGC GAT TCC T-3′; Tm: 70 °C |
| HDAC1 reverse, 5′-TCG GAG AAC TCT TCC TCA CAG G-3′; Tm: 68 °C |
| HDAC2 |
| HDAC2 forward, 5′-CTC ATG CAC CTG GTG TCC AGA T-3′; Tm: 69 °C |
| HDAC2 reverse, 5′-GCT ATC CGC TTG TCT GAT GCT C-3′; Tm: 68 °C |
| miRNA primers |
| Positive control microRNA primer (miR16) |
| miR-16 forward, 5′-TAG CAG CAC GTA AAT ATT GGC G-3′; Tm: 65 °C |
| miR-16 reverse, 5′-TGC GTG TCG TGG AGT C-3′; Tm: 65 °C |
| miR-21 |
| miR-21 forward, 5′-GCC ACC ACA CCA GCT AAT TT-3′; Tm: 66 °C |
| miR-21 reverse, 5′-CTG AAG TCG CCA TGC AGA TA-3′; Tm: 65 °C |
| miR-145 |
| miR-145 forward, 5′-AGA GAA CTC CAG CTG-3′; Tm: 56 °C |
| miR-145 reverse, 5′-GGC AAC TGT GGG GTG-3′; Tm: 64 °C |
| miR-152 |
| miR-152 forward, 5′-GGT TCA AGA CAG TAC GTG ACT-3′; Tm: 64 °C |
| miR-152 reverse, 5′-CCA AGT TCT GTA TGC ACT GA-3′; Tm: 62 °C |
| miR-221 |
| miR-221 reverse, 5′-TGT GAG ACC ATT TGG GTG AA-3′; Tm: 64 °C |
| miR-222 forward, 5′-CGC AGC TAC ATC TGG CTA CTG-3′; Tm: 68 °C |
2.7. Statistical Analysis
All experimental assays (growth) were performed in triplicate for each time point, and data were imported into Microsoft Excel, Office 365 version (Redmond, WA, USA) for analysis. Data from all three experiments were summarized and averaged, with standard deviation (STD) reported and graphed. In addition, screening of RNA (isolated at multiple time points) using qPCR was also performed in triplicate, with data from the experimental targets averaged and normalized to the positive controls (DNMT1, DNMT3a, DNMT3b, HDAC1, and HDAC2 with GAPDH; miR-21, miR-145, miR-152, and miR-221 with miR-16), with STD reported and graphed. Statistical significance for parametric data was determined using two-tailed Student’s t-test and verified using single-factor analysis of variance (ANOVA) and statistical significance levels of 0.05.
3. Results
Each of the experimental cell lines was placed into culture to evaluate the relative growth during a three-day growth assay (Figure 1). These data demonstrated that normal gingival fibroblasts (HGF-1) growth over three days ranged between 11.7% and 17.2%. In addition, all of the oral cancer cell lines grew between 14.0% (SCC15) and 19.9% (CAL27) over 24 h (day 1), which were all significantly different compared to baseline (day 0), p < 0.05. Growth observed at 48 h (day 2) ranged between 29.9% (SCC4) and 46.2% (CAL27), which was also significantly different from baseline as well as day 1, p < 0.05. Finally, growth observed at 72 h (day 3) ranged between 42.8% (SCC4) and 69.2% (SCC25), which was also statistically significant, p < 0.05.
Figure 1.
Relative growth of experimental cell lines over three days. Normal gingival fibroblasts (HGF-1) growth ranged between 11.7% and 17.2% over three days. Oral cancer cell lines grew between 14.0% (SCC15) and 19.9% (CAL27) over 24 h (day 1), between 29.9% (SCC4) and 46.2% (CAL27) over 48 h (day 2), and between 42.8% (SCC4) and 69.2% (SCC25) over 72 h (day 3), which were all statistically significant, p < 0.05.
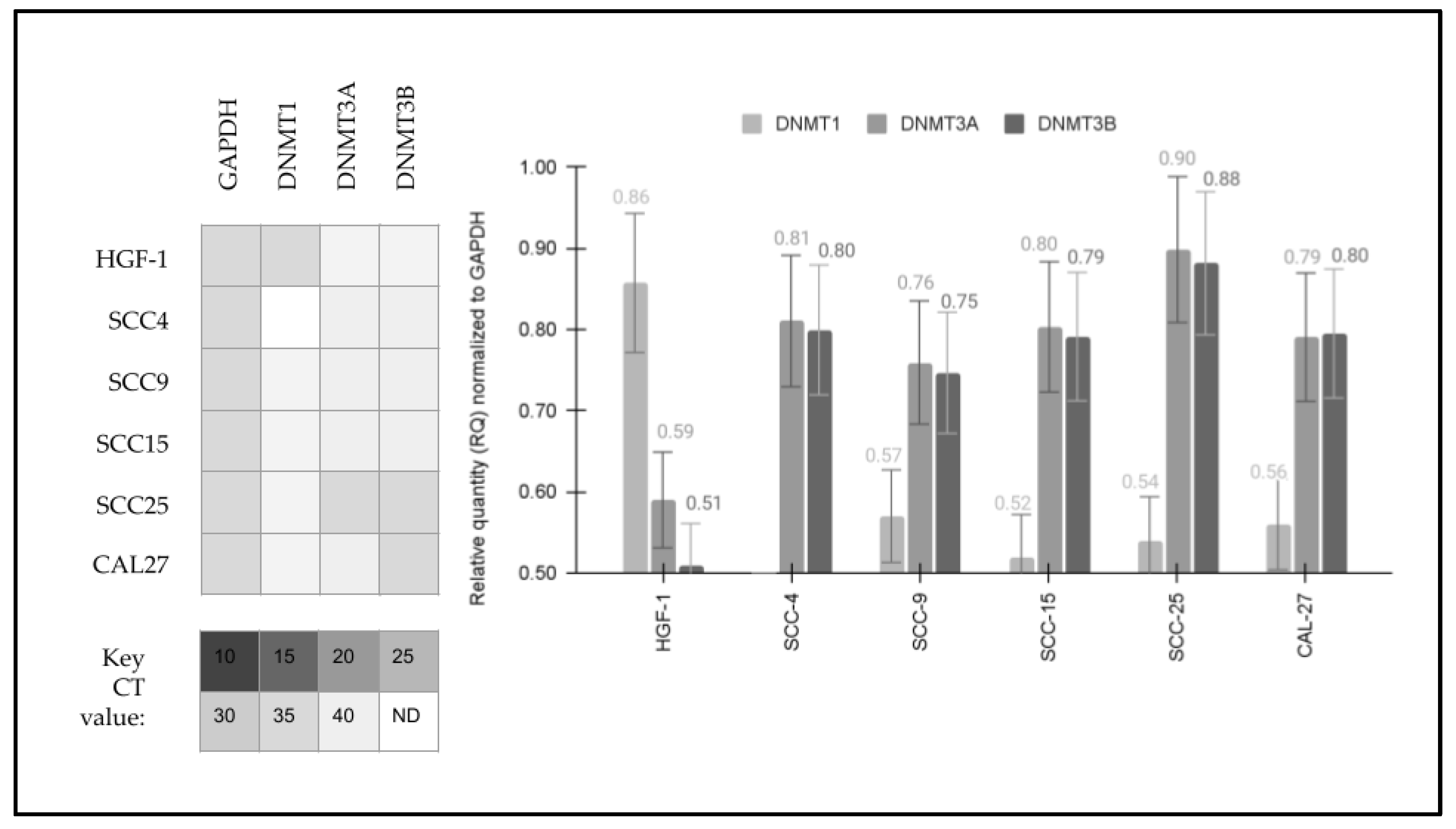
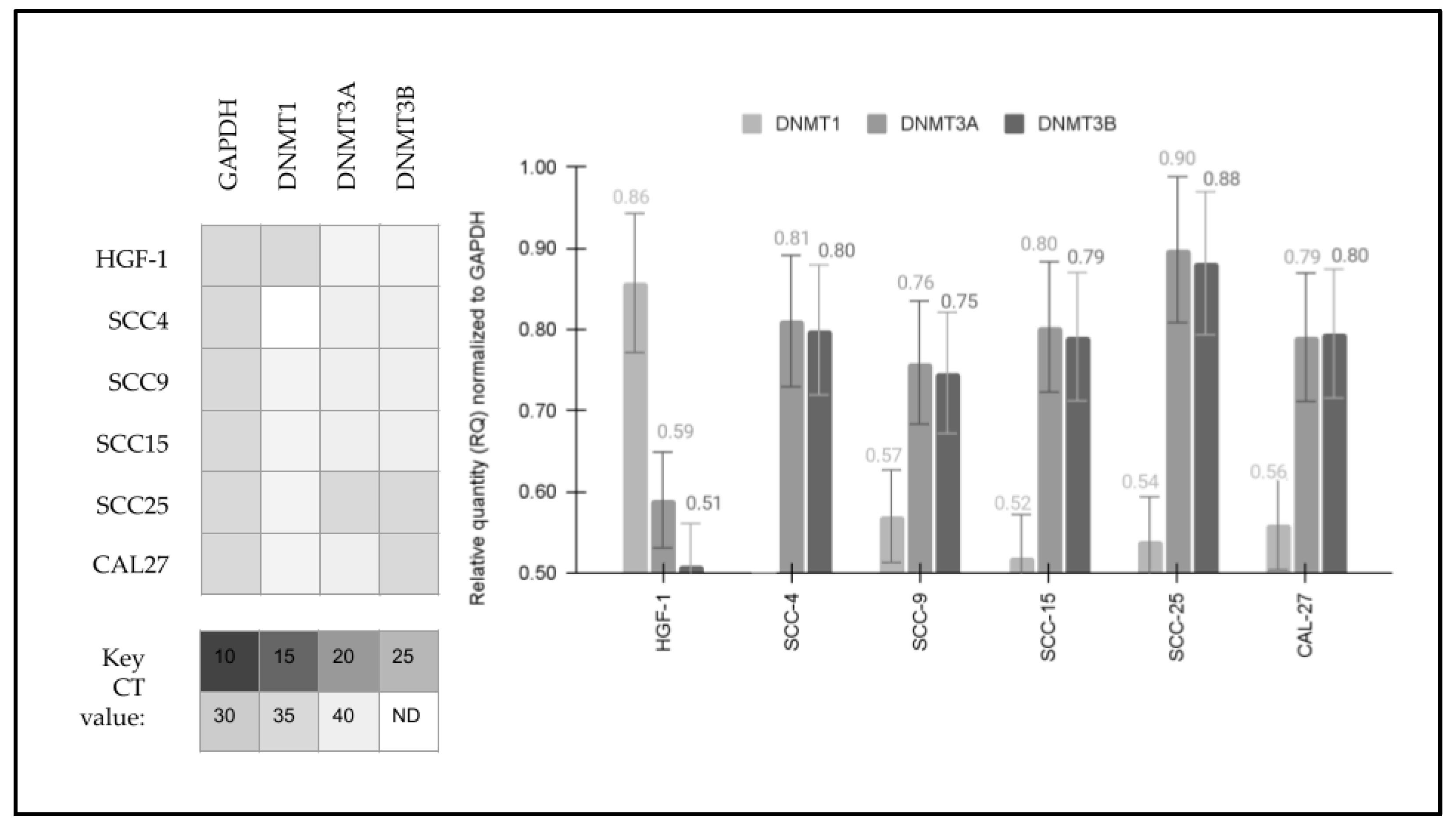
Each of the cell lines was subsequently screened for the expression of DNMT family members (Figure 2). These data demonstrated that the normal, non-cancerous HGF-1 cell line expressed DNMT1 at levels relatively consistent with expression levels of GAPDH (RQ = 0.86). However, expression of DNMT3A (RQ = 0.59) and DNMT3B (RQ = 0.51) was significantly lower than GAPDH within this cell line. In contrast, oral cancer cell lines exhibited reduced expression of DNMT1 ranging between RQ = 0.52 (SCC15) and RQ = 0.57 (SCC9) with the noted exception of SCC4, which did not express DNMT1. Expression of DNMT3A was relatively consistent between RQ = 0.76 (SCC9) and RQ = 0.90 (SCC25), as was the expression of DNMT3B that ranged between RQ = 0.75 (SCC9) and RQ = 0.88 (SCC25).
Figure 2.
Expression of DNMT family members among experimental cell lines. The normal HGF-1 cell line expressed DNMT1 with expression levels consistent with GAPDH (RQ = 0.86) but exhibited reduced expression of DNMT3A (RQ = 0.59) and DNMT3B (RQ = 0.51). Oral cancer cell lines exhibited reduced expression of DNMT1 between RQ = 0.52 (SCC15) and RQ = 0.57 (SCC9) with the noted exception of SCC4, which did not express DNMT1. DNMT3A expression ranged between RQ = 0.76 (SCC9) and RQ = 0.90 (SCC25), with DNMT3B expression ranging between RQ = 0.75 (SCC9) and RQ = 0.88 (SCC25). CT = cycle threshold; RQ = relative quantification.
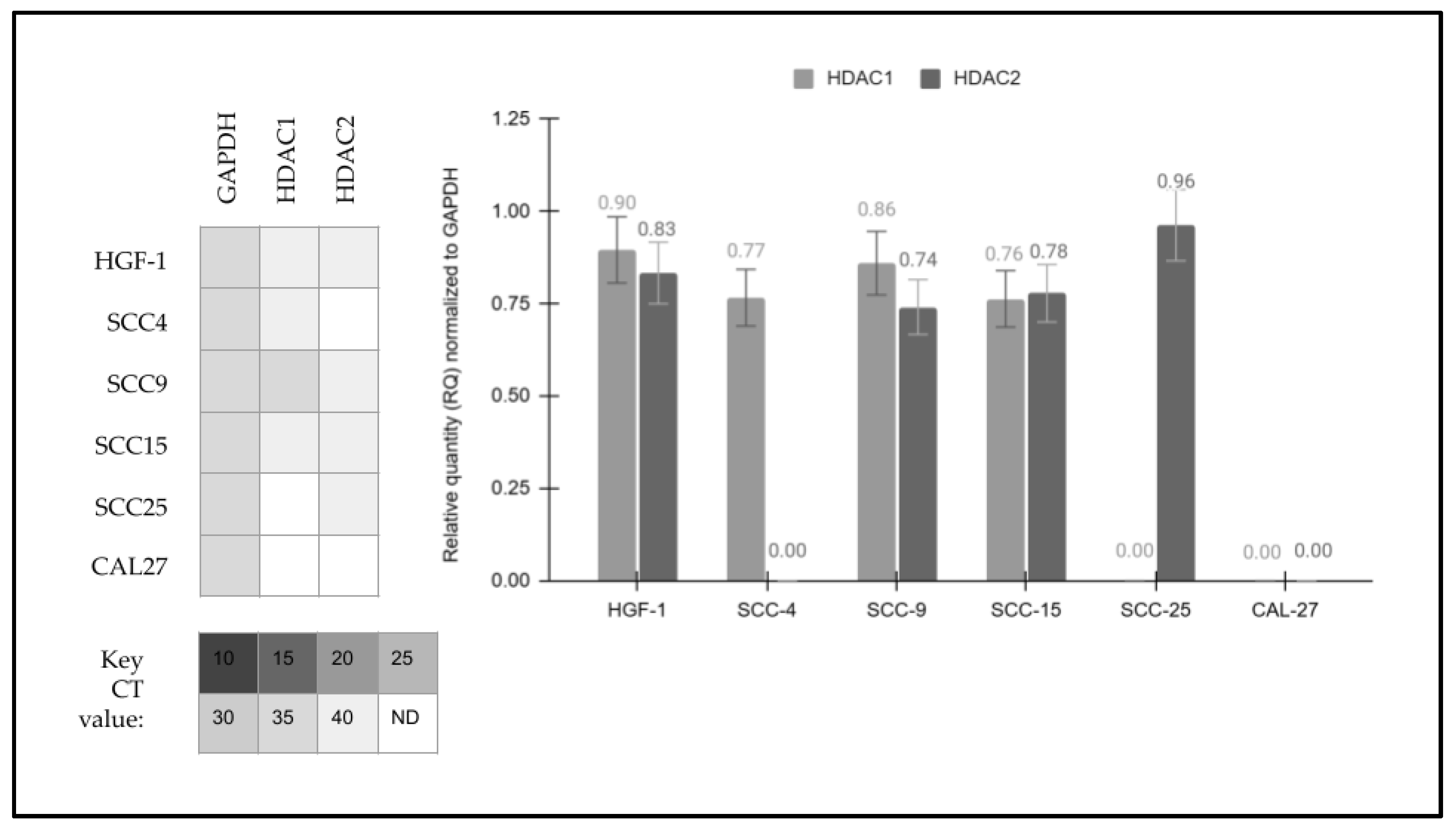
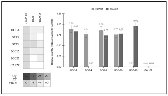
Expression of HDAC was also evaluated among all experimental cell lines (Figure 3). This screening and analysis revealed differential expression of HDAC1 and HDAC2 among the various experimental cell lines. For example, HDAC1 was expressed among most cell lines at relatively consistent levels (HGF-1, RQ = 0.90; SCC4, RQ = 0.77; SCC9, RQ = 0.86; and SCC15, RQ = 0.76) but was not expressed among SCC25 or CAL27 cells. Expression of HDAC2 was also found to be relatively consistent among most cell lines (HGF-1, RQ = 0.83; SCC9, RQ = 0.74; SCC15, RQ = 0.78; and SCC25, RQ = 0.96) but was not expressed among SCC4 or CAL27 cells. Expression of both HDAC1 and HDAC2 was found among the normal HGF-1 cell line in addition to the oral cancer cell lines SCC9 and SCC15. However, differential expression was observed among SCC4 (HDAC1 only), SCC25 (HDAC2 only), and CAL27 (no HDAC1 or HDAC2 expression).
Figure 3.
Expression of HDAC among experimental cell lines. HDAC1 was expressed at relatively consistent levels among HGF-1, RQ = 0.90; SCC4, RQ = 0.77; SCC9, RQ = 0.86; and SCC15, RQ = 0.76, but it was not expressed among SCC25 or CAL27 cells. HDAC2 was expressed among HGF-1, RQ = 0.83; SCC9, RQ = 0.74; SCC15, RQ = 0.78; and SCC25, RQ = 0.96, but it was not expressed among SCC4 or CAL27 cells. Expression of both HDAC1 and HDAC2 was observed among the HGF-1, SCC9, and SCC15 cells. Differential expression was observed among SCC4 (HDAC1 only), SCC25 (HDAC2 only), and CAL27 (no HDAC1 or HDAC2 expression) cells. CT = cycle threshold; RQ = relative quantification.
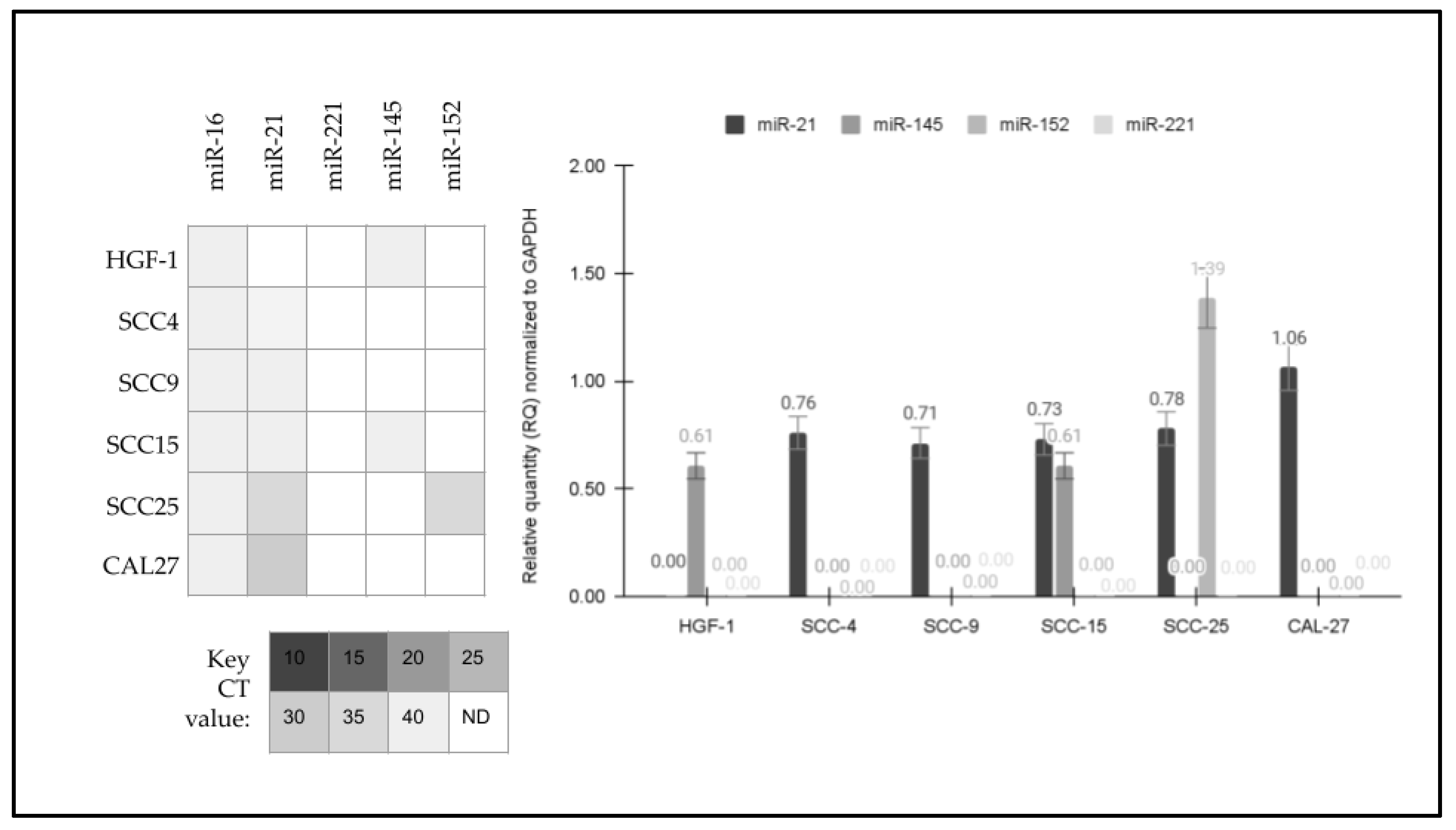
Expression of selected microRNAs among each of these cell lines was also examined, including the DNMT-associated miR-152 and HDAC-associated miR-21, miR-145, and miR-221 (Figure 4). This screening demonstrated that all experimental cell lines produced the positive control microRNA miR-16. In addition, each of the oral cancer cell lines expressed miR-21 at levels consistent with miR-16 (SCC4, RQ = 0.76, SCC9, RQ = 0.71; SCC15, RQ = 0.72; SCC25, RQ = 0.78; and CAL27, RQ = 1.06). However, differential expression was observed with miR-145, which was expressed only among the normal cell line, HGF-1 (RQ = 0.61), and the SCC15 cell line (RQ = 0.61). In addition, miR-152 was also differentially expressed, with results observed only within the SCC25 cell line. Finally, no cell lines were found to express miR-221.
Figure 4.
Screening for expression of selected microRNAs (miR-21, miR-145, miR-152, and miR-221). All cell lines expressed the positive control microRNA miR-16. In addition, all oral cancer cell lines expressed miR-21 (SCC4, RQ = 0.76; SCC9, RQ = 0.71; SCC15, RQ = 0.72; SCC25, RQ = 0.78; and CAL27, RQ = 1.06) but not HGF-1 cells. Differential expression was observed with miR-145, which was expressed only among the normal cell line, HGF-1 (RQ = 0.61), and the SCC15 cell line (RQ = 0.61). Similarly, miR-152 was differentially expressed within the SCC25 cell line but no other cell lines. Finally, no cell lines were found to express miR-221. CT = cycle threshold; RQ = relative quantification.
The data from this study can be used to complete a more thorough understanding of DNMT1, DNMT3A, DNMT3B, HDAC1, and HDAC2 mRNA expression (Figure 5). More specifically, this study provides information to complete the gaps in the understanding of DNMT1 expression for SCC4, SCC9, SCC25, and CAL27 cells, demonstrating relatively reduced levels of expression compared to GAPDH and the normal, non-cancerous controls. In addition, these data also complete missing gaps in knowledge regarding DNMT3A expression, which was demonstrated in this study to be upregulated among SCC4, SCC9, SCC25, and CAL27 cells compared with expression within the normal HGF-1 cell line, and also, DNMT3B was highly expressed among SCC9 cells. These data also provide novel information regarding upstream microRNA regulators that have been demonstrated to modulate DNMT expression, such as miR-154, which was not expressed in any cells except SCC25. This study also confirmed upstream HDAC target regulators including miR-21 expression in all oral cancer cell lines and miR-145 expression in SCC15 cells but also confirmed the lack of miR-145 expression previously observed in the other oral cancer cell lines as well as the lack of miR-221 expression among any of the cell lines evaluated.
Figure 5.
Assessment of DNMT, HDAC, and microRNA knowledge gaps. Data from this study filled knowledge gaps, including information regarding DNMT1 and DNMT3A expression in SCC4, SCC9, SCC25, and CAL27 cells as well as DNMT3B expression in SCC9 cells. Novel expression data for the upstream microRNA target regulator miR-154 for DNMT was observed in SCC25 cells, with lack of expression among other cell lines. Novel data regarding the lack of expression of the HDAC regulator microRNA miR-221 was also observed. Key: Up and down arrows indicate novel data regarding relative expression compared to normal HGF-1 cells; ***** indicates novel data regarding lack of expression observed.
4. Discussion
The overall objective of this project was to evaluate the expression of DNMT and HDAC family members among oral cancers, with an additional goal to determine if specific DNMT- and HDAC-associated microRNAs were also expressed. These results demonstrated that the tissue-differentiation-associated and homeostatic DNMT1 was expressed in normal oral cells, with relatively lower levels or entirely missing expression among most of the oral cancer cell lines evaluated in this study. These results confirm observations of other recent studies that demonstrate this type of downregulation among oral cancers and other cell lines as well as the effects of DNMT1 suppression and inhibition, which may be more widespread among oral squamous cell carcinomas and head and neck cancers than previously known [34,44,45].
Moreover, this study is among the first to describe and delineate the upregulation of DNMT-3A and DNMT-3B among these oral cancer cell lines, although this type of enhanced expression has been observed in other studies of oral cancer explants and tumor biopsies [35,46,47]. These data also support other observations of DNMT-3A/B dysregulation in other oral pathologies, such as oral leukoplakias and salivary gland neoplasms, that have similar underlying risk factors as oral cancers, including heavy smoking and alcohol consumption [48,49,50]. Although some other research evaluating DNMT expression has utilized well-characterized oral cancer cell lines such as SCC15 or SCC25 this may be the first study to encompass multiple additional oral squamous cell carcinomas, such as SCC9, SCC9, and CAL27 [51,52].
As newer hypomethylating agents, for example, azacitidine (Vidaza) and decitabine (Dacogen), which are approved for the treatment of myeloid leukemia, may be evaluated for their effectiveness in treating other types of cancer with this type of characteristic DNMT dysregulation, this study may provide an important model for evaluating the range of oral cancer cell types that are responsive to these types of treatments [53,54]. For example, azacitidine has been recently evaluated in vitro for potential effectiveness using only CAL27 cells, while one additional pilot study regarding potential effectiveness in oral cancers used primary tumor explants without cell line treatments for comparison [55,56]. Similarly, decitabine was evaluated in a pilot study using only SCC25 cells to determine chemosensitivity responses, although more robust studies regarding the efficacy of this treatment in myeloid leukemia are available [57,58,59,60,61,62]. This research provides a model and template for these types of initial treatment evaluations, which could be expanded to cover the full range of commercially available oral cancer cell lines, and provides some pathway-specific information that could help contextualize any differential responses.
In addition, these data also provide analysis of more epigenetic dysregulation and dysfunction among HDACs among these oral cancer cell lines, which confirms other reports of CAL27, SCC25, and SCC4 dysregulation [63,64,65]. However, this study also expands the range of oral cancer cell lines evaluated to encompass HDAC analysis among normal non-cancerous HGF-1 cells and also additional oral cancers such as SCC9 and SCC15. These types of comparative studies have been an increasingly important component of designing treatments and fostering evidence-based decision making, as more information regarding these types of dysregulation among well-characterized cells can lead to more accurate understanding, prognosis, and potential treatment options for the increasing number of therapies involving HDAC inhibitors that have reached clinical trials and clinical drug approval in recent years [38,39,40].
This study also provides evidence that only one of the oral cancer cell lines (SCC25) expressed miR-152, which has been previously associated with DNMT-3 dysregulation in cancers [36,37]. Previous findings from this group also confirmed the differential expression of miR-152 among these cell lines but revealed another association between DNMT-3 expression and miR-720 within all of the cell lines evaluated [41,42,43]. These data combined may suggest that further research may be needed to determine the mechanisms that might be associated with lack of miR-152 expression and DNMT-3 expression found in the current study as well as the potential role that miR-720 may play in DNMT-3 dysregulation among these oral cancers.
Finally, this study also evaluated miR-21, miR-145, and miR-221 expression, which has been strongly associated with HDAC dysregulation among oral cancers [38,39,40]. This study not only confirms other reports from this group regarding the expression of miR-21 among all the oral cancer cell lines evaluated but also the absence of miR-221 expression within these same cell lines, which adds more complexity to the understanding that differential expression of both HDAC1 and HDAC2 were also observed that does not strictly correlate with these specific miR-21 or miR-221 expression profiles [41,42]. Moreover, the expression of miR-145 only among SCC15 cells confirms previous reports of this phenomenon but also suggests that other microRNAs and mechanisms of epigenetic regulation may play significant roles in the expression of HDACs among oral cancers [38,39,40,41,42].
Despite the significance of these findings, there are some limitations associated with this study that should also be considered. For instance, this study utilized well-characterized oral cancer cell lines available within the United States (U.S.). Additional commercial cell lines (outside the U.S.) that were not available to the study authors should also be evaluated to determine if the same expression patterns among DNMT1, DNMT3A, DNMT3B, HDAC1, and HDAC2 can be observed. In addition, although no clinical samples were available for use in this study, future research involving tumor samples and oral biopsies could be analyzed for comparison with the observations made in this study to determine if any other relevant expression patterns may be uncovered. Finally, as more microRNA targets are identified in future studies, it may be necessary to evaluate additional microRNAs that might be more directly related to DNMT or HDAC expression (or inhibition) in oral cancers to explain the phenomenon observed in this (and other) recent studies.
5. Conclusions
The data from this study demonstrated new information regarding potential differences in DNMT, HDAC, and microRNA expression between normal, non-cancerous cells such as HGF-1 and multiple oral cancer cell lines, including SCC4, SCC9, SCC15, SCC25, and CAL27. In addition, the results from this study revealed that some upstream mechanisms of microRNA control related to DNMT and HDAC expression, including miR-21, miR-145 miR-52, and miR-221, were not correlated with expression of these downstream targets among oral cancers, suggesting alternative epigenetic pathways and mechanisms of DNMT and HDAC regulation may be responsible for the observations. Further research into these pathways is needed to determine the mechanisms that may be responsible for these observations.
Author Contributions
Conceptualization, K.K.; methodology, K.K.; formal analysis, K.K. and T.H.; investigation, T.H.; resources, K.K.; data curation, K.K. and T.H.; writing—original draft preparation, K.K. and T.H.; writing—review and editing, K.K. and T.H. All authors have read and agreed to the published version of the manuscript.
Funding
This research received no external funding.
Institutional Review Board Statement
Not applicable—this study does not involve humans or animals.
Informed Consent Statement
Not applicable.
Data Availability Statement
The data presented in this study are presented in full, and any primary data are available upon request from the corresponding author.
Acknowledgments
The authors would like to acknowledge the presentation of preliminary data from this project by T.H. at the American Association for Dental Oral and Craniofacial Research (AADOCR) annual conference. The authors would also like to thank the Department of Advanced Education in Pediatric Dentistry for their assistance with this project.
Conflicts of Interest
The authors declare no conflicts of interest.
References
- Chen, C.; Wang, Z.; Ding, Y.; Wang, L.; Wang, S.; Wang, H.; Qin, Y. DNA Methylation: From Cancer Biology to Clinical Perspectives. Front. Biosci. (Landmark Ed.) 2022, 27, 326. [Google Scholar] [CrossRef]
- Lyko, F. The DNA methyltransferase family: A versatile toolkit for epigenetic regulation. Nat. Rev. Genet. 2018, 19, 81–92. [Google Scholar] [CrossRef] [PubMed]
- Hillyar, C.; Rallis, K.S.; Varghese, J. Advances in Epigenetic Cancer Therapeutics. Cureus 2020, 12, e11725. [Google Scholar] [CrossRef] [PubMed]
- Morgan, A.E.; Davies, T.J.; Mc Auley, M.T. The role of DNA methylation in ageing and cancer. Proc. Nutr. Soc. 2018, 77, 412–422. [Google Scholar] [CrossRef]
- Lee, A.V.; Nestler, K.A.; Chiappinelli, K.B. Therapeutic targeting of DNA methylation alterations in cancer. Pharmacol. Ther. 2024, 258, 108640. [Google Scholar] [CrossRef]
- Pan, Y.; Liu, G.; Zhou, F.; Su, B.; Li, Y. DNA methylation profiles in cancer diagnosis and therapeutics. Clin. Exp. Med. 2018, 18, 1–14. [Google Scholar] [CrossRef]
- Castillo-Aguilera, O.; Depreux, P.; Halby, L.; Arimondo, P.B.; Goossens, L. DNA Methylation Targeting: The DNMT/HMT Crosstalk Challenge. Biomolecules 2017, 7, 3. [Google Scholar] [CrossRef] [PubMed]
- Zhang, J.; Yang, C.; Wu, C.; Cui, W.; Wang, L. DNA Methyltransferases in Cancer: Biology, Paradox, Aberrations, and Targeted Therapy. Cancers 2020, 12, 2123. [Google Scholar] [CrossRef]
- Ren, Y. Regulatory mechanism and biological function of UHRF1-DNMT1-mediated DNA methylation. Funct. Integr. Genom. 2022, 22, 1113–1126. [Google Scholar] [CrossRef]
- Mohan, K.N. DNMT1: Catalytic and non-catalytic roles in different biological processes. Epigenomics 2022, 14, 629–643. [Google Scholar] [CrossRef] [PubMed]
- Velcheti, V.; Schrump, D.; Saunthararajah, Y. Ultimate Precision: Targeting Cancer but Not Normal Self-replication. Am. Soc. Clin. Oncol. Educ. Book. 2018, 38, 950–963. [Google Scholar] [CrossRef]
- Kanai, Y. Molecular pathological approach to cancer epigenomics and its clinical application. Pathol. Int. 2024, 74, 167–186. [Google Scholar] [CrossRef] [PubMed]
- Enane, F.O.; Saunthararajah, Y.; Korc, M. Differentiation therapy and the mechanisms that terminate cancer cell proliferation without harming normal cells. Cell Death Dis. 2018, 9, 912. [Google Scholar] [CrossRef]
- Kaur, J.; Daoud, A.; Eblen, S.T. Targeting Chromatin Remodeling for Cancer Therapy. Curr. Mol. Pharmacol. 2019, 12, 215–229. [Google Scholar] [CrossRef] [PubMed]
- Singh, V.; Sharma, P.; Capalash, N. DNA methyltransferase-1 inhibitors as epigenetic therapy for cancer. Curr. Cancer Drug Targets 2013, 13, 379–399. [Google Scholar] [CrossRef]
- Yadav, P.; Bandyopadhayaya, S.; Ford, B.M.; Mandal, C. Interplay between DNA Methyltransferase 1 and microRNAs During Tumorigenesis. Curr. Drug Targets 2021, 22, 1129–1148. [Google Scholar] [CrossRef]
- Chédin, F. The DNMT3 family of mammalian de novo DNA methyltransferases. Prog. Mol. Biol. Transl. Sci. 2011, 101, 255–285. [Google Scholar] [CrossRef]
- Del Castillo Falconi, V.M.; Torres-Arciga, K.; Matus-Ortega, G.; Díaz-Chávez, J.; Herrera, L.A. DNA Methyltransferases: From Evolution to Clinical Applications. Int. J. Mol. Sci. 2022, 23, 8994. [Google Scholar] [CrossRef]
- Jeltsch, A.; Jurkowska, R.Z. New concepts in DNA methylation. Trends Biochem. Sci. 2014, 39, 310–318. [Google Scholar] [CrossRef]
- Saravanaraman, P.; Selvam, M.; Ashok, C.; Srijyothi, L.; Baluchamy, S. De novo methyltransferases: Potential players in diseases and new directions for targeted therapy. Biochimie 2020, 176, 85–102. [Google Scholar] [CrossRef] [PubMed]
- Leppert, S.; Matarazzo, M.R. De novo DNMTs and DNA methylation: Novel insights into disease pathogenesis and therapy from epigenomics. Curr. Pharm. Des. 2014, 20, 1812–1818. [Google Scholar] [CrossRef]
- Jin, B.; Robertson, K.D. DNA methyltransferases, DNA damage repair, and cancer. Adv. Exp. Med. Biol. 2013, 754, 3–29. [Google Scholar] [CrossRef] [PubMed]
- Gutiérrez, J.R.; Salgado, A.R.M.; Arias, M.Á.; San-Juan-Vergara, H.; Rada, W.R.; Gómez, C.M.M. Epigenetic Modulators as Treatment Alternative to Diverse Types of Cancer. Curr. Med. Chem. 2022, 29, 1503–1542. [Google Scholar] [CrossRef]
- Akone, S.H.; Ntie-Kang, F.; Stuhldreier, F.; Ewonkem, M.B.; Noah, A.M.; Mouelle, S.E.M.; Müller, R. Natural Products Impacting DNA Methyltransferases and Histone Deacetylases. Front. Pharmacol. 2020, 11, 992. [Google Scholar] [CrossRef] [PubMed]
- Li, Y.; Seto, E. HDACs and HDAC Inhibitors in Cancer Development and Therapy. Cold Spring Harb. Perspect. Med. 2016, 6, a026831. [Google Scholar] [CrossRef]
- Ramaiah, M.J.; Tangutur, A.D.; Manyam, R.R. Epigenetic modulation and understanding of HDAC inhibitors in cancer therapy. Life Sci. 2021, 277, 119504. [Google Scholar] [CrossRef] [PubMed]
- McClure, J.J.; Li, X.; Chou, C.J. Advances and Challenges of HDAC Inhibitors in Cancer Therapeutics. Adv. Cancer Res. 2018, 138, 183–211. [Google Scholar] [CrossRef] [PubMed]
- Cheng, B.; Pan, W.; Xiao, Y.; Ding, Z.; Zhou, Y.; Fei, X.; Liu, J.; Su, Z.; Peng, X.; Chen, J. HDAC-targeting epigenetic modulators for cancer immunotherapy. Eur. J. Med. Chem. 2024, 265, 116129. [Google Scholar] [CrossRef] [PubMed]
- Yoon, S.; Eom, G.H. HDAC and HDAC Inhibitor: From Cancer to Cardiovascular Diseases. Chonnam. Med. J. 2016, 52, 1–11. [Google Scholar] [CrossRef]
- Tasneem, S.; Alam, M.M.; Amir, M.; Akhter, M.; Parvez, S.; Verma, G.; Nainwal, L.M.; Equbal, A.; Anwer, T.; Shaquiquzzaman, M. Heterocyclic Moieties as HDAC Inhibitors: Role in Cancer Therapeutics. Mini Rev. Med. Chem. 2022, 22, 1648–1706. [Google Scholar] [CrossRef]
- Mesgari, H.; Esmaelian, S.; Nasiri, K.; Ghasemzadeh, S.; Doroudgar, P.; Payandeh, Z. Epigenetic Regulation in Oral Squamous Cell Carcinoma Microenvironment: A Comprehensive Review. Cancers 2023, 15, 5600. [Google Scholar] [CrossRef]
- Emfietzoglou, R.; Pachymanolis, E.; Piperi, C. Impact of Epigenetic Alterations in the Development of Oral Diseases. Curr. Med. Chem. 2021, 28, 1091–1103. [Google Scholar] [CrossRef]
- Hema, K.N.; Smitha, T.; Sheethal, H.S.; Mirnalini, S.A. Epigenetics in oral squamous cell carcinoma. J. Oral. Maxillofac. Pathol. 2017, 21, 252–259. [Google Scholar] [CrossRef] [PubMed]
- Cui, J.; Zheng, L.; Zhang, Y.; Xue, M. Bioinformatics analysis of DNMT1 expression and its role in head and neck squamous cell carcinoma prognosis. Sci. Rep. 2021, 11, 2267. [Google Scholar] [CrossRef] [PubMed]
- Supic, G.; Kozomara, R.; Zeljic, K.; Jovic, N.; Magic, Z. Prognostic value of the DNMTs mRNA expression and genetic polymorphisms on the clinical outcome in oral cancer patients. Clin. Oral. Investig. 2017, 21, 173–182. [Google Scholar] [CrossRef] [PubMed]
- Flausino, C.S.; Daniel, F.I.; Modolo, F. DNA methylation in oral squamous cell carcinoma: From its role in carcinogenesis to potential inhibitor drugs. Crit. Rev. Oncol. Hematol. 2021, 164, 103399. [Google Scholar] [CrossRef]
- Shiah, S.G.; Hsiao, J.R.; Chang, H.J.; Hsu, Y.M.; Wu, G.H.; Peng, H.Y.; Chou, S.T.; Kuo, C.C.; Chang, J.Y. MiR-30a and miR-379 modulate retinoic acid pathway by targeting DNA methyltransferase 3B in oral cancer. J. Biomed. Sci. 2020, 27, 46. [Google Scholar] [CrossRef]
- Iglesias-Linares, A.; Yañez-Vico, R.M.; González-Moles, M.A. Potential role of HDAC inhibitors in cancer therapy: Insights into oral squamous cell carcinoma. Oral. Oncol. 2010, 46, 323–329. [Google Scholar] [CrossRef]
- Sajnani, A.K.; Shah, S.G.; Rashid, M.; Natu, A.; Gera, P.B.; Gupta, S. In-Silico Analysis of Chromatin Modifiers and Profiling of Histone Deacetylases (HDAC’s) in Human Oral Cancer. Chonnam. Med. J. 2021, 57, 176–184. [Google Scholar] [CrossRef]
- Goutas, D.; Theocharis, S.; Tsourouflis, G. Unraveling the Epigenetic Role and Clinical Impact of Histone Deacetylases in Neoplasia. Diagnostics 2021, 11, 1346. [Google Scholar] [CrossRef] [PubMed]
- Belnap, C.; Divis, T.; Kingsley, K.; Howard, K.M. Differential Expression of MicroRNA MiR-145 and MiR-155 Downstream Targets in Oral Cancers Exhibiting Limited Chemotherapy Resistance. Int. J. Mol. Sci. 2024, 25, 2167. [Google Scholar] [CrossRef]
- Huni, K.C.; Cheung, J.; Sullivan, M.; Robison, W.T.; Howard, K.M.; Kingsley, K. Chemotherapeutic Drug Resistance Associated with Differential miRNA Expression of miR-375 and miR-27 among Oral Cancer Cell Lines. Int. J. Mol. Sci. 2023, 24, 1244. [Google Scholar] [CrossRef] [PubMed]
- Graves, A.; Sandhu, S.; Kingsley, K. Expression of miR-720 is correlated with DNMT3 in Oral squamous cell carcinomas. ExRNA 2020, 2, 13. [Google Scholar] [CrossRef]
- Liu, Y.; Sun, Y.; Yang, J.; Wu, D.; Yu, S.; Liu, J.; Hu, T.; Luo, J.; Zhou, H. DNMT1-targeting remodeling global DNA hypomethylation for enhanced tumor suppression and circumvented toxicity in oral squamous cell carcinoma. Mol. Cancer 2024, 23, 104. [Google Scholar] [CrossRef]
- Yang, S.C.; Wang, W.Y.; Zhou, J.J.; Wu, L.; Zhang, M.J.; Yang, Q.C.; Deng, W.W.; Sun, Z.J. Inhibition of DNMT1 potentiates antitumor immunity in oral squamous cell carcinoma. Int. Immunopharmacol. 2022, 111, 109113. [Google Scholar] [CrossRef]
- Adhikari, B.R.; Uehara, O.; Matsuoka, H.; Takai, R.; Harada, F.; Utsunomiya, M.; Chujo, T.; Morikawa, T.; Shakya, M.; Yoshida, K.; et al. Immunohistochemical evaluation of Klotho and DNA methyltransferase 3a in oral squamous cell carcinomas. Med. Mol. Morphol. 2017, 50, 155–160. [Google Scholar] [CrossRef]
- Daniel, F.I.; Alves, S.R.; Vieira, D.S.; Biz, M.T.; Daniel, I.W.; Modolo, F. Immunohistochemical expression of DNA methyltransferases 1, 3a, and 3b in actinic cheilitis and lip squamous cell carcinomas. J. Oral. Pathol. Med. 2016, 45, 774–779. [Google Scholar] [CrossRef] [PubMed]
- Daniel, F.I.; Rivero, E.R.; Modolo, F.; Lopes, T.G.; Salum, F.G. Immunohistochemical expression of DNA methyltransferases 1, 3a and 3b in oral leukoplakias and squamous cell carcinomas. Arch. Oral. Biol. 2010, 55, 1024–1030. [Google Scholar] [CrossRef]
- Cavaliéri Gomes, C.; da Silveira e Oliveira, C.; Santos Pimenta, L.G.; De Marco, L.; Santiago Gomez, R. Immunolocalization of DNMT1 and DNMT3a in salivary gland neoplasms. Pathobiology 2009, 76, 136–140. [Google Scholar] [CrossRef]
- Daniel, F.I.; Cherubini, K.; Yurgel, L.S.; de Figueiredo, M.A.; Salum, F.G. The role of epigenetic transcription repression and DNA methyltransferases in cancer. Cancer 2011, 117, 677–687. [Google Scholar] [CrossRef]
- Teh, M.T.; Gemenetzidis, E.; Patel, D.; Tariq, R.; Nadir, A.; Bahta, A.W.; Waseem, A.; Hutchison, I.L. FOXM1 induces a global methylation signature that mimics the cancer epigenome in head and neck squamous cell carcinoma. PLoS ONE 2012, 7, e34329. [Google Scholar] [CrossRef]
- Chen, W.C.; Chen, M.F.; Lin, P.Y. Significance of DNMT3b in oral cancer. PLoS ONE 2014, 9, e89956. [Google Scholar] [CrossRef] [PubMed]
- Kayser, S.; Levis, M.J. Updates on targeted therapies for acute myeloid leukaemia. Br. J. Haematol. 2022, 196, 316–328. [Google Scholar] [CrossRef]
- Garcia-Manero, G.; Döhner, H.; Wei, A.H.; La Torre, I.; Skikne, B.; Beach, C.L.; Santini, V. Oral. Azacitidine (CC-486) for the Treatment of Myeloid Malignancies. Clin. Lymphoma Myeloma Leuk. 2022, 22, 236–250. [Google Scholar] [CrossRef]
- Hodjat, M.; Jourshari, P.B.; Amirinia, F.; Asadi, N. 5-Azacitidine and Trichostatin A induce DNA damage and apoptotic responses in tongue squamous cell carcinoma: An in vitro study. Arch. Oral. Biol. 2022, 133, 105296. [Google Scholar] [CrossRef]
- Notarstefano, V.; Belloni, A.; Sabbatini, S.; Pro, C.; Orilisi, G.; Monterubbianesi, R.; Tosco, V.; Byrne, H.J.; Vaccari, L.; Giorgini, E. Cytotoxic Effects of 5-Azacytidine on Primary Tumour Cells and Cancer Stem Cells from Oral Squamous Cell Carcinoma: An In Vitro FTIRM Analysis. Cells 2021, 10, 2127. [Google Scholar] [CrossRef]
- Viet, C.T.; Dang, D.; Achdjian, S.; Ye, Y.; Katz, S.G.; Schmidt, B.L. Decitabine rescues cisplatin resistance in head and neck squamous cell carcinoma. PLoS ONE 2014, 9, e112880. [Google Scholar] [CrossRef] [PubMed]
- Haumschild, R.; Kennerly-Shah, J.; Barbarotta, L.; Zeidan, A.M. Clinical activity, pharmacokinetics, and pharmacodynamics of oral hypomethylating agents for myelodysplastic syndromes/neoplasms and acute myeloid leukemia: A multidisciplinary review. J. Oncol. Pharm. Pr. 2024, 30, 721–736. [Google Scholar] [CrossRef]
- Venugopal, S.; Shallis, R.M.; Zeidan, A.M. Oral therapy for myelodysplastic syndromes/neoplasms and acute myeloid leukemia: A revolution in progress. Expert. Rev. Anticancer. Ther. 2023, 23, 903–911. [Google Scholar] [CrossRef]
- Higuchi, T.; Han, Q.; Sugisawa, N.; Yamamoto, J.; Yamamoto, N.; Hayashi, K.; Kimura, H.; Miwa, S.; Igarashi, K.; Bouvet, M.; et al. Combination Methionine-methylation-axis Blockade: A Novel Approach to Target the Methionine Addiction of Cancer. Cancer Genom. Proteom. 2021, 18, 113–120. [Google Scholar] [CrossRef] [PubMed]
- Renneville, A.; Patnaik, M.M.; Chan, O.; Padron, E.; Solary, E. Increasing recognition and emerging therapies argue for dedicated clinical trials in chronic myelomonocytic leukemia. Leukemia 2021, 35, 2739–2751. [Google Scholar] [CrossRef]
- Kantarjian, H.; Short, N.J.; DiNardo, C.; Stein, E.M.; Daver, N.; Perl, A.E.; Wang, E.S.; Wei, A.; Tallman, M. Harnessing the benefits of available targeted therapies in acute myeloid leukaemia. Lancet Haematol. 2021, 8, e922–e933. [Google Scholar] [CrossRef]
- Chang, C.C.; Lin, B.R.; Chen, S.T.; Hsieh, T.H.; Li, Y.J.; Kuo, M.Y. HDAC2 promotes cell migration/invasion abilities through HIF-1α stabilization in human oral squamous cell carcinoma. J. Oral. Pathol. Med. 2011, 40, 567–575. [Google Scholar] [CrossRef]
- Datta, J.; Islam, M.; Dutta, S.; Roy, S.; Pan, Q.; Teknos, T.N. Suberoylanilide hydroxamic acid inhibits growth of head and neck cancer cell lines by reactivation of tumor suppressor microRNAs. Oral. Oncol. 2016, 56, 32–39. [Google Scholar] [CrossRef] [PubMed]
- Yuan, F.; Yong, J.; Liu, X.; Wang, Y. Selinexor assists vorinostat in inhibiting HDAC activity via promoting the accumulation of maspin in the nucleus of oral tongue squamous cell carcinoma cells. Cytotechnology 2023, 75, 1–16. [Google Scholar] [CrossRef] [PubMed]
Disclaimer/Publisher’s Note: The statements, opinions and data contained in all publications are solely those of the individual author(s) and contributor(s) and not of MDPI and/or the editor(s). MDPI and/or the editor(s) disclaim responsibility for any injury to people or property resulting from any ideas, methods, instructions or products referred to in the content. |
© 2024 by the authors. Licensee MDPI, Basel, Switzerland. This article is an open access article distributed under the terms and conditions of the Creative Commons Attribution (CC BY) license (https://creativecommons.org/licenses/by/4.0/).




