Bilateral Connexive Logic
Abstract
1. Introduction
- The outer negation in the axioms and the inner negation in those axioms have the same meaning. Note the difference from [7], in the context of dialectic logics. There, he considers two different negations, in contrast to my distinction between two meanings, depending on where the negation occurs.
- The outer negation in the consequent of the axiom and the inner negation in the consequent of this axioms have the same meaning.
- The (outer) negation in the consequent of the axiom and the (inner) negation in the antecedent of this axiom have the same meaning.
- Interpret the external negation in the axioms as a denial (of and , respectively), and interpret the inner negation as ‘plain’ negation.
- Interpret similarly the two occurrences of negation in the axioms.
Some hypothetical propositions, however, are affirmative and others are negative […] Affirmatives are when we say “If it is A, it is B”, or “If it is not A, it is B”; negative “If it is A, it is not B”, “If it is not A, it is not B”. For it depends on the consequent whether the proposition is judged to be affirmative or negative.
- The notion of a bilateral connexive logic.
- The distinction in meaning between inner and outer occurrences of negation in the connexive axioms.
2. A Bilateral Connexive Natural Deduction Proof System
2.1. Bilateral Logics
2.2. Bilateral Natural Deduction Proof Systems
- The prohibition of embedding the denial formal force marker makes bilateralism a suitable framework for my wish to distinguish the meaning of outer and inner occurrences of negation: the former can indicate denial, while the latter serves as ‘plain’ negation.
- The prohibition of iteration and embedding of the formal force markers is the source of the weak connexivity of the logic defined below. If not this prohibition, the ‘natural‘ bilateral reading of would have beenwhich, however, is ill-formed.
2.3. Bilateral Connexive Natural-Deduction Proof Systems
- As usual, discharged assumptions are enclosed between square brackets, indexed by a discharge index, linking the assumption to an instance of a rule actually discharging it. Note that both and can serve as discharged assumptions.
- A similar way of formulating the introduction of an assumption is attributed by von Plato [17] to Gentzen. The rule was intended to make the derivation of less awkward and was later abandoned by Gentzen.I revive this formulation here in order to make it explicit that φ, assumed in the premise, is also an explicit conclusion, carrying the same formal force indicator! Thus, when this rule is applied, it uses the assumption in the premise, allowing later discharge of the latter. We thus obtainHowever, to avoid notational clutter in displaying derivations, I occasionally omit the application of this rule, using the usual Prawitz-style presentation.
- The positive -rules for the conditional are the usual intuitionistic -rules.
- The negative -rules for the conditional are the source of connexivity, reflecting the modification of the falsity conditions of the conditional according to what has become known as the Bochum plan [18].
- The negation rules are those of Rumfitt [8].
- Note how the distinction in meaning of inner and outer negation is reflected in the form of the rules for the denied conditional: inner negation occurs only in the premise, while outer negation occurs in the conclusion.Note that according to a common approach in proof-theoretic semantics (Dummett, Schroeder-Heister, Prawitz, and others), the meanings are captured by canonical derivations. For a detailed account, see [16]. The indicated difference in rules induces a difference in canonical derivations.
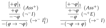
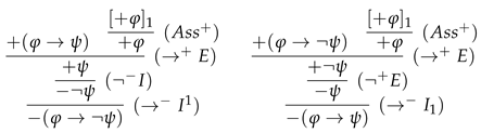
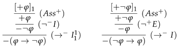
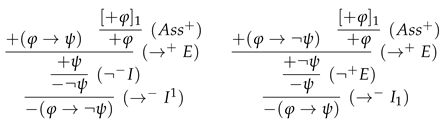
Establishing b-Connexivity
- Aristotle’s b-theses:
- Boethius’ b-theses:
2.4. Bilateral (in)coherence
3. Conclusions
- The logic induces a difference in meaning between inner and outer occurrences of negation in the connexive axioms.
- The logic allows incoherence—assertion and denial of the same formula while still being non-trivial.
Funding
Conflicts of Interest
| 1 | While Aristotle’s and Boethius axioms originate in antiquity, the negative requirement was added by McCall [3] (p.417). |
| 2 | An exception is Ferguson’s paper [6]. |
| 3 | This notion of weak connexivity is different from the one, with the same name, found in Pizzi [9], where the inner conditional is taken as material: . It also differs from Kapsner’s weak connexivity in [10,11]. It might be related to the weak connexivity in [12], where Boethius’ axiom also holds only in rule form. |
| 4 | A proof of non-triviality requires a definition of model theory in order to show non-derivability. I do not present here such a model theory, similarly to the general situation in bilateral logics over signed formulas, where model theories are not provided. Therefore, the claim of non-triviality, while seemingly correct, remains unproved. |
| 5 | See Note 4 above. |
| 6 | The same formula was used by McCall [3] to establish negation inconsistency in his connexive logic. |
| 7 | I omit here the explicit use of the ()-rules. |
References
- Francez, N. A View of Connexive Logics; College Publications: London, UK, 2021. [Google Scholar]
- Wansing, H. Connexive Logic. In The Stanford Encyclopedia of Philosophy, Summer 2022 ed.; Zalta, E.N., Ed.; Metaphysics Research Lab., Stanford University: Stanford, CA, USA, 2022; Available online: https://plato.stanford.edu/archives/spr2020/entries/logic-connexive/ (accessed on 4 June 2023).
- McCall, S. Connexive Implication. J. Symb. Log. 1966, 31, 415–433. [Google Scholar] [CrossRef]
- McCall, S. A history of Connexivity. In Handbook of the History of Logic, Volume 11: Logic: A History of Its Central Concepts; Gabbay, D.M., Pelletier, F.J., Woods, J., Eds.; Elsevier: Amsterdam, The Netherlands, 2012; pp. 415–449. [Google Scholar]
- Lenzen, W. Rewriting the History of Connexive Logic. J. Philos. Log. 2022, 51, 525–553. [Google Scholar] [CrossRef]
- Ferguson, T.M. Logics of Nonsense and Parry Systems. J. Philos. Log. 2015, 44, 65–80. [Google Scholar] [CrossRef]
- Nicolás-Francisco, R.A. A study of two dialectical logics. In Proceedings of the LANMR 2020—Thirteenth Latin American Workshop on Logic/Languages, Algorithms and New Methods of Reasoning, Mexico City, Mexico, 10–11 December 2020; Romero, J.R.M., Galindo, M.O., Cortés, C.Z., Parra, P.P., Eds.; CEUR Workshop Proceedings. Aachen University: Aachen, Germany, 2020; pp. 26–35. [Google Scholar]
- Rumfitt, I. ‘Yes’ and ‘No’. Mind 2000, 169, 781–823. [Google Scholar] [CrossRef]
- Pizzi, C. Boethius’ Thesis and Conditional Logic. J. Philos. Log. 1977, 6, 283–302. [Google Scholar] [CrossRef]
- Kapsner, A. Strong connexivity. Thought 2012, 1, 141–145. [Google Scholar]
- Kapsner, A. Humble connexivity. Log. Log. Philos. 2019, 28, 513–536. [Google Scholar] [CrossRef]
- Wansing, H.; Unterhuber, M. Connexive Conditional Logic. Part I. Log. Log. Philos. 2019, 28, 567–4610. [Google Scholar] [CrossRef]
- Kürbis, N. Some Comments on Ian Rumfitt’s Bilateralism. J. Philos. Log. 2016, 45, 623–644. [Google Scholar] [CrossRef][Green Version]
- Kürbis, N. Negations, Implications and some Observations and Problems about Hypotheses. In Proceedings of the Beyond Logic: Proceedings of the Conference held in Cerisy-la-Salle, Cerisy-la-Salle, France, 22–27 May 2017; Fichot, J., Piecha, T., Eds.; College Publications: London, UK, 2017; pp. 429–438. [Google Scholar]
- Paoli, F. Bilattice Logics and Demi-Negation. In New Essays on Belnap-Dunn Logic, Synthese Library; Omori, H., Wansing, H., Eds.; Springer: Cham, Switzerland, 2019; Volume 418, pp. 233–253. [Google Scholar]
- Francez, N. Proof-Theoretic Semantics; College Publications: London, UK, 2015. [Google Scholar]
- Plato, J.V. Gentzen’s proof systems: Byproducts of the work of a genius. Bull. Symb. Log. 2012, 18, 313–367. [Google Scholar] [CrossRef]
- Estrada-González, L. The Bochum Plan and the foundations of contra-classical logics. CLE E-Prints 2020, 19, 1–22. [Google Scholar]
Disclaimer/Publisher’s Note: The statements, opinions and data contained in all publications are solely those of the individual author(s) and contributor(s) and not of MDPI and/or the editor(s). MDPI and/or the editor(s) disclaim responsibility for any injury to people or property resulting from any ideas, methods, instructions or products referred to in the content. |
© 2023 by the author. Licensee MDPI, Basel, Switzerland. This article is an open access article distributed under the terms and conditions of the Creative Commons Attribution (CC BY) license (https://creativecommons.org/licenses/by/4.0/).
Share and Cite
Francez, N. Bilateral Connexive Logic. Logics 2023, 1, 157-162. https://doi.org/10.3390/logics1030008
Francez N. Bilateral Connexive Logic. Logics. 2023; 1(3):157-162. https://doi.org/10.3390/logics1030008
Chicago/Turabian StyleFrancez, Nissim. 2023. "Bilateral Connexive Logic" Logics 1, no. 3: 157-162. https://doi.org/10.3390/logics1030008
APA StyleFrancez, N. (2023). Bilateral Connexive Logic. Logics, 1(3), 157-162. https://doi.org/10.3390/logics1030008





