Abstract
Oxidative reactions in premixes or final-compound feed pose considerable challenges to the poultry industry, both in terms of rancidity reducing palatability and shelf life and in vivo oxidative stress negatively impacting animal performance. Whilst there has been broad awareness of feed oxidation for many years, recognition of the impact of oxidative stress on the poultry industry has grown in the past twenty years. The appearance of woody breast and associated muscle meat myopathies has led to a rapid increase in research output and awareness of in vivo oxidative reactions. Oxidative stress has been widely demonstrated to damage tissue, lipids, and DNA, and is thought to be linked to conditions such as leaky gut, coccidiosis, and ascites, amongst others. The use of dietary antioxidants has been found to both protect feed from oxidation and ameliorate some of the detrimental effects associated with oxidative stress, including improving performance, increasing antioxidant capacity, and mitigating the effects of heat and transport stress. Therefore, the aim of this review is to provide insight into the process of in-feed oxidation and in vivo oxidation including a summary of the benefits of different kinds of antioxidants in feed as well as their potential in vivo added value, based on findings reported within all scientific literature.
1. Introduction
Free radicals are the main players in oxidative reactions, and their presence triggers self-perpetuating chain reactions that can be highly damaging to biological molecules. Free radicals are naturally occurring, highly unstable molecules formed during normal aerobic metabolism []. The term ‘free radicals’ is often used interchangeably with reactive oxygen species (ROSs), though this is not always technically correct []. ROSs are a chemical species that possess an outer electron orbital and a single unpaired electron that increase the reactivity of an atom or molecule []. Most ROSs are unstable and will donate the unpaired electron to neighboring molecules or seek a hydrogen atom, in order to pair it with their free electron []. However, some ROSs can persist for extended periods of time. The process of reactivity allows oxygen to participate in high-energy electron transfer and the production of adenosine-5-triphosphate (ATP) via oxidative phosphorylation. Whilst this process is vital in the evolution of multicellular organisms, it also has the propensity to attack biological molecules such as lipids, proteins, and DNA [].
Oxidative reactions can occur in two key areas of poultry production: The first of these is when oxidation of the diet or diet components occurs and the second is during the process of in vivo oxidative stress. Both forms of oxidation can have detrimental impacts on the health and performance of birds, ultimately resulting in lower economic production profitability. This review aims to summarize the mechanisms of feed oxidation and its impact on poultry performance, gut health, and meat quality, and the ways in which this can be alleviated through the use of antioxidant molecules.
2. Oxidation in Poultry Feed
The occurrence of oxidative deterioration in human food has been recognized for many years []. Long before the process of oxidation was understood, it was recognized that covering food and/or preventing its exposure to the air could extend the potential shelf life of some foods [,]. Modern research has shown that oxidation can reduce the shelf life of food, reduce palatability, and when oxidized food is consumed, can lead to damage to biological molecules including cellular death [,]. Throughout history, it has been discovered that some substances and processes can protect food from oxidation and therefore retain palatability and extend shelf life for higher consumer acceptability.
Poultry feed is no different. With the evolution of modern poultry nutrition, and the scientific formulation of diets allowing nutritionists to fully exploit genetic potential and nutrient requirements, we understand that certain components of the diet are more sensitive to oxidation or are more prone to triggering oxidative reactions. Vegetable fats such as soy and palm oils have become very common in poultry diets following EU restrictions on the use of animal by-products []. However, the unsaturated nature of many vegetable fats can render them highly prone to oxidation []. Similarly, the wide range of ingredients incorporated into modern poultry diets considered food-processing by-products can vary greatly in their propensity to either be oxidized or trigger oxidation.
Oxidation within the diet results in the rancidity of fats and oils [] and the degradation or full destruction of vitamins [], pigments, and amino acids [], resulting in reduced nutritional and energy values of the diet []. Subsequently, feed intake may be impaired and nutritional deficiencies may occur [], leading to reduced performance [] and potential nutritional deficiencies [].
With feed typically representing more than 60% of total commercial production costs, the over-formulation of nutrients such as Vitamin E, in an effort to mitigate oxidative reactions, is economically unfavorable as nutrients are generally consumed during oxidative reactions and therefore not bioavailable to the animal, providing the potential for nutrient deficiencies in the animal. Therefore, preserving optimal diet quality and nutritive value at a justifiable price is a key challenge for every nutritionist.
3. Oxidation of Dietary Fats
Lipids are generally considered to be the most oxidation-sensitive component of poultry diets []. Oxidation begins in one of two ways: Photo (light)-sensitized oxidation or autoxidation (Figure 1) []. Photo-sensitized oxidation is a process that occurs in unsaturated lipids when a photo-sensitizer (substances such as chlorophyll or riboflavin) becomes energized when exposed to light []. Autoxidation occurs as a result of highly complex free-radical reactions between free fatty acids and oxygen []. The resulting reactions cause damage to lipids in a process referred to as rancidity.

Figure 1.
The process of oxidation.
Transition metals such as copper and iron have been shown to be highly pro-oxidant []. The mechanism of metal-catalyzed lipid peroxidation is thought to be dependent on the presence of preformed lipid hydroperoxides []. Whilst transition metals are able to degrade unsaturated lipids into alkyl radicals, this reaction is slow and therefore considered only a minor component in the promotion of lipid oxidation []. It has been demonstrated that when peroxides are absent or removed from lipids, peroxidation by iron does not occur; however, even low levels of peroxides can cause chain reactions to become self-perpetuating []. Metals cause oxidation by decomposing lipid peroxides into free radicals by a redox cycling pathway, causing free radicals to form new peroxides in the presence of oxygen [].
When lipids are oxidized, the intermediate products (free radicals) and end products (aldehydes, ketones, alcohols, etc.) can subsequently interact with other diet components, such as proteins, vitamins, and pigments, negatively impacting their nutritional properties [,,]. The effects of oxidation can substantially reduce feed digestibility and palatability, resulting in decreased feed intake, AME, and feed efficiency []. Lipid oxidation has further add-on effects on protein digestibility, with proteins often co-oxidized []. The propensity for oxidation varies, depending on the type of lipid, fatty acid profile (Figure 2), diet matrix (presence of metal ions, etc.), and storage conditions (exposure to light, heat, and oxygen).

Figure 2.
Fatty-acid profiles of typical feed oils (adapted from Dow []).
Lipid oxidation has been shown to have several effects that are detrimental to poultry production. It is well recognized that oxidation reduces the palatability of feed, consequently reducing feed intake and overall performance []. Furthermore, the oxidation process has been shown to reduce the nutritional value of the diet due to reactions with lipids, proteins, and/or fat-soluble vitamins within the diet []. Some oxidation products—including, for example, 2-propenal, 2-butenal, 4-Hydroxy-trans-2-nonenal, 4-Hydroxy-trans-2-hexenal, and α and β unsaturated aldehydes—are considered toxic to the animal, causing damage to intestinal enterocytes [] and the liver []. Consequently, performance can be compromised via several mechanisms, and even when oxidation occurs at low levels, it may be responsible for the unexplained performance variability that is often observed.
4. Effects of Oxidation on Meat Quality
Lipid oxidation is the primary factor that influences meat quality [,]. This can have significant impacts on the carcass quality and shelf life of the meat []. Lipid oxidation has been shown to affect the texture, color, odor, taste, and nutritional value of meat; therefore, the oxidation process can have significant impacts on meat acceptance and, therefore, successful production [].
Peri-mortem oxidative stress is thought to play a role in novel poultry breast muscle myopathies such as woody breast, spaghetti meat, and white stripe []. These conditions cause substantial losses for producers due to downgrading or rejection of the meat upon processing [] The incidence of these myopathies has been estimated to be up to 50% of slaughtered birds; however, the occurrence is considerably higher in birds with high live weights []. It is generally accepted that the overriding causal factor is heavy genetic selection for fast growth and increased breast muscle size; however, oxidative stress is thought to exacerbate a predisposition [,]. It is believed that these conditions cost the poultry industry more than $200 million per year (Table 1) [].

Table 1.
Reported effects of oxidative stress on meat quality.
One hypothesis for the cause of these myopathies is the production of reactive oxygen species from the extensive deposition of protein in poorly vascularized breast muscle. The limited existing vascularization to the breast muscle becomes overwhelmed when the muscle size is increased, leading to insufficient oxygen supply and the removal of metabolic by-products, consequently resulting in oxidative stress and tissue damage []. This is in line with Mutryn et al. [] and Griffin et al. [], who examined gene transcription analysis. Both studies looked at transcription regulatory factor hypoxia-inducible factor-1a (HIF-1a). Increased transcription of HIF-1a has been reported in the muscle samples of birds with woody breast and white stripe and is known to be linked to in vivo oxidation. Griffin et al. [] measured HIF-1a daily during broiler growth and observed the first incidence of white stripe and woody breast at 16 and 23 days, respectively. This was coupled with a linear increase in HIF-1a from day 14, suggesting that the increase in HIF-1a levels, and therefore oxidation, may be a causal factor.
Post-mortem, chicken meat is particularly vulnerable to oxidative processes due to the degree of unsaturated lipids within the muscle. Post-mortem oxidation (lipid and protein) thus dramatically affects the shelf life and quality of the final meat product.
Upon slaughter, blood flow is interrupted, and various metabolic processes cease []. Unsaturated fatty acids then interact with molecular oxygen via free-radical chain-forming peroxides []. The oxidation process starts with phospholipids, catalyzed by heme proteins such as hemoglobin, myoglobin, and iron, amongst other molecules []. The phospholipids in the cell membrane are rich in polyunsaturated fatty acids, increasing the susceptibility to oxidation []. Post-mortem lipid oxidation is mediated by the presence of both pro- and antioxidant compounds within the bird. As such, the occurrence of in vivo oxidative stress and, therefore, the consumption of oxidized compounds during the animal’s life can substantially deplete oxidative defenses and increase the likelihood and severity of lipid oxidation in the meat.
Modern production often involves transporting meat over long distances; a reduced shelf life therefore would result in significant financial losses. Several other factors influence the oxidative process []. Endogenous factors include the presence and activity of endogenous antioxidant enzymes, the provision of dietary antioxidants during life, and levels of iron and other metals present in the bird []. Several external factors can also affect the levels of oxidative reactions. Physiological damage and psychological stress prior to and during the slaughter process have a profound effect on the oxidation of poultry meat []. Likewise, meat handling (aging, tenderizing, shortening, and deboning), storage (temperature, time, and oxygen exposure) preparation (deboning, adding additives, and cooking), and packaging can accelerate the process. Xiao et al. [] examined the effect of packaging on lipid and protein oxidation. The study explored the effect of using either oxygen-permeable or vacuum packaging. The results demonstrated that lipid and protein oxidation could be significantly delayed with the use of oxygen vacuum packaging. Interestingly, Xiao et al. [] looked at the impact of packaging broiler thigh meat in either oxygen-permeable or oxygen-impermeable vacuum packaging with and without irradiation. The authors found that whilst vacuum packaging delayed oxidation, irradiation actually accelerated lipid and protein oxidation of the thigh meat.
5. Oxidation of Non-Lipid Feed Components
It is a common misconception that only the lipid components of poultry diets are sensitive to oxidation. In reality, there are several components that are likely to either trigger oxidative reactions or, indeed, become oxidized. Although often neglected in favor of lipid oxidation, the existence of protein oxidation is well recognized []. Research has shown that ROS activities can modify all amino acids, with methionine, lysine, and cysteine being the most at risk [,]. The oxidation of cereal proteins has also been reported, though this is generally in the context of food science. Protein oxidation has been studied in wheat [], soy [], and rice [], where modifications to the conformation of protein structures result in the formation of protein polymers and aggregates, causing substantial changes in functionality and solubility []. Little has been written about protein oxidation in the context of animal feed; however, from the human food literature, it is clear that the nutritional value of proteins that have undergone oxidative processes will be significantly diminished []. Furthermore, protein oxidation is thought to antagonize lipid oxidation and vice versa [], therefore, both the risk of occurrence and the impact of protein oxidation are likely highly underestimated.
Vitamin and mineral premixes are used to supply essential/desired micro-nutrients into the diet. Metal ions such as copper, magnesium, and zinc have been shown to trigger oxidative reactions, which can subsequently cause damage to other nutrients [,,]. Most at risk are molecules with antioxidant capacity such as Vitamin E (if not esterified), Vitamin C, and carotenoids, due to the sacrificial nature of antioxidant processes [,]. This process can be highly problematic as once these molecules have exhibited their antioxidant benefit, they become deactivated and unavailable to the bird for further nutritional purposes [].
Spontaneous lipolysis is a phenomenon whereby endogenous plant lipases release FFA following grinding. Occasionally referred to as “New Grain Syndrome”, the reaction occurs when lipase and lipoxidase catalyze the degradation of FFA and monoglycerides, triggering lipolysis and subsequent oxidative rancidity. This phenomenon has been reported to significantly impact feed intake and cause illness when fed to livestock []. Whilst a few papers have been published in regard to lipolysis and its effect on swine [,], there is little poultry research to confirm its impact.
6. In Vivo Effects of Feed Oxidation
It has been widely demonstrated that when oxidized feed is consumed, oxidative stress within the animal will increase []. The effects of oxidative stress are diverse and extensive. As such, this topic has only been covered briefly. The full effects of oxidative stress in poultry have been covered elsewhere (See [,]).
Oxidative stress can be defined as an imbalance in the production of reactive oxygen species and the host’s capacity for antioxidant defense []. One of the major contributors to oxidative stress is elevated levels of free radicals. The production of endogenous free radicals is intrinsic to normal metabolic processes including cell respiration, phagocytosis of foreign bodies, lipid synthesis, and metal metabolism. In low and moderate numbers, free radicals play a number of beneficial roles [,,]. However, when free-radical production overwhelms intrinsic antioxidative defenses in the body, oxidative stress may occur. Oxidative stress is a damaging process that affects several cellular structures including membranes, lipids, proteins, lipoproteins, and DNA []. Polyunsaturated fatty acids (PUFA) are at particular risk: Oxidative damage to PUFA is classified as lipid peroxidation. This process is particularly damaging as it triggers a self-perpetuating chain reaction. At higher levels, indiscriminate damage to biological molecules including cytotoxicity, genotoxicity, carcinogenesis, and cell death (tissue damage) may occur [,,].
An example of lipid peroxidation is when hydroxyl radicals and peroxynitrite are present in excessive quantities in the bloodstream. This damages cell membranes and lipoproteins and subsequently leads to the formation of malondialdehyde (MDA) and conjugated diene compounds. These are known to be mutagenic and cytotoxic. Due to this process being a radical chain reaction, lipid peroxidation will promptly spread and affect large quantities of lipidic molecules [].
Likewise, proteins damaged by oxidative stress have been found to undergo morphological and conformational changes that can cause loss and/or damage to their enzyme production and activity []. DNA is particularly at risk of lesions caused by oxidative stress. Nishida et al. [] found that oxidative stress may be responsible for mutagenesis and the loss of epigenetic tagging or information. In humans, if oxidative stress is not detected and controlled, it can lead to a number of degenerative and chronic diseases such as cancer, cardiovascular disease, Alzheimer’s, Parkinson’s, multiple sclerosis, rheumatoid arthritis, kidney disease, and depression [].
In poultry, oxidative stress has been found to be highly damaging to bird health and performance []. The degree of oxidative stress exerted is dependent upon the level of free radicals circulating in the body. This is controlled by antioxidants, originating both from internal and external processes and sources [].
Poultry meat is also highly susceptible to oxidation due to the high degree of unsaturated fatty acids in the muscle lipids []. The oxidation of poultry meat is influenced by numerous factors including in vivo nutrition, rearing conditions, transport and slaughter stress, and physical damage during slaughter []. The severity of oxidation is dependent on endogenous antioxidant capacity and supplemental antioxidant provision [].
7. Causative Factors for Oxidative Stress in Broilers
7.1. Nutrition
In broilers, diet composition is a well-cited cause of oxidative stress [,,]. As previously discussed, the oil component (in particular, diets and ingredients high in PUFA) of the diet is the most prone to oxidation and is, therefore, the most prominent dietary cause of in vivo oxidative stress [,]. Consumption of oxidized lipids has been widely demonstrated to negatively impact broiler performance [,,]. Secondary oxidation products such as aldehydes, esters, and ketones reduce the palatability of feed by inducing rancid flavors. Consequently, feed intake is reduced []. Furthermore, oxidized lipids and the presence of oxidized metabolites have been shown to reduce the digestibility of nutrients and detrimentally affect the morphology of the intestinal architecture [,]. The exact mechanism for this is unclear but is likely linked to membrane damage from free-radical reactions []. It has also been postulated that the dietary intake of oxidized feed may reduce the secretion of gastric enzymes and the absorption of nutrients [].
Zhang et al. [] report that selenium (Se) deficiencies can increase oxidative stress due to the innate antioxidant defense requiring sufficient levels to maintain antioxidant defenses. As Se is routinely added to premix, this is unusual in modern production. In a 75-day layer study, these authors investigated the effect of feeding diets lacking selenium. Using two treatments (Control—0.282 mg/kg Se and low Se—0.032 mg/kg), the study measured the total antioxidant capacity and MDA levels and found that the low-Se diet resulted in a significantly lower total antioxidant capacity and significantly increased MDA levels. Lesions were also detected on the immune organs of the low-Se birds. Juniper et al. [] suggested that selenium supplementation in diets increases glutathione peroxidase activity in poultry muscle tissues, thereby ameliorating oxidative stress.
By contrast, oxidative stress can also be caused by dietary excess of metals such as iron and copper. Gou et al. [] found supplemental Fe at 700 and 1400 mg/kg increased MDA levels, the activity of copper-zinc superoxide dismutase, and the gene expression of nuclear factor erythroid 2–related factor 2 (Nrf2) and zonula occludens-1 (ZO-1), while the concentration of plasma-reduced glutathione was reduced. However, when these levels are considered in addition to the background levels of metal already present in the feed, these levels are likely to be in excess of EU allowances and could be considered obsolete. Similarly, Deng et al. [] report that dietary supplementation of vanadium (5, 15, 30, 45, and 60 ppm) induced significant increases in malondialdehyde in the blood of broilers, resulting in reduced activity of superoxide dismutase, catalase, and glutathione peroxidase. Likewise, an oversupply of copper, cadmium, and nickel chloride (in excess of NRC guidelines) has been shown to cause similar effects [,,].
The presence of mycotoxins in the diet, such as aflatoxin, deoxynivalenol, and zearalenone, has also been implicated in the induction of oxidative stress [,]. Aflatoxins are secondary metabolites of Aspergillus flavus and Aspergillus parasiticus and are natural contaminants of cereals such as maize, oats, and barley []. Both in vitro [] and in vivo [] studies have shown that oxidative stress plays a pivotal role in the toxicity of aflatoxins due to the production of ROS. The consequences of this process have been shown to include DNA damage, mitochondrial lesions, the uncoupling of mitochondrial oxidative phosphorylation, and the induction of mitochondrial permeability in broilers [,].
7.2. Physiological/Pathological Causes
Several pathogenic and metabolic diseases may be involved in the etiology of oxidative stress, the most significant of which are coccidiosis [,] and ascites []. Many systemic infections are likely to have similar effects due to the reduction of innate antioxidant defenses, resulting in a significant increase in reactive oxygen species [,].
Cellular glucocorticoid levels have been shown to be a reliable indicator of stress []. Eid et al. [] demonstrated that injecting high levels of corticosterone (dexamethasone) led to significantly increased lipid peroxidation of broiler tissues. This implies that various management practices increasing corticosterone levels in the body, including transport, heat stress, harvesting, vaccination, and high stocking densities, may all contribute to oxidative stress [].
Although not a direct cause, it has been widely reported that heavy genetic selection for increased growth of modern broilers may predispose them to oxidative stress []. The mechanism for this is thought to be similar to exercise-induced oxidative stress in humans [,], whereby the increased metabolism induced by physical exercise can substantially increase lipid peroxidation.
7.3. Environmental Causes
Temperature is one of the most widely cited causes of oxidative stress in broilers [,,]. Heat stress causes a redox imbalance between pro- and antioxidants, with higher levels of prooxidants [,,,,]. This is thought to be exacerbated by the body temperature and metabolism of birds being naturally higher than mammals. Ongoing exposure to either low or high temperatures has been shown to decrease innate antioxidant concentrations (such as vitamins) in broilers [,]. In turn, this has been reported to increase the occurrence of lipid oxidation in plasma and tissue in combination with cell membrane damage []. Wei et al. [] suggest that cold stress may be equally as damaging as heat stress. When broiler heart tissue was exposed to cold stress, the study showed a significant reduction in innate antioxidant defenses and significantly increased concentrations of MDA and, ultimately, cardiac tissue damage.
Ammonia exposure is also reported to be a potential causative factor. Zhang et al. [] demonstrated that ammonia exposure increased the activity of creatine kinase and decreased the activity of serum T-superoxide dismutase, thus inducing oxidative stress. This is likely to be relevant in situations where the ammonia levels in poultry housing are above the maximum recommended levels of 25 ppm.
8. The Effects of Oxidative Stress
The effects of oxidative stress are numerous and wide-ranging. In addition to downstream effects such as meat quality, as covered in Section 4, oxidative stress can also affect performance, gut health, and general health status. The following subsections provide an overview, but due to the breadth of effects associated with oxidative stress, it is by no means exhaustive.
8.1. Performance
One of the initial and most common effects of oxidative stress is the loss of growth performance []. Various mechanisms for this effect have been suggested. Mishra and Jha [] report that oxidative reactions can result in the synthesis of nitric oxide synthases (NOS), which subsequently metabolize arginine and citrulline to form nitric oxide radicals. Whilst nitric oxide radicals are vital for various cellular functions including neurotransmission and immunomodulation, overproduction has been shown to impair intestinal mucus membranes, which, in turn, reduces nutrient digestibility.
A strong correlation exists between compromised total antioxidant capacity and reduced growth performance [] (Table 2). Tawfeek et al. [] demonstrated that when birds are exposed to heat stress, the total antioxidant capacity is reduced in line with a loss in performance compared to a thermo-neutral control, which may suggest that the performance loss is a consequence of the loss of antioxidant capacity in addition to the typically reduced feed intake generally observed. Similarly, Li et al. [] reported that when exposing broilers to environmental stress (via high stocking density), serum MDA significantly increased with a significant drop in BWG and FI and significantly increased FCR compared to the control kept at a normal stocking density.

Table 2.
The correlation between oxidative stress and compromised performance.
Liang et al. [] demonstrated that the consumption of oxidized soybean oil (peroxide value of 7.05 meq/kg) significantly reduced the total antioxidant capacity and performance of broilers (BWG, FI, and FCR). Erdogan et al. [] demonstrated that oxidative stress was induced with cadmium supplementation via the drinking line (25 mg/L for 6 weeks), serum MDA was significantly increased, and performance decreased.
8.2. Gut Health
Modern birds can absorb enormous quantities of nutrients via the intestinal epithelium if all processes and structures in the gut work efficiently. However, the intestinal mucosa is susceptible to damage and oxidative stress, especially as it is the first contact with ROSs consumed in the diet. Oxidative stress has been shown to not only change cellular processes, but also intestinal barrier function []. Although Zhou et al. [], Tan et al. [], and Dong et al. [] found that broilers fed oxidized oils had no significant changes in jejunal and ileal morphology compared to control birds, the mRNA expression of the tight junction function markers occludin and claudin-1 was downregulated by the consumption of oxidized feeds. At the same time, the production of inflammatory markers including IL-22, IgA, and lysozyme was increased. Studies suggest that interaction between the mucosa and enteric microbes can result in the production of reactive oxygen species and, consequently, oxidative stress [,,,,,,] (Table 3).

Table 3.
Reported effects of oxidative stress on gut health and function.
Damage caused to the intestinal epithelium can destroy the barrier function and tight junctions, a condition called “leaky gut”, which makes the gut vulnerable to pathological disease and the host open to systemic infection of the gut microbiota []. This is likely to be exacerbated in heat-stressed birds due to increased circulating levels of fluorescein isothiocyanate–dextran (FITC-D) in the serum, which has been shown to increase intestinal permeability [].
Oxidative stress can also affect the composition and functionality of the intestinal microbiome []. Gou et al. [] reported that excess Fe-induced oxidative stress changed the cecal microflora, reducing the similarity coefficient versus a non-stressed control to less than 65%. Similarly, broilers receiving diets formulated with oxidized oil showed clear separation of cecal beta diversity compared to control birds fed non-oxidized diets [], and the cecal microbiome of laying hens fed oxidized fish oil was shifted at the phylum level by favoring Bacteroidetes at the expense of Firmicutes [], a change that is often associated with poor nutrient digestibility.
These changes to the microbiome are unlikely to be beneficial to bird health and performance, as anaerobes thrive in the presence of electron acceptors such as free radicals, meaning oxidative stress can increase the possibility of potentially pathogenic bacteria reaching systemic circulation and has been linked to conditions such as necrotic enteritis [,]. Increased gut permeability has been linked to lameness in poultry, and Tabler et al. [] report that gut microbes colonize microfractures in bone, causing infections such as femoral head necrosis and bacterial chondronecrosis with osteomyelitis.
8.3. Inflammation
It has also been proposed that oxidative stress can be linked to inflammation, and via this mechanism, may be involved in the etiology of numerous diseases and health challenges. Inflammation is a biological response to harmful stimuli, be this from pathogens, injury, toxins, or stress. It has been demonstrated that oxidative stress in humans plays an essential role in the development and perpetuation of inflammation []. When inflammation occurs, ROSs such as nitric oxide are produced, offering antimicrobial properties []. However, within the intestinal lumen, nitric oxide is converted to nitrite. It has been found that E. coli favors nitrite-rich environments due to the presence of nitrite reductase genes []. Jiang et al. [] found that there was a significant correlation between increased levels of ROSs and high E. Coli populations in the intestines of weaned piglets with diarrhea. This may suggest that increased levels of oxidative stress may be involved in the etiology of various enteritis infections in addition to other diseases.
8.4. Other Effects
Oxidative stress has been broadly shown to cause damage to DNA [,,]. In broilers, this is often associated with mycotoxin exposure. Deoxynivalenol (DON) has been found to cause a phenomenon called ribotoxic stress, whereby DON attaches to ribosomes, thus inhibiting protein synthesis []. It is thought that DON triggers the production of free radicals and ROSs within the cell, leading to substantial damage to the cell membrane and DNA.
In broilers, Frankic et al. [] found that DON exposure led to a significant reduction in total antioxidant capacity and significantly increased damage to the DNA of spleen leukocytes compared to a control with no mycotoxin exposure. It is believed that such damage can substantially impair immune function.
It has been suggested that oxidative stress plays a contributory role in the presentation of ascites in broilers []. Ascites (also termed pulmonary hypertension) is characterized by increased pulmonary artery pressures, right ventricular hypertrophy, right heart failure, and eventually death []. It has been shown that the levels of key antioxidants, including tocopherols and glutathione, are significantly reduced in birds with ascites compared to healthy birds, indicating the antioxidant system is under pressure []. Bottje et al. [] found that giving broilers a 15 mg a-tocopherol implant before exposure to ascites significantly reduced ascites-induced mortality. However, it is also of note that several other studies did not find the same beneficial results of dietary supplementation of vitamin E.
9. Mitigating Feed Oxidation
Antioxidants have been shown to significantly prevent or reduce the occurrence and rate of oxidative reactions in poultry feed []. Different categories exist based on their active components. Numerous compounds have been found to have antioxidant properties. However, for the purpose of this review, only the most commonly used in poultry nutrition have been discussed.
9.1. Synthetic Antioxidants
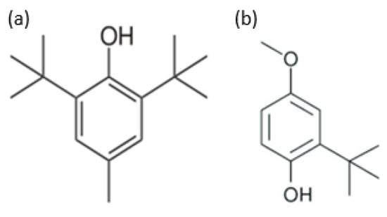
Butylated hydroxytoluene (BHT), butylated hydroxyanisole (BHA), and propyl gallate (PG) are likely the most-used antioxidants in the animal feed industry [,]. BHT is a hindered phenol in which the phenolic ring contains di-tert-butyl groups that are highly effective as a primary antioxidant []. BHT is monophenolic, fat soluble, and stable at high temperatures, making it useful in feed that requires processing (Figure 3). BHT acts by preventing the propagation of peroxyl radicals, thereby preventing reactive chain reactions before they can start. The European Commission limits the inclusion of BHT to 150 g/t in the final feed []. BHT works by preventing the propagation of peroxy radicals, thus preventing self-perpetuating chain reactions [].

Figure 3.
Molecular structures of (a) BHT and (b) BHA.
Similar to BHT, BHA is a fat-soluble antioxidant (Figure 3). BHA is highly heat stable, making it highly desirable for feed undergoing pelleting or extrusion. Similar to BHT, BHA is a primary antioxidant, preventing the propagation of peroxyl radicals and, consequently, inhibiting reactive chain reactions []. Similar to BHT, The European Commission limits the inclusion of BHA to 150 g/t in the final feed []. In combination, BHT and BHA act as chain-reaction terminators and are particularly effective at preventing the lipid oxidation of fats/oils present in broiler diets.
Propyl gallate (PG) is a free-radical scavenger and is widely used across the food and animal-feed sector (Figure 4). Though no detrimental effects have ever been reported at standard inclusion rates, the European Commission has imposed a maximum inclusion of 100 g/t in the final feed. There is limited research showing some carcinogenic activity and possible liver damage at high doses [,]. PG is often used in combination with BHT and/or BHA due to synergy and extended oxidation protection from the combination of substances [,]. PG interrupts free-radical propagation by scavenging free radicals to stabilize the unstable molecules [].

Figure 4.
Molecular structure of propyl gallate.
9.2. Natural Antioxidants
There are numerous natural substances that have been demonstrated to exert antioxidant effects on food and feedstuffs. This area has been well reported previously by Fellenburg and Speisky [] and Pashtetsky et al. [], among others; therefore, a detailed description of the structure and function of primary natural antioxidants is outside the scope of this review.
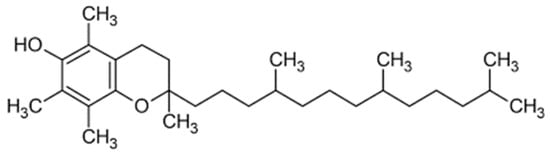
Vitamin E (Figure 5) falls into the category of fat-soluble vitamins and exists in eight distinct natural chemical homologues—alpha, beta, gamma, and delta tocopherol and alpha, beta, gamma, and delta tocotrienol (synthetic forms also exist). Vitamin E is an essential vitamin, so it us generally added to livestock diets routinely via the premix. Dietary vitamin E is generally supplied in esterified form, which does not contribute to antioxidant defense. However, when oxidation occurs, vitamin E will be sacrificed to try and prevent oxidative reactions. Vitamin E can be recycled via other antioxidants such as ascorbic acid []. Vitamin E is readily oxidized, and oxidation is accelerated by exposure to heat, moisture, copper, iron, or oxidized feed. Once tocopherols have been utilized as an antioxidant, they become inactive and cannot contribute to the animal’s dietary requirements. The effects of vitamin E in poultry diets have been well documented elsewhere (see [,,]).

Figure 5.
Molecular structure of Vitamin E.
α-tocopherol is the most bioavailable form of Vitamin E, and the only form that can be absorbed and re-excreted via the liver of the animal. α-tocopherol has also been widely shown to have in vivo antioxidant activity [,]. All other forms are metabolized and excreted. However, during metabolism, other forms (particularly delta and gamma tocopherols) can play important role in preventing oxidative reactions.
Consumption of oxidized feed has been shown to reduce the antioxidant capacity of the animal to mitigate oxidative stress []. It has been demonstrated that when diets are rich in unsaturated fatty acids (6% linseed or 10% fish oil), if the provision of dietary vitamin E is insufficient, the levels of vitamin E in the tissues become strongly depleted, whilst the levels of lipid peroxidation are significantly increased [,,].
Vitamin E has been widely shown to be important in the reproductive performance of broiler breeders []. Urso et al. [] demonstrated that supplementing female breeders with 120 mg/kg of vitamin E resulted in increased hatchability compared to 30 mg/kg of vitamin E.
In male breeders, the plasma membrane of avian spermatozoa contains a high proportion of polyunsaturated fatty acids []. In combination with age-related reductions in the antioxidant capacity of the seminal fluid, this renders the sperm highly susceptible to lipid peroxidation when exposed to reactive oxygen species [,,]. Khan et al. [] demonstrated that supplementary vitamin E (100 IU/kg feed) resulted in improved total antioxidant capacity, amongst other improvements in seminal traits.
Vitamin E is effective at preventing the oxidation of both saturated and unsaturated fats [,,]. Unlike other antioxidant compounds, it has been suggested that Vitamin E may lose efficacy when used at very high inclusion rates in some species []. The reason for this is poorly understood.
Citric acid is primarily a metal chelator and, as such, is highly beneficial when added to premixes containing metal ions such as copper, iron, magnesium, and zinc [,]. Rather than directly acting as an antioxidant, citric acid binds metals by making them soluble and thus prevents ongoing oxidative reactions []. As citric acid has been used in both human and animal nutrition for many years, its use has been widely demonstrated to be safe and non-toxic.
9.3. Polyphenols
Numerous polyphenols have been suggested to possess antioxidant properties. Polyphenols are secondary plant metabolites produced by plants as a protective mechanism []. Polyphenols can be divided into flavonoid and non-flavonoid types. Flavonoids form the largest group of polyphenols, with over 4000 identified []. Whilst many polyphenols have been shown to exert antioxidant effects, the mechanism for their activity is poorly understood. The bioavailability of such compounds is generally considered low. Faria et al. [] reported that, in general, only 5–10% of most polyphenols can be absorbed in the small intestine.
Rosemary is a herb belonging to the Lamiaceae family, which contains a number of phenolic compounds including carnosol, rosmarinic acid (Figure 6), carnosic acid, and rosmanol. Its antioxidant effect comes from the presence of hydroxyl groups in these phenolic compounds []. In addition to being a potent antioxidant, rosemary has also been shown to act as an effective chemo-preventer, antimicrobial, and anti-inflammatory component [,]. Rosemary extract has been shown to be highly effective in protecting feed and feed ingredients and is effective in both saturated and unsaturated matrices [].

Figure 6.
Molecular structure of rosmarinic acid.
Whilst many polyphenolics and plant extracts have been shown to exert antioxidant effects, it is worth considering the complexities surrounding their use. It has been demonstrated that many plant extracts are poorly absorbed in vivo, and often only low or undetectable levels can be recovered from target tissues. These can vary greatly, depending on the chemical composition extraction technique. This is well reviewed elsewhere in detail and so has been excluded from this paper [,].
10. Mitigating the Effects of Oxidative Stress in Poultry
10.1. Endogenous and Exogenous Antioxidants
The processes referred to by the umbrella term “endogenous antioxidant activity” are the innate mechanisms within a host that can prevent or inhibit the damaging effect of excess free radicals [,]. The most common method of categorizing endogenous antioxidant activity is either enzymatic or non-enzymatic. Superoxide dismutase, catalase, glutathione peroxidase, and glutathione reductase are the major enzymatic antioxidants []). (Figure 7)

Figure 7.
The endogenous antioxidant defense system.
Enzymatic antioxidant activity works via the degradation and removal of free radicals []. These processes convert reactive oxygen species to Hydrogen peroxide and then to water during a multi-step process utilizing cofactors including copper, zinc, iron, and manganese [,]. Non-enzymatic antioxidant processes utilize substances (generally dietary) such as vitamins C and E, plant polyphenols, carotenoids, and glutathione [,]. These substances interrupt the chain reactions of free radicals. When the production of reactive species overwhelms endogenous antioxidant defenses, oxidative stress occurs. However, as non-enzymatic processes are influenced by the presence of dietary compounds, the use of dietary antioxidants can provide substantial support and aid in the prevention of damage.
As dietary antioxidants are absorbed in the gut and distributed via the bloodstream, they have the potential to assert a systemic effect on the bird [,,,]. Supplementing broiler diets with antioxidant compounds has been found to exert numerous beneficial effects on poultry performance, oxidative status, and the amelioration of stress.
10.2. Effects of Antioxidants on Performance
Various dietary antioxidants have been shown to improve the performance of broilers (Table 4). De Grande et al. [] investigated the effects of various sources of dietary zinc on the oxidative status of broilers. The study supplemented 680 broilers with 60 ppm of either zinc sulphate or the zinc amino acid complex over 36 days using wheat/rye-based diets. The study showed significantly improved FCR (1.168 compared to 1.256) for the amino acid complex treatment. Hosseini-Vashan et al. [] investigated the effects of tomato pomace (lycopene) on the performance of broilers with and without heat stress exposure using four treatments (control thermo-neutral, control + heat stress, 3% tomato pomace (420 mg lycopene/kg feed) + heat stress, and 5% tomato pomace (420 mg lycopene/kg feed) + heat stress). The results showed that the 5% of tomato pomace resulted in a 10.3% increase in body weight gain (BWG) and a 4.6% reduction in the feed conversion ratio (FCR).

Table 4.
The effects of dietary antioxidants on broiler growth performance.
Wen et al. [] looked at the effect of ginger extract on the performance of broilers between 21 and 42 days using three treatments (control thermo-neutral, control heat stress, and 1000 mg/kg ginger extract + heat stress). The supplementation of ginger extract resulted in an 8.8% increase in BWG and a 9.1% reduction in FCR compared to the control + heat stress, which brought the ginger extract + heat stress in line with the thermo-neutral control. Rajani et al. [] explored the effect of antioxidants on growth performance. The study used five treatments: A control, 100 mg/kg vit E, 2000 mg/kg aspirin, 125 mg/kg synthetic AOX (BHT, PG and ethoxyquin), and 15,000 mg/kg pomegranate peel). Over 42 days, the study resulted in the synthetic antioxidant showing a significantly increased BWG and a significantly reduced FCR compared to the other treatments and control.
Similar results have been reported for the use of selenium: Alian et al. [] used four treatments to investigate the effect of selenium on the performance of broilers. Over 42 days, the authors fed day-old broilers either a control or 0.3 mg/kg of three different sources of selenium. Nanoselenium resulted in a 6.2% increase in BWG and a 10.9% reduction in the FCR compared to the control. It is of note that the mechanisms of nano-selenium are poorly understood.
Heat stress has been extensively demonstrated to have detrimental effects on bird performance [,,]. However, in recent years, there has been substantial research demonstrating the benefits of dietary antioxidants to help mitigate poor performance in heat-stressed situations.
10.3. Effects of Antioxidants on Oxidative Status
Dietary antioxidants have been widely shown to positively impact the oxidative status of broilers (Table 5). Comparing results for oxidative status is difficult due to the large array of assays used to assess oxidative status, as well as the numerous dietary antioxidants. Therefore, an overview of potential effects and supplements has been provided.

Table 5.
The effects of dietary antioxidants on oxidative status.
Cheng et al. [] investigated the effect of vitamin E on the oxidative status of stressed broilers. The study used four treatments (control, immunosuppressed control (Cyclophosphamide injection), 20 IU natural alpha tocopherol + immunosuppressed, and 20 IU synthetic alpha tocopherol + immunosuppressed). The use of both forms of tocopherols significantly improved the total antioxidant capacity of the birds and reduced the malondialdehyde content of the liver.
This is supported by the work of Karadas et al. [], which compared the effects of various antioxidants in broiler diets including 200 mg/kg of vitamin E (Natural Alpha tocopherol), 0.5 mg/kg selenium, 100 mg/kg of 5% lutein, 100 mg/kg of 5% lycopene, and 25 mg/kg of 10% canthaxanthin compared to a control. The study revealed that all the treatments significantly improved the total antioxidant capacity of the birds compared to the control, and vitamin E and selenium supplementation resulted in a significant increase in the total carotenoid concentration in the plasma.
Malondialdehyde is a secondary product of oxidation and, therefore, can be used to indirectly quantify oxidative status. De Grande et al. [] investigated the effects of dietary zinc on the oxidative status of broilers. The study supplemented 680 broilers with 60 ppm of either zinc sulphate or the zinc amino acid complex over 36 days using wheat/rye-based diets. On day 36, plasma malondialdehyde and glutathione peroxidase activity were measured, revealing that the zinc amino acid complex significantly reduced both oxidation markers (MDA levels (15.08 mmol/L compared to 16.72 mmol/L) and glutathione peroxidase activity (0.60 compared to 0.72 µmol/min. mL)). The results of Ouyang et al. [] also showed the potential to reduce malondialdehyde levels in broilers with the use of alfalfa flavonoids at 15 mg/kg.
Chestnut wood extract is a source of tannic acid and has also been shown to reduce malondialdehyde levels in broilers []. Tannins are secondary plant metabolites, which can be divided into two distinct groups: Condensed tannins and hydrolyzable tannins. Condensed tannins are renowned antinutrients, shown to decrease protein digestibility via protein precipitation []. However, there is evidence that hydrolyzable tannins may have beneficial effects on the growth of broilers []. Likewise, hydrolyzable tannic acid has been widely shown to be an effective antioxidant in poultry [,,,]. In a 42-day study, Liu et al. [] studied the effect of the chestnut wood extract on the antioxidant status and meat quality of broilers. One hundred and sixty-eight Arbor Acres broilers were divided into three treatments: A control (corn/soy diet), control + antibiotic (chlortetracycline 75 mg/kg), and control+ chestnut wood extract (1000 mg/kg). The chestnut wood extract demonstrated remarkable results, with significant increases in broiler performance compared to the control and antibiotic treatments. Likewise, total antioxidant capacity, glutathione peroxidase, and superoxide dismutase were all higher in breast and thigh tissue and serum for the chestnut wood extract compared to the other two treatments. There was no detrimental effect on meat quality, and the study showed no differences between the treatments for meat quality.
Rosemary extract is an effective antioxidant. Akhavast and Daneshyar [] investigated the effect of dietary rosemary extract supplemented in broilers at, 1.5, 3, and 6 mL/L of drinking water. Two hundred and twenty birds were used for the study over 42 days. The birds were dosed with sodium nitrite to induce oxidative stress. The results of the study showed that the sodium nitrite caused significant performance reductions in the control group; however, this was mitigated by all the treatment levels of rosemary extract. Likewise, the total antioxidant capacity of the control birds was significantly reduced compared to birds supplemented with 3 or 6 mL/L of water, demonstrating that supplementing rosemary extract at 3 mL/L or more was able to mitigate the oxidative stress effects of sodium nitrite exposure. The results of Yildirim et al. [] agree and also found significant improvements in antioxidant enzyme levels in birds supplemented with either 100 or 200 mg/kg of rosemary ethanol extract.
10.4. Effects of Antioxidants on Stress Parameters
Broilers can experience stress from numerous causes, including temperature stress, transportation, and high stocking densities. Oxidative stress has been widely associated with the occurrence of environmental stress, mainly due to the increased circulating levels of corticosterone (Table 6).

Table 6.
The effects of dietary antioxidants on stress parameters.
It has recently been demonstrated that supplementing broilers with chromium can have a protective effect against oxidative stress in heat-stressed broilers (Table 6). Sahin et al. [] studied the effect of supplementing broilers with different sources of chromium whilst exposed to heat stress. The authors used 1200 10-day-old Ross 308 broilers divided into sic treatments (2× environmental temperatures and 3× diets—control, chromium (chromium picolinate or chromium Histidine) 200 µg/kg). Birds were kept at thermoneutral temperatures of either 22 °C or at 34 °C for 8 h a day until 42 days of age. The results of the study showed that both chromium sources partially alleviated the negative effects of heat stress seen in the heat-stressed control treatment; however, CrHis delivered a significant improvement in both performance and oxidative stress parameters. Glutathione levels in the muscle and liver were significantly reduced with CrHis supplementation. The authors suggest that chromium in its amino acid form (CrHis) is more effective due to increased bioavailability.
Rosemary extract has also been shown to help mitigate heat stress in broilers. Tang et al. [] studied the effects of rosemary extract (3%) in broilers. These authors found that rosemary supplementation could significantly reduce damage to the cardiac muscle during exposure to heat stroke (in vitro methodology). Furthermore, circulating levels of malondialdehyde were significantly reduced in the rosemary-supplemented birds.
Forsythia suspensa extract (FSE) is routinely used in Chinese medicine and has previously been shown to exert antioxidant properties and is routinely used as such in Chinese medicine []. FSE has been demonstrated to reduce oxidative stress in broilers subjected to heat stress, high stocking density, and corticosterone [,]. Pan et al. [] reported that FSE can attenuate tissue damage in the breast muscle of broilers subjected to oxidative stress. In a 2 × 2 factorial study, the authors compared birds supplemented with FSE at 100 mg/kg to a control and birds supplemented with FSE (100 mg/kg) subjected to transport stress and a control subjected to transport stress. Transport-stressed birds were transported for 3 h at ~27 °C with six birds in a crate without food or water. Control birds also had food and water withheld for this period. The results showed that the control transport-stressed birds suffered significant weight loss and increased serum levels of corticosterone and lactate, as well as increased MDA levels (1.5 nmol/mg protein compared to 1.1 nmol/mg protein) compared to the FSE transport-stressed group. The control transport-stressed group also had a reduced ability to scavenge DPPH radicals compared to the FSE transport-stressed group. Overall, the control transport-stressed birds showed a higher incidence of oxidative breast tissue damage (60% compared to 40% in the control) and showed significantly reduced total antioxidant capacity (1.18 U/mg protein compared to 1.3 U/mg protein in the FSE transport-stressed group) and glutathione peroxidase activity (7.5 U/mg protein compared to 9.1 U/mg protein in the FSE transport-stressed group), which was ameliorated by FSE supplementation.
10.5. Effect of Antioxidants on Gut Health
Supplementation of various antioxidants has also been shown to ameliorate some of the gut-health effects associated with oxidative stress (Table 7). Sarsour and Persia [] investigated the effect of sulfur amino acid supplementation on heat-stressed broilers using four treatments (thermo-neutral control, heat-stressed control, thermo-neutral + 30% additional sulfur amino acids, and heat stress + 30% additional sulfur amino acids). The study found that supplementation of sulfur amino acids resulted in significantly improved oxidative status during heat stress. Likewise, the supplementation of sulfur amino acids resulted in improved intestinal permeability under heat-stress conditions.

Table 7.
The effects of dietary antioxidants on gut-health parameters.
Chen et al. [] studied the effect of selenium methionine and selenium selenite sources on broilers subjected to fluorine-induced chronic oxidative stress. Using four treatments (negative control, positive control, positive control + selenium methionine 0.203 mg/kg, and positive control + 0.198 mg/kg selenium selenite), the authors assessed the oxidative status and the effect of the two selenium sources on intestinal permeability. The results showed that both types of selenium were able to significantly reduce malondialdehyde levels in the duodenum and jejunum compared to the positive control. Likewise, selenium supplementation significantly reduced the fluorine-induced damage to tight junctions, thus reducing intestinal permeability. In both cases, selenium methionine performed slightly better than selenium selenite.
Burin [] looked at the impact of supplementing a zinc amino acid complex in broilers exposed to heat stress. Using eight treatments (0, 20, 40, and 60 mg/kg zinc amino acid complex +/− heat stress for 21 days), the author measured oxidation products in the blood and liver and gut integrity and found that supplementation of the zinc amino acid complex significantly reduced malondialdehyde in the blood and liver and significantly improved gut integrity markers.
Lycopene has also been found to support intestinal integrity during exposure to oxidative stress. Sarker et al. [] examined the effect of supplementing broilers with 0 or 200 mg/kg of lycopene in diets contaminated with aflatoxinB1. The 42-day study demonstrated that lycopene supplementation could significantly improve the intestinal integrity and oxidative status of birds subjected to Aflatoxin B1 contamination.
Lin and Lee [] studied the effect of Laetiporus sulphureus fermented products. Using five treatments (control, control + 5% wheat bran, Control + 5% Laetiporus sulphureus, Control + 10% wheat bran, and control + 10% Laetiporus sulphureus), the study ran for 35 days under normal commercial environment conditions. The results showed that 5% Laetiporus sulphureus supplementation demonstrated significantly increased endogenous antioxidant activity and significantly reduced malondialdehyde in the serum. Likewise, the tight-junction mRNA expression in the jejunum showed that 5% Laetiporus sulphureus resulted in significantly elevated expression of claudin -1 and occludens -1 compared to the other treatments. Furthermore, 5% Laetiporus sulphureus also significantly increased the villus height in the ileum and jejunum.
10.6. Effect of Antioxidants on Meat Quality
Just as dietary factors have been shown to influence oxidative meat quality, various dietary antioxidants have been found to help mitigate the impacts of oxidation on meat quality. It is important to mention that the number of papers discussing this topic is substantial, so only a brief overview of the research has been included. Interestingly, the majority of research on this topic concentrates on natural and phenolic antioxidants [,,] (Table 8). The reason for this is unclear; however, it is possible that this reflects the industry’s move towards naturally derived antioxidants over their synthetic counterparts.
Early work on this topic tends to concentrate on the effect of vitamin E supplementation on meat quality. Sheehy et al. [] demonstrated that dietary supplementation of vitamin E (alpha-tocopherol acetate) led to increased deposition of vitamin E in meat. However, Brandon et al. [] found that deposition in meat was dependent on the length of supplementation, finding that the levels of vitamin E in meat increased in line with the number of weeks the birds were supplemented for.
The a-tocopherol content of meat has been found to determine the rate and extent of lipid oxidation, as elucidated by Morrissey et al. []. Studies on both swine and broilers have consistently demonstrated that the stability of meat can be significantly influenced by dietary supplementation. Sheehy et al. [] studied the impact of supplementing broilers with either 5, 25, 65, or 180 mg/kg of alpha-tocopherol acetate during the rearing period. This study showed that the oxidative stability of both raw and cooked leg meat was significantly improved by the higher inclusion rate of alpha-tocopherol acetate (65 and 180 mg/kg) during frozen storage.
Vitamin E has also been shown to improve meat quality in birds subjected to oxidative stress. Gao et al. [] studied the effect of 20 and 200 mg/kg of alpha-tocopherol acetate. At 35 days of age, a subsection of each treatment was injected with dexamethasone 2 mg/kg of body weight to induce oxidative stress for the next 6 days. The study found that the birds supplemented with a higher inclusion rate of alpha-tocopherol acetate did not have their growth suppressed as much as those on the low dose, and the TBA levels in the muscle were significantly lower. The authors also found that the levels of superoxide dismutase were significantly higher in meat 48 h post-mortem, suggesting improved antioxidative protection in the meat.
More recent work [] found that dietary supplementation of vitamin E actually upregulates the expression of antioxidant enzyme genes. Niu et al. [] supplemented broilers with 0.100 and 200 mg/kg of alpha-tocopherol acetate over 42 days. The results showed improved total antioxidant capacity in the breast meat, and the mRNA expression of superoxide dismutase and glutathione peroxidase in the liver was linearly increased with the dose rate.
Cui et al. [] executed a trial to investigate the efficacy of Moringa oleifera at 0, 1, 2, 5, 10, and 15% dietary inclusion. The effect of supplementation on body weight actually decreased BW and ADG; however, there was a linear decrease in MDA levels in the breast muscle during storage, and meat color was likewise improved. Wen et al. [] studied the effect of betaine inclusion (1000 mg/kg) under heat-stress conditions. The betaine significantly improved breast meat color and tended (p < 0.1) to reduce drip loss and significantly increased the glutathione content and reduced MDA levels in breast meat. Similar results were found by Zhao et al. [] when supplementing broilers with Eucommia ulmoides leaf (500 and 1000 mg/kg), again under heat-stress conditions. Supplementation at 1000 mg/kg was able to significantly reduce drip loss, bringing the result in line with the control (non-heat-stressed birds). Furthermore, both doses of Eucommia ulmoides leaf significantly reduced drip loss and cooking loss compared to the negative control (heat-stressed birds). MDA and T-AOC were also significantly reduced in breast meat in line with the increased dose rate.
Various oligosaccharides have also been found to be beneficial to meat quality. Chang et al. [] studied the effects of chitosan oligosaccharides (COS, 200 mg/kg under heat-stress conditions). These authors found that COS significantly reduced MDA content and cooking loss % in breast meat and increased antioxidants (glutathione peroxidase and superoxide dismutase) in meat. Likewise, Dev et al. [] investigated the effects of mannan-oligosaccharides (MOS) (0.1–0.2%) in combination with Lactobacillius acidophius (LAB) (106 CFU/g feed −107 CFU/g feed). This study found that the water-holding capacity and extract release volume were significantly increased with the 0.2% MOS and LAB 106 CFU and 0.2% MOS and 107 CFU LAB treatments.
Vitamins and minerals have also been shown to be beneficial to meat quality. Leskovec et al. [] looked at supplementing broilers with alpha tocopherols (200 IU/kg), ascorbic acid (250 mg/kg), and selenium (0.2 mg/kg). This study demonstrated that alpha-tocopherols and alpha tocopherols in combination with ascorbic acid and selenium significantly increased alpha-tocopherol concentrations in the meat and significantly reduced MDA levels
Nano selenium has also been shown to support meat quality. Cai et al. [] supplemented broilers with 0, 0.1, 0.3, 0.5, 1.0, and 2.0 mg/kg of nano selenium. The results indicated that 0.3 mg/kg significantly increased glutathione peroxidase activity in muscle (and that drip loss % improved in line with an increasing dose of nano-selenium). Furthermore, the T-AOC was significantly increased compared to the untreated control; however, while all doses demonstrated significant increases over the control, it was the 0.5 mg/kg dose that was found to deliver the highest T-AOC. The authors conclude that nano-selenium could be a valuable tool in supporting meat quality, and that a dose of between 0.3 and 0.5 mg.kg appears optimal.
Lu et al. [] studied the impact of manganese supplementation (0, 100, and 200 mg/kg) in broilers. This study demonstrated that manganese significantly upregulated superoxide dismutase in the muscle, while also reducing MDA in the leg muscle. Interestingly, this effect did not carry over to breast meat.

Table 8.
The effect of dietary antioxidants on meat quality.
Table 8.
The effect of dietary antioxidants on meat quality.
Author | Antioxidant | Effect |
---|---|---|
Sheeshy et al. (1993) [] | alpha-tocopherol acetate 5, 25, 65, 180 mg/kg | 65 and 180 mg/kg significantly improved the stability of raw and cooked meat during frozen storage |
Niu et al. (2017) [] | alpha-tocopherol acetate 0, 100 and 200 mg/kg | Increased TAC in breast meat, linear increase with dose of mRNA expression of SOD and GSH-Px |
Cui et al. (2018) [] | Moringa oleifera 0, 1, 2, 5, 10 and 15% | Inclusion of antioxidant (Moringa oleifera) reduced MDA in breast meat and significantly increase Plasma T-AOC linearly in line with dose |
Wen et al. (2019) [] | Betaine 0, 1000 mg/kg under heat stress | Betaine significantly reduced MDA in meat and significantly increased SOD, glutathione and glutathione peroxidase in meat |
Zhao et al. (2019) [] | Eucommia ulmoides leaf 500 and 1000 mg/kg feed, under heat stress | Inclusion of 1000 mg Eucommia ulmoides leaf significantly reduced cooking and drip loss % and MDA in the meat. Increased saturated fatty acids in breast meat. |
Shen et al. (2019) [] | Bamboo leaf extract (0, 1, 2, 3, 4, 5 g/kg feed) | Drip loss linearly improved in line with dose, shear force significantly reduced with 2 and 3 g/kg of bamboo leaf extract. MDA linearly reduced in meat in line with dose |
Turcu et al. (2020) [] | Grape pomace 0, 3, 6% white grape and 0, 3, 6% red grape | Reduced TBARS in thigh meat with all grape pomace treatments. 3% white grape pomace significantly reduced TBARS in breast meat |
Chang et al. (2020) [] | Chitosan oligosaccharide 200 mg/kg under heat stress | Reduced MDA, cooking loss %, increased glutathione peroxidase and superoxide dismutase in meat |
Lu et al. (2019) [] | Taurine 5 g/kg under heat stress | Reduced MDA and drip loss % of meat. Reduced circulating levels of ROS |
Leskovec et al. (2019) [] | Alpha-tocopherols 200 IU/kg, ascorbic acid 250 mg/kg, selenium 0.2 mg/kg or combination | Alpha-tocopherols and alpha tocopherols combined with SE and ascorbic acid significantly increased a-tocoherol content in breast meat and significantly reduced MDA. No effect of ascorbic or Se alone. |
Dev et al. (2020) [] | Lactobacillius acidophius (LAB) 106 CFU/g feed −107 CFU/g feed and mannan-oligosaccharides (MOS) 0.1–0.2% | Water holding capacity and extract release volume significantly increased with 0.2% MOS and LAB 106 CFU and 0.2% MOS and 107 CFU LAB. |
Adeyemi et al. (2021) [] | Morinda lucida leaf powder 0.1, 0.1%, BHA 0.02% BHA | Reduced TBARS and drip loss with all antioxidant addition. No significant difference between BHA and Morinda lucida |
Lu et al. (2007) [] | Manganese 0, 100, 200 mg/kg | Mn significantly upregulated superoxide dismutase. Reduced MDA in leg muscle |
Cai et al. (2012) [] | Nano-selenium (0, 0.3, 0.5, 1.0, 2.0 mg/kg) | Significantly increased glutathione peroxidase activity in muscle (0.3 mg/kg), significantly improved drip loss % in line with increased dose, and significant increase in T-AOC compared to untreated control. |
11. The Future of Antioxidant Supplementation and Prevention of In Vivo Oxidative Tress
During the present review of the established literature, it is very clear that there is still much to learn regarding this topic. The effects of oxidative stress continue to be identified as research continues, and due to oxidative stress affecting factors such as DNA, it is unlikely that we will fully understand this topic in the near future. The same is true of antioxidant compounds, particularly when phytogenic and botanic compounds are considered. Looking at the literature of simply the past five years, the number of novel compounds investigated is substantial. This also offers hope for the future of managing oxidative stress in commercial broilers and suggests we may be able to improve the health and welfare of commercial production birds moving forward.
It is also worth approaching the issue of oxidative stress from an alternative viewpoint. Oxidative stress is frequently caused by other factors such as environmental stress or disease. As such, improved management of these factors will also mitigate oxidative stress in the bird. This can also be applied to oxidative stress caused by oxidized feed. As oxidation cannot be reversed, preventing it in the first place is a key consideration. Improved handling, storage, and transport of raw materials that are sensitive to oxidation can substantially reduce the occurrence of oxidation. Therefore, concentrating research on stabilizing raw diet materials upon production or processing is key. Reducing exposure to oxygen, moisture, and light is known to prevent oxidation; however, this may not be feasible in current production systems. Continuing awareness and consideration of these factors can all help the industry move toward improved practice.
12. Conclusions
It is clear from the literature reviewed that oxidation presents a significant challenge to broiler production and can negatively impact many health and production parameters. The use of dietary antioxidants can provide two-fold benefits by not only protecting the feed from oxidation, thus preserving its vital nutrients and potentially prohibiting potential nutrient deficiencies, but also by exerting in vivo effects, protecting the animal from oxidative stress.
Scientific research has demonstrated the potential of various nutritional compounds to mitigate elements of oxidative stress and its associated production challenges, promoting optimal performance. However, the large assortment of commercially available compounds and a wide variety of parameters that can be measured to assess their potential makes identifying an optimal solution difficult. Most research has either looked at the antioxidant effect in feed or in the animal. However, the best solution would be to identify a compound or a mix of compounds that can both stabilize feed and provide a protective effect on the animal. Therefore, further research remains key to improving scientific knowledge and supporting the livestock industry with more innovative and economically sustainable strategies to address this challenge.
Author Contributions
Conceptualization, A.D. and A.L.W.; investigation, A.D.; writing—original draft preparation, A.D. and A.L.W.; writing—review and editing, A.D. and A.L.W.; visualization, A.D. All authors have read and agreed to the published version of the manuscript.
Funding
This research received no external funding.
Institutional Review Board Statement
Not applicable.
Informed Consent Statement
Not applicable.
Data Availability Statement
Not applicable.
Conflicts of Interest
The authors declare no conflict of interest.
Abbreviations
ADG average daily gain; AOX antioxidants; AME apparent metabolizable energy; ATP adenosine triphosphate; BHA butylated hydroxyanisole; BHT butylated hydroxytoluene; BWG bodyweight gain; COS chito-oligosaccharides; CrHis Chromium Histidine; DEX dexamethasone; EU European Union; FCR feed conversion ratio; FFA free fatty acids; FI feed intake; FITC-D fluorescence isotiocyanate-dextran; FSE Forsythia suspensa extract; GSH-Px plasma glutathione peroxidase; HIF-1a hypoxia-inducible factor-1a; LAB lactic acid bacteria; MDA malondialdehyde; MOS mannan oligosaccharides; MUFA monounsaturated fatty acids; NOS nitric oxide syntheses; Nrf-2 nuclear factor erythroid 2–related factor 2; PG propyl gallate; PUFA polyunsaturated fatty acids; ROS reactive oxygen species; SERCA sarcoplasmic reticulum Ca; T-AOC Total Antioxidant Capacity; TBARS thiobarbituric acid reactive substances; ZO-1 zonula occludens-1
References
- Sies, H. Oxidative stress: Oxidants and antioxidants. Exp. Physiol. 1996, 82, 291–295. [Google Scholar] [CrossRef] [PubMed]
- Lushchak, V.I. Free radicals, reactive oxygen species, oxidative stress and its classification. Chem. Biol. Interact. 2014, 224, 164–175. [Google Scholar] [CrossRef] [PubMed]
- Dugan, L.L.; Choi, D.W. Excitotoxicity, free radicals, and cell membrane changes. Ann. Neurol. 1994, 35, S17–S21. [Google Scholar] [CrossRef] [PubMed]
- Burton, G.J.; Jauniaux, E. Oxidative Stress. Best Pract. Res. Clin. Obstet. Gynaecol. 2011, 25, 287–299. [Google Scholar] [CrossRef]
- Wasowicz, E.; Gramza, A.; Hes, M.; Jelen, H.; Korczak, J.; Malecka, M.; Mildner-Szkudlarz, S.; Rudzinska, M.; Samotyja, U.; Zawirska-Wojtasiak, R. Oxidation of lipids in food. Pol. J. Food Nutr. Sci. 2004, 13, 87–100. [Google Scholar]
- Luna, C.; Estevez, M. Oxidative damage to food and human serum proteins: Radical-mediated oxidation vs. glycol-oxidation. Food Chem. 2018, 267, 111–118. [Google Scholar] [CrossRef]
- Skibsted, L.H. Understanding oxidation processes in foods. In Oxidation in Foods and Beverages and Antioxidant Applications; Woodhead Publishing: Cambridge, UK, 2010; pp. 3–35. [Google Scholar]
- Fellenburg, M.; Speisky, H. Antioxidants: Their effects on broiler oxidative stress and its meat oxidative stability. Worlds Poult. Sci. J. 2006, 62, 53–70. [Google Scholar] [CrossRef]
- Mozuraityte, R.; Kristinova, V.; Rustad, T. Oxidation of Food Components. In Encyclopedia of Food and Health; Academic Press: Oxford, UK, 2016; pp. 186–192. [Google Scholar]
- Jędrejek, D.; Levic, J.; Wallace, J.; Oleszek, W. Animal by-products for feed: Characteristics, European regulatory framework, and potential impacts on human and animal health and the environment. J. Anim. Feed Sci. 2016, 25, 189–202. [Google Scholar] [CrossRef]
- Wealleans, A.L.; Bierinckx, K.; di Benedetto, M. Fats and oils in pig nutrition: Factors affecting digestion and utilization. Anim. Feed Sci. Technol. 2021, 277, 114950. [Google Scholar] [CrossRef]
- Halbaut, L.; Barbé, C.; Aróztegui, M.; de la Torre, C. Oxidative stability of semi-solid excipient mixtures with corn oil and its implication in the degradation of vitamin A. Int. J. Pharm. 1997, 147, 31–40. [Google Scholar] [CrossRef]
- Boon, C.S.; McClements, D.J.; Weiss, J.; Decker, E.A. Factors Influencing the Chemical Stability of Carotenoids in Foods. Crit. Rev. Food Sci. Nutr. 2010, 50, 515–532. [Google Scholar] [CrossRef] [PubMed]
- Tavárez, M.; Boler, D.; Bess, K.; Zhao, J.; Yan, F.; Dilger, A.; McKeith, F.; Killefer, J. Effect of antioxidant inclusion and oil quality on broiler performance, meat quality, and lipid oxidation. Poult. Sci. 2011, 90, 922–930. [Google Scholar] [CrossRef] [PubMed]
- Bacellar, I.O.L.; Baptista, M.S. Mechanisms of Photosensitized Lipid Oxidation and Membrane Permeabilization. ACS Omega 2019, 4, 21636–21646. [Google Scholar] [CrossRef] [PubMed]
- Riedel, S.; Kaupp, M. The highest oxidation states of the transition metal elements. Coord. Chem. Rev. 2009, 253, 606–624. [Google Scholar] [CrossRef]
- Obando, M.; Papastergiadis, A.; Li, S.; De Meulenaer, B. Impact of Lipid and Protein Co-oxidation on Digestibility of Dairy Proteins in Oil-in-Water (O/W) Emulsions. J. Agric. Food Chem. 2015, 63, 9820–9830. [Google Scholar] [CrossRef]
- Dow, C. How Much Saturated Fat Is in Oils and Animal Fats-Nutrition Action | Center for Science in the Public Interest. 2017. Available online: https://www.cspinet.org/ (accessed on 20 July 2021).
- Lin, C.F.; Asghar, A.; Gray, J.I.; Buckley, D.J.; Booren, A.M.; Crackel, R.L.; Flegal, C.J. Effects of oxidised dietary oil and antioxidant supplementation on broiler growth and meat stability. Br. Poult. Sci. 1989, 30, 855–864. [Google Scholar] [CrossRef]
- Wiseman, J.; Edmunds, B.; Shepperson, N. The apparent metabolisable energy of sunflower oil and sunflower acid oil for broiler chickens. Anim. Feed Sci. Technol. 1992, 36, 41–51. [Google Scholar] [CrossRef]
- Kimura, T.; Iida, K.; Takei, Y. Mechanisms of adverse effect of air-oxidized soy bean oil-feeding in rats. J. Nutr. Sci. Vitaminol. 1984, 30, 125–133. [Google Scholar] [CrossRef]
- Engberg, R.M.; Borsting, C.F. Inclusion of oxidized fish oil in mink diets. 2. The influence on performance and health considering histopathological, clinical-chemical, and haematological indices. J. Anim. Physiol. Anim. Nutr. 1994, 72, 146–157. [Google Scholar] [CrossRef]
- Estévez, M. Oxidative damage to poultry: From farm to fork. Poult. Sci. 2015, 94, 1368–1378. [Google Scholar] [CrossRef]
- Crespo, N.; Esteve-Garcia, E. Nutrient and fatty acid deposition in broilers fed different dietary fatty acid profiles. Poult. Sci. 2002, 81, 1533–1542. [Google Scholar] [CrossRef] [PubMed]
- Cortinas, L.; Villaverde, C.; Galobart, J.; Baucells, M.D.; Codony, R.; Barroeta, A.C. Fatty Acid Content in Chicken Thigh and Breast as Affected by Dietary Polyunsaturation Level. Poult. Sci. 2004, 83, 1155–1164. [Google Scholar] [CrossRef] [PubMed]
- Pizzino, G.; Irrea, N.; Cucinotta, M.; Pallio, G.; Mannino, F.; Arcoraci, V.; Squadrito, F.; Altavilla, D.; Bitto, A. Oxidative Stress: Harms and Benefits for Human Health. Oxidative Medicine and Cellular Longevity. 2017. Available online: https://www.ncbi.nlm.nih.gov/pmc/articles/PMC5551541/#B26 (accessed on 5 August 2022).
- Hubert, S.M. Energy metabolism and sources of oxidative stress in wooden breast—A review. F1000Research 2020, 9, 319. [Google Scholar] [CrossRef]
- Cai, K.; Shao, W.; Chen, X.; Campbell, Y.L.; Nair, M.N.; Suman, S.P.; Beach, C.M.; Guyton, M.C.; Schilling, M.W. Meat quality traits and proteome profile of woody broiler breast (pectoralis major) meat. Poult. Sci. 2018, 97, 337–346. [Google Scholar] [CrossRef]
- Owens, C.M. Woody Breast Meat. In Proceedings of the 69th Reciprocal Meat Conference Proceedings, San Angelo, TX, USA, 18–23 June 2016. [Google Scholar]
- Sihvo, H.-K.; Immonen, K.; Puolanne, E. Myodegeneration with Fibrosis and Regeneration in the Pectoralis Major Muscle of Broilers. Vet. Pathol. 2013, 51, 619–623. [Google Scholar] [CrossRef]
- Lilburn, M.; Griffin, J.; Wick, M. From muscle to food: Oxidative challenges and developmental anomalies in poultry breast muscle. Poult. Sci. 2019, 98, 4255–4260. [Google Scholar] [CrossRef]
- Zhang, W.; Xiao, S.; Lee, E.J.; Ahn, D.U. Consumption of Oxidized Oil Increases Oxidative Stress in Broilers and Affects the Quality of Breast Meat. J. Agric. Food Chem. 2010, 59, 969–974. [Google Scholar] [CrossRef]
- Griffin, J.R.; Moraes, L.; Wick, M.; Lilburn, M.S. Onset of white striping and progression into wooden breast as defined by myopathic changes underlying Pectoralis major growth. Estimation of growth parameters as predictors for stage of myopathy progression. Avian Pathol. 2018, 47, 2–13. [Google Scholar] [CrossRef]
- Gao, J.; Lin, H.; Wang, X.J.; Song, Z.G.; Jiao, H.C. Vitamin E supplementation alleviates the oxidative stress induced by dexamethasone treatment and improves meat quality in broiler chickens. Poult. Sci. 2010, 89, 318–327. [Google Scholar] [CrossRef]
- Voljč, M.; Levart, A.; Žgur, S.; Salobir, J. The effect of α-tocopherol, sweet chestnut wood extract and their combination on oxidative stress in vivo and the oxidative stability of meat in broilers. Br. Poult. Sci. 2013, 54, 144–156. [Google Scholar] [CrossRef]
- Pozzo, L.; Cavallarin, L.; Antoniazzi, S.; Guerre, P.; Biasibetti, E.; Capucchio, M.T.; Schiavone, A. Feeding a diet contaminated with ochratoxin A for broiler chickens at the maximum level recommended by the EU for poultry feeds (0.1 mg/kg). 2. Effects on meat quality, oxidative stress, residues and histological traits. J. Anim. Physiol. Anim. Nutr. 2013, 97, 23–31. [Google Scholar] [CrossRef] [PubMed]
- Tang, S.; Yin, B.; Xu, J.; Bao, E. Rosemary Reduces Heat Stress by Inducing CRYAB and HSP70 Expression in Broiler Chickens. Oxidative Med. Cell. Longev. 2018, 2018, 7014126. [Google Scholar] [CrossRef] [PubMed]
- Cui, Y.-M.; Wang, J.; Lu, W.; Zhang, H.-J.; Wu, S.-G.; Qi, G.-H. Effect of dietary supplementation with Moringa oleifera leaf on performance, meat quality, and oxidative stability of meat in broilers. Poult. Sci. 2018, 97, 2836–2844. [Google Scholar] [CrossRef] [PubMed]
- Nasr, M.A.; Alkhedaide, A.Q.; Ramadan, A.A.; Hafez, A.-E.S.E.; Hussein, M.A. Potential impact of stocking density on growth, carcass traits, indicators of biochemical and oxidative stress and meat quality of different broiler breeds. Poult. Sci. 2021, 100, 101442. [Google Scholar] [CrossRef] [PubMed]
- Zhao, J.; Deng, W.; Liu, H. Effects of chlorogenic acid-enriched extract from Eucommia ulmoides leaf on performance, meat quality, oxidative stability, and fatty acid profile of meat in heat-stressed broilers. Poult. Sci. 2019, 98, 3040–3049. [Google Scholar] [CrossRef]
- Xiao, S.; Zhang, W.G.; Lee, E.J.; Ahn, D.U. Lipid and Protein Oxidation of Chicken Breast Rolls as Affected by Dietary Oxidation Levels and Packaging. J. Food Sci. 2011, 76, C612–C617. [Google Scholar] [CrossRef]
- Xiao, S.; Zhang, W.G.; Lee, E.J.; Ma, C.W.; Ahn, D.U. Effects of diet, packaging, and irradiation on protein oxidation, lipid oxidation, and color of raw broiler thigh meat during refrigerated storage. Poult. Sci. 2011, 90, 1348–1357. [Google Scholar] [CrossRef]
- Mutryn, M.F.; Brannick, E.M.; Fu, W.; Lee, W.R.; Abasht, B. Characterization of a novel chicken muscle disorder through differential gene expression and pathway analysis using RNA-sequencing. BMC Genom. 2015, 16, 399. [Google Scholar] [CrossRef]
- Amaral, A.B.; da Silva, M.V.; Lannes, S.C.D.S. Lipid oxidation in meat: Mechanisms and protective factors—A review. Food Sci. Technol. 2018, 38, 1–15. [Google Scholar] [CrossRef]
- Brøndum, J.; Byrne, D.V.; Bak, L.S.; Bertelsen, G.; Engelsen, S.B. Warmed-over flavour in porcine meat-a combined spectroscopic, sensory and chemometric study. Meat Sci. 2000, 54, 83–95. [Google Scholar] [CrossRef]
- Min, B.; Corray, J.; Ahn, D.U. Endogenous factors affecting oxidative stability of beef loin, pork loin and chicken and thigh meats. J. Food. Sci. 2008, 73, C439–C446. [Google Scholar] [CrossRef]
- Xiong, Y.L.; Guo, A. Animal and Plant Protein Oxidation: Chemical and Functional Property Significance. Foods 2021, 10, 40. [Google Scholar] [CrossRef]
- Elkassabany, M.; Hoseney, R.C. Ascorbic acid in wheat flour dough. II rheological effects. Cereal Chem. 1980, 57, 88–91. [Google Scholar]
- Cumbee, B.; Hildebrand, D.F. Soybean flour lipoxygenase isozymes effects on wheat flour rheological and breadmaking properties. J. Food Sci. 1997, 62, 281–283. [Google Scholar] [CrossRef]
- Shi, J.; Wu, M.; Quan, M. Effects on Protein oxidation on gelatinization, characteristics, during rice storage. J. Cereal Sci. 1997, 75, 228–233. [Google Scholar] [CrossRef]
- Heinonen, M.; Gürbüz, G.; Ertbjerg, P. Oxidation of Proteins. In Chemical Changes during Processing and Storage of Foods; Academic Press: Cambridge, MA, USA, 2021; pp. 85–123. [Google Scholar]
- Saripinar-Aksu, D.; Aksu, T.; Onel, S.E. Does inclusion at low levels of organically complexed minerals versus inorganic forms create weakness in performance or antioxidant defence in broiler diets. Int. J. Poult. Sci. 2012, 11, 666–672. [Google Scholar] [CrossRef]
- Salami, S.; Majoka, M.A.; Saha, S.; Garber, A.; Gabarrou, J.-F. Efficacy of Dietary Antioxidants on Broiler Oxidative Stress, Performance and Meat Quality: Science and Market. Avian Biol. Res. 2015, 8, 65–78. [Google Scholar] [CrossRef]
- Dierick, N.; Decuypere, J. Endogenous lipolysis in feedstuffs and compound feeds for pigs: Effects of storage time and conditions and lipase and/or emulsifier addition. Anim. Feed Sci. Technol. 2002, 102, 53–70. [Google Scholar] [CrossRef]
- Cadogan, D.J.; Choct, M.; Campbell, R.G. Effects of storage time and exogenous xylanase supplementation of new season wheats on the performance of young male pigs. Can. J. Anim. Sci. 2003, 83, 105–112. [Google Scholar] [CrossRef]
- Surai, P.F. Antioxidants in Poultry Nutrition and Reproduction: An Update. Antioxidants 2020, 9, 105. [Google Scholar] [CrossRef]
- Ryszawa, N.; Kawczyñska-Dród, A.; Pryjma, J.; Czesnikiewicz-Guzik, M.; Adamek-Guzik, T.; Naruszewicz, M.; Korbut, R.; Guzik, T.J. Effects of novel plant antioxidants. J. Physiol. Pharmacol. 2006, 57, 611–626. [Google Scholar] [PubMed]
- Su, X.; Zhang, J.; Wang, H.; Xu, J.; McPhee, D.J.; Liu, L.; Zhang, T.; Chen, R.; Kang, J. Phenolic Acid Profiling, Antioxidant, and Anti-Inflammatory Activities, and miRNA Regulation in the Polyphenols of 16 Blueberry Samples from China. Molecules 2017, 22, 312. [Google Scholar] [CrossRef] [PubMed]
- Jones, D.P. Redefining Oxidative Stress. Antioxid. Redox Signal. 2006, 8, 1865–1879. [Google Scholar] [CrossRef]
- Gagne, F. Oxidative Stress, Biochemical Ecotoxicity, Principals and Methods; Academic Press: Oxford, UK, 2014. [Google Scholar]
- Nishida, N.; Arizumi, T.; Takita, M.; Kitai, S.; Yada, N.; Hagiwara, S.; Inoue, T.; Minami, Y.; Ueshima, K.; Sakurai, T.; et al. Reactive Oxygen Species Induce Epigenetic Instability through the Formation of 8-Hydroxydeoxyguanosine in Human Hepatocarcinogenesis. Dig. Dis. 2013, 31, 459–466. [Google Scholar] [CrossRef] [PubMed]
- Min, B.; Ahn, D.U. Mechanism of lipid peroxidation in meat and meat products. Food Sci. Biotechnol. 2005, 14, 152–163. [Google Scholar]
- Manilla, H.A.; Husvéth, F. N-3 fatty acid enrichment and oxidative stability of broiler chicken (A review). Acta Aliment. 1999, 28, 235–249. [Google Scholar] [CrossRef]
- Surai, P.F. Natural antioxidants in poultry nutrition: New developments. In Proceedings of the 16th European Symposium on Poultry Nutrition, Strasbourg, France, 26–30 August 2007; pp. 669–675. [Google Scholar]
- Engberg, R.M.; Lauridsen, C.; Jensen, S.K.; Jakobsen, K. Inclusion of Oxidized Vegetable Oil in Broiler Diets. Its Influence on Nutrient Balance and on the Antioxidative Status of Broilers. Poult. Sci. 1996, 75, 1003–1011. [Google Scholar] [CrossRef]
- Dibner, J.; Atwell, C.; Kitchell, M.; Shermer, W.; Ivey, F. Feeding of oxidized fats to broilers and swine: Effects on enterocyte turnover, hepatocyte proliferation and the gut associated lymphoid tissue. Anim. Feed Sci. Technol. 1996, 62, 1–13. [Google Scholar] [CrossRef]
- Zhang, Z.-W.; Wang, Q.-H.; Zhang, J.-L.; Li, S.; Wang, X.-L.; Xu, S.-W. Effects of Oxidative Stress on Immunosuppression Induced by Selenium Deficiency in Chickens. Biol. Trace Elem. Res. 2012, 149, 352–361. [Google Scholar] [CrossRef]
- Juniper, D.; Bertin, G. Effects of dietary selenium supplementation on tissue selenium distribution and glutathione peroxidase activity in Chinese Ring Necked Pheasants. Animal 2013, 7, 562–570. [Google Scholar] [CrossRef][Green Version]
- Gou, Z.Y.; Li, L.; Fan, Q.L.; Lin, X.J.; Jiang, Z.Y.; Zheng, C.; Ding, F.Y.; Jiang, S.Q. Effects of oxidative stress induced by high dosage of dietary iron ingested on intestinal damage and caecal microbiota in Chinese Yellow broilers. J. Anim. Physiol. Anim. Nutr. 2018, 102, 924–932. [Google Scholar] [CrossRef] [PubMed]
- Deng, Y.; Cui, H.; Peng, X.; Fang, J.; Wang, K.; Cui, W.; Liu, X. Dietary Vanadium Induces Oxidative Stress in the Intestine of Broilers. Biol. Trace Elem. Res. 2011, 145, 52–58. [Google Scholar] [CrossRef] [PubMed]
- Erdogan, Z.; Erdogan, S.; Celik, S.; Unlu, A. Effects of Ascorbic Acid on Cadmium-Induced Oxidative Stress and Performance of Broilers. Biol. Trace Elem. Res. 2005, 104, 19–32. [Google Scholar] [CrossRef]
- Huang, J.; Cui, H.; Peng, X.; Fang, J.; Zuo, Z.; Deng, J.; Wu, B. The Association between Splenocyte Apoptosis and Alterations of Bax, Bcl-2 and Caspase-3 mRNA Expression, and Oxidative Stress Induced by Dietary Nickel Chloride in Broilers. Int. J. Environ. Res. Public Health 2013, 10, 7310–7326. [Google Scholar] [CrossRef]
- Cinar, M.; Yildirim, E.; Yigit, A.; Yalcinkaya, I.; Duru, O.; Kisa, U.; Atmaca, N. Effects of Dietary Supplementation with Vitamin C and Vitamin E and Their Combination on Growth Performance, Some Biochemical Parameters, and Oxidative Stress Induced by Copper Toxicity in Broilers. Biol. Trace Elem. Res. 2014, 158, 186–196. [Google Scholar] [CrossRef]
- Hou, Y.-J.; Zhao, Y.-Y.; Xiong, B.; Cui, X.-S.; Kim, N.-H.; Xu, Y.-X.; Sun, S.-C. Mycotoxin-Containing Diet Causes Oxidative Stress in the Mouse. PLoS ONE 2013, 8, e60374. [Google Scholar] [CrossRef] [PubMed]
- Da Silva, E.O.; Loureiro-Bracarense, A.-P.; Oswald, I.P. Mycotoxins and oxidative stress: Where are we? World Mycotoxin J. 2018, 11, 113–134. [Google Scholar] [CrossRef]
- Liu, Y.; Wang, W.J. Aflatoxin B1 impairs mitochondrial functions, activates ROS generation, induces apoptosis and involves in Nrf2 pathway in primary broiler hepatocytes. Anim. Sci. J. 2016, 87, 1490–1500. [Google Scholar] [CrossRef]
- Abdel-Wahhab, M.A.; Aly, S.E. Antioxidants and radical scavenging properties of vegetable extracts in rats fed aflatoxin-contaminated diet. J. Agric. Food Chem. 2003, 51, 2409–2414. [Google Scholar] [CrossRef]
- Allen, P.C.; Fetterer, R.H. Recent Advances in Biology and Immunobiology of Eimeria Species and in Diagnosis and Control of Infection with These Coccidian Parasites of Poultry. Clin. Microbiol. Rev. 2002, 15, 58–65. [Google Scholar] [CrossRef]
- Wang, L.; Piao, X.; Kim, S.; Shen, Y.; Lee, H. Effects of Forsythia suspensa Extract on Growth Performance, Nutrient Digestibility, and Antioxidant Activities in Broiler Chickens Under High Ambient Temperature. Poult. Sci. 2008, 87, 1287–1294. [Google Scholar] [CrossRef] [PubMed]
- Bottje, W.; Enkvetchakul, B.; Moore, R.; Mcnew, R. Effect of α-Tocopherol on Antioxidants, Lipid Peroxidation, and the Incidence of Pulmonary Hypertension Syndrome (Ascites) in Broilers. Poult. Sci. 1995, 74, 1356–1369. [Google Scholar] [CrossRef] [PubMed]
- Benzer, F.; Yilmaz, S. Effects on oxidative stress and antioxidant enzyme activities of experimentally induced Ornithobacterium rhinotracheale infection in broilers. J. Anim. Vet. Adv. 2009, 8, 548–553. [Google Scholar]
- Ohtsuka, A.; Ohtani, T.; Horiguchi, H.; Kojima, H.; Hayashi, K. Vitamin E Reduces Glucocorticoid-Induced Growth Inhibition and Lipid Peroxidation in Rats. J. Nutr. Sci. Vitaminol. 1998, 44, 237–247. [Google Scholar] [CrossRef]
- Eid, Y.; Ohtsuka, A.; Hayashi, K. Tea polyphenols reduce glucocorticoid-induced growth inhibition and oxidative stress in broiler chickens. Br. Poult. Sci. 2003, 44, 127–132. [Google Scholar] [CrossRef]
- Dillard, C.J.; Litov, R.E.; Savin, W.M. Effects of exercise, vitamin E, and ozone on pulmonary function and lipid peroxidation. J. Appl. Physiol. 1978, 45, 927–932. [Google Scholar] [CrossRef]
- Vollaard, N.B.; Shearman, J.P.; Cooper, C.E. Exercise induced oxidative stress. Sport. Med. 2012, 35, 1045–1062. [Google Scholar] [CrossRef]
- Mishra, B.; Jha, R. Oxidative Stress in the Poultry Gut: Potential Challenges and Interventions. Front. Vet. Sci. 2019, 6, 60. Available online: https://www.ncbi.nlm.nih.gov/pmc/articles/PMC6409315/#B19 (accessed on 5 August 2022). [CrossRef]
- Altan, Ö.; Pabuçcuoğlu, A.; Altan, A.; Konyalioğlu, S.; Bayraktar, H. Effect of heat stress on oxidative stress, lipid peroxidation and some stress parameters in broilers. Br. Poult. Sci. 2003, 44, 545–550. [Google Scholar] [CrossRef]
- Akbarian, A.; Michiels, J.; DeGroote, J.; Majdeddin, M.; Golian, A.; De Smet, S. Association between heat stress and oxidative stress in poultry; mitochondrial dysfunction and dietary interventions with phytochemicals. J. Anim. Sci. Biotechnol. 2016, 7, 37. [Google Scholar] [CrossRef]
- Zhang, J.; Li, C.; Tang, X.; Lu, Q.; Sa, R.; Zhang, H. Proteome changes in the small intestinal mucosa of broilers (Gallus gallus) induced by high concentrations of atmospheric ammonia. Proteome Sci. 2015, 13, 9. [Google Scholar] [CrossRef] [PubMed]
- Wei, H.; Zhang, R.; Su, Y.; Bi, Y.; Li, X.; Zhang, X.; Li, J.; Bao, J. Effects of Acute Cold Stress After Long-Term Cold Stimulation on Antioxidant Status, Heat Shock Proteins, Inflammation and Immune Cytokines in Broiler Heart. Front. Physiol. 2018, 9, 1589. [Google Scholar] [CrossRef] [PubMed]
- Tawfeek, S.S.; Hassanin, K.M.; Youssef, I.M. The effect of dietary supplementation of some antioxidants on performance, oxidative stress and blood parameters in broilers under natural summer conditions. J. World’s Poult. Res. 2014, 4, 10–19. [Google Scholar]
- Li, W.; Wei, F.; Xu, B.; Sun, Q.; Deng, W.; Ma, H.; Bai, J.; Li, S. Effect of stocking density and alpha-lipoic acid on the growth performance, physiological and oxidative stress and immune response of broilers. Asian-Australas. J. Anim. Sci. 2019, 32, 1914–1922. [Google Scholar] [CrossRef]
- Lin, H.; Decuypere, E.; Buyse, J. Oxidative stress induced by corticosterone administration in broiler chickens (Gallus gallus domesticus). Comp. Biochem. Physiol. Part B Biochem. Mol. Biol. 2004, 139, 745–751. [Google Scholar] [CrossRef] [PubMed]
- Liang, F.; Jiang, S.; Mo, Y.; Zhou, G.; Yang, L. Consumption of Oxidized Soybean Oil Increased Intestinal Oxidative Stress and Affected Intestinal Immune Variables in Yellow-feathered Broilers. Asian-Australas. J. Anim. Sci. 2015, 28, 1194–1201. [Google Scholar] [CrossRef] [PubMed]
- Wang, S.; Chi, Q.; Hu, X.; Cong, Y.; Li, S. Hydrogen sulfide-induced oxidative stress leads to excessive mitochondrial fission to activate apoptosis in broiler myocardia. Ecotoxicol. Environ. Saf. 2019, 183, 109578. [Google Scholar] [CrossRef]
- Ahmad, M.; Chand, N.; Khan, R.U.; Ahmad, N.; Khattak, I.; Naz, S. Dietary supplementation of milk thistle (Silybum marianum): Growth performance, oxidative stress, and immune response in natural summer stressed broilers. Trop. Anim. Health Prod. 2020, 52, 711–715. [Google Scholar] [CrossRef]
- Zhou, Y.; Mao, S.; Zhou, M. Effect of the flavonoid baicalein as a feed additive on growth performance, immunity and antioxidant capacity of broiler chickens. Poult. Sci. 2019, 98, 2790–2799. [Google Scholar] [CrossRef]
- Tan, L.; Rong, D.; Yang, Y.; Zhang, B. Effect of Oxidized Soybean Oils on Oxidative Status and Intestinal Barrier Function in Broiler Chickens. Braz. J. Poult. Sci. 2018, 20, 333–342. [Google Scholar] [CrossRef]
- Dong, Y.; Lei, J.; Zhang, B. Effects of dietary quercetin on the antioxidative status and cecal microbiota in broiler chickens fed with oxidized oil. Poult. Sci. 2020, 99, 4892–4903. [Google Scholar] [CrossRef]
- Min, Y.N.; Yang, H.L.; Xu, Y.X.; Gao, Y.P. Effects of dietary supplementation of symbiotic on growth performance, intestinal morphology, sIgA content and antioxidant capacities of broilers. J. Anim. Physiol. Anim. Nutr. 2016, 100, 1073–1080. [Google Scholar] [CrossRef] [PubMed]
- Osselaere, A.; Santos, R.; Hautekiet, V.; De Backer, P.; Chiers, K.; Ducatelle, R.; Croubels, S. Deoxynivalenol Impairs Hepatic and Intestinal Gene Expression of Selected Oxidative Stress, Tight Junction and Inflammation Proteins in Broiler Chickens, but Addition of an Adsorbing Agent Shifts the Effects to the Distal Parts of the Small Intestine. PLoS ONE 2013, 8, e69014. [Google Scholar] [CrossRef] [PubMed]
- de Souza, M.; Baptista, A.A.S.; Valdiviezo, M.J.; Justino, L.; Menck-Costa, M.F.; Ferraz, C.R.; da Gloria, E.M.; Verri, W.A., Jr.; Bracarense, A.P.F. Lactobacillus spp. reduces morphological changes and oxidative stress induced by deoxynivalenol on the intestine and liver of broilers. Toxicon 2020, 185, 203–212. [Google Scholar] [CrossRef] [PubMed]
- Panaite, T.D.; Saracila, M.; Papuc, C.P.; Predescu, C.N.; Soica, C. Influence of Dietary Supplementation of Salix alba Bark on Performance, Oxidative Stress Parameters in Liver and Gut Microflora of Broilers. Animals 2020, 10, 958. [Google Scholar] [CrossRef]
- Sun, Y.; Ni, A.; Jiang, Y.; Li, Y.; Huang, Z.; Shi, L.; Xu, H.; Chen, C.; Li, D.; Han, Y.; et al. Effects of Replacing In-feed Antibiotics with Synergistic Organic Acids on Growth Performance, Health, Carcass, and Immune and Oxidative Statuses of Broiler Chickens Under Clostridium perfringens Type A Challenge. Avian Dis. 2020, 64, 393–400. [Google Scholar] [CrossRef]
- Hoover, J. Mechanistic Understanding of Leaky Gut Syndrome in Heat Stressed Broiler Chickens. Master’s Thesis, University of Arkansas, Fayetteville, Arkansas, 2020. [Google Scholar]
- Naidoo, V.; McGaw, L.; Bisschop, S.; Duncan, N.; Eloff, J. The value of plant extracts with antioxidant activity in attenuating coccidiosis in broiler chickens. Vet. Parasitol. 2008, 153, 214–219. [Google Scholar] [CrossRef]
- Zhou, J.-M.; Zhang, H.-J.; Wu, S.-G.; Qiu, K.; Fu, Y.; Qi, G.-H.; Wang, J. Supplemental Xylooligosaccharide Modulates Intestinal Mucosal Barrier and Cecal Microbiota in Laying Hens Fed Oxidized Fish Oil. Front. Microbiol. 2021, 12, 635333. [Google Scholar] [CrossRef]
- Kountouras, J.; Boziki, M.; Polyzos, S.A.; Katsinelos, P.; Gavalas, E.; Zeglinas, C.; Tzivras, D.; Romiopoulos, I.; Giorgakis, N.; Anastasiadou, K.; et al. Impact of reactive oxygen species generation on Helicobacter pylori-related extragastric diseases: A hypothesis. Free Radic. Res. 2017, 51, 73–79. [Google Scholar] [CrossRef]
- Lugrin, J.; Rosenblatt-Velin, N.; Parapanov, R.; Liaudet, L. The role of oxidative stress during inflammatory processes. Biol. Chem. 2014, 395, 203–230. [Google Scholar] [CrossRef]
- Tabler, T.W.; Greene, E.S.; Orlowski, S.K.; Hiltz, J.Z.; Anthony, N.B.; Dridi, S. Intestinal Barrier Integrity in Heat-Stressed Modern Broilers and Their Ancestor Wild Jungle Fowl. Front. Vet. Sci. 2020, 7, 249. [Google Scholar] [CrossRef]
- Chatterjee, S. Oxidative Stress, Inflammation, and Disease. In Oxidative Stress and Biomaterials; Academic Press: Cambridge, MA, USA, 2016; pp. 35–58. [Google Scholar]
- Gehring, J.; Trepka, B.; Klinkenberg, N.; Bronner, H.; Schleheck, D.; Polarz, S. Sunlight-Triggered Nanoparticle Synergy: Teamwork of Reactive Oxygen Species and Nitric Oxide Released from Mesoporous Organosilica with Advanced Antibacterial Activity. J. Am. Chem. Soc. 2016, 138, 3076–3084. [Google Scholar] [CrossRef] [PubMed]
- Gresse, R.; Chaucheyras-Durand, F.; Fleury, M.A.; Van de Wiele, T.; Forano, E.; Blanquet-Diot, S. Gut Microbiota Dysbiosis in Postweaning Piglets: Understanding the Keys to Health. Trends Microbiol. 2017, 25, 851–873. [Google Scholar] [CrossRef] [PubMed]
- Jiang, X.-R.; Li, X.; Awati, A.; Bento, H.; Zhang, H.; Bontempo, V. Effect of an essential oils blend on growth performance, and selected parameters of oxidative stress and antioxidant defence of Escherichia coli challenged piglets. J. Anim. Feed Sci. 2017, 26, 38–43. [Google Scholar] [CrossRef]
- Frankič, T.; Pajk, T.; Rezar, V.; Levart, A.; Salobir, J. The role of dietary nucleotides in reduction of DNA damage induced by T-2 toxin and deoxynivalenol in chicken leukocytes. Food Chem. Toxicol. 2006, 44, 1838–1844. [Google Scholar] [CrossRef] [PubMed]
- Awad, W.A.; Ghareeb, K.; Dadak, A.; Hess, M.; Böhm, J. Single and Combined Effects of Deoxynivalenol Mycotoxin and a Microbial Feed Additive on Lymphocyte DNA Damage and Oxidative Stress in Broiler Chickens. PLoS ONE 2014, 9, e88028. [Google Scholar] [CrossRef] [PubMed]
- Awad, W.A.; Ghareeb, K.; Dadak, A.; Gille, L.; Staniek, K.; Hess, M.; Böhm, J. Genotoxic effects of deoxynivalenol in broiler chickens fed low-protein feeds. Poult. Sci. 2012, 91, 550–555. [Google Scholar] [CrossRef] [PubMed]
- Miao, Z.; Haider, M.S.; Nazar, M.; Mansoor, M.K.; Zhang, H.; Tang, Z.; Li, Y. Potential molecular mechanism of ascites syndrome in broilers. World’s Poult. Sci. J. 2022, 78, 689–704. [Google Scholar] [CrossRef]
- Cawthon, D.; Beers, K.; Bottje, W.G. Electron Transport Chain Defect and Inefficient Respiration May Underlie Pulmonary Hypertension Syndrome (Ascites)-Associated Mitochondrial Dysfunction in Broilers. Poult. Sci. 2001, 80, 474–484. [Google Scholar] [CrossRef]
- Bottje, W.G.; Wideman, R.F. Potential role of free radicals in the etiology of pulmonary hypertension syndrome. Poult. Avian. Biol. Rev. 1995, 6, 211–231. [Google Scholar]
- Yehye, W.A.; Rahman, N.A.; Ariffin, A.; Hamid, S.B.A.; Alhadi, A.A.; Kadir, F.A.; Yaeghoobi, M. Understanding the chemistry behind the antioxidant activities of butylated hydroxytoluene (BHT): A review. Eur. J. Med. Chem. 2015, 101, 295–312. [Google Scholar] [CrossRef] [PubMed]
- European Commission. Register of Feed Additives (Online) Category (europa.eu). 2003. Available online: https://food.ec.europa.eu/safety/animal-feed/feed-additives/eu-register_en (accessed on 25 August 2022).
- German, J.B.; Traber, M.G. Nutrients and Oxidation: Actions, Transport, and Metabolism of Dietary Antioxidants. In Handbook of Vitamins, 3rd ed.; Rucker, R.B., Suttie, J.W., McCormick, D.B., Machlin, L.J., Eds.; Marcel Dekker Inc.: New York, NY, USA, 2001; pp. 569–588. [Google Scholar]
- Draper, H.H. Nutritional modulation of oxygen radical pathology. Adv. Nutr. Res. 1990, 8, 119–145. [Google Scholar] [PubMed]
- Wu, L.; Yin, W.; Tang, K.; Li, D.; Shao, K.; Zuo, Y.; Ma, J.; Liu, J.; Han, H. Enzymatic biosensor of horseradish peroxidase immobilized on Au-Pt nanotube/Au-graphene for the simultaneous determination of antioxidants. Anal. Chim. Acta 2016, 933, 89–96. [Google Scholar] [CrossRef] [PubMed]
- Yue, X.; Liu, L.; Li, Z.; Yang, Q.; Zhu, W.; Zhang, W.; Wang, J. Highly specific and sensitive determination of propyl gallate in food by a novel fluorescence sensor. Food Chem. 2018, 256, 45–52. [Google Scholar] [CrossRef] [PubMed]
- Pashtetsky, V.; Ostapchuk, P.; Il’yasov, R.; Zubochenko, D.; Kuevda, T. Use of Antioxidants in Poultry Farming. Conference Proceedings on Innovations in Agricultural and Rural Development 2019. Available online: https://iopscience.iop.org/article/10.1088/1755-1315/341/1/012042/pdf (accessed on 7 August 2022).
- Halpner, A.D.; Handelman, G.J.; Belmont, C.A.; Harris, J.M.; Blumberg, J.B. Protection by vitamin C of oxidant-induced loss of vitamin E in rat hepatocytes. J. Nutr. Biochem. 1998, 9, 355–359. [Google Scholar] [CrossRef]
- Panda, A.K.; Cherian, G. Role of Vitamin E in Counteracting Oxidative Stress in Poultry. J. Poult. Sci. 2014, 51, 0130134. [Google Scholar] [CrossRef]
- Taulescu, C.; Mihaiu, M.; Bele, C.; Matea, C.; Dan, S.D.; Mihaiu, R.; Lapusan, A. Antioxidant Effect of Vitamin E and Selenium on Omega-3 Enriched Poultry Meat. Bulletin of the University of Agricultural Sciences & Veterinary Medicine Cluj-Napoca. Vet. Med. 2011, 68, 293–299. [Google Scholar]
- Pompeu, M.A.; Cavalcanti, L.; Toral, F. Effect of vitamin E supplementation on growth performance, meat quality, and immune response of male broiler chickens: A meta-analysis. Livest. Sci. 2018, 208, 5–13. [Google Scholar] [CrossRef]
- Gessner, D.K.; Ringseis, R.; Eder, K. Potential of plant polyphenols to combat oxidative stress and inflammatory processes in farm animals. J. Anim. Physiol. Anim. Nutr. 2017, 101, 605–628. [Google Scholar] [CrossRef]
- Eder, K.; Grünthal, G.; Kluge, H.; Hirche, F.; Spilke, J.; Brandsch, C. Concentrations of cholesterol oxidation products in raw, heat-processed and frozen-stored meat of broiler chickens fed diets differing in the type of fat and vitamin E concentrations. Brit. J. Nutr. 2005, 93, 633–643. [Google Scholar] [CrossRef]
- Surai, P.F. Effect of selenium and vitamin E content of the maternal diet on the antioxidant system of the yolk and the developing chick. Brit. Poult. Sci. 2000, 41, 235–243. [Google Scholar] [CrossRef] [PubMed]
- Urso, U.R.A.; Dahlke, F.; Maiorka, A.; Bueno, I.J.M.; Schneider, A.F.; Surek, D.; Rocha, C. Vitamin E and selenium in broiler breeder diets: Effect on live performance, hatching process, and chick quality. Poult. Sci. 2015, 94, 976–983. [Google Scholar] [CrossRef] [PubMed]
- Khan, R.U.; Rahman, Z.; Javed, I.; Muhammad, F. Supplementation of vitamins, probiotics and proteins on oxidative stress, enzymes and hormones in post-moult male broiler breeders. Arch. Anim. Breed. 2013, 56, 607–616. [Google Scholar] [CrossRef]
- Khan, R.; Rahman, Z.-U.; Javed, I.; Muhammad, F. Effect of vitamins, probiotics and protein on semen traits in post-molt male broiler breeders. Anim. Reprod. Sci. 2012, 135, 85–90. [Google Scholar] [CrossRef]
- Seppanen, C.M.; Song, Q.; Csallany, A.S. The Antioxidant Functions of Tocopherol and Tocotrienol Homologues in Oils, Fats, and Food Systems. J. Am. Oil Chem. Soc. 2010, 87, 469–481. [Google Scholar] [CrossRef]
- Javan, A.J.; Nikmanesh, A.; Keykhosrravy, K.; Maftoon, S.; Amin Zare, M.; Bayani, M.; Parsiemehr, M.; Raeisi, M. Effect of Citric Acid Dipping Treatment on Bioactive Components and Antioxidant Properties of Slices Button Mushrooms (Agaricus bisporus). J. Food Qual. Hazard. Control 2015, 2, 20–25. [Google Scholar]
- Di Palma, L.; Mecozzi, R. Heavy metals mobilization from harbour sediments using EDTA and citric acid as chelating agents. J. Hazard. Mater. 2007, 147, 768–775. [Google Scholar] [CrossRef]
- Faria, A.; Fernandes, I.; Norberto, S.; Mateus, N.; Calhau, C. Interplay between Anthocyanins and Gut Microbiota. J. Agric. Food Chem. 2014, 62, 6898–6902. [Google Scholar] [CrossRef]
- Shahidi, F.; Wanasundara, P.D. Phenolic antioxidants. Crit. Rev. Food Sci. Nutr. 1992, 32, 67–103. [Google Scholar] [CrossRef]
- Del Campo, J.; Amiot, M.J.; Nguyen-The, C. Antimicrobial Effect of Rosemary Extracts. J. Food Prot. 2000, 63, 1359–1368. [Google Scholar] [CrossRef]
- Moreno, S.; Scheyer, T.; Romano, C.S.; Vojnov, A.A. Antioxidant and antimicrobial activities of rosemary extracts linked to their polyphenol composition. Free Radic. Res. 2005, 40, 223–231. [Google Scholar] [CrossRef]
- Ahmad, A.; Singhal, U.; Hossain, M.M.; Islam, N.; Rizvi, I. The role of the endogenous antioxidant enzymes and malondialdehyde in essential hypertension. J. Clin. Diagn. Res. JCDR 2013, 7, 987. [Google Scholar] [PubMed]
- De Grande, A.; Leleu, S.; Delezie, E.; Rapp, C.; De Smet, S.; Goossens, E.; Haesebrouck, F.; Van Immerseel, F.; Ducatelle, R. Dietary zinc source impacts intestinal morphology and oxidative stress in young broilers. Poult. Sci. 2020, 99, 441–453. [Google Scholar] [CrossRef] [PubMed]
- Bayraktar, H.; Altan, Ö.; Acikgoz, Z.; Baysal, Ş.H.; Şeremet, Ç. Effects of oxidised oil and vitamin E on performance and some blood traits of heat-stressed male broilers. S. Afr. J Anim. Sci. 2011, 41, 288–296. [Google Scholar] [CrossRef][Green Version]
- Hossini-Vashan, S.J.; Golian, A.; Yaghobfar, A. Growth, immune, antioxidant, and bone responses of heat stressed broilers fed diets supplemented with tomato pomace. Int. J Biometeorol. 2016, 60, 1183–1192. [Google Scholar] [CrossRef] [PubMed]
- Wen, C.; Liu, Y.; Ye, Y.; Tao, Z.; Cheng, Z.; Wang, T.; Zhou, Y. Effects of gingerols-rich extract of ginger on growth performance, serum metabolites, meat quality and antioxidant activity of heat-stressed broilers. J. Therm. Biol. 2020, 89, 102544. [Google Scholar] [CrossRef]
- Rajani, J.; Torshizi, M.K.; Rahimi, S. Control of ascites mortality and improved performance and meat shelf-life in broilers using feed adjuncts with presumed antioxidant activity. Anim. Feed Sci. Technol. 2011, 170, 239–245. [Google Scholar] [CrossRef]
- Alian, H.A.; Samy, H.M.; Ibrahim, M.T.; Mahmoud, M. Nanoselenium effect on growth performance, carcass traits, antioxidant activity, and immune status of broilers. Environ. Sci. Pollut. Res. 2020, 27, 38607–38616. [Google Scholar] [CrossRef]
- Boostani, A.; Sadeghi, A.A.; Mousavi, S.N.; Chamani, M.; Kashan, N. The effects of organic, inorganic, and nano-selenium on blood attributes in broiler chickens exposed to oxidative stress. Acta Sci. Vet. 2015, 43, 1–6. [Google Scholar]
- Shen, M.; Zhang, L.; Chen, Y.; Zhang, Y.; Han, H.; Niu, Y.; He, J.; Cheng, Y.; Wang, T. Effects of bamboo leaf extract on growth performance, meat quality, and meat oxidative stability in broiler chickens. Poult. Sci. 2019, 98, 6787–6796. [Google Scholar] [CrossRef]
- Cheng, Y.; Du, M.; Xu, Q.; Chen, Y.; Wen, C.; Zhou, Y. Dietary mannan oligosaccharide improves growth performance, muscle oxidative status, and meat quality in broilers under cyclic heat stress. J. Therm. Biol. 2018, 75, 106–111. [Google Scholar] [CrossRef] [PubMed]
- Chang, Q.; Lu, Y.; Lan, R. Chitosan oligosaccharide as an effective feed additive to maintain growth performance, meat quality, muscle glycolytic metabolism, and oxidative status in yellow-feather broilers under heat stress. Poult. Sci. 2020, 99, 4824–4831. [Google Scholar] [CrossRef] [PubMed]
- Hussan, F.; Krishna, D.; Preetam, V.C.; Reddy, P.B.; Gurram, S. Dietary supplementation of nano zinc oxide on performance, carcass, serum and meat quality parameters of commercial broilers. Biol. Trace Elem. Res. 2022, 200, 348–353. [Google Scholar] [CrossRef] [PubMed]
- Wen, C.; Chen, Y.; Leng, Z.; Ding, L.; Wang, T.; Zhou, Y. Dietary betaine improves meat quality and oxidative status of broilers under heat stress. J. Sci. Food Agric. 2018, 99, 620–623. [Google Scholar] [CrossRef]
- Cheng, K.; Song, Z.H.; Zheng, X.C.; Zhang, H.; Zhang, J.F.; Zhang, L.L.; Zhou, Y.M.; Wang, T. Effects of dietary vitamin E type on the growth performance and antioxidant capacity in cyclophosphamide immunosuppressed broilers. Poult. Sci. 2017, 96, 1159–1166. [Google Scholar] [CrossRef]
- Karadas, F.; Erdoğan, S.; Kor, D.; Oto, G.; Uluman, M. The Effects of Different Types of Antioxidants (Se, Vitamin E and Carotenoids) in Broiler Diets on the Growth Performance, Skin Pigmentation and Liver and Plasma Antioxidant Concentrations. Rev. Bras. Cienc. Avic. 2016, 18, 101–116. [Google Scholar] [CrossRef]
- Akhavast, A.R.; Daneshyar, M. Effects of Rosemary (Rosmarinus Officinalis) Extract on Performance, Antioxidant Ability and Blood Gas Indices of Broiler Chickens Treated with Sodium Nitrite in Drinking Water. Iran. J Appl. Anim Sci. 2017, 7, 471–477. [Google Scholar]
- Yildirim, B.A.; Tunc, M.A.; Gül, M.; Yildirim, F.; Yıldız, A. The effect of Rosemary (Rosmarinus officinalis L.) extract supplemented into broiler diets, on performance and blood parameters. GSC Biol. Pharm. Sci. 2018, 2, 1–9. [Google Scholar]
- Liu, H.S.; Mahfuz, S.U.; Wu, D.; Shang, Q.H.; Piao, X.S. Effect of chestnut wood extract on performance, meat quality, antioxidant status, immune function and cholesterol metabolism in broilers. Poult. Sci. 2020, 99, 4488–4495. [Google Scholar] [CrossRef]
- Ouyang, K.; Xu, M.; Jiang, Y.; Wang, W. Effects of alfalfa flavonoids on broiler performance, meat quality, and gene expression. Can. J. Anim. Sci. 2016, 96, 332–341. [Google Scholar] [CrossRef]
- Schiavone, A.; Guo, K.; Tassone, S.; Gasco, L.; Hernandez, E.; Denti, R.; Zoccarato, I. Effects of a Natural Extract of Chestnut Wood on Digestibility, Performance Traits, and Nitrogen Balance of Broiler Chicks. Poult. Sci. 2008, 87, 521–527. [Google Scholar] [CrossRef] [PubMed]
- Biagia, G.; Cipollini, I.; Paulicks, B.R.; Roth, F.X. Effect of tannins on growth performance and intestinal ecosystem in weaned piglets. Arch. Anim. Nutr. 2010, 64, 121–135. [Google Scholar] [CrossRef] [PubMed]
- Liu, H.; Hu, J.; Mahfuz, S.; Piao, X. Effects of Hydrolysable Tannins as Zinc Oxide Substitutes on Antioxidant Status, Immune Function, Intestinal Morphology, and Digestive Enzyme Activities in Weaned Piglets. Animals 2020, 10, 757. [Google Scholar] [CrossRef] [PubMed]
- Starčević, K.; Krstulović, L.; Brozić, D.; Maurić, M.; Stojević, Z.; Mikulec, Ž.; Bajić, M.; Mašek, T. Production performance, meat composition and oxidative susceptibility in broiler chicken fed with different phenolic compounds. J. Sci. Food Agric. 2015, 95, 1172–1178. [Google Scholar] [CrossRef] [PubMed]
- Sahin, N.; Hayirli, A.; Orhan, C.; Tuzcu, M.; Akdemir, F.; Komorowski, J.R.; Sahin, K. Effects of the supplemental chromium form on performance and oxidative stress in broilers exposed to heat stress. Poult. Sci. 2017, 96, 4317–4324. [Google Scholar] [CrossRef]
- Pan, L.; Ma, X.; Zhao, P.; Shang, Q.; Long, S.; Wu, Y.; Piao, X. Forsythia suspensa extract attenuates breast muscle oxidative injury induced by transport stress in broilers. Poult. Sci. 2018, 97, 1554–1563. [Google Scholar] [CrossRef]
- Sarsour, A.; Persia, M. Effects of sulfur amino acid supplementation on broiler chickens exposed to acute and chronic cyclic heat stress. Poult. Sci. 2022, 101, 101952. [Google Scholar] [CrossRef]
- Chen, S.; Xue, Y.; Shen, Y.; Ju, H.; Zhang, X.; Liu, J.; Wang, Y. Effects of different selenium sources on duodenum and jejunum tight junction network and growth performance of broilers in a model of fluorine-induced chronic oxidative stress. Poult. Sci. 2021, 101, 101664. [Google Scholar] [CrossRef]
- Burin Junior, A.M. Intestinal Integrity, Oxidative Stress, and Immune Competence of Broilers Exposed to Heat Stress and Supplemented with Zn Amino Acid Complex. Ph.D. Dissertation, Universidade de São Paulo, Sao Paulo, Brazil, 2019. [Google Scholar]
- Sarker, T.; Wan, X.; Yang, H.; Wang, Z. Dietary Lycopene Supplementation Could Alleviate Aflatoxin B1 Induced Intestinal Damage through Improving Immune Function and Anti-Oxidant Capacity in Broilers. Animals 2021, 11, 3165. [Google Scholar] [CrossRef]
- Lin, W.C.; Lee, T.T. The Laetiporus sulphureus fermented product enhances the antioxidant status, intestinal tight junction, and morphology of broiler chickens. Animals 2021, 11, 149. [Google Scholar] [CrossRef]
- Turcu, R.P.; Panaite, T.D.; Untea, A.E.; Șoica, C.; Iuga, M.; Mironeasa, S. Effects of Supplementing Grape Pomace to Broilers Fed Polyunsaturated Fatty Acids Enriched Diets on Meat Quality. Animals 2020, 10, 947. [Google Scholar] [CrossRef] [PubMed]
- Sheehy, P.J.A.; Morrissey, P.A.; Flynn, A. Increased storage stability of chicken muscle by dietary a-tocopherol supplementation. Ir. J. Agric. Food Res. 1993, 32, 67–73. [Google Scholar]
- Brandon, S.; Morrissey, P.A.; Buckley, D.J.; Frigg, M. Influence of dietary a-tocopheryl acetate on the oxidative stability of chicken tissues. In Proceedings of the 11th European Symposium on The Quality of Poultry Meat, Tours, France, 4–8 October 1993; pp. 397–403. [Google Scholar]
- Morrissey, P.; Buckley, D.; Sheehy, P.; Monahan, F. Vitamin E and meat quality. Proc. Nutr. Soc. 1994, 53, 289–295. [Google Scholar] [CrossRef] [PubMed]
- Niu, Z.Y.; Min, Y.N.; Liu, F.Z. Dietary vitamin E improves meat quality and antioxidant capacity in broilers by upregulating the expression of antioxidant enzyme genes. J. Appl. Anim. Res. 2018, 46, 397–401. [Google Scholar] [CrossRef]
- Dev, K.; Mir, N.A.; Biswas, A.; Kannoujia, J.; Begum, J.; Kant, R.; Mandal, A. Dietary synbiotic supplementation improves the growth performance, body antioxidant pool, serum biochemistry, meat quality, and lipid oxidative stability in broiler chickens. Anim. Nutr. 2020, 6, 325–332. [Google Scholar] [CrossRef] [PubMed]
- Leskovec, J.; Levart, A.; Perić, L.; Stojčić, M.Đ.; Tomović, V.; Pirman, T.; Salobir, J.; Rezar, V. Antioxidative effects of supplementing linseed oil-enriched diets with α-tocopherol, ascorbic acid, selenium, or their combination on carcass and meat quality in broilers. Poult. Sci. 2019, 98, 6733–6741. [Google Scholar] [CrossRef]
- Cai, S.J.; Wu, C.X.; Gong, L.M.; Song, T.; Wu, H.; Zhang, L.Y. Effects of nano-selenium on performance, meat quality, immune function, oxidation resistance, and tissue selenium content in broilers. Poult. Sci. 2012, 91, 2532–2539. [Google Scholar] [CrossRef]
- Lu, Z.; He, X.; Ma, B.; Zhang, L.; Li, J.; Jiang, Y.; Zhou, G.; Gao, F. Dietary taurine supplementation improves breast meat quality in chronic heat-stressed broilers via activating the Nrf2 pathway and protecting mitochondria from oxidative attack. J. Sci. Food Agric. 2018, 99, 1066–1072. [Google Scholar] [CrossRef]
- Adeyemi, K.D. Comparative effect of dietary Morinda lucida leaf and Butylated hydroxyanisole (BHA) on carcass traits, meat quality, and oxidative stability of broiler chickens. J. Food Sci. Technol. 2021, 58, 4359–4369. [Google Scholar] [CrossRef]
- Lu, L.; Luo, X.G.; Ji, C.; Liu, B.; Yu, S.X. Effect of manganese supplementation and source on carcass traits, meat quality, and lipid oxidation in broilers1. J. Anim. Sci. 2007, 85, 812–822. [Google Scholar] [CrossRef]
Publisher’s Note: MDPI stays neutral with regard to jurisdictional claims in published maps and institutional affiliations. |
© 2022 by the authors. Licensee MDPI, Basel, Switzerland. This article is an open access article distributed under the terms and conditions of the Creative Commons Attribution (CC BY) license (https://creativecommons.org/licenses/by/4.0/).