Trends and Interdependence of Solar Radiation and Air Temperature—A Case Study from Germany
Abstract
:1. Introduction
2. Materials and Methods
2.1. Data
2.2. Assessment of Spatiotemporal Variability
2.3. Assessment of the Correlation between SIS and TAS
3. Results and Discussion
3.1. Annual Mean Pattern and Trends
3.2. Trends and Inter-Annual Variability
3.3. Changes in High SISMAM and TASMAM Values
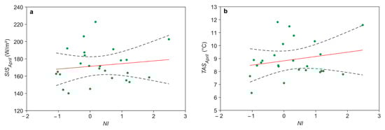
3.4. Influence of the NAO Index on SIS and TAS
3.5. Correlation between SIS and TAS
3.6. Ratio of Temperature and Solar Radiation
4. Conclusions
Funding
Data Availability Statement
Conflicts of Interest
Appendix A
| Acronyms, Abbreviations | |
| CM SAF | Satellite Application Facility on Climate Monitoring |
| HYRAS | Hydrometeorological Gridded Data from DWD |
| NOAA | National Atmospheric and Oceanic Administration |
| SARAH | Surface Solar Radiation Data Set-Heliosat |
| Symbols | |
| α | confidence level |
| CFC | cloud fractional coverage (%) |
| IAV | inter-annual variability |
| NAO | North Atlantic Oscillation |
| NI | NAO index |
| p | significance level |
| R | correlation coefficient |
| R2 | coefficient of determination |
| SIS | surface incoming solar radiation (W/m2) |
| TAS | air temperature standard measured 2 m above ground (°C) |
| Subscripts | |
| A | year |
| DJF | winter |
| IAV | inter-annual variability |
| JJA | summer |
| M | month |
| MAM | spring |
| NAO | North Atlantic Oscillation |
| P | study period (1991–2015) |
| SIS | solar radiation |
| SON | autumn |
| T | trend |
| TAS | surface air temperature |
References
- Obregón, M.A.; Costa, M.J.; Silva, A.M.; Serrano, A. Spatial and temporal variation of aerosol and water vapour effects on solar radiation in the Mediterranean basin during the last two decades. Remote Sens. 2020, 12, 1316. [Google Scholar] [CrossRef]
- Wang, K.; Dickinson, R.E. Contribution of solar radiation to decadal temperature variability over land. Proc. Natl. Acad. Sci. USA 2013, 110, 14877–14882. [Google Scholar] [CrossRef] [PubMed]
- Reitan, C.H. A Climatic model of solar radiation and temperature change. Quat. Res. 1974, 4, 25–38. [Google Scholar] [CrossRef]
- Yang, C.; Yan, Z.; Jones, P.D.; Davies, T.D.; Moberg, A.; Bergström, H.; Camuffo, D.; Cocheo, C.; Maugeri, M.; Demarée, G.R.; et al. Trends of extreme temperatures in Europe and China based on daily observations. Clim. Chang. 2002, 53, 355–392. [Google Scholar] [CrossRef]
- Waldau, T.; Chmielewski, F.M. Spatial and temporal changes of spring temperature, thermal growing season and spring phenology in Germany 1951–2015. Meteorol. Z. 2018, 27, 335–342. [Google Scholar] [CrossRef]
- Russak, V. Changes in solar radiation and their influence on temperature trend in Estonia (1955–2007). J. Geophys. Res. Atm. 2009, 114, D00D01. [Google Scholar] [CrossRef]
- Al-Kouz, W.; Al-Dahidi, S.; Hammad, B.; Al-Abed, M. Modeling and analysis framework for investigating the impact of dust and temperature on PV systems’ performance and optimum cleaning frequency. Appl. Sci. 2019, 9, 1397. [Google Scholar] [CrossRef]
- World Meteorological Organization. Guide to Instruments and Methods of Observation (WMO-No. 8). In Guide to Meteorological Instruments and Methods of Observation; World Meteorological Organization: Geneva, Switzerland, 2018; Volumes I and II. [Google Scholar]
- Sawadogo, W.; Abiodun, B.J.; Okogbue, E.C. Impacts of global warming on photovoltaic power generation over West Africa. Ren. Energy 2020, 151, 263–277. [Google Scholar] [CrossRef]
- Kawajiri, K.; Oozeki, T.; Genchi, Y. Effect of temperature on PV potential in the world. Environ. Sci. Technol. 2011, 45, 9030–9035. [Google Scholar] [CrossRef] [PubMed]
- Hasanuzzaman, M.; Malek, A.B.M.A.; Islam, M.M.; Pandey, A.K.; Rahim, N.A. Global advancement of cooling technologies for PV systems: A review. Sol. Energy 2016, 137, 25–45. [Google Scholar] [CrossRef]
- Federal Network Agency (Bundesnetzagentur). Download Market Data. Available online: https://www.smard.de/en/downloadcenter/download-market-data (accessed on 1 August 2022).
- van der Wiel, K.; Stoop, L.P.; van Zuijlen, B.R.H.; Blackport, R.; van den Broek, M.A.; Selten, F.M. Meteorological conditions leading to extreme low variable renewable energy production and extreme high energy shortfall. Renew. Sustain. Energy Rev. 2019, 111, 261–275. [Google Scholar] [CrossRef]
- Schindler, D.; Behr, H.D.; Jung, C. On the spatiotemporal variability and potential of complementarity of wind and solar resources. Energy Convers. Manag. 2020, 218, 113016. [Google Scholar] [CrossRef]
- IPCC. Sixth Assessment Report (AR6) 2021/2022. Available online: https://www.ipcc.ch/assessment-report/ar6/ (accessed on 9 June 2022).
- National Oceanic and Atmospheric Administration. Indices and Forecasts, NAO (North Atlantic Oscillation). Available online: https://www.cpc.ncep.noaa.gov/products/precip/CWlink/daily_ao_index/teleconnections.shtml (accessed on 9 June 2022).
- Kothe, S.; Hollmann, R.; Pfeifroth, U.; Träger-Chatterjee, C.; Trentmann, J. The CM SAF R Toolbox—A tool for the easy usage of satellite-based climate data in NetCDF format. ISPRS Int. J. Geo-Inf. 2019, 8, 109. [Google Scholar] [CrossRef]
- Pfeifroth, U.; Kothe, S.; Trentmann, J.; Hollmann, R.; Fuchs, P.; Kaiser, J.; Werscheck, M. Surface Radiation Data Set—Heliosat (SARAH), ed. 2.1; Satellite Application Facility on Climate Monitoring (CM SAF): Offenbach am Main, Germany, 2019. [Google Scholar] [CrossRef]
- Müller, R.; Pfeifroth, U.; Träger-Chatterjee, C.; Trentmann, J.; Cremer, R. Digging the METEOSAT treasure-3 decades of solar surface radiation. Remote Sens. 2015, 7, 8067–8101. [Google Scholar] [CrossRef]
- Behr, H.D.; Jung, C.; Trentmann, J.; Schindler, D. Using satellite data for assessing spatiotemporal variability and complementarity of solar resources—A case study from Germany. Meteorol. Z. 2021, 30, 515–532. [Google Scholar] [CrossRef]
- Frick, C.; Steiner, H.; Mazurkiewicz, A.; Riediger, U.; Rauthe, M.; Reich, T.; Gratzki, A. Central European high-resolution gridded daily data sets (HYRAS): Mean temperature and relative humidity. Meteorol. Z. 2014, 23, 15–32. [Google Scholar] [CrossRef]
- Mann, H.B. Nonparametric Tests against Trend. Econometrica 1945, 13, 245–259. [Google Scholar] [CrossRef]
- Jung, C.; Schindler, D. On the inter-annual variability of wind energy generation—A case study from Germany. Appl. Energy 2018, 230, 845–854. [Google Scholar] [CrossRef]
- Kasten, F.; Czeplak, G. Solar and terrestrial radiation dependent on the amount and type of cloud. Sol. Energy 1980, 24, 177–189. [Google Scholar] [CrossRef]
- Hurrel, J.W.; Kushnir, Y.; Ottersen, G.; Visbeck, M. The North Atlantic Oscillation: Climatic Significance and Environmental Impact; Geophysical Monograph Series; American Geophysical Union: Washington, DC, USA, 2003; Volume 134. [Google Scholar] [CrossRef]
- Pfeifroth, U.; Bojanowski, J.S.; Clerbaux, N.; Manara, V.; Sanchez-Lorenzo, A.; Trentmann, J.; Walawender, J.P.; Hollmann, R. Satellite-based trends of solar radiation and cloud parameters in Europe. Adv. Sci. Res. 2018, 15, 31–37. [Google Scholar] [CrossRef]
- Huld, T.; Trentmann, J. Variability and trend in the annual solar irradiation determined from METEOSAT satellite data. In Proceedings of the 31st EUPVSEC, Hamburg, Germany, 14–18 September 2015; pp. 2073–2076. [Google Scholar] [CrossRef]
- Alexandri, G.; Georgoulias, A.K.; Meleti, C.; Balis, D.; Kourtidis, K.A.; Sanchez-Lorenzo, A.; Trentmann, J.; Zanis, P. A high resolution satellite view of surface solar radiation over the climatically sensitive region of Eastern Mediterranean. Atmos. Res. 2017, 188, 107–121. [Google Scholar] [CrossRef]
- Manara, V.; Bassi, M.; Brunetti, M.; Cagnazzi, B.; Maugeri, M. 1990–2016 surface solar radiation variability and trend over the Piedmont region (northwest Italy). Theor. App. Clim. 2019, 136, 849–862. [Google Scholar] [CrossRef]
- Mäder, C.; Richter, S.; Lehmann, H. Globale Erwärmung im letzten Jahrzehnt? Umweltbundesamt, 2013. Available online: https://www.umweltbundesamt.de/themen/globale-erwaermung-im-letzten-jahrzehnt (accessed on 9 June 2022).
- van der Wiel, K.; Bloomfield, H.C.; Lee, R.W.; Stoop, L.P.; Blackport, R.; Screen, J.A.; Selten, F.M. The influence of weather regimes on European renewable energy production and demand. Environ. Res. Lett. 2019, 14, 094010. [Google Scholar] [CrossRef]










| Interval | ΔSIS (W/m2/10 yr) | ΔTAS (K/10 yr) |
|---|---|---|
| Year | +2.4, R2 = 0.13 | +0.32, R2 = 0.12 |
| Winter | +0.9, R2 = 0.08 | −0.03, R2 = 0.00 |
| Spring | +4.6, R2 = 0.08 | +0.23, R2 = 0.03 |
| Summer | +1.0, R2 = 0.01 | +0.16, R2 = 0.02 |
| Autumn | +3.1, R2 = 0.11 | +0.66, R2 = 0.21 |
| Month | RSIS,TAS | RNI,SIS | RNI,TAS |
|---|---|---|---|
| January | −0.15 | 0.14 | 0.50 |
| February | 0.21 | 0.40 | 0.43 |
| March | 0.33 | 0.35 | 0.66 |
| April | 0.68 | 0.15 | 0.22 |
| May | 0.84 | 0.31 | 0.34 |
| June | 0.74 | 0.32 | 0.00 |
| July | 0.93 | 0.38 | 0.32 |
| August | 0.76 | 0.43 | 0.29 |
| September | 0.74 | 0.31 | 0.21 |
| October | 0.30 | −0.06 | 0.15 |
| November | 0.43 | 0.35 | −0.04 |
| December | 0.43 | 0.21 | 0.80 |
Publisher’s Note: MDPI stays neutral with regard to jurisdictional claims in published maps and institutional affiliations. |
© 2022 by the author. Licensee MDPI, Basel, Switzerland. This article is an open access article distributed under the terms and conditions of the Creative Commons Attribution (CC BY) license (https://creativecommons.org/licenses/by/4.0/).
Share and Cite
Behr, H.D. Trends and Interdependence of Solar Radiation and Air Temperature—A Case Study from Germany. Meteorology 2022, 1, 341-354. https://doi.org/10.3390/meteorology1040022
Behr HD. Trends and Interdependence of Solar Radiation and Air Temperature—A Case Study from Germany. Meteorology. 2022; 1(4):341-354. https://doi.org/10.3390/meteorology1040022
Chicago/Turabian StyleBehr, Hein Dieter. 2022. "Trends and Interdependence of Solar Radiation and Air Temperature—A Case Study from Germany" Meteorology 1, no. 4: 341-354. https://doi.org/10.3390/meteorology1040022
APA StyleBehr, H. D. (2022). Trends and Interdependence of Solar Radiation and Air Temperature—A Case Study from Germany. Meteorology, 1(4), 341-354. https://doi.org/10.3390/meteorology1040022

