Next Article in Journal
Gender Differences in Sexual Well-Being and Sexual Identity Development among Youth Formerly in the Foster Care System in the United States
Next Article in Special Issue
Understanding and Reducing NEET: Perspectives of Schoolteachers and Career Advice Service Providers
Previous Article in Journal
Why Don’t Young People Seek Help for Mental Illness? A Cross-Sectional Study in Greece
Previous Article in Special Issue
Discrimination towards Youth in Goods and Services Markets: Evidence from Field Experiments in France
 
 
Due to scheduled maintenance work on our servers, there may be short service disruptions on this website between 11:00 and 12:00 CEST on March 28th.
Font Type:
Arial Georgia Verdana
Font Size:
Aa Aa Aa
Line Spacing:
Column Width:
Background:
Article

A Typology of Transition Patterns Involving Long-Term NEET Episodes: Accumulation of Risk and Adversity

by
Helle Bendix Kleif
Department of Sociology and Social Work, Aalborg University, 2450 Copenhagen, Denmark
Youth 2023, 3(1), 170-183; https://doi.org/10.3390/youth3010012
Submission received: 10 December 2022 / Revised: 6 February 2023 / Accepted: 7 February 2023 / Published: 9 February 2023
(This article belongs to the Special Issue School-to-Work Transition of NEETS)

Abstract

:
This paper uses Danish population-based administrative registers to study contemporary school-to-work transitions among young adults who experience long-term NEET episodes between age 16 and 20. By applying sequence analysis and clustering, this paper identifies five distinct transition patterns. Using this typology as the outcome variable in multinomial regression the paper offers insight into how experiences and circumstances, developing until age 16, can affect the subsequently unfolding transition process. Finally, the paper looks ahead and describes whether transitional difficulty accumulates into early adulthood. While one transition pattern stands out as more stable and less worrying, three of the remaining four demonstrate how transitional difficulty between age 16 and 20 develops as precarious patterns of attachment to well-established systems within the Danish welfare state. It is further established that various childhood risk factors significantly increase the odds of experiencing precarious transition patterns. Finally, the analyses demonstrate how instability and risk during childhood and school-to-work transition extend into early adulthood for a large part of the study population.

1. Introduction

This study originates from a Danish context, where the past five years have been characterized by an increasing vigilance regarding young adults outside of education and work. Political debates, as well as research calls and outputs, evolve around the persistent number of young adults outside education and work, which has not changed considerably, despite national and local political prioritization and effort. Between 2012 and 2021, the number of Danish young adults NEET (not in education, employment or training) fluctuated between 8 and 10 percent of 15 to 29-year-olds. In comparison, the European average (EU-27) decreased from 16 percent in 2012 to 13 percent in 2021 [1]. While the Danish NEET rates are low compared to some of the European high-jumpers, such as Italy (NEET rates developing between 22 and 26 percent), the attention has been reinforced by the national health profile, carried out every four years by the Danish Health Authorities, which, for the same age groups, documents an increasing trend, since 2010, in self-reported ill mental health [2].
This paper contributes to understanding the challenge posed by young adults outside of education and work. The analyses apply a longitudinal framework and consider school-to-work transitions to develop as a process with several possible, consecutive transitions. The longitudinal framework has demonstrated its relevance to the study of prolonged, less linear school-to-work transitions [3,4,5] and helps shed light on transition patterns among young adults who experience NEET episodes during their school-to-work transitions [6]. As Kleif [6] demonstrates, around 80 percent of young adult Danes, who experience NEET episode(s), the episode(s) exhibit a short-term nature, followed by a return to education or work. However, for the remaining 20 percent of the youth population spending time outside education and work, NEET episode(s) develop into a long-lasting and/or recurring struggle, which the Danish welfare system does not seem able to help prevent. To better aim welfare services at the 20 percent, we need further knowledge on how NEET episodes fit into their school-to-work transitions and, in addition, a better grasp on who the young adults, represented by such transition patterns, are.
Using dynamic Hamming matching [5], this study maps out a longitudinal typology of how school-to-work transitions develop between age 16 and 20 among a group of Danish young adults with a continuous NEET episode of at least six months during this age-span. Within the highly structured Danish educational setup, where around 98 percent of those leaving compulsory school enter the secondary education system (Link to the Danish profile model, tracking transitions in the education system going back to 1990: https://www.uvm.dk/statistik/tvaergaaende-statistik/andel-af-en-ungdomsaargang-der-forventes-at-faa-en-uddannelse/profilmodel-definition-og-metode, accessed on 6 February 2023), a lengthy episode of being NEET between age 16 and 20 is assumed to indicate transitional difficulty. Drawing on cumulative inequality theory (CI theory) and the understanding that inequality and marginalisation is an accumulating process, which is manifested over the life course and shaped by social structures, exposure to risk and available resources [7], the longitudinal typology is further used to explore associations between early life course circumstances and transition patterns. This study first presents its analytical framework, which is divided into three subsections. This is followed by a section on data and methodology. The results are presented in three parts referring to the analytical framework, and the paper finishes with conclusions, discussion and limitations.

1.1. Analytical Frame

1.1.1. Developing a Longitudinal Typology of School-to-Work Transitions

Within youth studies, it has long been argued that a focus on single transitions as well as using cross-sectional point-in-time estimates to identify young adults at risk, hold limited potential [8,9,10]. A single-transition focus is further considered unable to capture the dynamic flux of less linear and prolonged youth transitions [11]. During the last decade, a small but growing body of literature has thus directed attention towards a more holistic depiction of the various characteristics of contemporary school-to-work transitions. They identify different types of transition processes varying in relation to order, timing and sequencing of dominant activities [3,4,5]. Showing up across western European welfare-states is a typology of very distinct transition patterns including four that express disadvantaged processes of transitional failure (continuous unemployment) and dropout (continuous inactivity) as well as more complex processes of detours (long-term unemployment followed by employment) and breaks (long-term inactivity followed by employment) [5]. Furthermore, Dorsett et al. [4] identify a cluster of school-to-work transitions referred to as expressing a “cause for concern”, which involves patterns of long-term NEET episodes as well as more permanent withdrawal from the labour market and educational activities.
The first part of analysis in this study develops a typology of transition patterns among similar “cause for concern” school-to-work transitions. The typology adds to our understanding of how long-term NEET episodes fit into and evolve within the five-year-sequence unfolding from age 16 to 20 among a selected group of young adult Danes.

1.1.2. Associations between School-to-Work Transitions and Background Characteristics

Drawing on CI theory, what happens in the school-to-work transition process is considered related to early life-course experiences, not in a deterministic fashion, which disregards individual resources and human agency, but in affording primacy to social structures and family lineage in generating and transmitting inequality and disadvantage [7]. This understanding is also expressed within the life course perspective similarly pointing out the interdependence between early life history and later life outcomes [12]. Bynner and Parsons’ study [13] demonstrates how the quality of school-to-work transitions refers to socioeconomic status such as parental educational attainment and family conditions, and Thompson [14] demonstrates how young people from a low socioeconomic status background are significantly more likely to experience episodes outside of education than their high socioeconomic status peers [14]. Other studies have documented an overrepresentation among young adults NEET with broken family histories, such as parents’ marital breakup and lone parenthood [14,15,16]. In addition to well-established social and childhood risk factors, the second part of the analysis explores associations between out-of-home placement and later school-to-work transitions as well as early interventions in family and later transition patterns.

1.1.3. Future Connection to the Labour Market

The third part of the analysis uses the developed typology to describe mean distributions of NEET proportions at age 25 and 30. The analysis explores the extent to which long-term NEET episodes between age 16 and 20 develop into more enduring marginalisation, thus enabling a more extensive reflection on the validity of using CI theory as an explanatory framework.

2. Data and Methods

All empirical analyses are based on data compiled from the rich, population-based administrative records provided by Statistics Denmark. Using a unique personal identification number, it is possible to link individuals with a vast number of registers holding information on sociodemographic characteristics, educational activity, labour market affiliation and social interventions. The data in these registers are of high quality and not subject to recall bias, attrition or missing data.

2.1. Sample of Young Adults with Long-Term NEET Episodes

The study population was selected from a 10-percent randomized sample (30.729 individuals) of the 1982 to 1985 birth cohorts (both included). The sample included 5.848 individuals who spent time abroad between age 16 and 20. Whether this time was spent on educational activities, on employment or something else is unknown. For this reason, only individuals abroad for 12 months or less were included in the study population. When selecting those who did not participate in education or employment for a continuous period of at least six months between age 16 and age 20, the study population was reduced to a total of 2.907 individuals (~9.5 percent).

2.2. Transition Patterns and Future Destinations

Part one of the analysis was carried out on individual sequences of labour market activity. I followed these individuals for a total of 60 months (five years). Based on the DREAM register, administered by the Danish Agency for Labour Market and Recruitment, each month was attributed one of four potential activities. The young adults could either have been employed (or self-supported) (the DREAM register does not allow for a distinction between paid work and self-support by other means, which most likely underestimates the level of NEET episodes), in education, disabled (receiving disability pension) or NEET. To qualify the interpretation of transition patterns, the analysis includes measures on highest educational attainment, types of education attained and whether their education was attained before or after age 20. Part one further includes a measure of teenage parenthood (measured at age 20) to explore whether this event, as indicated in previous studies, was overrepresented in some transition patterns more than others [4].
In the third part of the analysis, cross-sectional distributions based on the DREAM register are described. Young adults were distributed based on the type of transition pattern they follow from age 16 to 20. NEET proportions were reported for the months in which the individuals turned 25 and 30, respectively.

2.3. Background Characteristics

Apart from demographical data on gender and ethnicity, part two of the analysis includes measures of childhood risk factors. It includes measures on living arrangements at age 16, on educational attainment at age 16 (concerning both the young adult and his/her parents) and on experiences with out-of-home placement and social interventions between age 0 and 15. Appendix A includes definitions on the binary coding of all explanatory variables.

2.4. Methodology: Analysing Transitions as Processes

Developing a longitudinal typology of school-to-work transitions requires a method that can group unique individual sequences based on their similarity to one another. Using a basic procedure of comparison, sequence analysis does exactly that [17,18]. In this sense, sequence analysis is an explorative and descriptive tool with no assumptions on how data are generated or distributed. To establish similarity between any two sequences, it is necessary to apply a dissimilarity measure, which is a (potentially weighted) count measure (referred to as a transformation cost) of the number of transformations (substitutions, insertions and deletions) required to align two sequences. A dissimilarity measure reflects socially meaningful aspects, such as the timing of different activities, the duration of each activity or the order/sequencing in which different activities occur [19,20,21]. The dynamic Hamming measure (DHM) is one such dissimilarity measure. As opposed to original optimal matching, DHM is data-driven and transformation costs are dependent on transition frequencies between states (e.g., employment and education) within the data. In the alignment of two sequences, the transformation cost depends on how often young adults move between states at a specific moment in time. The more frequent the transition between two states, the “cheaper” the transformation costs. On the other hand, rare transitions are costlier. If two sequences share the exact same states at the exact same time, the transformation cost equals zero. Once the similarity between any two individual sequences is established, this information is used in a cluster analysis to obtain a typology of the data, where young adults with similar transition patterns are grouped. Decisions regarding cluster solution fitting are informed by different cluster quality measures [22].
To explore the relationship between transition patterns and risk factors, the typology is included in a multinomial logistic regression model with transition patterns representing the dependent variable. The relationships between explanatory variables (expressed as binaries, see Appendix A) and transition patterns are reported in odd ratios.

3. Results

3.1. Part 1: A Typology of School-To-Work Transitions

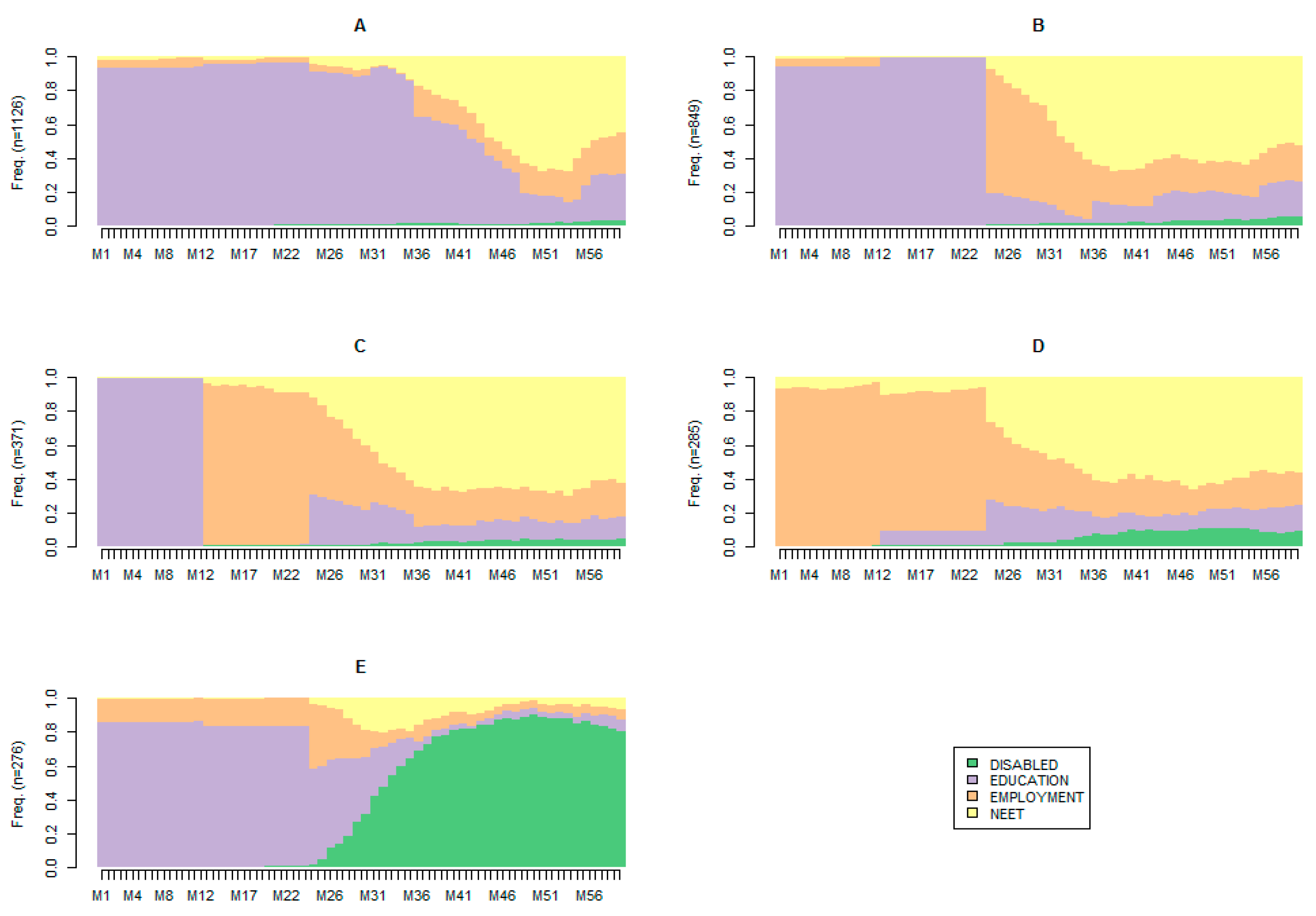
This first part of the analysis presents the typology developed from sequential data on 2907 individual school-to-work transitions among young adults experiencing long-term NEET episodes between age 16 and 20. Using dynamic Hamming matching and cluster analysis, the typology contains five distinct transition patterns visualized below in Figure 1 and Figure 2. This fit is informed by cluster quality measures as well as the analytical aim of gaining knowledge on how long-term NEET episodes fit into the five-year-long school-to-work transition process. Figure 1 displays individual sequences by cluster. Each young adult is represented by an index line (on the y-axis) in one of the five clusters. The x-axis represents the 60 months long observation window of four possible activities from age 16 to age 20. Figure 2 summarizes the cross-sectional distributions of activities by cluster.
Exploring the overall transitional characteristics with relation to timing, duration and order of long-term NEET episodes (of a minimum duration of 6 months), Figure 1 and Figure 2 demonstrate five different patterns. In the following analyses, patterns B and C are considered and summarized as expressions of a similar trend. In addition to the temporal characteristics of the school-to-work transitions in Figure 1 and Figure 2, the interpretations of the five different clusters integrate information from Table 1. The table includes aggregated descriptive statistics for each of the clusters, including central characteristics on educational activities and attainment.

3.1.1. Out for Sabbaticals

The first pattern, represented by cluster A, includes 39 percent of the study population. Most young adults in this cluster participate in education for the first 36 months (3 years), after which, around age 19, they stay outside of education for a longer period. For more than one in three individuals, a stable period of educational activity is ended at an age which, for most young adult Danes, represents a transition from secondary or vocational education to higher education or work. Among those who complete an upper secondary education (gymnasium), recent analyses indicate that up to 80 percent take one or more sabbatical years [23].
Table 1 shows that 89 percent of the young adults in cluster A have completed compulsory school upon entering their post-16 educational track. The table thus confirms that educational activities until age 19, for most, represent secondary or vocational tracks. The table further includes a measure for highest attained educational level (HAE) and a measure of whether HAE is attained before or after age 20. A total of 54 percent of the individuals in cluster A end up completing a vocational education (26 percent) or a higher education level (28 percent). Furthermore, 44 percent reach their HAE before age 20, whereas 56 percent continue education after age 20. However, the pattern also contains a relatively large proportion who enter secondary or vocational education without completing it. According to Table 1, 54 percent end up with a vocational or higher education, even though almost all individuals in the cluster, according to Figure 2, are engaged in post-compulsory educational activities up until age 19. This tendency is reinforced in the transition patterns found in clusters B and C.

3.1.2. Struggling in the Education System

This pattern includes cluster B and C and represents 42 percent of the study population. According to Table 1, almost 85 percent of the young adult in cluster B have completed compulsory school at age 16 and, according to Figure 1 and Figure 2, embark on upper secondary tracks immediately after. In this sense their initial transition pattern looks like cluster A. However, the fact that only 34 percent attain an education level above compulsory level, and the churning, depicted in Figure 1, between employment, educational activity and NEET episodes, indicate unstable and risk-prone school-to-work transitions. An even lower HAE level is characteristic for young adults in cluster C. Only 57 percent in this cluster have completed compulsory school at age 16. This indicates that much of the introductory educational activity includes prolonged compulsory level schooling. According to Table 1, an intervening factor, for some, could be teenage parenthood. Compared to young adults in cluster A, this event occurs more frequently in young adults of clusters B and C, where between 8 and 12 percent experience parenthood before age 20.

3.1.3. Disconnected from the System (or an Early Entry into the Labour Market)

This transition pattern is dominant for cluster D which represents around 10 percent of the study population. Upon entering their post-16 transitions, only 17 percent have completed compulsory level schooling, and Table 1 show that 33 percent had not attained any educational level at the last available data point. The transition pattern bears witness of instability, risk and potential precarisation. Since the Danish registers do not allow for distinctions between employment and self-support (by other means than employment) it is not, however, possible to establish whether the young adults enter the labour market directly. Regardless, the transition pattern reflects a similar kind of instability as in clusters B and C, but without notable contact with the educational system. Finally, Table 1 reveals that the cluster includes 43 percent non-Danish young adults, the majority being male.

3.1.4. Early Exit Due to Disability

Finally, around 10 percent of the study population clusters in a transition pattern (E), which eventually leads to complete exit due to a granted disability pension. This cluster is dominated by young adult males with very low educational qualifications. Entitlement to a disability pension requires a documented inability to work. When measuring the number of young adults outside education and work, reported national statistics occasionally leave out this group.
Summing up, the overall typology of longitudinal transition patterns illustrates that even among a highly selected sample of young adults experiencing long-term NEET episodes between age 16 and 20, we find heterogeneity regarding transition activities, educational attainment and timing of episodes outside of education and employment. Previous studies, using quantitative longitudinal data to describe the characteristics of potentially at-risk school-to-work transitions, are very limited. Dorsett and Lucchino [4], however, identified some of the same heterogeneity on a survey-based sample of young Brits. Despite operationalizing activities slightly differently, they found parallels to this study’s clusters B and C, where initial education is replaced by a NEET status for the remaining observation period, and cluster D, where employment from age 16 is eventually replaced by a NEET status.

3.2. Part 2: Associations between Transition Patterns and Childhood Risk Factors

With some transition patterns signalling greater cause for concern than others the main aim with the second part of the analysis is to examine relations between background characteristics and transition patterns. Multinomial logistic regression is used for this purpose. All explanatory variables are coded as binaries and the transition pattern A, representing the largest cluster, is the reference category. Table 2 summarizes regression estimates.
In cluster A, the main tendency is that a prolonged NEET episode follows three years of stable youth education. Table 2 shows significant differences between cluster A’s less worrying school-to-work transitions and the more unstable, risky and potentially precarious transition patterns of clusters B, C and D. Overall, the regression estimates illustrate how various risk factors during childhood, as well as a standard measure for low socioeconomic status within the family, significantly increase the odds of experiencing transitional difficulty between age 16 and 20, as represented by clusters B, C and D.
According to Table 2, four factors significantly increase the odds of following transition patterns B and C, dominated by early educational difficulty, rather than pattern A. The factors include having no educational attainment at age 16, having experienced social interventions (aimed at the child or the family) while growing up, and having been placed out-of-home between age 0 and 15 (this measure includes foster care/institutional placement as well as juvenile imprisonment and youth sanctions). Table 2 also indicates that parental education levels impact the odds (clusters B and C).
The table shows an even more drastic increase in odds, related to childhood risk factors, of following transition pattern D instead of pattern A. The very large odds ratio related to education level reflect the finding from Table 1, which shows that only 17 percent within this group have completed compulsory school by age 16. Table 2 further demonstrates that non-Danish origin significantly increases the odds of transition pattern D, while being female seems to decrease the odds.
The regression model confirms the overall picture from part one of the analysis, where the transition pattern A stands out as more stable and less worrying while also containing long-term NEET episodes. The model also indicates that several risk factors in childhood contribute to increasing the odds of following a less stable transition pattern where challenges seem to accumulate over time and increase the risk of marginalization.

3.3. Part 3: Future NEET Proportions

The final part of the analysis includes two cross-sectional point-in-time measures for young adults in the study population. For each transition pattern, they describe the proportion of young adults NEET when tracking the cohorts five and ten years forward, respectively. To represent a baseline for comparison, Table 3 includes the proportion NEET at the end of the five year long transition pattern at age 20.
Five years ahead, at age 25, the largest changes have occurred among young adults in cluster A. By age 25, the proportion NEET has decreased by 13 percentage points, thus representing the lowest proportion across transition patterns.
Looking across clusters B, C and D, the NEET-proportions range between 44 and 56 percent, indicating that almost half of all young adults within those clusters occupy positions outside of education and work at age 25. To compare the NEET-proportions within the study population, at age 25, with the general population of equal age, we can calculate the NEET-proportion based on population data publicly available from Statistics Denmark (https://www.statbank.dk/statbank5a/SelectVarVal/Define.asp?MainTable=NEET2&PLanguage=0&PXSId=0&wsid=cftree, accessed on 6 February 2023). This measure goes up to age 24, which is close enough for this purpose. Among all Danish 24-year-olds, the NEET-proportion is equal to 12.2 percent (measured in 2008) and 14.2 percent (measured in 2009). Despite an overall improved situation at age 25, with higher participation, all NEET-proportions, across clusters within the study population, are markedly higher than among peers in the total population. At age 30, the NEET-proportions increase further across all clusters. For young adults, in particular, who follow transition patterns B, C or D, Table 3 indicates a general, persistent and cumulating level of marginalization.

4. Discussion

The population of young adults included in this study was selected in order to be able to investigate some of the—presumably—most problematic school-to-work transitions; namely, those among young adults with long-term NEET episodes between age 16 and 20. One of the main aims was to explore the level of cumulative inequality within the sample when connecting early markers of risk with subsequent school-to-work transitions and future NEET status.
Two central findings are discussed as follows:
First, the analyses confirm the occurrence of a large group of young adults (clusters B, C and D) characterized by early markers of risk that increase the odds of subsequently experiencing unstable and precarious school-to-work transitions. For many, this instability settles and extends well into adulthood. Several have experienced early interventions from social authorities or various forms of out-of-home placement. This early contact with authorities and professionals, however, does not prevent the forthcoming difficult school-to-work transitions. This highlights that the mechanisms generating this vulnerability are manyfold and difficult to target from a single professional perspective. Cumulative inequality theory adds to the focus on the social antecedents of inequality, the recognition that inequality accumulates over the life course [7]. This first central finding confirms exactly that, but also reflects the clear existence of what Ferraro and Shippee define as modifications. The fact that far from all young adults with childhood risk markers and difficult transition process end up NEET at age 25 and 30 thus reflect differences in both available resources, perceived trajectories and human agency. Other studies have documented how “beating the odds” can be related to a number of different protective factors such as prior achievement, educational aspirations and engagement, early experiences with the labour market as well as school characteristics [15]. In this sense, resources and human agency can mitigate the potential impact of earlier disadvantage. These analyses emphasize the importance of further studying the social and cultural limitations faced by young people who do not have a network of support to succeed, but perhaps, more importantly, to further study different ways of responding to risk and opportunity.
Second, the sample includes a group of young adults of almost equal size (cluster A), who experience a long-lasting continuous episode NEET following three years of regular education. While their vulnerability is difficult to pinpoint and observe based on standard markers of risk, for many, their post-compulsory school-to-work transitions indicate difficulty. Almost 40 percent of the young adults in the cluster end up with compulsory school as their highest attained level of education, even though Figure 1 and Figure 2 depict school-to-work transitions occupied with post-compulsory educational activities. This result cannot be explained by cumulative inequality theory. The disadvantages they face do not seem related to neither early childhood risk exposure nor inequalities handed over from previous generations. However, being born between 1982 and 1985, the study population, and transition pattern A in particular, might reflect some of the difficulties of navigating through a moment in time, where older biographical certainties weaken and where social institutions change and give way to new opportunities [24]. Woodman and Wyn point out that the weakening of biographical ascription (…) “could plausibly open up new opportunities if supported by a strong welfare state providing education and security without obligation” [ibid:47]. The fact that a large number of young adults who experience prolonged NEET episodes embark upon upper secondary tracks without completing them indicates that the Danish welfare state might not provide such secure conditions. This emphasizes the importance of continued attention towards secondary and vocational education systems and of strengthening retention and progression among those at risk of dropping out. We might also discuss alternative routes for those young adults who never embark upon secondary or vocational education, and for those who experience repeated failure.

5. Conclusions

School-to-work transitions have been investigated in several previous studies. While most young adults land on their feet, some in spite of long-term NEET episodes along the way, others face severe transitional difficulties and end up in marginalized positions, representing a cause for concern [4,6].
This study used a longitudinal perspective to examine an individual-level, high-quality, register-based sample of young adult Danes who all experience continuous episodes outside of education and employment between age 16 and 20. This study contributes with new knowledge on how long-term NEET episodes fit into the overall process of school-to-work transitions, and how early and later life course circumstances are associated with the transition process.
Relying on sequence analysis and clustering, this study identified five distinct school-to-work transition processes of which three, representing half of the study population, reflect unstable and precarious patterns of attachment to educational institutions and the labour market.
Four early markers were found to increase the odds of entering such unstable transition processes: having no educational attainment at age 16, having experienced social interventions in the family while growing up, having been placed out-of-home between age 0 and 15, and having a low-educated father and mother. Finally, the study revealed that instability and difficult life experiences, lived by young people, typically extend into early adulthood.
In sum, to consider the school-to-work transition as a dynamic and longitudinal process serves as a useful approach to understanding central differences in the timing and duration of long-term NEET episodes. The approach demonstrates an ability to capture distinct types of vulnerability within contemporary youth transitions.

6. Limitations

Using the DREAM register enables very detailed and frequent information on main activities throughout the observation period. But a central limitation within this register is the inability to distinguish between work and self-support. This means that work/employment might instead reflect a self-supported lifestyle by other means than paid work. Not being able to make the distinction within this analysis implies that periods outside of education and work might be underestimated.
Not being able to statistically test whether two clusters are in fact significantly distinct represents another (methodological) limitation. This relates to the inductive and explorative approach characteristic for sequence analysis in which no assumptions on data distribution are made. In order to test the robustness of the clustering, I used different clusters as a reference category, thereby inspecting how the regression model and estimated odds ratios responded. The try-outs confirmed the overall differences between and within clusters. The included measures on educational activity and childhood risk factors also confirm qualitatively different transition experiences and groupings.

Funding

This research received no external funding.

Institutional Review Board Statement

Not applicable.

Informed Consent Statement

Not applicable.

Data Availability Statement

This study was based on anonymized data from Statistics Denmark and the Danish Agency for Labour Market and Recruitment. To gain access to micro data through Statistics Denmark, researchers need to be affiliated with an authorized Danish research environment. Authorization is undertaken by Statistics Denmark. Furthermore, Statistics Denmark must approve a project description of the purpose, study population, data needed and names of the affiliated researchers for every research project. After approval, Statistics Denmark makes the data available to the named researchers on a protected research server. Further information on how to request data from Statistics Denmark can be found on their website (see https://www.dst.dk/en/TilSalg/Forskningsservice, accessed on 6 February 2023). This article is based on a randomly selected 10 percent population sample of Danish birth cohorts from 1982 to 1985 (both included). For this population, I have constructed a dataset that holds information obtained from the following registers, all made available by Statistics Denmark (if access is granted): BEF (population register), DREAM (register on public transfer payments), FAM (family and household register), KOTRE (student register), UDDF (register of highest completed education), BUA (register of social assistance—out-of-home placements) and BUFO (register of social assistance—preventive interventions).

Conflicts of Interest

The authors declare no conflict of interest.

Appendix A

Table A1. Binary coding of included background factors.
Table A1. Binary coding of included background factors.
VariableDefinitionCoding
FemaleFemale1
Male0
Non-DanishDanish origin0
First-generation immigrant1
Second-generation immigrant1
Intervention
(measured at age 0–15)
Family support1
Child/youth support1
Other0
Out-of-home placement
(measured at age 0–15)
Foster care/institutional placement1
Juvenile imprisonment1
Youth sanction1
Other out-of-home placement1
Other0
Living alone
(measured at age 16)
Living with both (biological) parents0
Living with one biological parent and parent’s partner0
Living with a single (biological) parent0
Living with partner0
Living alone1
No education attained
(Measured at age 16)
No education level1
Compulsory level0
Secondary level (Danish gymnasium)0
Vocational level0
Higher0
Father with low education level (measured at age 16)No education level1
Compulsory level1
Secondary level (Danish gymnasium)0
Vocational level0
Higher0
Mother with low education level (measured at age 16)No education level1
Compulsory level1
Secondary level (Danish gymnasium)0
Vocational level0
Higher level0

Appendix B

Table A2 includes central descriptive statistics on the study population and on the full population sample of peers.
Table A2. Descriptive statistics.
Table A2. Descriptive statistics.
Study
Population
Population
Sample
Gender
Male47.150.6
Female52.949.4
Birth cohort
198224.625.1
198325.024.6
198424.824.9
198525.525.5
Ethnicity
Danish84.668.4
First-generation immigrant13.229.5
Second-generation immigrant2.02.1
Highest attained education level
No education level4.00.1
Compulsory53.916.9
Upper secondary (gymnasium)4.37.6
Vocational22.430.2
Higher15.445.2
Family structure at age 16
Living with both parents or with a parent and the parent’s partner62.980.0
Living with a single parent27.817.7
Living alone or with partner9.32.3
Parent before age 205.91.2
Out-of-home placement before age 1617.23.1
Interventions before age 169.82.0
Number of individuals2.90730.729
Source: own calculations based on registers provided by Statistics Denmark.
The table makes how the study population differs from the full sample with an overrepresentation of young adult Danes and females visible, with a generally lower maximum level of education and with more broken family histories. The table also establish that a higher proportion within the study population experiences teenage parenthood, out-of-home placement and interventions in their family by social services.

References

  1. Available online: https://ec.europa.eu/eurostat/databrowser/view/EDAT_LFSE_20$DV_1101/default/table?lang=en (accessed on 6 February 2023).
  2. The National Health Agency. Danskernes Sundhed. Den Nationale Sundhedsprofil 2021; The National Health Agency: Copenhagen, Denmark, 2021. Available online: https://www.sst.dk/-/media/Udgivelser/2022/Sundhedsprofil/Sundhedsprofilen.ashx (accessed on 6 February 2023).
  3. Brzinsky-Fay, C. Lost InTransition? Labour Market Entry Sequences of School Leavers in Europe. Eur. Sociol. Rev. 2007, 23, 409–422. [Google Scholar] [CrossRef]
  4. Dorsett, R.; Lucchino, P. Explaining patterns in the school-to-work transition: An analysis using optimal matching. Adv. Life Course Res. 2014, 22, 1–14. [Google Scholar] [CrossRef] [PubMed]
  5. Brzinsky-Fay, C. The Measurement of School-to-work Transitions as Processes. Eur. Soc. 2014, 16, 213–232. [Google Scholar] [CrossRef]
  6. Kleif, H.B. The Temporality of Being NEET: A Longitudinal Study of NEET Occurrences among Young Adults in Denmark. Young 2020, 29, 217–235. [Google Scholar] [CrossRef]
  7. Ferraro, K.F.; Shippee, T.P. Aging and Cumulative Inequality: How Does Inequality Get under the Skin? Gerontologist 2009, 49, 333–343. [Google Scholar] [CrossRef] [PubMed]
  8. Furlong, A. Not a Very NEET Solution: Representing Problematic Labour Market Transitions among Early School-Leavers. Work Employ. Soc. 2006, 20, 553–569. [Google Scholar] [CrossRef]
  9. Eurofound. Exploring the Diversity of NEETs: Country Profiles; Publications Office of the European Union: Luxembourg, 2016; Available online: https://www.eurofound.europa.eu/sites/default/files/ef_publication/field_ef_document/ef1602en.pdf (accessed on 6 February 2023).
  10. Andersen, S.H. Disconnected Youth: Past, Present & Future; Rockwool Foundation: Copenhagen, Denmark, 2017; Volume 116. [Google Scholar]
  11. Lawy, R.; Quinn, J.; Diment, K. Responding to the ‘needs’ of young people in jobs without training (JWT): Some policy suggestions and recommendations. J. Youth Stud. 2010, 13, 335–352. [Google Scholar] [CrossRef]
  12. Mayer, K.U. New Directions in Life Course Research. Annu. Rev. Sociol. 2009, 35, 413–433. [Google Scholar] [CrossRef]
  13. Bynner, J.; Parsons, S. Social Exclusion and the Transition from School-to-work: The Case of Young People Not in Education, Employment, or Training (NEET). J. Vocat. Behav. 2002, 60, 289–309. [Google Scholar] [CrossRef]
  14. Thompson, R. Individualisation and social exclusion: The case of young people not in education, employment or training. Oxf. Rev. Educ. 2011, 37, 785–802. [Google Scholar] [CrossRef]
  15. Duckworth, K.; Schoon, I. Beating the Odds: Exploring the Impact of Social Risk on Young People’s School-to-Work Transitions during Recession in the UK. Natl. Inst. Econ. Rev. 2012, 222, R38–R51. [Google Scholar] [CrossRef]
  16. Barham, C.; Walling, A.; Clancy, G.; Hicks, S.; Conn, S. Young people and the labour market. Econ. Labour Mark. Rev. 2009, 3, 17–29. [Google Scholar] [CrossRef]
  17. Abbott, A. Sequence Analysis: New Methods for Old Ideas. Annu. Rev. Sociol. 1995, 21, 93–113. [Google Scholar] [CrossRef]
  18. Aisenbrey, S.; Fasang, A.E. New Life for Old Ideas: The “Second Wave” of Sequence Analysis Bringing the “Course” Back into the Life Course. Sociol. Methods Res. 2010, 38, 420–462. [Google Scholar] [CrossRef]
  19. Billari, F.C. Life course analysis: Two (complementary) cultures? Some reflections with examples from the analysis of the transition to adulthood. Adv. Life Course Res. 2005, 10, 261–281. [Google Scholar] [CrossRef]
  20. Lesnard, L. Setting Cost in Optimal Matching to Uncover Contemporaneous Socio-Temporal Patterns. Sociol. Methods Res. 2010, 38, 389–419. [Google Scholar] [CrossRef]
  21. Studer, M.; Ritschard, G. What matters in differences between life trajectories: A comparative review of sequence dissimilarity measures. J. R. Stat. Soc. Ser. A Stat. Soc. 2016, 179, 481–511. [Google Scholar] [CrossRef]
  22. Studer, M. WeightedCluster Library Manual: A Practical Guide to Creating Typologies of Trajectories in the Social Sciences with R. LIVES Work. Pap. 2013, 24. [Google Scholar] [CrossRef]
  23. Available online: https://www.ae.dk/analyse/2022-06-23000-studenter-er-ikke-i-gang-med-en-uddannelse-fem-aar-efter-gymnasiet-og-0 (accessed on 6 February 2023).
  24. Woodman, D.; Wyn, J. Youth and Generation. Rethinking Change and Inequality in the Lives of Young People; Sage: London, UK, 2015; pp. 37–53. [Google Scholar]
Figure 1. Sequence index plots by cluster; young adults aged 16–20 with a minimum of six months not in employment or education. Note: purple = education; orange = employment; yellow = NEET; green = disability pension.
Figure 1. Sequence index plots by cluster; young adults aged 16–20 with a minimum of six months not in employment or education. Note: purple = education; orange = employment; yellow = NEET; green = disability pension.
Youth 03 00012 g001
Figure 2. Cross-sectional distributions by cluster; young adults aged 16–20 with a minimum of six months not in employment or education. Note: purple = education; orange = employment; yellow = NEET; green = disability pension.
Figure 2. Cross-sectional distributions by cluster; young adults aged 16–20 with a minimum of six months not in employment or education. Note: purple = education; orange = employment; yellow = NEET; green = disability pension.
Youth 03 00012 g002
Table 1. Individual characteristics by cluster; young adults aged 16–20 with a minimum of six months NEET.
Table 1. Individual characteristics by cluster; young adults aged 16–20 with a minimum of six months NEET.
ABCDE
Percent
Female59.152.453.942.539.1
Non-Danish13.313.310.542.49.4
Mean number of months NEET12.418.721.021.43.2
Teenage parenthood3.18.011.56.32.5
Educational characteristics
Compulsory level completed at age 1689.284.856.916.884.8
Highest attained education level (HAE) *
No level0.30.70.832.64.0
Compulsory39.861.770.041.478.6
Secondary6.13.23.83.22.5
Vocational (VOC)25.825.019.716.510.1
Higher28.09.45.96.34.7
VOC + higher53.834.425.622.814.8
HAE attained before or after age 20
Before44.365.673.077.983.3
After55.734.427.022.116.7
Percent38.729.212.89.89.5
Number1126849371285276
Source: own calculations based on registers from Statistics Denmark. Note: * = highest attained education level is measured at the latest available data point.
Table 2. Multinomial logistic regression estimates, by cluster; young adults aged 16–20 with a minimum of six months NEET.
Table 2. Multinomial logistic regression estimates, by cluster; young adults aged 16–20 with a minimum of six months NEET.
Dependent Variable: Transition Patterns Age 16–20
(Reference Category: Cluster A = 1126 Individuals)
BCDE
Female0.79
(0.60, 0.97)
-0.65
(0.32, 0.97)
0.48
(0.20, 0.75)
Non-Danish--2.36
(1.94, 2.77)
-
Childhood risk factors
Social intervention
(Measured at age 0–15)
1.83
(1.47, 2.19)
2.21
(1.77, 2.64)
2.53
(1.97, 3.09)
4.67
(4.26, 5.08)
Out-of-home placement
(Measured at age 0–15)
1.83
(1.52, 2.14)
2.19
(1.81, 2.56)
4.04
(3.60, 4.48)
2.45
(2.04, 2.86)
Living alone or with partner
(Measured at age 16)
-0.60
(0.15, 1.06)
2.61
(2.19, 3.03)
1.74
(1.28, 2.20)
No education attained
(Measured at age 16)
Socioeconomic status
1.48
(1.19, 1.77)
6.23
(5.93, 6.54)
26.98
(26.58, 27.37)
-
Father with low education level
(Measured at age 16)
1.41
(1.22, 1.60)
1.55
(1.29, 1.81)
--
Mother with low education level
(Measured at age 16)
-1.53
(1.27, 1.79)
--
Constant0.60
(0.42, 0.79)
0.14
(−0.13, 0.41)
0.03
(−0.40, 0.45)
0.27
(0.01, 0.52)
Number of individuals849371285276
Note: all reported statistics are significant at the 0.05 level; confidence intervals in parentheses.
Table 3. Cross-sectional distributions of NEET proportion by cluster (transition patterns) measured at month 60 (age 20), age 25 and age 30.
Table 3. Cross-sectional distributions of NEET proportion by cluster (transition patterns) measured at month 60 (age 20), age 25 and age 30.
NEET Proportions within the Study PopulationNEET Proportion within the Total Population
ClusterAge 20Age 25Age 30Age 24
A45%32% 39%12–14%
B53%44%53%
C63%56%58%
D56%51%59%
Note: the table does not include cluster E.
Disclaimer/Publisher’s Note: The statements, opinions and data contained in all publications are solely those of the individual author(s) and contributor(s) and not of MDPI and/or the editor(s). MDPI and/or the editor(s) disclaim responsibility for any injury to people or property resulting from any ideas, methods, instructions or products referred to in the content.

Share and Cite

MDPI and ACS Style

Kleif, H.B. A Typology of Transition Patterns Involving Long-Term NEET Episodes: Accumulation of Risk and Adversity. Youth 2023, 3, 170-183. https://doi.org/10.3390/youth3010012

AMA Style

Kleif HB. A Typology of Transition Patterns Involving Long-Term NEET Episodes: Accumulation of Risk and Adversity. Youth. 2023; 3(1):170-183. https://doi.org/10.3390/youth3010012

Chicago/Turabian Style

Kleif, Helle Bendix. 2023. "A Typology of Transition Patterns Involving Long-Term NEET Episodes: Accumulation of Risk and Adversity" Youth 3, no. 1: 170-183. https://doi.org/10.3390/youth3010012

APA Style

Kleif, H. B. (2023). A Typology of Transition Patterns Involving Long-Term NEET Episodes: Accumulation of Risk and Adversity. Youth, 3(1), 170-183. https://doi.org/10.3390/youth3010012

Article Metrics

Back to TopTop