Next Article in Journal
A Hybrid PI–Fuzzy Control Scheme for a Drum Drying Process
Previous Article in Journal
A Nonlinear Ordinary Differential Equation Model for a Society Strongly Dependent on Non-Renewable Resources
 
 
Font Type:
Arial Georgia Verdana
Font Size:
Aa Aa Aa
Line Spacing:
Column Width:
Background:
Article

A Note on a Random Walk on the L-Lattice and Relative First-Passage-Time Problems

Department of Mathematics, University of Salerno, Via Giovanni Paolo II, 132, 84084 Fisciano, Italy
AppliedMath 2025, 5(2), 44; https://doi.org/10.3390/appliedmath5020044
Submission received: 24 January 2025 / Revised: 7 March 2025 / Accepted: 25 March 2025 / Published: 9 April 2025
(This article belongs to the Special Issue The Impact of Stochastic Perturbations)

Abstract

We analyze a discrete-time random walk on the vertices of an unbounded two-dimensional L-lattice. We determine the probability generating function, and we prove the independence of the coordinates. In particular, we find a relation of each component with a one-dimensional biased random walk with time changing. Therefore, the transition probabilities and the main moments of the random walk can be obtained. The asymptotic behavior of the process is studied, both in the classical sense and involving the large deviations theory. We investigate first-passage-time problems of the random walk through certain straight lines, and we determine the related probabilities in closed form and other features of interest. Finally, we develop a simulation approach to study the first-exit problem of the process thought ellipses.

1. Introduction

A random walk on a graph is a (random) sequence of coordinates chosen according to a given mechanism. Generally, with a fixed graph and a starting point, at any step, the moving particle reaches a neighbor randomly and moves to this neighbor; then a neighbor of this point is selected at random, and the particle moves to it, etc. The random walks on directed graphs are modelized through finite Markov chains and, classically, they are studied on simple but infinite graphs, like grids or lattices. Often, the investigations are oriented to analyze the qualitative behavior of the Markov chain; for example, one can be interested in whether the random walk returns (infinitely often?) to its starting point with probability one. In Lovasz [1], various aspects of the theory of random walks on graphs are surveyed. In particular, estimates on the important parameters of access time, commute time, cover time and mixing time are discussed. See also the investigation of Guillotin-Plantard [2] concerning random walks on regular graphs and the recent review by Masuda et al. [3].
Among the various types of structures, a lattice is a graph on Z d , d 1 , so that each point in the lattice has integer coordinates. A particle that starts at a vertex ( x , y ) moves to an adjacent vertex following an appropriate transition probability. Some general results on discrete-time random walks on a lattice can be found in Lawler and Limic [4], Montroll [5] and Montroll and Weiss [6].
Random walks on regular domains play a relevant role in the theory of stochastic processes, since they allow us to study a variety of mathematical problems like diffusions on manifolds, harmonic analysis, infinite graph theory, group theory, etc. Although random walks on oriented lattices are the essential objects to study, their rigorous probabilistic analysis is still lacking. From a purely mathematical point of view, random walks on directed lattices also present very interesting features. For instance, simple random walks on undirected regular lattices are thoroughly studied and a vast literature establishes precise criteria for their transience or null recurrence properties. For example, in Campanino and Petritis [7], vertical edges between neighboring vertices of Z 2 can be traversed in both directions (they are undirected), while horizontal edges are one-way. The horizontal orientation is characterized by a random perturbation of a periodic function; the perturbation probability decays according to a power law in the absolute value of the ordinate. Here, the authors study the recurrence and transience of simple random walk and show that there exists a critical value of the decay power, above (below) which it is almost surely recurrent (transient).
To better describe the considered L-lattice, we first define
Z s = m Z { l Z : l = 2 m + s } , s { 0 , 1 } ,
so that Z 1 and Z 0 represent the set of odd and even integers, respectively. We divide the vertices of Z 2 into two categories, for s { 0 , 1 } :
V s = | i j | = s V i , j = V 0 , 0 V 1 , 1 , s = 0 , V 0 , 1 V 1 , 0 , s = 1 ,
where
V i , j = Z i × Z j , i , j { 0 , 1 } ;
hence, let V 0 (resp., V 1 ) be the set of points ( x , y ) such that x + y is even (resp., odd), for the x and y integer. Let us denote by ( x , y ) a vertex of the unbounded L-lattice Z 2 . The particle moves to an adjacent vertex of the L-lattice following an appropriate transition probability, as follows: (i) if the particle is located in a vertex of V 0 , then it can reach one of the two adjacent positions on the right (with probability q) or on the left (with probability 1 q ); (ii) if the particle is located in a vertex of the set V 1 , then it can reach one of the two adjacent positions on the top (with probability p) or at the bottom (with probability 1 p ).
The one-dimensional random walk on the L-lattice, following the rules just described, has been studied in Campanino and Petritis [8]. In this paper, the authors consider the vertical skeleton of the L-lattice and they study the recurrence and the periodicity of the states of the resulting one-dimensional random walk. The physical relevance of random walks on oriented lattices, such as the L-lattice, is underlined in Campanino and Petritis [9]; here, the authors show that general undirected graphs are associated with groups, while directed graphs are associated with C * -algebras. Therefore, the study of random walks on directed lattices is motivated by the development of the new field of quantum information and communication, due to the fact that the quantum mechanics are naturally formulated in terms of C * -algebras. Following the field of the physical applications, we underline that random walks on lattices and networks are also used as simple models of physical systems. See, for instance, the contributions by Beamond et al. [10], Beaton and Holmes [11], Collevecchio et al. [12] and Ryan [13] concerning the Manhattan lattice. The L-lattice possesses a particular symmetry under inversion about a diagonal axis that reflects the symmetry of the corresponding quantum Hamiltonian about a particular energy. As is well analyzed in the book [14], the connection between spin systems and random-walk models has intrigued physicists since the 1950s, although the exact relationships between these two types of models have developed gradually over time. In recent years, various random-walk representations have been introduced as tools for studying spin systems (see, for example, [15]). In particular, the paper of Beamond et al. [16] is relevant for our study, since the network model for the spin quantum Hall effect is defined using the L-lattice, in order to study the quantum and classical localization and ordinary integer quantum Hall transitions (see also the references therein). In the present work, we do not go into the detail of statistical physics aspects, but we want to study the random walk on the L-lattice from a more probabilistic point of view, since this kind of study is not present yet in the literature.
Hence, differently from other investigations related to random walks on lattices, we use a more probabilistic point of view, with the aim to obtain the main quantities of interest, following a similar approach to Di Crescenzo et al. [17], where a discrete-time random walk on the nodes of an unbounded hexagonal lattice is considered.
We consider the two-dimensional random walk ( X n , Y n ) , n 0 , on the L-lattice. We start from the Kolmogorov equations of the relevant probabilities, and we first determine the closed-form of the probability generating function. The results depend on the kind of vertex to which the initial state belongs ( V 0 or V 1 ) and on the time n (odd or even). From this function, one can prove the independence of the two components of the processes. In particular, we find a relation of each component with a one-dimensional biased random walk with time changing. Therefore, the transition probabilities, the main moments and the asymptotic behavior of the random walk can be obtained, starting from one-dimensional biased random walks. However, the present model cannot be reduced to the study of a two-dimensional process ( X ˜ n , Y ˜ n ) , with independent components resulting in one-dimensional biased random walks; indeed, for n 0 , ( X 2 n , Y 2 n ) has the same law as ( X ˜ n , Y ˜ n ) , but the law of ( X 2 n + 1 , Y 2 n + 1 ) cannot be compared to a time changed conventional process. We also investigate some first-passage-time (FPT) problems of the random walk through certain straight lines: S r = { ( s , r ) , s Z } , D r = { ( s , s + r ) , s Z } , and we review the closed-form results starting from analogous problems for one-dimensional biased random walks.
First-passage-time problems are often faced for the study of a running particle in one-dimension. For example, in Malakar et al. [18], the authors compute the survival probability of the moving particle in a semi-infinite domain with an absorbing boundary condition at the origin, and they also study the exit probability and the associated exit times in the finite interval. Moreover, techniques borrowed from the study of first-passage problems are used by Schehr and Majumdar in their review [19], where exact results on a one-dimensional random walk are given in order to study order statistics. Despite the great interest in the first-passage-time (FPT) problem, analytical expressions for the FPT density in closed form can only be determined for certain processes and specific boundary conditions. As a result, several studies focus on finding approximations or numerical methods to obtain the FPT density or its mean. For instance, in ref. [20], an efficient numerical method is developed to compute boundary crossing probabilities for high-dimensional Brownian motion. The FPT problems in the presence of disks, spheres and general closed curves or surfaces are often studied with the aim of obtaining closed-form expressions. For example, in ref. [21], the authors find the closed form expression of the density of the FPT of two-dimensional Wiener and Ornstein-–Uhlenbeck processes through time-varying ellipses, which run according to specific rules depending on the processes. However, the inherent difficulties in this area typically lead researchers to also focus on approximated results or on determining the mean or variance of the FPT, rather than the entire FPT distribution. In particular, among the various contributions in this field, a perturbative solution developed in [22] is used to calculate the mean exit time on irregular domains formed by perturbing the boundary of a disk or an ellipse. This result is applied in a geographical context, where islands are approximated by perturbed ellipses. Further investigation into the mean FPT in a general elongated domain in the plane, including elliptic domains, is provided in [23]. In the present paper, we face FPT problems through straight lines. In particular, the results related to a line with pendency 1 appear to be of interest in population dynamics. For instance, similarly to the one-dimensional case (cf. [24]), some two-species models of population dynamics may be transformed via suitable monotonic transformations (see Section 4 of [25] for the details) into a two-dimensional random walk. The probability of the instant when, for the first time, the components of the random walk equal each other then identifies with the probability that for the first time at that instant, the size of the two randomly growing species become identical. In addition to considering boundaries as straight lines, we study also the FPT problem through ellipses. We develop a simulation-based approach to obtain the estimations of the FPT probabilities and the mean FPT when the analytical expressions of the functions of interests cannot be obtained. Note that the sampling approach offers several advantages. For example, a random walk can be easily sampled by simulating a particle trajectory in unitary time-steps, and this type of sampling is even feasible for more complex variants of models for which no analytical expressions are known. In particular, the simulation-based approach is more suitable to be applied when the FPT is a certain event and the FPT mean is finite. Indeed, we use it in Section 3.2 when p q (FPT certain event) and then when p < q (FPT mean finite). When we do not know theoretically if the FPT is a certain event and the FPT mean is finite, however, the simulation-based approach can be used to have an estimation of this information, but we expect that the method does not always converge quickly and that the error is larger. Finally, in Section 3.2, we compare the simulation-based approach with the available closed form result in order to validate the procedure.
The rest of the paper is organized as follows. In Section 2, we describe and study the two-dimensional random walk. In particular, we obtain the probability generating function and we prove the independence of the components of process. Then, starting from the relation of each component of ( X ˜ n , Y ˜ n ) with a one-dimensional biased random walk, with time changing, we review in terms of our model the study of the probability law, some asymptotic behaviors and FPT problems through straight line boundaries. In Section 3, we focus on FPT problems thought ellipses, whose study cannot be reduced to an analogous one-dimensional case. Some concluding remarks and possible future developments are presented in Section 4. Finally, Section 5 contains a summary of the notation used in the manuscript.

2. The Random Walk on the L-Lattice

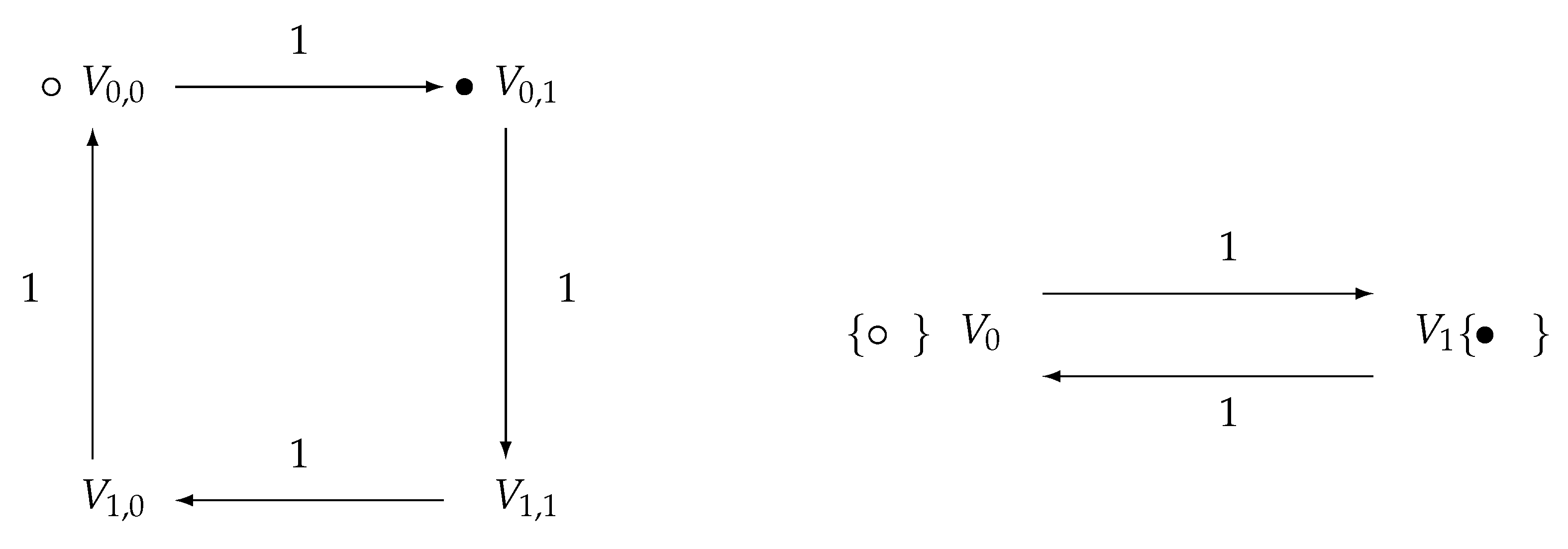
We consider the L-lattice on a reference system of Cartesian axes, taking a vertex of a generic square as the origin of the reference system. Since the considered structure consists of squared cells, we can assume that the distance between two generic adjacent vertices is a constant that is assumed equal to 1 so that the considered L-lattice identifies with Z 2 . The coordinates of the vertices are repeated regularly and are partitioned in suitable sets V i , j , with i , j { 0 , 1 } , as explained in the Introduction through (1) and (2). Clearly, the four sets V i , j , with i , j { 0 , 1 } , form a partition of Z 2 , as well as the pair V 0 , V 1 , as is also shown in Figure 1.
Let ( X n , Y n ) , n N 0 be a discrete-time random walk, with state space Z 2 = V 0 V 1 , where ( X n , Y n ) represents the position of the running particle at time n. We assume that the random walk starts in the vertex with coordinates l 0 = ( j 0 , k 0 ) Z 2 (see the sample path shown in Figure 1), so that
P [ ( X 0 , Y 0 ) = l 0 ] = 1 .
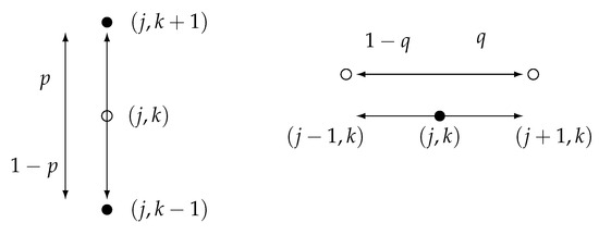
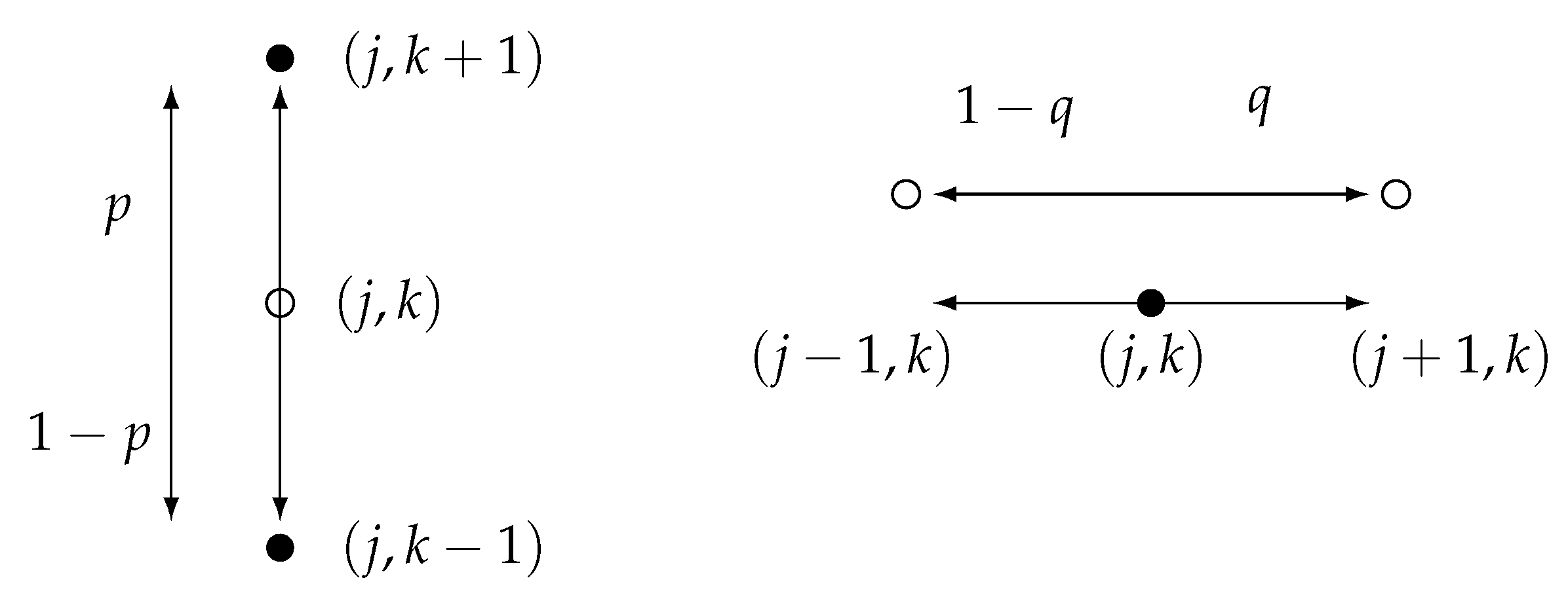
Moreover, the random walk moves according to suitable transition rules, depicted in Figure 2. In particular, if the particle is in a vertex of V 0 , in one step, it reaches one of the two adjacent positions belonging to V 1 , going upwards with probability p and downwards with probability 1 p . Similarly, if the particle is located in a vertex of V 1 , it can reach the two adjacent positions on the right or on the left. Specifically, in this case, it moves to the right with probability q and to the left with probability 1 q , and so the particle will occupy a vertex of V 0 . Then, the state space Z 2 is partitioned into the bipartite graph formed by vertices of V 0 and V 1 .
The one-step transition probabilities (see Figure 2, for n N 0 ) are expressed as
P [ ( X n + 1 , Y n + 1 ) = ( j , k + r ) | ( X n , Y n ) = ( j , k ) ] = p , r = 1 , 1 p , r = 1 , ( j , k ) V 0 , P [ ( X n + 1 , Y n + 1 ) = ( j + r , k ) | ( X n , Y n ) = ( j , k ) ] = q , r = 1 , 1 q , r = 1 , ( j , k ) V 1 ,
with 0 < p < 1 and 0 < q < 1 .
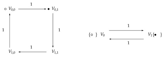
Moreover, it is not hard to see that the transition graph of the process ( X n , Y n ) concerning the visiting of the sets V i , j defined in (2) is cyclic (see the left of Figure 3). One clearly sees that the visiting of the sets V 0 and V 1 in (1) is cyclic as well (cf. Figure 3 on the right).
As an example, in Figure 4 and Figure 5, we plot ten simulated sample paths of the process ( X n , Y n ) , with n = 20 , l 0 = ( 0 , 0 ) , so that ( X n , Y n ) = ( j , k ) { 10 , , 10 } 2 . In Figure 4, we show the situation in which p = 0.5 , q = 0.3 , 0.5 , 0.7 , from left to right: the trajectories are more pushed to the left for q = 0.3 , they are around the initial state for q = 0.5 , and they are more pushed toward the right when q = 0.7 . In Figure 5, we consider p = 0.1 , q = 0.3 , 0.5 , 0.7 , from left to right: the sample paths are all pushed to the bottom since p = 0.1 ; moreover, the favorite position is toward the left when q = 0.3 , the center if q = 0.5 , and they are more pushed toward the right when q = 0.7 . This is confirmed by taking into account the means of X n and Y n , given in (26).
Let us now introduce the state probabilities at time n N 0 ,
P ( j , k ; n | l 0 ) : = P [ ( X n , Y n ) = ( j , k ) | ( X 0 , Y 0 ) = l 0 ] , ( j , k ) Z 2 ,
so that the initial condition (3) reads
P ( j , k ; 0 | l 0 ) = δ j , j 0 δ k , k 0 ,
where δ is the Kronecker delta. Hence, from (4), one has the following Kolmogorov equations for the probabilities (5):
P ( j , k ; n + 1 | l 0 ) = P ( j 1 , k ; n | l 0 ) q + P ( j + 1 , k ; n | l 0 ) ( 1 q ) , ( j , k ) V 0 , P ( j , k 1 ; n | l 0 ) p + P ( j , k + 1 ; n | l 0 ) ( 1 p ) , ( j , k ) V 1 ,
with n N 0 and initial condition (6).
We denote with D j 0 , k 0 ( n ) the set of the reachable states of ( X n , Y n ) , which is due to the nature of the described random walk; this set is specified in Table 1.

2.1. The Probability Generating Function of ( X n , Y n )

Now we focus on the probability generating function (pgf) of ( X n , Y n ) . Due to (5), it is defined by
G ( u , v ; n ) = E u X n v Y n = j Z k Z u j v k P ( j , k ; n | l 0 ) , u , v ( 0 , 1 ] .
Theorem 1.
The explicit expression of the pgf of ( X n , Y n ) for n N 0 and u , v ( 0 , 1 ] is
G ( u , v ; n ) = u j 0 v k 0 u q + 1 u ( 1 q ) n i n 2 v p + 1 v ( 1 p ) n + i n 2 , l 0 V 0 , u j 0 v k 0 u q + 1 u ( 1 q ) n + i n 2 v p + 1 v ( 1 p ) n i n 2 , l 0 V 1 ,
where
i n = 1 ( 1 ) n 2 = 1 , n odd , 0 , n even .
Proof. 
For all n N 0 , we define the probability generating function for the vertices V s , s { 0 , 1 } :
F s ( u , v ; n ) = ( j , k ) Z 2 : j + k = 2 m + s u j v k P ( j , k ; n | l 0 ) ,
and we note that
G ( u , v ; n ) = F 0 ( u , v ; n ) + F 1 ( u , v ; n ) .
Now, we focus on F 0 ( u , v ; n ) . By considering the Kolmogorov Equation (7) for the vertices V 0 and Equation (10), after some straightforward calculations, one obtains
F 0 ( u , v ; n + 1 ) = j = + m = + u j v 2 m j P ( j , 2 m j ; n + 1 | l 0 )   = u q F 1 ( u , v ; n ) + 1 u ( 1 q ) F 1 ( u , v ; n ) .
Analogously, by considering the Kolmogorov Equation (7) for the vertices V 1 and Equation (10), one has
F 1 ( u , v ; n + 1 ) = v p F 0 ( u , v ; n ) + 1 v ( 1 p ) F 0 ( u , v ; n ) .
Hence, from (12) and (13), we obtain
ϕ ( n + 1 ) = M ϕ ( n ) ,
with
ϕ ( n ) = F 0 ( u , v ; n ) F 1 ( u , v ; n ) , M = 0 α β 0 ,
and
α = α ( u ) = u q + 1 u ( 1 q ) , β = β ( v ) = v p + 1 v ( 1 p ) .
Due to the initial condition (6), we have
ϕ ( 0 ) = u j 0 v k 0 0 , l 0 V 0 ,   0 u j 0 v k 0 , l 0 V 1 ,
so that system (14) has solution
ϕ ( n ) = M n ϕ ( 0 ) ,
where
M n = 0 α ( n + 1 ) / 2 β ( n 1 ) / 2 α ( n 1 ) / 2 β ( n + 1 ) / 2 0 , n odd ,   α n / 2 β n / 2 0 0 α n / 2 β n / 2 , n even .
Based on the initial condition, we solve system (18).
(i)
If l 0 V 0 , then from (19), the solution of system (18), with initial solution (17), is
ϕ ( n ) = 0 u j 0 v k 0 α ( n 1 ) / 2 β ( n + 1 ) / 2 , n odd ,   u j 0 v k 0 α n / 2 β n / 2 0 , n even .
Hence, for (15), we obtain the following explicit expressions:
F 0 ( u , v ; n ) = 0 , n odd , u j 0 v k 0 α n / 2 β n / 2 , n even , F 1 ( u , v ; n ) = u j 0 v k 0 α ( n 1 ) / 2 β ( n + 1 ) / 2 , n odd , 0 , n even .
Therefore, due to (11) and (16), the first result in (8) is obtained.
(ii)
If l 0 V 1 , then the solution of system (18) with initial solution (17), taking into account (19), is
ϕ ( n ) = u j 0 v k 0 α ( n + 1 ) / 2 β ( n 1 ) / 2 0 , n odd ,   0 u j 0 v k 0 α n / 2 β n / 2 , n even .
Therefore, recalling (15), we obtain
F 0 ( u , v ; n ) = u j 0 v k 0 α ( n + 1 ) / 2 β ( n 1 ) / 2 , n odd , 0 , n even , F 1 ( u , v ; n ) = 0 , n odd , u j 0 v k 0 α n / 2 β n / 2 , n even .
Finally, due to (11) and (16), the second result of (8) holds.

2.2. Probability Laws

The aim of this section is to obtain the probability law of the random walk ( X n , Y n ) . In Proposition 1, we will prove the independence of the two components of the process. Therefore, we will study separately the one-dimensional processes X n and Y n , obtaining relations with the biased one-dimensional random walk, as explained in Remark 1.
We define the state probabilities of the process X n and Y n , respectively, as
P n X ( j | l 0 ) : = P ( X n = j ) , P n Y ( k | l 0 ) : = P ( Y n = k ) , n N 0 .
Recalling (6), j 0 and k 0 are the starting values of the processes X n and Y n , respectively, so that the initial condition reads
P 0 X ( j | l 0 ) = δ j , j 0 , P 0 Y ( k | l 0 ) = δ k , k 0 .
The pgf G X ( u ; n ) of X n and the pgf G Y ( v ; n ) of Y n are defined by
G X ( u ; n ) = E u X n = j Z u j P X ( j ; n | l 0 ) , G Y ( v ; n ) = E v Y n = k Z v k P Y ( k ; n | l 0 ) ,
respectively, for u , v ( 0 , 1 ] . Clearly, due to (20), the initial conditions are expressed as G X ( u ; 0 ) = u j 0 and G Y ( v ; 0 ) = v k 0 .
Proposition 1.
The processes X n and Y n are independent.
Proof. 
From (8), one has G ( u , v ; n ) = G X ( u ; n ) G Y ( v ; n ) = G ( u , 1 ; n ) G ( 1 , v ; n ) , so that the claimed result holds. □
Due to the independence of the components of the process, we can write the following representation of the considered two-dimensional random walk.
Remark 1.
Let us consider the two one-dimensional biased random walks X ˜ n and Y ˜ n , n 0 , independent from each other. In particular, let ( Z l ) l N and ( U l ) l N be sequences of i.i.d. { 1 , 1 } -valued random variables such that
Z l = 1 , w . p . q , 1 , w . p . 1 q , U l = 1 , w . p . p , 1 , w . p . 1 p ,
with ( Z l ) l N and ( U l ) l N independent of each other. Supposing X ˜ 0 = j 0 and Y ˜ 0 = k 0 , each random walk can be expressed in the following way, for n > 0 :
X ˜ n = j 0 + l = 1 n Z l , Y ˜ n = k 0 + l = 1 n U l .
For even times, it results that
X 2 n Y 2 n = d X ˜ n Y ˜ n ,
whereas, for odd times, one has
X 2 n + 1 = d X ˜ n , l 0 V 0 , X ˜ n + 1 , l 0 V 1 , Y 2 n + 1 = d Y ˜ n + 1 , l 0 V 0 , Y ˜ n , l 0 V 1 .
Due to Remark 1, we can focus on the one-dimensional random walks X ˜ n and Y ˜ n to obtain some properties on the two-dimensional random walk S n , such as the transition probabilities, the moments and some asymptotic behavior. In particular, the classical results for one-dimensional random walks are treated in several books (cf. [26], for example); hence, we will generalize them to unbiased random walks and, taking into account the relations (22) and (23), we will adapt them to our two-dimensional model.
With a simple exercise, we obtain that the state probabilities for the one-dimensional biased random walks are
P n X ˜ ( j | j 0 ) = ψ ( j , j 0 , q ; n ) , P n Y ˜ ( k | k 0 ) = ψ ( k , k 0 , p ; n ) ,
with
ψ ( j , j 0 , q ; n ) = n n 2 + j 0 2 j 2 q n 2 j 0 2 + j 2 ( 1 q ) n 2 + j 0 2 j 2 .
Due to the above expressions and to Remark 1, we can compute the functions of interest for our model. In particular, the state probabilities of the two-dimensional random walk ( X n , Y n ) , depending on n and l 0 , are
P ( j , k ; n | l 0 ) = P n X ( j | j 0 ) P n Y ( k | k 0 ) ,
by taking into account that one has P ( j , k ; n | l 0 ) > 0 for the specified vertices ( j , k ) D j 0 , k 0 ( n ) in Table 1. Moreover, the following constraints must be verified:
n i n 2 + j 0 j n i n 2 + j 0 , n + i n 2 + k 0 k n + i n 2 + k 0 , if l 0 V 0 , n + i n 2 + j 0 j n + i n 2 + j 0 , n i n 2 + k 0 k n i n 2 + k 0 , if l 0 V 1 ,
with i n defined in (9). In Figure 6, we plot the state probabilities (5) of ( X n , Y n ) , for n = 20 , l 0 = ( 0 , 0 ) , p = 0.5 , q = 0.7 on the left and p = 0.7 , q = 0.3 on the right.
Finally, with an easy exercise, one obtains that the mean and the variance of S n = ( X n , Y n ) are linear in n, since
E ( X n ) = j 0 + n i n 2 ( 2 q 1 ) , l 0 V 0 , j 0 + n + i n 2 ( 2 q 1 ) , l 0 V 1 , E ( Y n ) = k 0 + n + i n 2 ( 2 p 1 ) , l 0 V 0 , k 0 + n i n 2 ( 2 p 1 ) , l 0 V 1 ,
and
V a r ( X n ) = 2 ( n i n ) q ( 1 q ) , l 0 V 0 , 2 ( n + i n ) q ( 1 q ) , l 0 V 1 , V a r ( Y n ) = 2 ( n + i n ) p ( 1 p ) , l 0 V 0 , 2 ( n i n ) p ( 1 p ) , l 0 V 1 ,
with n N 0 and i n given in (9).

2.3. Asymptotic Behaviors

By carrying out a simple exercise, we adapt some asymptotic results for the one-dimensional random walk, such as the central limit theorem and the multidimensional Donsker’s theorem, to our model. Indeed, due to Remark 1, one can easily obtain Remarks 2 and 3. Let us consider
S n = X n Y n = j 0 + l = 1 n i n 2 Z l k 0 + l = 1 n + i n 2 Z l , l 0 V 0 , S n = X n Y n = j 0 + l = 1 n + i n 2 U l k 0 + l = 1 n i n 2 U l , l 0 V 1 ,
and the mean of the random walk m n = E ( S n ) = E ( X n ) E ( Y n ) , given in (26).
Remark 2.
Recalling that the sequences (21) involved in the definition of S n in (27) are random variables, one has that ( S n m n ) / n , as n + , converges weakly to the centered bivariate normal distribution with covariance matrix
C = 2 q ( 1 q ) 0 0 2 p ( 1 p ) ,
with p , q ( 0 , 1 ) .
Remark 3.
From the above Remark, as an application of the multidimensional Donsker’s theorem, one has that the normalized partial-sum process
S n ( t ) : = S n t m n t n , t 0 ,
converges weakly to B D (as n + ), where B is the standard two-dimensional Brownian motion, and D is a 2 × 2 matrix such that D T D = C , with C defined in (28).
Now, we introduce briefly the preliminaries to state some results related to the large deviation principle (LDP) (see [27] as a reference on this topic). Given a sequence { a n > 0 : n 1 } , it is called speed if lim n + a n = + . Let Z be a topological space; a lower semi-continuous function I : Z [ 0 , ) is called rate function. If the level sets { { z Z : I ( z ) η } : η 0 } are compact, the rate function I is said to be good. Let { Z n : n 1 } be a sequence of random variables, taking values on a topological space Z ; it satisfies the LDP with speed a n and rate function I if
lim inf n 1 a n log P ( Z n O ) inf z O I ( z ) for all open sets O ,
and
lim sup n 1 a n log P ( Z n C ) inf z C I ( z ) for all closed sets C .
In the following Proposition, and in Section 3, we consider the LDPs with an application of Gärtner–Ellis theorem (see e.g., Theorem 2.3.6 in [27]); it concerns R d -valued random variables. Here, we consider the case d = 2 for the bidimensional process, whereas the case d = 1 is treated in Section 3 for the FPT problems.
Proposition 1.
The sequence X n n , Y n n : n N 0 satisfies the LDP, with speed n, and good rate function Λ * ( x , y ) given by
Λ * ( x , y ) = λ 1 ¯ x + λ 2 ¯ y Λ ( λ 1 ¯ , λ 2 ¯ ) , x , y 1 2 , 1 2 , 1 2 log p q , x = y = 1 2 , 1 2 log ( 1 p ) ( 1 q ) , x = y = 1 2 , 1 2 log q ( 1 p ) , x = 1 2 , y = 1 2 , 1 2 log p ( 1 q ) , x = 1 2 , y = 1 2 , y λ 2 ¯ 1 2 log [ q ( p e λ 2 ¯ + ( 1 p ) e λ 2 ¯ ) ] , x = 1 2 , y 1 2 , 1 2 , y λ 2 ¯ 1 2 log [ ( 1 q ) ( p e λ 2 ¯ + ( 1 p ) e λ 2 ¯ ) ] , x = 1 2 , y 1 2 , 1 2 , x λ 1 ¯ 1 2 log [ p ( q e λ 1 ¯ + ( 1 q ) e λ 1 ¯ ) ] , x 1 2 , 1 2 , y = 1 2 , x λ 1 ¯ 1 2 log [ ( 1 p ) ( q e λ 1 ¯ + ( 1 q ) e λ 1 ¯ ) ] , x 1 2 , 1 2 , y = 1 2 , + , otherwise ,
where
λ 1 ¯ = log ( q 1 ) ( 2 x + 1 ) q ( 2 x 1 ) , λ 2 ¯ = log ( p 1 ) ( 2 y + 1 ) p ( 2 y 1 ) ,
and Λ is given in (32).
Proof. 
We aim to compute the good rate function, which is defined in following way:
Λ * ( x , y ) : = sup ( λ 1 , λ 2 ) R 2 λ 1 x + λ 2 y Λ ( λ 1 , λ 2 ) ,
where
Λ ( λ 1 , λ 2 ) = lim n + 1 n log G e λ 1 , e λ 2 ; n , λ 1 , λ 2 R 2 ,
with G given in (8). Due to Proposition 1 and Remark 1, one has
Λ ( λ 1 , λ 2 ) = 1 2 log q e λ 1 + ( 1 q ) e λ 1 p e λ 2 + ( 1 p ) e λ 2 .
Then, the LDP will follow from an application of the Gärtner–Ellis theorem because the function Λ is finite and differentiable. Now, we focus on computing the good rate function, as defined in (31). We consider the function
f ( λ 1 , λ 2 ) = λ 1 x + λ 2 y Λ ( λ 1 , λ 2 ) , ( λ 1 , λ 2 ) R 2 ,
with Λ ( λ 1 , λ 2 ) given in (32), with the aim of finding its supremum. By taking the partial derivative of f with respect to λ 1 and λ 2 , one can find the critical points of the system:
x 1 2 q e λ 1 ( 1 q ) e λ 1 q e λ 1 + ( 1 q ) e λ 1 = 0 ,   y 1 2 p e λ 2 ( 1 p ) e λ 2 p e λ 2 + ( 1 p ) e λ 2 = 0 .
Such points exist under the assumption x , y 1 2 , 1 2 . In this case, the couple ( λ 1 ¯ , λ 2 ¯ ) , in (30), is the solution of this system. The determinant of the Hessian matrix in this couple is positive, and the ( 1 , 1 ) -entry of such matrix is negative; therefore, (30) is the maximum point of f. Hence, the first line of the result (29) holds. To analyze the other cases, we study the behavior of f in the extremes of the plane, i.e., λ 1 , λ 2 ± . In particular, we explicitly state the expression of f as follows:
f ( λ 1 , λ 2 ) = λ 1 x + λ 2 y 1 2 log p q e λ 1 + λ 2 + q ( 1 p ) e λ 1 λ 2     + p ( 1 q ) e λ 1 + λ 2 + ( 1 q ) ( 1 p ) e λ 1 λ 2 , ( λ 1 , λ 2 ) R 2 .
We study the behavior on the lines λ 1 = ± λ 2 and on the eight regions delimited by such lines and the axes. We consider the case x = y = 1 2 to prove the result in the second line of (29). We focus on the function
f ˜ ( λ 1 , λ 2 ) = 1 2 λ 1 + 1 2 λ 2 Λ ( λ 1 , λ 2 ) , ( λ 1 , λ 2 ) R 2 ;
the result Λ * 1 2 , 1 2 follows from the following evaluations:
  • if λ 1 = λ 2 = λ > 0 , then lim λ + f ˜ ( λ , λ ) = 1 2 log p q ;
  • if λ 1 = λ 2 = λ < 0 , then lim λ f ˜ ( λ , λ ) = ;
  • if λ 1 = λ 2 < 0 , then lim λ 2 + f ˜ ( λ 2 , λ 2 ) = ;
  • if λ 1 = λ 2 > 0 , then lim λ 2 f ˜ ( λ 2 , λ 2 ) = ;
  • if λ 2 > λ 1 > 0 or 0 < λ 2 < λ 1 , then lim ( λ 1 , λ 2 ) ( + , + ) f ˜ ( λ 1 , λ 2 ) = 1 2 log p q ;
  • if λ 2 > λ 1 > 0 or 0 < λ 2 < λ 1 , then lim ( λ 1 , λ 2 ) ( , + ) f ˜ ( λ 1 , λ 2 ) = ;
  • if 0 > λ 2 > λ 1 or λ 2 < λ 1 < 0 , then lim ( λ 1 , λ 2 ) ( , ) f ˜ ( λ 1 , λ 2 ) = ;
  • if λ 2 < λ 1 < 0 or 0 > λ 2 > λ 1 , then lim ( λ 1 , λ 2 ) ( + , ) f ˜ ( λ 1 , λ 2 ) = .
All the remaining cases can be treated by following a similar approach. □
Note that the expression of the good rate function (29) reflects the independence between X n and Y n , since one could separate the contributions from each component of the two-dimensional random walk.

3. First-Passage-Time Problems

In this section we study the FPT problem of the random walk ( X n , Y n ) through suitable boundaries. The initial state is denoted with l 0 = ( j 0 , k 0 ) Z 2 . In the following, we assume that, given a generic boundary
C = ( x , y ) , x , y Z ,
the following conditions, due to (25), are verified:
  • if l 0 V 0
    n i n 2 + j 0 x n i n 2 + j 0 , n + i n 2 + k 0 y n + i n 2 + k 0 ,
  • if l 0 V 1
    n + i n 2 + j 0 x n + i n 2 + j 0 , n i n 2 + k 0 y n i n 2 + k 0 ,
so that the moving particle can effectively reach C. Note that if we fix C and the system has no solutions, then the number of steps n is not big enough to make the threshold reachable from the moving particle, starting from the initial point l 0 .

3.1. First-Passage-Time Problems Through y = r

For a fixed r Z , let us now introduce the straight line boundary:
S r = ( s , r ) , s Z .
For k 0 r , let
T r ( l 0 ) = min n N : ( X n , Y n ) S r , ( X 0 , Y 0 ) = l 0 ,
be the FPT of ( X n , Y n ) through boundary (34). Clearly, if k 0 < r ( k 0 > r ), then the first passage occurs from below (above). The reachability of the boundary S r is subject to constraints. Indeed, due to the choice of l 0 , in order to effectively reach S r at time n N , it is required that ( s , r ) R θ × Z , with θ = ( l 0 , n , r ) , where the set R θ represents the first coordinate of the reachable states in this FPT problem and is specified in Table 2. Note that the set R θ × Z , given in Table 2, is obtained taking into account the transition rules of the stochastic process (see, for example, Figure 7).
The walker can reach S r for the first time in n steps only by entering into states belonging to V 1 at time n. Indeed, if k 0 < r , in order to have the first passage through S r at time n, it is required that at time n 1 , the particle is located in position ( s , r 1 ) , which belongs to V 0 , and then, an upward step is performed so that the particle reaches a state belonging to S r and V 1 . Clearly, if k 0 > r , a similar remark holds, since the last step is a downward step from ( s , r + 1 ) .
Let us consider n N and ( s , r ) R θ × Z ; we now introduce the FPT probabilities
    g ( s , r ; n | l 0 ) = P [ T r ( l 0 ) = n , ( X n , Y n ) = ( s , r ) ] ,           h ( r ; n | l 0 ) : = P [ T r ( l 0 ) = n ] = s R θ g ( s , r ; n | l 0 ) .
Note that the FPT density h ( r ; n | l 0 ) involves only the first-passage-time problem of the process Y n through the boundary y = r , due to the independence of the components of the random walk. Whereas, to obtain the FPT density g ( s , r ; n | l 0 ) , it is necessary to consider the two-dimensional behavior of ( X n , Y n ) , i.e., if k 0 < r , in order to have the first passage through ( s , r ) S r at time n, it is required that the first component X n 1 = s and the FPT of the second component Y n is through the position r, as explained in Remark 4. Clearly, if k 0 > r , a similar remark holds. Therefore, by carrying out an exercise to generalize the study of the FPT for biased random walks, we obtain the following results.
Remark 4.
The FPT density h ( r ; n | l 0 ) defined in (36) for the boundary S r in (34) is given by
h ( r ; n | l 0 ) = η p P n 1 Y ( r 1 | l 0 ) ( 1 p ) P n 1 Y ( r + 1 | l 0 )   = η r k 0 n 1 + ( 1 ) s i n 1 4 + k 0 2 r 1 2 C n 1 + ( 1 ) s i n 1 , k 0 , r + 1 2     ×   p n 1 + ( 1 ) s i n 1 4 k 0 2 + r + 1 2 ( 1 p ) n 1 + ( 1 ) s i n 1 4 + k 0 2 r 1 2 , l 0 V s , s { 0 , 1 } ,
where η = sign ( r k 0 ) , i n is given in (9) and
C n , l 0 , r = n 2 n 4 + l 0 2 + r .
Let n N 0 and s , k 0 Z ; for k 0 r , it results in
g ( s , r ; n | l 0 ) = P n 1 X ( s | l 0 ) h ( r ; n | l 0 ) .
In Figure 8 and Figure 9, we plot the FPT probabilities g ( s , r ; n | l 0 ) with r = 2 , l 0 = ( 0 , 1 ) and n = 6 on the left, and n = 22 on the right, for the various possible choices of s, when p = q = 0.5 in Figure 8, and p = q = 0.7 in Figure 9. One can observe that the random walk is pushed right and upwards in the latter case. In Table 3, we list the values of the FPT density h ( 2 | ( 0 , 1 ) ) in (36) for varying choices of n, p and q. Note that the shapes of the probability distributions reflect the position of the initial state and the choices of p and q, with respect to the straight line boundary. The probabilities g ( s , 2 ; n | ( 0 , 1 ) ) are symmetric with respect to s = 0 in the case p = q . Moreover, for p = q = 0.7 , the values of h are greater than the other considered case, due to the position of the initial state ( 0 , 1 ) and the time n.
For l 0 V s , s { 0 , 1 } , through the computation of n = 0 z n h ( r ; n | l 0 ) , we obtain the probability generating function of T r ( l 0 ) for 0 < z 1 :
F T ( z ) : = n = 0 z n h ( r ; n | l 0 ) = z 2 k 0 2 r 1 + s ( 2 ( 1 p ) ) k 0 r 1 1 4 z 4 p ( 1 p ) r k 0 , if k 0 < r , z 2 k 0 + 2 r 1 + s ( 2 p ) r k 0 1 1 4 z 4 p ( 1 p ) k 0 r , if k 0 > r .
By evaluating the function F T ( z ) for z = 1 , one obtains
P ( T r ( l 0 ) < + ) = 1 , if p 1 2 , r > k 0 or p 1 2 , r < k 0 , 1 p p k 0 r , if p < 1 2 , r > k 0 or p > 1 2 , r < k 0 .
Now, we focus only on the cases for which the crossing boundary is a certain event. By expanding in series the functions F T ( e z ) , we obtain the n-th moments of the FPT for l 0 V s , s { 0 , 1 } :
E [ T r n ( l 0 ) ] = ( 2 ( 1 p ) ) k 0 r u = 0 l = 0 r k 0 ( 1 ) l + u r k 0 l l / 2 u ( 4 p ( 1 p ) ) u ( 4 u + 2 k 0 2 r 1 + s ) n , if k 0 < r ,   ( 2 p ) r k 0 u = 0 l = 0 k 0 r ( 1 ) l + u k 0 r l l / 2 u ( 4 p ( 1 p ) ) u ( 4 u 2 k 0 + 2 r 1 + s ) n , if k 0 > r .
In particular, if p = 1 2 , the mean E [ T r ( l 0 ) ] = + ; whereas for l 0 V s , s { 0 , 1 } with k 0 < r , p > 1 / 2 or k 0 > r , p < 1 / 2 , it results in
E [ T r ( l 0 ) ] = 2 r k 0 2 p 1 1 + s , V a r [ T r ( l 0 ) ] = 16 p ( 1 p ) ( r k 0 ) ( 2 p 1 ) 3 .
In Figure 10, we plot the mean and the variance (on the right) of T r ( l 0 ) , given in (38), which are plotted as a function of p, for k 0 = 2 , j = 0 and r = 12 , 10 , 8 from top to bottom. We can observe that they are a decreasing function of p since k 0 < r , so that the more the process is pushed upwards, the less time it needs to cross the boundary; moreover, the mean and the variance are increasing with respect to the distance between the initial state and the boundary, as expected.
We conclude this section by stating an asymptotic result on the FPT random variable T r ( l 0 ) , related to the LDP. Indeed, the large deviation principle is a topic of interest in the field of stochastic process, as underlined also in [28]. The following remark can be proven similarly to Proposition 1.
Remark 5.
Let us consider the function
Γ r * ( x , p ) = x + 2 4 log x 2 4 4 p ( 1 p ) x 2 log x 2 2 x p , if x > 2 , + , if x 2 .
We see that T r ( l 0 ) r , r > k 0 satisfies the LDP with velocity r and good rate function Λ ˜ r * , given by
Λ ˜ r * ( x ) = Γ r * ( x , 1 p ) ;
Whereas T r ( l 0 ) r , r < k 0 satisfies the LDP with velocity r and good rate function, given by
Λ ^ r * ( x ) = Γ r * ( x , p ) .
Note that the good rate functions in (39) and (40), for the two cases r < k 0 and r > k 0 , respectively, are identical for p = 1 2 ; whereas they coincide when the values p and 1 p are exchanged. In Figure 11, the good rate function Λ ˜ r * ( x ) , given in (11), is plotted for various choices of p 1 2 .
A similar study can be performed for the FPT through the straight vertical line
B r ˜ = ( r ˜ , s ) , s Z ,
with a fixed r ˜ Z , which we avoid for brevity.

3.2. Boundary y = x + r

In this section, we consider the straight lines with slope 1 (an analogous study can be carried out for a straight line with slope 1 ). For r Z , let us introduce the boundary
D r = ( s , s + r ) , s Z .
For k 0 j 0 + r , let
T ˜ r ( l 0 ) = min n N : ( X n , Y n ) D r
be the first-passage time of ( X n , Y n ) through the boundary (41). Let r , s , Z and n N ; the FPT probabilities are defined as
g ˜ ( s , s + r ; n | l 0 ) = P [ T ˜ r ( l 0 ) = n , ( X n , Y n ) = ( s , s + r ) ] ,
and
h ˜ ( r ; n | l 0 ) : = P [ T ˜ r ( l 0 ) = n ] = s Z g ˜ ( s , s + r ; n | l 0 ) .
We note that the particle can reach D r if at time n 1 , it is in the position (see, for example, Figure 12):
  • ( s , s + r + 1 ) (or ( s , s + r 1 ) ), belonging to V 1 , when r is even, and then it goes to the right (or to the left), reaching a point V 0 of the boundary;
  • ( s , s + r + 1 ) (or ( s , s + r 1 ) ), belonging to V 0 , when r is odd, and then it goes to the bottom (or to the top), arriving in a vertex V 1 of the boundary.
In Table 4, we focus on the classification of the reachable points of the boundary D r , r { 0 , 1 } , with n , m N 0 , for different choices of the initial state l 0 .
Concerning the density h ˜ ( r ; n | l 0 ) in (43), we are able to obtain a closed form result, following the results of [25]. In order to achieve this, we focus on the boundary D r such that r { 0 , 1 } . Note that one can easily generalize the results for other choices of r, since the invariant properties for the transition probabilities P ( j , k ; n | l 0 ) in (6) hold, i.e.:
P ( j + t , k + t ; n | ( j 0 + t , k 0 + t ) ) = P ( j , k ; n | l j 0 , k 0 ) , t Z .
In the following, we suppose k 0 > j 0 (in the other case one can easily adapt the results).
The first-passage-time problem of the random walk S 2 n , given in (27), through D r with r { 0 , 1 } , is equivalent to the problem for the random walk considered in [25] if one makes the following choice in the cited article:
c 2 = q ( 1 p ) , c 1 = 0 , c 0 = p q + ( 1 p ) ( 1 q ) , c 1 = 0 , c 2 = p ( 1 q ) .
For the dynamics of the considered random walk, we have to pay attention to the fact that the boundary D 0 ( D 1 ) can be reached with an even number of steps only if l 0 V 0 ( l 0 V 1 ). Therefore, the results from Section 4 of [25] are adapted taking into account this remark, in addition to the fact that the number of steps must be halved and d = k 0 j 0 must be correspondent to our case. In particular, one has
h ˜ ( r ; n | l 0 ) = ϕ d / 2 n / 2 ( c 2 , c 2 ) , if r = 0 , l 0 V 0 ,   ϕ ( d 1 ) / 2 n / 2 ( c 2 , c 2 ) , if r = 1 , l 0 V 1 ,
where d = k 0 j 0 > 0 , c i ( i = 2 , 0 , 2 ) are given in (44) and
ϕ a n ( t , u ) = a n t a i = 0 ( n a ) / 2 n i n i i + a ( t u ) i ( 1 t u ) n 2 i a ( n N , a > 0 ) .
However, one can study the FPT through D 0 ( D 1 ), starting from l 0 V 1 ( l 0 V 0 ) by considering the one step probability to reach the closest vertex of kind V 0 ( V 1 ) without crossing the boundary and multiplying it for the known probability density in (45).
In Table 5, we list h ˜ ( r ; n | l 0 ) for r = 0 , 1 and different choices of n, p and q. Note that for p = 0.2 , q = 0.7 , the values of h ˜ are greater than the other considered case due to the position of the initial state ( 0 , 0 ) and the time n.
We will investigate the crossing probability and the mean first-crossing time. For all d = k 0 j 0 N , let us consider
Q d ( r ) = n N 0 h ˜ ( r ; n | d ) , r = 0 , 1 , P d = Q d ( 0 ) + Q d ( 1 ) .
For r = 0 , 1 , Q d ( r ) represents the probability that the two-dimensional random walk reaches the region S r = { ( x , y ) : y = x r ; x , y Z } for the first time and that it has not previously reached the region S 1 r = { ( x , y ) : y = x + r 1 ; x , y Z } , conditional on the initial state l 0 with k 0 j 0 = d . However, P d is the probability that the random walk reaches, for the first time, region S = { ( x , y ) : x y ; x , y Z } , conditional on l 0 with k 0 j 0 = d . From Theorem 3.3 of [25], one has
P d = 1 if , and only if , p q .
The mean first-crossing time is defined, for d N , as
t d : = E T ˜ r ( l 0 ) = n N 0 ( h ˜ ( 0 ; n | d ) + h ˜ ( 1 ; n | d ) ) , d = k 0 j 0 ,
and, for p < q , from Theorem 3.4 of [25], it results in
t d = d 2 ( q p ) , if l 0 V 0 ,   d + 1 2 ( q p ) , if l 0 V 1 ,
whereas t d = + when p = q .
Therefore, increasing the distance of l 0 from the boundary, one has the following limit:
lim d + t d d = 1 2 ( q p ) .
For this FPT-problem, we know the analytical expression of the density h ˜ ( r ; n | l 0 ) , but the density g ˜ in (42) remains unknown. Therefore, we use the simulation-based approach to estimate g ˜ for the boundary D 2 . The obtained function g e ( s , s 2 ; n | ( 0 , 0 ) ) is constructed in terms of histograms obtained by means of 10 5 simulations. In Figure 13 and Figure 14, we plot g e ( s , s 2 ; 12 | 0 , 0 ) and g e ( s , s 2 ; 22 | 0 , 0 ) for the values of s, given in (33) with y = s + r , when p = q = 0.5 and when p = 0.3 , q = 0.7 . In the latter case, the random walk is more pushed to the right and upwards, i.e., towards the boundary.
Even if, for such a kind of boundary, the analytical expression of h ˜ ( r ; n | l 0 ) is available, we use the simulation approach to estimate it in order to validate the accuracy of the numerical approach. The estimated function is denoted with h ˜ e ( r ; n | l 0 ) . We consider the case in which this approach works well, i.e., the FPT is a certain event and the mean t d is finite, in particular for p < q and two choices of n = 12 , 22 . In Table 6, we compare the results and the elapsed time (E.T.), i.e., the total time of execution of the procedure implemented with the software R (Version 2023.06.2+561) for the computation of h ˜ e ( r ; n | l 0 ) (with 10 5 simulations) and of h ˜ ( r ; n | l 0 ) (with the analytic expression (45)). As we can observe, the simulation procedure is validated for the accuracy of the results. From a computational point of view, the use of such an exact formula is more convenient. Moreover, we note that the closed form expressions help to better understand which is the behavior of the function of interest, depending on the involved parameters.

3.3. First-Exit-Time Problem Through Ellipses

Now we consider an elliptic boundary
E = x 2 a 2 + y 2 b 2 = 1 , ( x , y ) R 2 a , b > 0 .
Supposing that ( X n , Y n ) starts inside the region bounded by E, we study the first-exit-time (FET) of the process through the boundary (46), i.e.,
T ( l 0 ) = min n N : ( X n , Y n ) E , l 0 E .
In this case, a closed-form expression for the FET, defined as
h E ( n | l 0 ) = P [ T ( l 0 ) = n ] , n N ,
cannot be obtained.
Therefore, we develop a simulation-based approach to the FET problem of the process ( X n , Y n ) through the boundary E. In this case, we do not know theoretically if the FPT is a certain event and the FPT mean is finite; however, the simulation-based approach will be used to have an estimation of this information, as follows. Through 10 5 Monte-Carlo simulations of the random process ( X n , Y n ) , we construct estimates of h E ( n | l 0 ) in terms of histograms, and we obtain the estimated mean m ^ and standard deviation σ ^ of the first-exit-time r.v. T ( l 0 ) . In Figure 15, we plot the estimations of h E ( n | ( 0 , 0 ) ) , denoted with h ^ , in terms of histograms, for a = 10 , b = 5 in (46), when p = 0.5 , for varying q = 0.5 , 0.6 , 0.7 , 0.9 . The corresponding estimated mean m ^ and standard deviation σ ^ of the FET are given in Table 4. Note that the mean FET decreases when the probability q to go toward the left increases, since the process is more pushed outside the region delimited by the boundary; also, the standard deviation decreases for increasing q, due to the presence of a more favorite direction. For the choice of the parameters considered up to now, we can state that the FPT is a certain event and the FPT mean is finite. Intuitively, when the random walk starts in the region inside the boundary, we expect that it reaches the ellipse certainly, but it could happen in an infinite time, for the case p = q = 0.5 and l 0 = ( 0 , 0 ) (since the particle is more probable to remain around the starting point), depending on the boundary. Hence, for p = q = 0.5 and l 0 = ( 0 , 0 ) , we estimate the FPT mean m ^ for increasing values of a and b. Moreover we compute the E.T. for the execution of the procedure implemented with the software R for the computation of m ^ . The results are in Table 7, where the elapsed time is rounded down. As we expect, as the ellipse goes far from l 0 , the FPT mean increases, together to the computational time. This suggests that even if the running particle crosses the boundary, this happens in an infinite time for increasing values of a and b.
We want to also analyze which is the best distribution fitting the simulated first-exit times. With reference to Figure 15, we consider two kinds of distributions:
  • the Lognormal distribution, characterized by probability density function (pdf)
    f L ( x ; μ , σ L ) = 1 x σ L 2 π exp ( log ( x ) μ ) 2 2 σ L 2 , x > 0 , μ R , σ L R + ;
  • the Gamma distribution, with pdf
    f G ( x ; α , β ) = β α x α 1 e β · x Γ ( α ) , x > 0 , α , β > 0
    where G a m m a is the Euler Gamma function.
Starting from the simulated data, we estimate the parameters μ , σ , α , β , involved in the distribution given in (47) and (48), as shown in Table 8. In Figure 15, the correspondent estimated Lognormal and Gamma pdfs are plotted with a full and dashed line, respectively. They seem to fit the data quite well. Therefore, in order to quantify which is the best distribution, we compute the mean square error (MSE) as a measure of the distance between the simulated first-exit times and the estimated distributions. For the same parameters of Table 8, we provide the corresponding MSE in Table 9. The obtained values are quite small, highlighting a good correspondence between the histograms and the estimated densities. In particular, the MSE is smaller for the Gamma distribution for all the considered values of q. Moreover, the MSE is increasing for growing values of q.

4. Discussion

The interest in random walks on the L-lattice and other similar structures comes mainly from some physical applications, as underlined in [9,16]. The studies related to random walks on L-lattices have been usually directed to the transient and the recurrent behavior of the considered Markov chain. In this paper, by starting on the bipartite structure of the graph, we first determine the closed form of the probability generating function. From this result, we prove the independence of the two components of the processes, and we find a relation of each component with a one-dimensional biased random walk with time changed. However, we have underlined that the present model cannot be reduced to the study of a two-dimensional process with independent components resulting in one-dimensional biased random walks; indeed, for an odd number of steps, the law of our process cannot be compared to a time changed conventional process. By adapting the results on one-dimensional biased random walks to our model, the transition probabilities, the main moments, the asymptotic behavior and some FPT problems of the random walk have been obtained. Moreover, by using Monte-Carlo simulations of the process, we estimate the FET density and the mean FET through ellipses. However, the used simulation approach can be easily generalized to other kinds of ellipses, to other closed curves and to the case in which the starting point of the process is outside the region bounded by E.
Possible future developments of the present investigation deal with an extension of the study to the case Z d , d 3 , the case of non-homogeneous transition probabilities and the analysis of the FPT problems for different boundaries.

5. Summary of the Notation

The following notations are used in the manuscript.
  • Vertices. For s { 0 , 1 } :
    Z s = m Z { l Z : l = 2 m + s } , s { 0 , 1 } ,
    V s = | i j | = s V i , j = V 0 , 0 V 1 , 1 , s = 0 , V 0 , 1 V 1 , 0 , s = 1 ,
    where V i , j = Z i × Z j , i , j { 0 , 1 } .
  • Initial state: P [ ( X 0 , Y 0 ) = l 0 ] = 1 .
  • The one-step transition probabilities, for n N 0 :
    P [ ( X n + 1 , Y n + 1 ) = ( j , k + r ) | ( X n , Y n ) = ( j , k ) ] = p , r = 1 , 1 p , r = 1 , ( j , k ) V 0 , P [ ( X n + 1 , Y n + 1 ) = ( j + r , k ) | ( X n , Y n ) = ( j , k ) ] = q , r = 1 , 1 q , r = 1 , ( j , k ) V 1 ,
    with 0 < p < 1 and 0 < q < 1 .
  • ( Z l ) l N and ( U l ) l N are sequences of i.i.d. { 1 , 1 } -valued random variables such that
    Z l = 1 , w . p . q , 1 , w . p . 1 q , U l = 1 , w . p . p , 1 , w . p . 1 p ,
  • The state probabilities of the process X n and Y n , respectively, are
    P n X ( j | l 0 ) : = P ( X n = j ) , P n Y ( k | l 0 ) : = P ( Y n = k ) , n N 0 .
  • The function i n ,
    i n = 1 ( 1 ) n 2 = 1 , n odd , 0 , n even .
  • The state probabilities at time n N 0 ,
    P ( j , k ; n | l 0 ) : = P [ ( X n , Y n ) = ( j , k ) | ( X 0 , Y 0 ) = l 0 ] , ( j , k ) Z 2 .

Funding

The author is a member of the group GNCS of INdAM (Istituto Nazionale di Alta Matematica). This work is partially supported by INdAM-GNCS, project: Metodi analitici e computazionali per processi stocastici multidimensionali ed applicazioni (CUP E53C23001670001). The author thanks the anonymous referees for their useful comments, which improved the paper.

Data Availability Statement

Data is contained within the article.

Conflicts of Interest

The author declares no conflicts of interest.

References

  1. Lovász, L. Random walks on graphs: A survey. In Combinatorics, Paul Erdös is Eighty; Bolyai Society Mathematical Studies: Keszthely, Hungary, 1993; Volume 2, pp. 1–46. [Google Scholar]
  2. Guillotin-Plantard, N. Gillis’ Random walks on graphs. J. Appl. Probab. 2005, 42, 295–301. [Google Scholar]
  3. Masuda, N.; Porter, M.A.; Lambiotte, R. Random walks and diffusion on networks. Phys. Rep. 2017, 716–717, 1–58. [Google Scholar] [CrossRef]
  4. Lawler, G.; Limic, V. Random Walk: A Modern Introduction; Cambridge University Press: Cambridge, UK, 2010. [Google Scholar]
  5. Montroll, E.W. Random walks on lattices. Proc. Symp. Appl. Math. 1964, 16, 193–220. [Google Scholar]
  6. Montroll, E.W.; Weiss, G.H. Random walks on lattices. II. J. Math. Phys. 1965, 6, 167–181. [Google Scholar]
  7. Campanino, M.; Petritis, D. Type transition of simple random walks on randomly directed regular lattices. J. Appl. Prob. 2014, 51, 1065–1080. [Google Scholar]
  8. Campanino, M.; Petritis, D. Random walks on randomly oriented lattices. Markov Process. Relat. Fields 2003, 3, 391–412. [Google Scholar]
  9. Campanino, M.; Petritis, D. On the physical relevance of random walks: An example of random walks on a randomly oriented lattice. In Random Walks and Geometry: Proceedings of a Workshop at the Erwin Schrodinger Institute, Vienna, Austria, 18 June–13 July 2001; Kaimanovich, V.A., Ed.; De Gruyter: Berlin, Germany; New York, NY, USA, 2004; pp. 393–412. [Google Scholar]
  10. Beamond, E.J.; Owczarek, A.L.; Cardy, J. Quantum and classical localization and the Manhattan lattice. J. Phys. A Math. Gen. 2023, 36, 10251. [Google Scholar] [CrossRef]
  11. Beaton, N.R.; Holmes, M. The mean square displacement of random walk on the Manhattan lattice. Stat. Probab. Lett. 2003, 193, 109706. [Google Scholar] [CrossRef]
  12. Collevecchio, A.; Hamza, K.; Tournier, L. A deterministic walk on the randomly oriented Manhattan lattice. Electron. J. Probab. 2019, 24, 1–20. [Google Scholar] [CrossRef]
  13. Ryan, K. The Manhattan and Lorentz mirror models: A result on the cylinder with low density of mirrors. J. Stat. Phys. 2021, 185, 7. [Google Scholar]
  14. Fernandez, R.; Frohlich, J.; Sokal, A.D. Random Walks, Critical Phenomena, and Triviality in Quantum Field Theory; Springer: Berlin/Heidelberg, Germany, 1991. [Google Scholar]
  15. Brydges, D.; Frohlich, J.; Spencer, T. The random walk representation of classical spin systems and correlation inequalities. Commun. Math. Phys. 1982, 83, 123–150. [Google Scholar] [CrossRef]
  16. Beamond, E.J.; Cardy, J.; Chalker, J.T. Quantum and classical localization, the spin quantum Hall effect, and generalizations. Phys. Rev. B 2002, 65, 214301. [Google Scholar] [CrossRef]
  17. Di Crescenzo, A.; Macci, C.; Martinucci, B.; Spina, S. Analysis of random walks on a hexagonal lattice. IMA J. Appl. Math. 2019, 84, 1061–1081. [Google Scholar] [CrossRef]
  18. Malakar, K.; Jemseena, V.; Kundu, A.; Kumar, K.V.; Sabhapandit, S.; Majumdar, S.N.; Redner, S.; Dhar, A. Steady state, relaxation and first-passage properties of a run-and-tumble particle in one-dimension. J. Stat. Mech. 2018, 2018, 043215. [Google Scholar]
  19. Schehr, G.; Majumdar, S.N. Chapter 1: Exact record and order statistics of random walks via first-passage ideas. In First-Passage Phenomena and Their Applications; World Scientific Publishing: Hackensack, NJ, USA, 2014; pp. 226–251. [Google Scholar]
  20. Fu, J.C.; Wu, T.L. Boundary crossing probabilities for high-dimensional Brownian motion. J. Appl. Prob. 2016, 53, 543–553. [Google Scholar] [CrossRef]
  21. Di Crescenzo, A.; Giorno, V.; Nobile, A.G.; Spina, S. First-exit-time problems for two-dimensional Wiener and Ornstein-Uhlenbeck processes through time-varying ellipses. Stochastics 2024, 96, 696–727. [Google Scholar] [CrossRef]
  22. Simpson, M.J.; VandenHeuvel, D.J.; Wilson, J.M.; McCue, S.W.; Carr, E.J. Mean exit time for diffusion on irregular domains. New J. Phys. 2021, 23, 043030. [Google Scholar] [CrossRef]
  23. Grebenkov, D.S.; Skvortsov, A.T. Mean first-passage time to a small absorbing target in an elongated planar domain. New J. Phys. 2020, 22, 113024. [Google Scholar]
  24. Ricciardi, L.M. Diffusion Processes and Related Topics in Biology; Lecture Notes in Biomathematics; Springer: Berlin/Heidelberg, Germany, 1977; Volume 14. [Google Scholar]
  25. Di Crescenzo, A.; Giorno, V.; Nobile, A.G. On some First-Crossing-Time probabilities for a two-dimensional random walk with correlated components. Adv. Appl. Probab. 1992, 24, 441–454. [Google Scholar] [CrossRef]
  26. Grimmett, G.R.; Stirzaker, D.R. Probability and Random Processes, 2nd ed.; Oxford Science Publications: Oxford, UK, 1992. [Google Scholar]
  27. Dembo, A.; Zeitouni, O. Large Deviations Techniques and Applications, 2nd ed.; Springer: New York, NY, USA, 1998. [Google Scholar]
  28. D’Onofrio, G.; Macci, C.; Pirozzi, E. Asymptotic results for first-passage times of some exponential processes. Methodol. Comput. Appl. Probab. 2018, 20, 1453–1476. [Google Scholar] [CrossRef]
Figure 1. A representation of the state space and a projection of a sample path of ( X n , Y n ) . We denote with empty (full) circles and squares the vertices belonging to V 0 ( V 1 ). Specifically, empty (full) circles refer to V 0 , 0 ( V 0 , 1 ) and empty (full) squares to V 1 , 1 ( V 1 , 0 ), with reference to (1) and (2).
Figure 1. A representation of the state space and a projection of a sample path of ( X n , Y n ) . We denote with empty (full) circles and squares the vertices belonging to V 0 ( V 1 ). Specifically, empty (full) circles refer to V 0 , 0 ( V 0 , 1 ) and empty (full) squares to V 1 , 1 ( V 1 , 0 ), with reference to (1) and (2).
Appliedmath 05 00044 g001
Figure 2. One-step transition probabilities.
Figure 2. One-step transition probabilities.
Appliedmath 05 00044 g002
Figure 3. Graph of the transitions for the sets V i , j (left) and of the transition for the sets V s (right).
Figure 3. Graph of the transitions for the sets V i , j (left) and of the transition for the sets V s (right).
Appliedmath 05 00044 g003
Figure 4. Ten projections of sample paths of the process ( X n , Y n ) , with n = 20 , l 0 = ( 0 , 0 ) (asterisk point), p = 0.5 , q = 0.3 , 0.5 , 0.7 from left to right, and full circles as final points.
Figure 4. Ten projections of sample paths of the process ( X n , Y n ) , with n = 20 , l 0 = ( 0 , 0 ) (asterisk point), p = 0.5 , q = 0.3 , 0.5 , 0.7 from left to right, and full circles as final points.
Appliedmath 05 00044 g004
Figure 5. Ten projections of sample paths of the process ( X n , Y n ) , with n = 20 , l 0 = ( 0 , 0 ) (asterisk point), p = 0.1 , q = 0.3 , 0.5 , 0.7 from left to right, and full circles as final points.
Figure 5. Ten projections of sample paths of the process ( X n , Y n ) , with n = 20 , l 0 = ( 0 , 0 ) (asterisk point), p = 0.1 , q = 0.3 , 0.5 , 0.7 from left to right, and full circles as final points.
Appliedmath 05 00044 g005
Figure 6. The state probabilities (5) of ( X n , Y n ) are plotted for n = 20 , l 0 = ( 0 , 0 ) , p = 0.5 , q = 0.7 on the (left) and p = 0.7 , q = 0.3 on the (right), with ( j , k ) D j 0 , k 0 ( n ) .
Figure 6. The state probabilities (5) of ( X n , Y n ) are plotted for n = 20 , l 0 = ( 0 , 0 ) , p = 0.5 , q = 0.7 on the (left) and p = 0.7 , q = 0.3 on the (right), with ( j , k ) D j 0 , k 0 ( n ) .
Appliedmath 05 00044 g006
Figure 7. A sample path ending on the boundary S 2 in (34), with l 0 = ( 0 , 1 ) , without crossing S 2 .
Figure 7. A sample path ending on the boundary S 2 in (34), with l 0 = ( 0 , 1 ) , without crossing S 2 .
Appliedmath 05 00044 g007
Figure 8. The probabilities g ( s , 2 ; n | 0 , 1 ) are plotted for r = 2 , l 0 = ( 0 , 1 ) and n = 6 on the (left), and n = 22 on the (right), for various choices of s, when p = q = 0.5 .
Figure 8. The probabilities g ( s , 2 ; n | 0 , 1 ) are plotted for r = 2 , l 0 = ( 0 , 1 ) and n = 6 on the (left), and n = 22 on the (right), for various choices of s, when p = q = 0.5 .
Appliedmath 05 00044 g008
Figure 9. The probabilities g ( s , 2 ; n | 0 , 1 ) are plotted for r = 2 , l 0 = ( 0 , 1 ) and n = 6 on the (left), and n = 22 on the (right), for various choices of s, when p = q = 0.7 .
Figure 9. The probabilities g ( s , 2 ; n | 0 , 1 ) are plotted for r = 2 , l 0 = ( 0 , 1 ) and n = 6 on the (left), and n = 22 on the (right), for various choices of s, when p = q = 0.7 .
Appliedmath 05 00044 g009
Figure 10. The mean (on the left) and the variance (on the right) of T r , given in (38), are plotted as a function of 0.5 < p < 1 , for k 0 = 2 , j = 0 and r = 12 , 10 , 8 from top to bottom.
Figure 10. The mean (on the left) and the variance (on the right) of T r , given in (38), are plotted as a function of 0.5 < p < 1 , for k 0 = 2 , j = 0 and r = 12 , 10 , 8 from top to bottom.
Appliedmath 05 00044 g010
Figure 11. The good rate function in (39), for various choices of p = 0.5 , 0.6 , 0.7 , 0.8 , 0.9 , from top to bottom near the origin.
Figure 11. The good rate function in (39), for various choices of p = 0.5 , 0.6 , 0.7 , 0.8 , 0.9 , from top to bottom near the origin.
Appliedmath 05 00044 g011
Figure 12. Sample paths ending on the boundary D r in (41), with l 0 = ( 0 , 0 ) , without crossing D r , where r = 1 on the (left) and r = 2 on the (right).
Figure 12. Sample paths ending on the boundary D r in (41), with l 0 = ( 0 , 0 ) , without crossing D r , where r = 1 on the (left) and r = 2 on the (right).
Appliedmath 05 00044 g012
Figure 13. The probabilities g e ( s , s 2 ; 12 | 0 , 0 ) are plotted for p = q = 0.5 and choices for n = 12 , 22 , from (left) to (right).
Figure 13. The probabilities g e ( s , s 2 ; 12 | 0 , 0 ) are plotted for p = q = 0.5 and choices for n = 12 , 22 , from (left) to (right).
Appliedmath 05 00044 g013
Figure 14. The probabilities g e ( s , s 2 ; 12 | 0 , 0 ) are plotted for p = 0.3 , q = 0.7 and choices for n = 12 , 22 , from (left) to (right).
Figure 14. The probabilities g e ( s , s 2 ; 12 | 0 , 0 ) are plotted for p = 0.3 , q = 0.7 and choices for n = 12 , 22 , from (left) to (right).
Appliedmath 05 00044 g014
Figure 15. The estimation of h E ( n | l 0 ) in terms of histograms, denoted with h ^ , are shown for a = 10 , b = 5 in (46), when p = 0.5 , for varying q = 0.2 , 0.5 , 0.7 , 0.9 . In addition, the estimated Lognormal and Gamma pdfs are plotted with a full and dashed line, respectively, where the estimated parameters μ ^ , σ ^ L , α ^ , β ^ involved in their expressions (47) and (48) are given in Table 5.
Figure 15. The estimation of h E ( n | l 0 ) in terms of histograms, denoted with h ^ , are shown for a = 10 , b = 5 in (46), when p = 0.5 , for varying q = 0.2 , 0.5 , 0.7 , 0.9 . In addition, the estimated Lognormal and Gamma pdfs are plotted with a full and dashed line, respectively, where the estimated parameters μ ^ , σ ^ L , α ^ , β ^ involved in their expressions (47) and (48) are given in Table 5.
Appliedmath 05 00044 g015
Table 1. Description of the set D j 0 , k 0 ( n ) of the reachable states of ( X n , Y n ) , n N 0 , for different choices of the initial state l 0 .
Table 1. Description of the set D j 0 , k 0 ( n ) of the reachable states of ( X n , Y n ) , n N 0 , for different choices of the initial state l 0 .
m Oddm Even
l 0 D j 0 , k 0 ( n )
n = 2 m + 1 V 0 , 0 V 1 , 0 V 0 , 1
V 1 , 1 V 0 , 1 V 1 , 0
V 0 , 1 V 0 , 0 V 1 , 1
V 1 , 0 V 1 , 1 V 0 , 0
n = 2 m V 0 , 0 V 1 , 1 V 0 , 0
V 1 , 1 V 0 , 0 V 1 , 1
V 0 , 1 V 1 , 0 V 0 , 1
V 1 , 0 V 0 , 1 V 1 , 0
Table 2. Description of the set R l 0 ( n ) of the reachable points of the boundary S r given in (34), for different choices of n N and l 0 .
Table 2. Description of the set R l 0 ( n ) of the reachable points of the boundary S r given in (34), for different choices of n N and l 0 .
m Oddm Even
l 0 ( s , r ) R θ × Z
n = 2 m + 1 V 0 , 0 V 1 , 0 V 0 , 1
V 1 , 1 V 0 , 1 V 1 , 0
n = 2 m V 0 , 1 V 1 , 0 V 0 , 1
V 1 , 0 V 0 , 1 V 1 , 0
Table 3. Values of the FPT density h ( 2 | 0 , 1 ) in (36), for various choices of n, p and q.
Table 3. Values of the FPT density h ( 2 | 0 , 1 ) in (36), for various choices of n, p and q.
p = 0.5 , q = 0.5 p = 0.7 , q = 0.7
h ( 2 | 0 , 1 )
n = 6 0.125 0.147
n = 22 0.0205078 0.0120073
Table 4. Classification of the reachable points of the boundary D r , r { 0 , 1 } , with n , m N 0 , for different choices of the initial state l 0 .
Table 4. Classification of the reachable points of the boundary D r , r { 0 , 1 } , with n , m N 0 , for different choices of the initial state l 0 .
m Oddm Even
l 0 ( s , s + r )
r Z 1 n = 2 m + 1 V 0 , 0 V 1 , 0 V 0 , 1
V 1 , 1 V 0 , 1 V 1 , 0
n = 2 m V 0 , 1 V 1 , 0 V 0 , 1
V 1 , 0 V 1 , 1 V 1 , 1
r Z 0 n = 2 m + 1 V 0 , 1 V 0 , 0 V 1 , 1
V 1 , 0 V 1 , 1 V 0 , 0
n = 2 m V 0 , 0 V 1 , 1 V 0 , 0
V 1 , 1 V 0 , 0 V 1 , 1
Table 5. Values of the FPT density h ˜ ( r ; n | l 0 ) in (43) for various choices of n, p and q.
Table 5. Values of the FPT density h ˜ ( r ; n | l 0 ) in (43) for various choices of n, p and q.
r = 0 r = 1
p = 0 . 5 , q = 0 . 5 p = 0 . 2 , q = 0 . 7 p = 0 . 5 , q = 0 . 5 p = 0 . 2 , q = 0 . 7
h ˜ ( 0 ; n | ( 0 , 2 ) ) h ˜ ( 1 ; n | ( 1 , 4 ) )
n = 4 0.125 0.212 0.062 0.313
n = 6 0.078 0.099 0.062 0.238
n = 12 0.032 0.017 0.04 0.064
n = 22 0.014 0.001 0.021 0.008
Table 6. The function h ˜ ( r ; n | l 0 ) and its estimation h ˜ e ( r ; n | l 0 ) , with the related elapsed time, are computed for l 0 = ( 0 , 2 ) , p = q = 0.5 and n = 6 , 12 .
Table 6. The function h ˜ ( r ; n | l 0 ) and its estimation h ˜ e ( r ; n | l 0 ) , with the related elapsed time, are computed for l 0 = ( 0 , 2 ) , p = q = 0.5 and n = 6 , 12 .
h ˜ ( 0 ; n | ( 0 , 2 ) ) E.T. h ˜ e ( 0 ; n | ( 0 , 2 ) ) E.T.
n = 6 0.09968 0.006 0.0979 67.45
n = 12 0.01716 0.008 0.01774 181.55
Table 7. The estimated mean m ^ of T ( l 0 ) and the related E.T. are computed for l 0 = ( 0 , 0 ) , p = q = 0.5 and various choices of a and b, defined in (46).
Table 7. The estimated mean m ^ of T ( l 0 ) and the related E.T. are computed for l 0 = ( 0 , 0 ) , p = q = 0.5 and various choices of a and b, defined in (46).
m ^ Elapsed Time
a = 10 , b = 15 4315
a = 15 , b = 10 14453
a = 20 , b = 15 296109
a = 20 , b = 20 498185
Table 8. The estimations of m ^ and σ ^ of the first-exit-time r.v. T ( l 0 ) (with a = 10 , b = 5 in (46)) are given in the second and third row. In the subsequent lines, there are the estimated parameters for the Lognormal and Gamma distribution, given in (47) and (48), respectively.
Table 8. The estimations of m ^ and σ ^ of the first-exit-time r.v. T ( l 0 ) (with a = 10 , b = 5 in (46)) are given in the second and third row. In the subsequent lines, there are the estimated parameters for the Lognormal and Gamma distribution, given in (47) and (48), respectively.
p = 0.5 q = 0.5 q = 0.6 q = 0.7 q = 0.9
m ^ 43383120
σ ^ 3125166
μ ^ 3.53 3.46 3.30 2.99
σ ^ L 0.69 0.63 0.52 0.32
α ^ 2.25 2.66 3.93 10.51
β ^ 0.05 0.06 0.12 0.50
Table 9. The MSE is computed as measures of the distance between the simulated first-exit times and the estimated lognormal and gamma distributions for the same parameters of Table 5.
Table 9. The MSE is computed as measures of the distance between the simulated first-exit times and the estimated lognormal and gamma distributions for the same parameters of Table 5.
MSE
LognormalGamma
q = 0.5 4.4 × 10 5 7.3 × 10 7
q = 0.6 6.1 × 10 5 7.4 × 10 7
q = 0.7 4.9 × 10 5 8.5 × 10 7
q = 0.9 1.3 × 10 4 1.1 × 10 4
Disclaimer/Publisher’s Note: The statements, opinions and data contained in all publications are solely those of the individual author(s) and contributor(s) and not of MDPI and/or the editor(s). MDPI and/or the editor(s) disclaim responsibility for any injury to people or property resulting from any ideas, methods, instructions or products referred to in the content.

Share and Cite

MDPI and ACS Style

Spina, S. A Note on a Random Walk on the L-Lattice and Relative First-Passage-Time Problems. AppliedMath 2025, 5, 44. https://doi.org/10.3390/appliedmath5020044

AMA Style

Spina S. A Note on a Random Walk on the L-Lattice and Relative First-Passage-Time Problems. AppliedMath. 2025; 5(2):44. https://doi.org/10.3390/appliedmath5020044

Chicago/Turabian Style

Spina, Serena. 2025. "A Note on a Random Walk on the L-Lattice and Relative First-Passage-Time Problems" AppliedMath 5, no. 2: 44. https://doi.org/10.3390/appliedmath5020044

APA Style

Spina, S. (2025). A Note on a Random Walk on the L-Lattice and Relative First-Passage-Time Problems. AppliedMath, 5(2), 44. https://doi.org/10.3390/appliedmath5020044

Article Metrics

Back to TopTop