Abstract
Pseudomonas aeruginosa is a metabolically versatile opportunistic pathogen capable of surviving in a range of environments. The major contribution to these abilities relies on virulence factor production, e.g., exotoxins, phenazines, and rhamnolipids, regulated through a hierarchical system of communication, named quorum sensing (QS). QS involves the production, release, and recognition of two classes of diffusible signal molecules: N-acyl-homoserine lactones and alkyl-quinolones. These present a central role during P. aeruginosa infection, regulating bacterial virulence and the modulation of the host immune system. The influence of this arsenal of virulence factors on bacterial–host interaction makes P. aeruginosa a highly potential platform for the development of biopharmaceuticals. Here, we comprehensively reviewed the therapeutical applications of P. aeruginosa virulence factors and quorum sensing signaling molecules on pathological conditions, ranging from infections and inflammation to cancer disease.
1. Introduction
Pseudomonas aeruginosa is Gram-negative opportunistic pathogen widely found in a variety of environments [1]. This ubiquitous bacterium showed an extensive metabolic capacity [2] and ability to produce multiple secondary metabolites using a wide range of carbon sources and electron acceptors [3]. P. aeruginosa is among the five leading pathogens that together account for more than half of global bacterial-related deaths [4]. P. aeruginosa can adapt to a harmful environment by producing a variety of virulence factors, which contribute to infection and cause disease [5]. Among the virulence factors, some have potential for biopharmaceutical development, mainly the following: (i) A class of redox-active pigments formed by nitrogenous heterocyclic aromatic rings with carboxy and hydroxy substituents, collectively called phenazines [6,7]. These pigments contribute to both the virulence and persistence of infections caused by P. aeruginosa [7,8,9]. (ii) A mixture of rhamnolipid biosurfactants [10,11,12] with physiological functions associated with bacterial motility (swarming) [13,14], biofilm development [15,16], and the absorption and biodegradation of compounds with low solubility [17,18].
Despite the large number of studies on different phenazine pigments and rhamnolipids (RLs) produced by P. aeruginosa, the biological functions of these compounds and their application as biopharmaceuticals have not yet been fully evaluated. However, reports suggest that there are potential antioxidant and non-cytotoxic properties of the red phenazine 7-imino-5-methyl-phenazine-1-carboxylic acid, called aeruginosin A (AA), and the blue–green 5-N-methyl-1-hydroxyphenazine, called pyocyanin, indicating a great potential for application in the pharmaceutical and cosmetic industries [19]. Additionally, the phenazine 5-methylphenazine-1-carboxylic acid (5-Me-PCA), a biosynthetic precursor of pyocyanin and aeruginosin A [20], has antimicrobial activity against pathogenic yeasts and cytotoxic activity against lung and breast cancer cells. This phenazine also reduces the activity of inflammatory mediators, such as NF-ĸB (nuclear factor kappa-light-chain-enhancer of activated B cells) and nitric oxide [21]. On other hand, RLs can protect microbial cells from the host defense system (inhibiting phagocytosis by macrophages) and can also act as hemolysins and modulators of the immune system of animals and plants [10,22,23]. RLs can target and kill myofibroblasts involved in skin scarring [24], accelerate wound healing [25,26], promote health, immunity, growth performance, and alleviate LPS-induced inflammatory responses in chicken broilers [27,28,29,30].
The regulation of genes encoding enzymes of phenazines and RLs biosynthesis pathways, as well as other virulence phenotypes, is carried out by quorum sensing (QS), a bacterial-communication mechanism, linked to population density [31]. QS might be one of the most significant regulatory mechanisms making a significant contribution to the pathogenesis, adaptability, and physiology of P. aeruginosa [5]. This communication system is based on the production and diffusion of small diffusible signaling molecules [32]. The P. aeruginosa QS is composed by two classes of signaling molecules, acyl-homoserine lactones and alkyl-quinolones [33,34]. In addition to regulating bacterial communication and producing virulence factors, QS molecules might play a role as cross talk signals between kingdoms, including human cells [35,36].
This review provides an overview of potential therapeutic applications of virulence factors and quorum sensing molecules from P. aeruginosa, a suitable bacterial platform for biopharmaceutical production.
2. Pseudomonas aeruginosa, Virulence Factors, and Quorum Sensing
P. aeruginosa is metabolically versatile opportunistic pathogen capable of surviving in a wide variety of environments. In humans, it is the main cause of high-risk infections—in patients with severe burns, immunocompromised patients, and those with chronic obstructive pulmonary disease and cystic fibrosis. P. aeruginosa is capable of evolving and adapting to the host [37]. As mentioned before, the greatest contribution to P. aeruginosa pathogenicity is the ability to produce a myriad of virulence factors; some are related to cell-associated components such as pili, flagella, biofilms, and lipopolysaccharides (LPS), as well as secreted virulence factors [5,38].
Virulence factor production is regulated by a bacterial-communication mechanism that is linked to population density [31]. This communication system, known as quorum sensing (QS), allows the coordination of bacterial behavior through the production and diffusion of small diffusible signaling molecules [32]. The P. aeruginosa QS is composed by two classes of signaling molecules: acyl-homoserine lactones (acyl-HSL): N-(3-oxododecanoyl)-HSL (3OC12-HSL) (Figure 1a) and N-butyryl-HSL (C4-HSL) (Figure 1b), produced by the enzymes LasI and RhlI, respectively; and alkyl-quinolones, mainly 2-heptyl-3-hydroxyl-4-quinolone, also known as the “Pseudomonas quinolone signal” (PQS) [33,34]. The acyl-HSL molecules bind to the correlated transcription factors (LasR and RhlR), activating the expression of the target genes. The two circuits are arranged hierarchically; therefore, LasI-LasR controls the expression of RhlI-RhlR.
Figure 1.
N-acyl-homoserine lactones. (a) N-(3-oxododecanoyl)-HSL (3OC12-HSL) and (b) N-butyryl-HSL (C4-HSL).
The structural genes for the PQS are encoded by a five-gene operon, pqsABCDE. The first four genes in this locus are required for the synthesis of the PQS molecule (Figure 2a) while the last one, pqsE, has the putative function of cellular response to the PQS molecule [39]. The PQS system is intrinsically linked to the acyl-HSL systems (LasI-LasR and RhlI-RhlR), with PQS production being positively regulated by LasI-LasR, while RhlR has been reported to repress the expression of pqsA and pqsR (also known as mvfR). The latter is a transcriptional regulator linked to QS [39,40,41]. Quorum sensing signaling molecules play a central role during infection, regulating both the expression of bacterial virulence factors and modulating the host immune-system response [42]. Since these molecules interfere with host signaling, modulating the host immune response, they present great potential for the development of new immunomodulatory drugs [42,43,44].
Figure 2.
Alkyl-quinolones. (a) 2-heptyl-3-hydroxy-4-quinolone (PQS), (b) 2-heptyl-4-quinolone (HHQ), (c) 2-nonyl-3-hydroxy-4-quinolone (C9-PQS), (d) 2-nonyl-4-quinolone (NHQ), (e) 2-heptyl-4-quinolone N-oxide (HQNO) and (f) 2-nonyl-3-hydroxy-4-quinolone N-oxide (NQNO).
3. Potential of Quorum Sensing Signaling Molecules for Biopharmaceuticals
3.1. N-Acyl-Homoserine-Lactones
QS signaling molecules, in addition to allowing bacterial cell-to-cell communication, enable inter-kingdom signaling between microorganisms and their hosts [35]. Among QS signaling molecules, 3OC12-HSL is the most studied autoinducer [36]. 3OC12-HSL is an amphiphilic molecule—with a hydrophilic lactone ring and hydrophobic acyl chain—allowing for free diffusion through the eukaryotic cell membrane, like it does in bacteria [45]. Transcriptional regulators and protein kinases have been connected to 3OC12-HSL signaling pathways in mammalian cells [46].
3OC12-HSL inhibits interleukin-12 (IL-12) production by murine lipopolysaccharide (LPS)-stimulated bone marrow-derived dendritic cells (DCs) [47]. DCs are antigen-presenting cells essential to immune responses; and IL-12 is a major pro-inflammatory cytokine produced by activated DCs and macrophages [47,48]. IL-12 promotes T-helper 1 (Th1)-mediated antitumor responses and plays a role in the activation and proliferation of T-cells by the induction of interferon-γ-promoting cytokines [48,49]. 3OC12-HSL inhibits DCs stimulatory effects on T-cells and represses the expression of T-cell-stimulatory surface markers (MHC II, CD80, CD86, and CD40) by LPS-stimulated DCs [47]. Murine bone marrow-derived DCs treated with 3OC12-HSL, during antigen stimulation, present a diminished capacity to induce the specific proliferation of T-cells [47]. 3OC12-HSL treatment also down-regulates tumor necrosis factor-α (TNF-α) and upregulates interleukin-10 (IL-10) production in LPS-stimulated macrophages, directly inhibiting inflammation [45]. TNF-α is a pro-inflammatory cytokine produced by activated immune cells [50,51,52]. IL-10 is an anti-inflammatory cytokine that down-regulates the production of pro-inflammatory cytokines and inhibits the activation of immune cells [53].
3OC12-HSL disarms host immunity through triggering tumor necrosis factor receptor 1 (TNFR1) signaling [54]. TNFR1/TNF trigger the mitogen-activated protein kinase (MAPK) and NF-κB pathways, which upregulate the transcription of pro-inflammatory genes underlying the inflammatory condition [55]. TNFR1/TNF also lead to cell death by inducing apoptosis and necroptosis. The QS molecule induces surface lipid domain dissolution, which forces TNFR1 into the disordered phase of the eukaryotic membrane, resulting in the increased spontaneous trimerization and signaling of TNFR1 without TNF [54], which induces host immune cell death. 3OC12-HSL treatment induces apoptosis in macrophages and neutrophils [56]. The immune-regulatory mechanism of 3OC12-HSL is directly connected to the signaling of host cell-defense, in an inter-kingdom communication that regulates host innate immunity [54]. The immunosuppressive activity of 3OC12-HSL might facilitate the settlement of P. aeruginosa infection [47].
3.2. Alkyl-Quinolones
Alkyl-quinolones (AQs) are a class of chemical compounds with a structure based on 4-quinolone, typically linked to alkyl groups at C-2 (Figure 2) [57]. AQs are secondary metabolites from Pseudomonas and Burkholderia genera. These compounds are known for their biological properties, including the signaling function in P. aeruginosa QS and the production of outer membrane vesicles (OMVs) containing AQs, further enhancing their effectiveness in inducing damage to host cells [58,59,60]. Furthermore, AQs are activated in response to the association of the bacteria with solid surfaces, which increases their production and, consequently, their toxicity [61]. Such characteristics highlight the importance of AQs in the virulence of P. aeruginosa, while their cytotoxicity draws the attention of the pharmaceutical industry regarding the fight against pathogens and cancer cells.
P. aeruginosa produces a variety of alkyl-quinolones, among which some stand out, such as 2-heptyl-3-hydroxy-4-quinolone (PQS) (Figure 2a), its precursor 2-heptyl-4-quinolone (HHQ) (Figure 2b), and some of its variations, such as 2-nonyl-3-hydroxy-4-quinolone (C9-PQS) (Figure 2c), 2-nonyl-4-quinolone (NHQ) (Figure 2d), 2-heptyl-4-quinolone N-oxide (HQNO) (Figure 2e), and 2-nonyl-3-hydroxy-4-quinolone N-oxide (NQNO) (Figure 2f) [58].
P. aeruginosa AQs are potent antibiotics [61], exhibiting activity against Staphylococcus aureus, Staphylococcus epidermidis [62], Bacillus cereus [63], Vibrio vulnificus, Vibrio cholerae [64], and antifungal activity against Candida albicans and Cryptococcus neoformans [65]. Furthermore, structural modifications on AQs can enhance antimicrobial activity, making them promising new anti-infectious compounds [64]. In addition, NHQ and 2-undecyl-4-quinolone showed activity against Plasmodium falciparum, the malaria-causing agent, with IC50 values ranging from 1.0 to 4.8 μg/mL [57,63,66], and those with larger alkyl groups are better antimalarial compounds [57].
Several studies highlight the antimicrobial activity of PQS [67,68,69,70,71,72,73]. PQS, at a concentration of 28 µg/mL, promoted the complete inhibition of Cryptococcus neoformans growth, an opportunistic pathogen particularly affecting immunocompromised individuals [70]. PQS can inhibit the growth of Aspergillus fumigatus, another opportunistic fungal pathogen [69,71,72]. PQS and its precursor HHQ, by acting directly in the defense of P. aeruginosa against other microorganisms, may help inhibit the growth of both Gram-positive and Gram-negative bacteria [68,73]. Although the exact mechanisms are not fully understood, studies suggest that PQS forms a complex by binding to ferric iron (Fe III), making it inaccessible to microorganisms that require this mineral [67,69,71,72].
While most research has focused on their antimicrobial and QS activities, recent studies also indicate that these molecules may act as antioxidants, helping to neutralize reactive oxygen species (ROS) and thus protecting cells from oxidative damage [60]. These antioxidant properties are important, as they may contribute to cellular protection in various pathological conditions and could have implications for human health and in disease prevention [57,60]. PQS reduces the intracellular level of reactive oxygen species (ROS), as it is an antioxidant that exhibits activity comparable to ascorbate (Vitamin C) activity [74]. Research on the specific antioxidant activities of AQs is still emerging, and further investigation is required to better understand the potential and mechanisms of these molecules [57].
Some AQs exhibited cytotoxicity against cancer cells, including KB cells (human oral epidermoid carcinoma, ATCC CCL-17), MCF-7 cells (human breast cancer, ATCC HTC-22), and NCI-H187 cells (human small cell lung cancer, ATCC CRL-5804) [63]. However, the relationship between antitumor and anti-inflammatory activities has not been sufficiently addressed; further studies will be needed to better understand the mechanisms of action of AQs in the cytotoxicity against cancer cells [57,63]. PQS represses some pathways of the mammalian immune response that depend on the activation of the transcription factor NF-kB. It represses the binding of NF-kB and the subsequent expression of target genes regulated by this transcriptional regulator. Furthermore, PQS slows the degradation of IκB by mouse monocytes/macrophages and BAL cells, which reduces the rate of NF-κB activation [75,76]. PQS also inhibits IL-12 production by murine LPS-stimulated bone marrow-derived DCs [47] and avoids DCs in exerting their T-cell-stimulatory effects. Murine bone marrow-derived DCs, treated with PQS, during antigen stimulation, present a diminished capacity to induce the specific proliferation of T-cells [47]. Additionally, PQS decreases HIF-1α protein levels [77]. HIF-1 (hypoxia-inducible transcriptional factor) is a crucial transcription factor in the regulation of host defense and inflammatory response against infections [77]. The immunosuppressive activity of PQS as well as 3OC12-HSL may facilitate the establishment of P. aeruginosa infection [47].
4. Virulence Factors Molecules as a Potential’s Biopharmaceuticals
4.1. Exotoxin A
Among P. aeruginosa virulence factors, there is a type III secretion system, which transports four known effector proteins (ExoS, ExoU, ExoY, and ExoT) and Exotoxin A [38,78,79,80].
Pseudomonas Exotoxin A (PE) is regarded as one of the most important virulence factors that is synthesized by P. aeruginosa [81]. PE kills cells by catalyzing ADP ribosylation and inactivating elongation factor 2, leading to the halting of protein translation, a decrease in anti-apoptotic proteins, and promoting apoptosis [38,82]. This polypeptide chain is organized in three functional structures. Domain I is divided into a binding domain (Ia) and another domain that is involved in catalytic activity (Ib). Domain II exhibits translocation activity and Domain III exhibits catalytic activity (Figure 3) [83,84]. Decades of acquired knowledge of the structure and mechanism of action have driven extensive modifications on the PE structure to explore its potential in cancer therapies.
Figure 3.
Exotoxin A and its variant recombinant immunotoxins. (a) PE toxin divided into three domains, (b) PE38—removal PE domain Ia and nonfunctional 365–280 aa of domain II, (c) PE25—PE38 removal domain II except furin cleavage site.
Recombinant immunotoxins are cytolytic fusion proteins that contain an antibody fragment that binds to a cancer cell and a toxin fragment that kills the target cell. Moxetumomab pasudotox [85] is composed of the Fv fragment of a recombinant murine anti-CD22 monoclonal antibody fused to 38 kDa fragment of Pseudomonas exotoxin A, PE38 (Figure 3b) [86,87]. Lumoxiti, the trade name of Moxetumomab pasudotox, was approved by the US Food and Drug Administration (FDA) for clinical use in 2018; conversely, its production was discontinued in 2023. AstraZeneca clarifies that its decision was based on commercial factors, specifically the low clinical uptake due to the availability of other treatments, and that there is no relation to the safety or efficacy of the product [85,88].
The main challenges in the clinical application of PE-derived immunotoxins are immunogenicity, non-specific toxicity, and the development of resistance to therapy [89,90]. In this context, PE38 was modified with six mutations introduced into domain III, and domain II was removed, with only the furin cleavage site, PE24, remaining [91]. Due to its reduced immunogenicity, lower toxicity, and high activity, PE24 (Figure 3c) has been widely studied [92,93,94]. As research progresses, PE-derived immunotoxins are anticipated to find wider clinical applications in treating both hematologic and solid tumors, which are more difficult to target due to a poor penetration of the molecule in solid tumors [95,96].
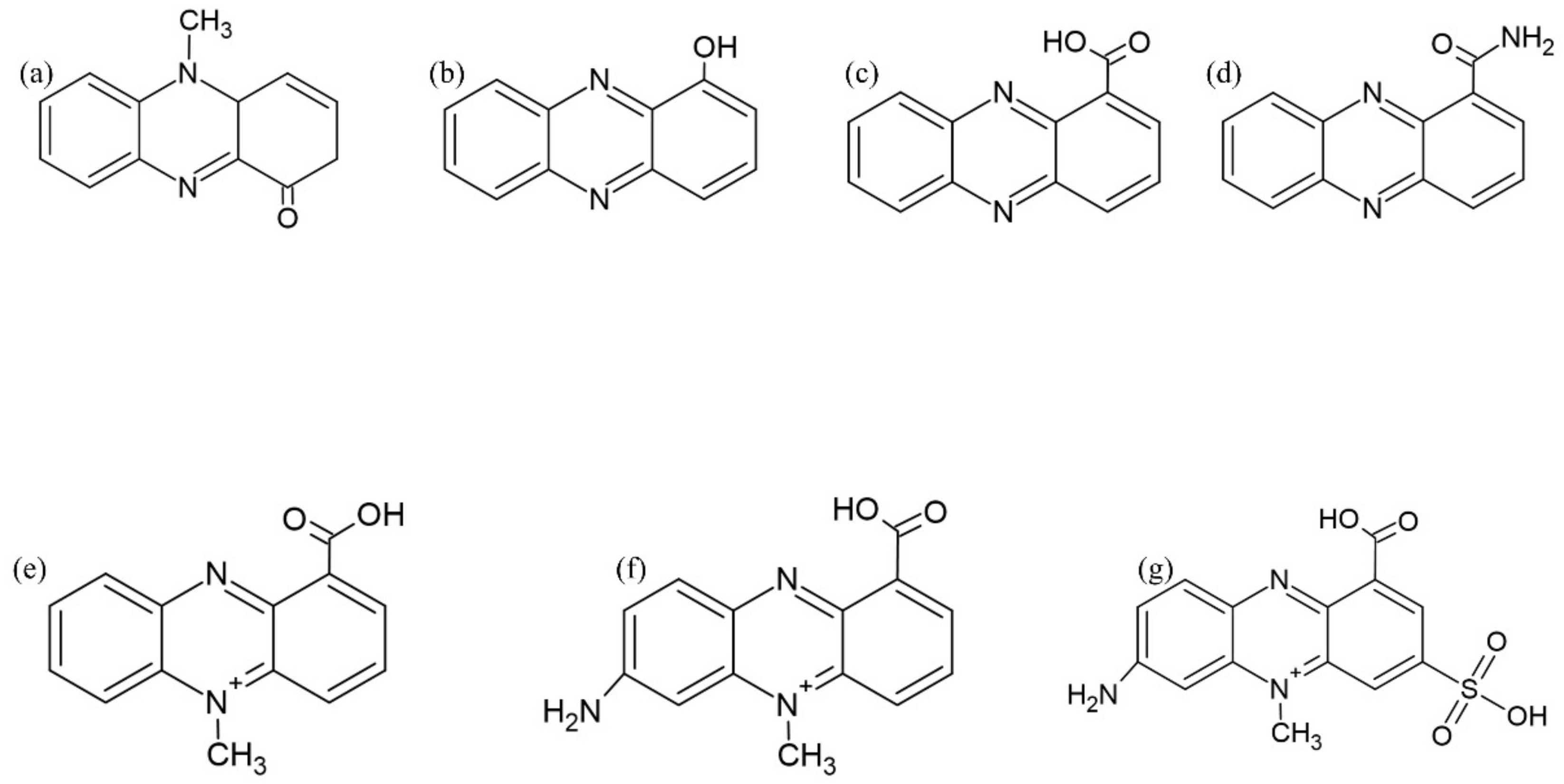
4.2. Phenazines Molecules
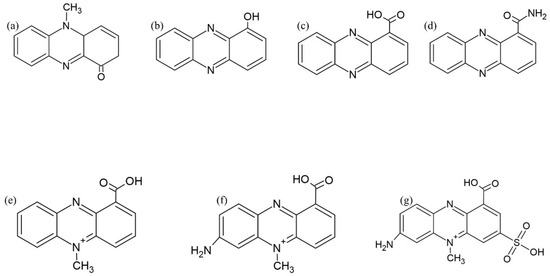
Phenazines are nitrogen-containing heterocyclic compounds featuring a pyrazine ring (1,4-diazabenzene) connected to two annulated benzenes (Figure 4). These molecules have been isolated from terrestrial and marine microorganisms and are widely recognized for their chemical and biological properties [97,98,99]. To date, over 150 natural phenazines and more than 6000 synthetic derivatives have been discovered and studied [97,98,99].
Figure 4.
Phenazines. (a) Pyocianin (PYO), (b) Phenzine-1-carboxylic acid (PCA), (c) 1-hydroxyphenazine (1-OH-PHZ), (d) Phenazine-1-carboxamide (PCN), (e) 5-methyl-phenazine-1-carboxylic acid (5-Me-PCA), (f) Aeruginosin A (AA) and (g) Aeruginosin B (AB).
Various microorganisms can produce phenazines through the shikimate pathway; however, the genus Pseudomonas spp. is the most studied, with P. aeruginosa being particularly noteworthy [98,100]. The different phenazine homologs excreted by P. aeruginosa, including pyocyanin (PYO), phenazine-1-carboxylic acid (PCA), 1-hydroxyphenazine (1-OH-PHZ), phenazine-1-carboxamide (PCN), 5-methyl-phenazine-1-carboxylic acid (5-Me-PCA), aeruginosin A (AA), and aeruginosin B (AB), are formed by the attachment of various chemical groups to the core phenazine molecule.
Different chemical groups enable phenazines to contribute to redox balance, granting them biological activities, such as antimicrobial, anti-inflammatory, antitumor, antimalarial, antiparasitic, and insecticidal effects [98,100]. These properties make these molecules, mainly produced by P. aeruginosa (Table 1), attractive to cosmetic and pharmaceutical industries.
Table 1.
Main phenazines produced by Pseudomonas aeruginosa with their biological activities.
Table 1.
Main phenazines produced by Pseudomonas aeruginosa with their biological activities.
| Phenazine | Biological Activities | |||||
|---|---|---|---|---|---|---|
| Antimicrobial | Ref | Anti-Inflammatory | Ref | Antitumoral | Ref | |
| PYO | Staphylococcus aureus, Bacillus cereus, Staphylococcus sciuri, Salmonella paratyphi, Escherichia coli, Klebsiella pneumoniae, Salmonella typhi | [101,102] | Reduction of nitric oxide, TNF-α, and IL-1β. Did not affect leukocyte migration. | [103,104] | Growth inhibition: HepG2, MCF-7, HCT-116, A-549, A54, MDA-MB-231, and Caco-2. | [101,105] |
| PCA | Rhizoctonia solani, Magnaporthe grisea, Fusarium graminearum, Xanthomonas oryzae pv. oryzae, Xanthomonas oryzae pv. oryzicola, Staphylococcus aureus | [106,107] | Reduces mRNA levels of inflammatory cytokines such as TNF-α, IL-1β, and IL-6 | [108] | Antiproliferative activity in SK-MEL-2 and DU145. | [109,110] |
| 1-OH-PHZ | Salmonella sp., Klebsiella oxytoca, Candida albicans, Aspergillus fumigatus | [108,111] | Reduces mRNA levels of inflammatory cytokines such as TNF-α, IL-1β, and IL-6 | [108] | - | - |
| PCN | Staphylococcus aureus, Rhizoctonia solani, Fusarium oxysporum f. sp. radicis-lycopersici, Rhizoctonia solani, Pythium ultimum, Fusarium oxysporum f. sp. Niveum. | [111,112] | - | Inhibition against lung (A549) and breast (MDA MB-231) cancer cells | [113] | |
| 5-Me-PCA | Staphylococcus aureus, Micrococcus luteus, Bacillus sp., and Candida albicans | [21] | - | Demonstrated selective cytotoxic activity against cancer cells, such as the A549 (lung cancer) and MDA MB-231 (breast cancer) cell lines | [113] | |
4.2.1. Pyocyanin
PYO, chemically named 5-N-methyl-1-hydroxyphenazine, was the first phenazine discovered and is the most studied (Figure 4a). Early reports in the mid-19th century came from physicians who observed blue-colored pus in wounds of patients with quite severe injuries. In 1860, Fordos reported the chloroform extraction of PYO from “blue pus”, naming the extracted pigment as “pyocyanin”, derived from the Greek words πύο (pus) and κυανό (blue) [98,99,100,114].
PYO has an amphiphilic structure, enabling it to penetrate in both eukaryotic and prokaryotic membranes [101]. As a redox-active compound, PYO can accept and donate electrons, which, in combination with the amphiphilic structure, turn PYO into a bacterium-mobile electron carrier, accepting electrons of NADH from intracellular carbon source oxidation, and transporting them to extracellular acceptors. PYO contributes to the virulence and persistence of P. aeruginosa infections, enhancing bacterial survival in low-oxygen and hard-to-reach conditions, such as those in biofilms [101,102,105].
PYO can also produce reactive oxygen species (ROS), which, when in excess, can harm host cells. PYO directly oxidizes NAD(P)H in the host cytoplasm; the acquired electrons are transferred to molecular oxygen, leading to superoxide anion production and subsequent ROS formation, which, along with glutathione (GSH) depletion, expose host cells to oxidative stress. Due to its pro-oxidant effects, PYO exhibits antimicrobial activity against bacteria, fungi, and protozoa [115,116,117,118]. PYO inhibits the growth of Trichomonas vaginalis [119] with an IC50 value of 17.44 μg/mL within 48 h, which indicates efficacy at relatively low doses. Although the mechanisms are still under investigation, pyocyanin’s redox properties interfere with the parasite’s metabolic processes, leading to death or growth inhibition [119].
PYO might work as a signaling molecule, playing a role in P. aeruginosa virulence regulation, through the activation of the transcription factor SoxR, which controls MexGHI-opmD efflux-pump expression. This efflux pump exports xenobiotics such as the antibiotic norfloxacin and acriflavine dye and its own molecules such alkyl-quinolones and 5-methylphenazine-1-carboxylic acid (5-Me-PCA) [120,121].
PYO also plays role in host inflammatory responses, reducing nitric oxide, TNF-α, and IL-1β production in LPS-activated murine peritoneal macrophages, independently of macrophage cell death [103,104]. These effects suggest that PYO may function as an immune evasion mechanism by reducing inflammation and the production of inflammatory mediators. Additionally, PYO did not affect leukocyte migration to the inflammation site in a zymosan A-induced peritonitis model, reinforcing the concept that the anti-inflammatory effects may be independent of cellular migration [103,104].
PYO has a significant inhibitory effect on the growth of several cancer cell lines, such as HepG2 (liver cancer), MCF-7 (breast cancer), HCT-116 (colorectal cancer), and A-549 (lung cancer) cells [105]. Cytotoxic activity was also reported in different cancer cell lines, such as A549 (lung cancer), MDA-MB-231 (breast cancer), and Caco-2 (colorectal cancer) cells [101].
Additionally, PYO inhibits colony formation and the migratory capacity of cancer cells, both of which are crucial for cancer progression and metastasis. The antioxidant and anti-inflammatory properties of PYO may contribute to the therapeutic effectiveness on cancer cell inhibition [101,105].
4.2.2. 1-Hydroxyphenazine
1-OH-PHZ (Figure 4b), like other phenazines, can influence the intracellular redox state and affect cell viability, especially under anaerobic conditions. 1-OH-PHZ may promote cell death through electron transfer with ferrous ions (Fe2+) of other bacteria, facilitating P. aeruginosa competition, or even its own cell, which can have implications in the dynamics of bacterial infections, particularly in patients with cystic fibrosis [122,123].
1-OH-PHZ has a significant inhibitory effect on several species of phytopathogenic fungi, including Cochliobolus miyabeanus and Diaporthe citri and pathogenic bacteria such as Salmonella sp. and Klebsiella oxytoca [124]; the last of these are applicable to the treatment of human infections. This phenazine also presents an anti-inflammatory capability, reducing TNF-α secretion and mRNA levels of inflammatory cytokines such as TNF-α, IL-1β, and IL-6 in RAW264.7 cells. Furthermore, 1-OH-PHZ inhibited LPS-induced M1 cell polarization [108].
4.2.3. Phenazine-1-Carboxylic Acid
PCA (Figure 4c) is a low toxicity and biodegradable phenazine with antimicrobial activity against agriculturally important phytopathogens [125], such as the fungi Botrytis cinerea [106], Pestalotiopsis kenyana [126], Phellinus noxius [127], Fusarium oxysporum f. sp. radicis-lycopersici, Gaeumannomyces graminis var. tritici, and Phytophthora nicotianae [128]. In China, PCA is commercially registered as “Shenqinmycin” and applied in the prevention of pepper pests and rice sheath blight [129]. For now, PCA is a quite interesting biofungicide for phytopathogens; on the other hand, the potential activity against human pathogens remains to be evaluated.
PCA also plays a role in host inflammatory responses; it can suppress TNF-α secretion and significantly reduce mRNA levels of inflammatory cytokines such as TNF-α, IL-1β, and IL-6 in RAW264.7 cells [108]. The anti-inflammatory activity of PCA might be related to its ability to affect cytokine expression and cell polarization [108]. Additionally, PCA may influence a range of physiological and biochemical responses, including interleukin release and the modulation of neutrophil apoptosis, which are essential processes in the inflammatory response. PCA can also inhibit M1 macrophage polarization after LPS stimulation, suggesting its potential to reduce inflammation [108].
PCA has antiproliferative activity against several malignant cell lines, including the DU145 prostate cancer cell line, showing a concentration- and time-dependent inhibitory effect on cell proliferation, with an IC50 value of 19.5 and 12.5 µM for 24 and 48 h, respectively [109]. Furthermore, PCA was effective against the human melanoma cell line SK-MEL-2, with a GI50 value (concentration that inhibits 50% of cell growth) below 10 μg/mL. PCA also caused typical morphological changes in treated cells, such as the rounding and loss of cell membrane integrity, supporting anticancer activity [110].
4.2.4. Phenazine-1-Carboxamide
PCN (Figure 4d) has a well-known antimicrobial activity, being effective against the fungus Rhizoctonia solani and the bacterium Xanthomonas oryzae pv. oryzae, both major pathogens of rice [112]. PCN is also effective against others phytopathogen fungi such as Fusarium oxysporum f. sp. Niveum, Fusarium oxysporum f. sp. radicis-lycopersici, Fusarium graminearum, and Pythium ultimum [107,130]. In addition, PCN is effective against Staphylococcus aureus, including the methicillin-resistant strain (MRSA) [111], making PCN a potential source for important treatments of human infections.
Finally, PCN exhibits selective inhibition against lung (A549) and breast (MDA MB-231) cancer cells, and did not show cytotoxicity to normal blood cells, suggesting potential applications for cancer treatment [113].
4.2.5. 5-Methyl-Phenazine-1-Carboxylic Acid
As mentioned before, 5-Me-PCA (Figure 4e) is an intermediate of the PYO biosynthesis. This phenazine has a carboxyl group, which confers antioxidant properties. 5-Me-PCA is important for protecting P. aeruginosa cells against oxidative stress. Moreover, 5-Me-PCA, along with PYO, play a role in the bacterium’s resistance to antimicrobial treatments, suggesting that these compounds may be targets for new therapeutic strategies against P. aeruginosa infections [131]. 5-Me-PCA exhibits antimicrobial activity against Staphylococcus aureus, Micrococcus luteus, Bacillus sp., and Candida albicans. Additionally, it demonstrated selective cytotoxic activity against cancer cells, such as the A549 (lung cancer) and MDA MB-231 (breast cancer) cell lines, without showing significant cytotoxic effects on normal cells, like peripheral blood mononuclear cells [21].
4.2.6. Aeruginosins
P. aeruginosa also produces two red phenazine pigments named aeruginosin A (AA) (5-methyl-7-amino-1-carboxymethylphenazinium betaine) (Figure 4f) and aeruginosin B (AB) (5-methyl-7-amino-1-carboxy-3-sulfo-methylphenazinium betaine) (Figure 4g) [9,132,133]. These compounds are produced during long aerobic incubation, presenting antifungal activity and potential uses in biological and biocontrol applications [121,132,133,134,135]. When Candida albicans was co-cultured with P. aeruginosa, the accumulation of aeruginosins inside the C. albicans cells promote cytotoxicity against the yeast [135]. The biological activity of aeruginosins may be related to the following: (i) their heterocyclic rings and functional groups can interact with proteins, enzymes, and other biomolecules, allowing them to bind to specific cellular targets, influencing their functions [121,133]; and (ii) interactions with redox systems, as aeruginosins have redox properties, allowing them to act as redox-cycling agents. This may affect the redox homeostasis of cells, influencing gene expression and cellular responses to stress [19,133,134]. AA presents antioxidant activity and is non-cytotoxic, which indicates that this molecule is suitable for application in the pharmaceutical industry [19].
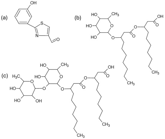
4.3. Aeruginaldehyde
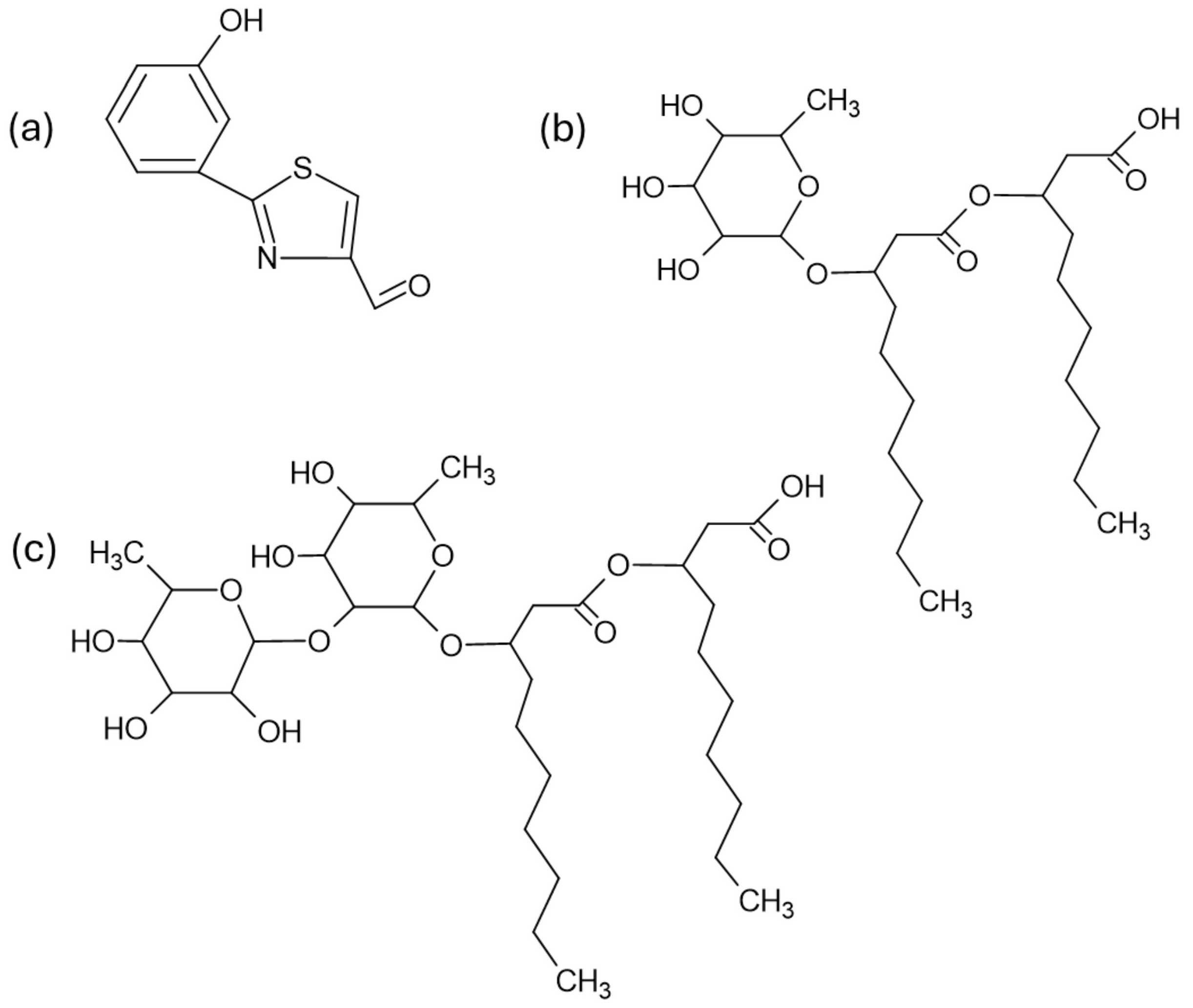
Previously known as N-mercapto-4-formylcarbostyril [136], this compound was later updated to 2-(2-hydroxyphenyl) thiazole-4-carbaldehyde [137] due to the instability of the previous compound. Aeruginaldehyde (Figure 5a), also reported as IQS (Integrated Quorum Sensing), is a chemical compound isolated from strains of Pseudomonas, such as P. aeruginosa [138,139].
Figure 5.
Aeruginaldehyde and rhamnolipids structures: (a) aeruginaldehyde; (b) the most abundant mono-rhamnolipid congener Rha-C10-C10; and (c) the most abundant di-rhamnolipid congener Rha-Rha-C10-C10.
Aeruginaldehyde is produced as a byproduct of siderophore biosynthetic pathways, such as enantio-pyochelin [140]. Additionally, studies indicate that aeruginaldehyde may play a role in regulating the oxidative stress response in the strains that produce it, working as a defense mechanism [137].
Aeruginaldehyde regulates cellular responses to environmental conditions, such as phosphate limitation, and its absence may impair the function of QS regulatory systems in the bacterium [138]. Aeruginaldehyde plays a crucial role in regulating the physiology and virulence of P. aeruginosa, influencing the expression of genes associated with virulence and host response. This compound can induce apoptosis in host cells by activating the ATM/ATR-dependent signaling pathway and reducing the expression of the POT1 protein, which is important for DNA protection. This induction of apoptosis is a bacterial strategy to facilitate infection and survival within the host [141].
The antimicrobial activity of aeruginaldehyde has been documented in several studies, highlighting its potential application as an antifungal and anti-oomycete agent [136,137,140,142,143]. The presence of the thiazole group in the molecule may be related to the antimicrobial properties [140]. Compounds containing sulfur, such as thiols and thiazoles, frequently exhibit bioactive properties, including antimicrobial and cytotoxic activity. Sulfur can influence the chemical reactivity of the molecule, allowing interactions with cellular biomolecules such as proteins and nucleic acids, which can lead to oxidative stress and cell death. However, further studies are needed to fully understand how the presence of sulfur contributes to the cytotoxicity of aeruginaldehyde, and which specific mechanisms are involved [138].
Several studies have reported the cytotoxic activity of aeruginaldehyde [136,137,138,144], suggesting anticancer activity [138,145,146]. Research on aeruginaldehyde anticancer properties is still ongoing, and is supported by evidence that compounds, such as Pseudomonas PYO, have anticancer activity through inducing oxidative stress and cell death in cancer cells [137,138]. However, further research is necessary to better understand the mechanisms of action and the specific cytotoxic effects of aeruginaldehyde on different cell types [138,140].
4.4. Rhamnolipids
Rhamnolipids (RLs) are glycolipid biosurfactants with a polar glycone and nonpolar aglycone moieties linked by an O-glycosidic bond. The glycone region is formed by one or two L-rhamnose sugars linked together by an α-1,2-glycosidic bond [mono-rhamnolipid (Figure 5b) and di-rhamnolipid (Figure 5c)] [10]. The aglycone moiety contains one or two β-hydroxylated fatty acid chains linked together by an ester bond. The fatty acid chains may vary in length, between eight and twenty-four carbons, and the fatty acid may present unsaturation. Currently, more than 60 congeners of RLs have been reported [10,147,148,149].
RLs are sustainably produced inputs, globally accepted for pharmaceutical, medical, and food industries. These molecules present quite important industrial and commercial features, from low toxicity and biodegradability to pH- and temperature-variation stabilities [150,151,152,153]. The growing demand for therapeutic solutions based on natural assets has increased the RL market value, which is projected to reach USD 760.6 million by 2032 [https://www.gminsights.com/industry-analysis/industrial-rhamnolipid-market, accessed on 1 November 2024].
4.4.1. Rhamnolipids: Antimicrobial Activity
The number of resistant pathogens to the available antimicrobials plainly illustrates the need for new strategies to combat those pathogens [154]. In this scenario, RLs (Table 2) stand out as a safe and sustainable alternative with the ability to cause changes in the properties of the cell surface and the microbial cytoplasmatic membrane [154,155].
Table 2.
Reports on antimicrobial activity of rhamnolipid congeners against microorganisms of medical importance.
Table 2.
Reports on antimicrobial activity of rhamnolipid congeners against microorganisms of medical importance.
| Congeners # | Microorganism | Strains | Concentration | Results | Ref. |
|---|---|---|---|---|---|
| Mixture of congeners | Gram-negative bacteria | Acinetobacter baumannii | 250–1000 μg/mL | Decreased cell viability. Anti-biofilm action through inhibition of acyl-homoserine lactone. | [156] |
| Mixture of congeners | Gram-positive bacteria | Enterococcus faecium Staphylococcus aureus | 10–1000 μg/mL | Rhamnolipids exhibited inhibitory effects against all bacteria, being more effective than antibiotics (positive control), except for S. aureus and Enterobacter sp. | [157] |
| Gram-negative bacteria | Klebsiella pneumoniae Acinetobacter baumannii Pseudomonas aeruginosa Enterobacter sp. | ||||
| Rha-C10-C10 (54.4%), Rha-Rha-C10-C10 (24.2%), Rha-C10-C8 (7.2%) and other congeners | Gram-positive bacteria | Staphylococcus aureus Listeria monocytogenes Bacillus cereus | 4.9–2500 μg/mL | Gram-negative bacteria were resistant to rhamnolipids, while Gram-positive were sensitive, especially in acidic pH conditions. | [154] |
| Gram-negative bacteria | Escherichia coli Salmonella enterica | ||||
| Rha-C12:1-C10 and Rha-C10-C12:1 (29.8%), Rha-C12-C10 and Rha-C10-C12 (29.8%), Rha-C10-C10, Rha-C8-C12, and Rha-C12-C8 (19.3%), Rha-C14:1-C10, Rha-C12:1-C12, and Rha-C12-C12:1 (5.6%), and other congeners | Gram-positive bacteria | Staphylococcus aureus 6538 Staphylococcus aureus 6538p and clinical isolates: MRSA, MSSA, β-LPSA, QRSA, VRSA, and MLSB | 12.5–50 µg/mL | Inhibition of all strains tested. Anti-biofilm activity with ability to penetrate mature biofilm. | [158] |
| Rha-C10-C10 (54.4%), Rha-Rha-C10-C10 (24.2%), and other congeners | Gram-positive bacteria | Listeria monocytogenes | 4.9–2500 mg/L | Antimicrobial activity was more effective at acidic pH levels. | [155] |
| Mixture of congeners | Gram-positive bacteria | Cutibacterium acnes | 31.3 µg/mL | Bactericidal. | [159] |
| Four rhamnolipid mixtures (rh3774, rh3775, rh3776, and rh3777): Rha-Rha-FA-FA, Rha-FA-FA, Rha-FA, and Rha-Rha-FA | Yeast | Trichosporon cutaneum | 1–1000 mg/L | The four mixtures caused inhibition and reduction of biofilm. | [160] |
| Rha-C12:1 (44.2%), Rha-C18:2 (20%), Rha-C9 (14.5%), Rha-C10 (14.5%), Rha-C14 (12%), Rha-C16 (11%), Rha-C8-C8 (10.1%), Rha-C18:1 (8.2%), Rha-C19 (8.1%), Rha-C8 (8%), Rha-Rha-C10 (7.2%), Rha-C18 (6.1%) Rha-C10-C10 (6.1%), Rha-C10-C12:2 (6.1%), Rha-Rha-C16 (5.5%), and other congeners | Yeast | Candida tropicalis | 1.95–1000 μg/mL | Biofilm disruptive activity. | [161] |
| Mixture of congeners: Rha-C8:2, Rha-C10:2, Rha-C12:2, Rha-C8-C10 or Rha-C10-C8, Rha-C10-C10, Rha-C10-C12:1 or Rha-C12-C10:1 or Rha-C10:1-C12 or Rha-C12:1-C10, Rha-Rha-C10:1-C10:1 or Rha-Rha-C10-C10:2 or Rha-Rha-C10:2-C10 and Rha-Rha-C10-C10 | Yeast | Candida albicans | 25–50.000 µg/mL | Low antifungal activity. | [162] |
| Rha-C8-C10 (44.7%), Rha-C12:2 (35.8%), Rha-C12-C14 (15.4%), Rha-C10:2 (14.4%), Rha-Rha-C8-C10 (12%), Rha-C10:1 (11.4%), Rha-Rha-C12-C12:2 (10.9%), Rha-Rha-C10-C10 (9.4%), Rha-Rha-C10 (7.4%), Rha-C8:2 (6.9%), Rha-C10-C12:2 (6.4%), Rha-C12-C14:1 (5.5%), Rha-C9:2 (5.1%), and other congeners | Filamentous fungus | Trichophyton rubrum Trichophyton mentagrophytes | 0.003–2 mg/mL | Disruptive effect on the biofilms of both fungi and cell death induction. | [163] |
| Mixture of congeners: Rha-C8:2, Rha-C10:2, Rha-C12:2, Rha-C8-C10 or Rha-C10-C8, Rha-C10-C10, Rha-C10-C12:1 or Rha-C12-C10:1 or Rha-C10:1-C12 or Rha-C12:1-C10, Rha-Rha-C10:1-C10:1 or Rha-Rha-C10-C10:2 or Rha-Rha-C10:2-C10 and Rha-Rha-C10-C10 | Enveloped virus | HSV-1, MHV-3, and RSV | 6.25–500 µg/mL | The Rhamnolipids mixture was able to inactivate all enveloped viruses, but not the non-enveloped PV-1 virus. | [162] |
| Non-enveloped virus | PV-1 | ||||
| Rha-C12:1-C10 (19%), Rha-C12-C10 (14%), Rha-C14:1-C10 (13%), Rha-C14-C10 (12%), Rha-C10-C10 (10%), Rha-C12:1-C12:1 (8%), Rha-C8-C10 (5%), Rha-C12:1-C8 (5%), Rha-C12:1-C12 (5%), Rha-C16:1-C10 (5%), and other congeners | Enveloped virus | HSV-1, HSV-2, HCoV-229E, HCoV-OC43, and SARS-CoV-2 | 0.7–50 µg/mL | Strong activity against enveloped viruses and weak activity against the non-enveloped virus PV-1. | [164] |
| Non-enveloped virus | PV-1 |
# Congeners with concentration lower than 5% were not mentioned. Rha: rhamnose; FA: fatty acid.
Microorganisms interact with the environment and with other microorganisms through their surfaces; RLs alter cell surface hydrophobicity, affecting the initial attachment on several surfaces, which inhibits biofilm development in both bacteria and fungi [164,165]. The antimicrobial activity of RLs is related to decrease in cell surface hydrophobicity, followed by damage on cytoplasmatic cell membranes [154,155]. Although the exact mechanism of action of RLs is unknown, their amphiphilic nature permits interaction with phospholipids, promoting disturbance on the cytoplasmatic membrane, followed by the leak of nucleotides and other metabolites, loss of cellular components, and cell lysis [154,155]. The changes in cytoplasmatic membranes caused by RLs influence the microorganism surface interaction, nutrient absorption, extracellular signaling, and cause an increase in the susceptibility of biofilm-forming microorganisms to antimicrobial action [154,155,163].
In addition, the increase in cytoplasmatic membrane permeability promoted by RLs is particularly important to multidrug-resistant bacteria, since those usually present less permeability to antibiotics. Morphological analyses performed after RL exposure indicate increased cellular roughness, deformations, and cell lysis on bacterial cells [163].
Gram-negative bacteria are more resistant to anionic surfactants, which might be related to the presence of an outer membrane containing LPS on those bacteria. The deprotonation of the RL carboxylic groups, in alkaline to neutral pH conditions, can lead to electrostatic repulsion with negatively charged groups present on the cell surface.
Alternatively, NaCl might be used to neutralize the negative charges of the RLs by Na+ ions [155,163]. In contrast, in Gram-positive strains, which are well-reported as more susceptible to RLs than Gram-negative strains, the RL antimicrobial activity is favored in acidic conditions, with the carboxylic group protonated [155,159].
RLs are effective agents against enveloped species of viruses. Through the disruption of the viral envelope, RLs prevent virus attachment to the host cell. However, in the further stages of virus fusion, i.e., penetration and counteract infection, RLs do not present satisfactory activity [164]. Given this information, RLs have the potential to be used as a surface disinfectant agent and in the development of topical formulations [164].
4.4.2. Rhamnolipids: Anticancer Activity
The anticancer effects of RLs have been recently reported (Table 3), particularly on the selective cytotoxicity of these molecules. RLs have surface-active properties with a disruptive effect on cancer cell membranes, characterized by a change in the rearrangement of carbon chains and induction of necrotic pathways of cell death [166]. The cytotoxic effects related to RL treatment include surface-tension reduction, the inhibition of acidic-vesicular organelle production (an important process in autophagy), and the overexpression of the p53 gene [150,167,168,169]. The functional groups on the surface of cancer cell membranes are more negatively charged than those found on the surface of normal cells. Thus, less anionic compounds may present greater interaction [166]. RLs (mono- and di-RLs) are anionic molecules, since they present one carboxylate group [170]; on the other hand, mono-RL congeners are less polar due to the presence of a single rhamnose ring. Therefore, they might interact strongly with the hydrophobic cell surface.
Table 3.
Reports on anticancer activity of rhamnolipid congeners.
Table 3.
Reports on anticancer activity of rhamnolipid congeners.
| Congeners # | Cell Lines | Concentration | Results | Ref. |
|---|---|---|---|---|
| Rha-C10-C10 (74.6%), Rha-C10-C12 (7.6), Rha-C10-C12:1 (5.9%), Rha-C10-C8 (5.6%), and other congeners | HCT-116 and Caco2 Healthy cells: CCD-841-CoN | 10–100 μg/mL | Reduction in viability of both cell lines without significant detrimental effects on the healthy cell. | [171] |
| Di-RLs fraction: Rha-Rha-C10-C10 (major congener) and mono-RL fraction: Rha-C10-C10 (major congener) separately tested | MCF-7 | 0–500 μg/mL | Mono-RLs were more effective than di-RLs in inhibiting cancer cells. | [167] |
| Mixture of congeners | MCF-7, HT-29, and E-143 | 10–250 μg/mL | Significant cytotoxic activity in the three cell lines. | [150] |
| Di-RL mixture: Rha-Rha-C10-C10 (major congener) and mono-RL mixture: Rha-C10-C10 (major congener) separately tested | HepG2, Caco-2 HeLa, and MCF-7 Healthy cells: HK-2 and Hepatocytes | 0–160 mg/L | Cancer cells and healthy cells showed cytotoxicity in the presence of mono- or di-RLs. | [168] |
| RL-1 fraction: Rha-C10-C10 (major congener) RL-2 fraction: Rha-Rha-C10-C10 (major congener) | HL-60, BV-173, SKW-3, and JMSU-1 | 0–250 μM | RL-1 fraction inhibited 50% of cell viability in all cell lines at lower concentrations than the RL-2 fraction. | [172] |
| Mono-RL mixture: Rha-C10-C10 (84.4%), Rha-C10-C12:1/Rha-C12:1-C10 (6.6%), and other congeners Di-RL mixture: Rha-Rha-C10-C10 (58%), Rha-Rha-C10 (23.8%), Rha-Rha-C10-C12/Rha-Rha-C12-C10 (8.7%), and other congeners | SK-MEL-28 Healthy cells: HaCaT | 0–500 μg/mL | Cytotoxic effects were observed in both cell lines, but with more harmful effects in SK-MEL-28. | [166] |
| Mono-RL fraction and Di- RL fraction | MCF-7 and MDA-MB-231 Healthy cells: MCF-10A | 0–10 µg/mL | Both fractions decreased cell viability in the tested cell lines, but a milder effect on healthy MCF-10A cells was observed. Furthermore, the Mono-RLs fraction was more effective than the Di-RL fraction. | [169] |
| Di-RL mixture: Rha-Rha-C10-C10 (major congener) | MCF-7, K-562, HeLa, HOP-62, and HT-29 | 10–80 µg/mL | Inhibition of growth of all cell lines. | [173] |
| Mixture of congeners: Rha-C8:2, Rha-C10:2, Rha-C12:2, Rha-C8-C10 or Rha-C10-C8, Rha-C10-C10, Rha-C10-C12:1 or Rha-C12-C10:1 or Rha-C10:1-C12 or Rha-C12:1-C10, Rha-Rha-C10:1-C10:1 or Rha-Rha-C10-C10:2 or Rha-Rha-C10:2-C10 and Rha-Rha-C10-C10 | HEp-2 and MCF-7 Healthy cells: Vero and L-929 | 1–500 µg/mL | Reduction in tumor cell proliferation, with selective toxicity to MCF-7 cells. | [162] |
# Congeners with concentration lower than 5% were not mentioned. Rha: rhamnose.
These aspects partially explain the selective cytotoxicity, since data found in the literature suggest that the effect of different RL congeners varies according to the cancer cell line [162,167,168,169,171,172]. Further studies are needed to better understand these relationships, as the anticancer activity of RLs was tested in a limited number of cell lines (Table 3) [173].
Given the RL features, these compounds present great potential to be used as pharmaceutical or nutraceutical ingredients for cancer treatment [167,171]. RL biocompatibility also allows for the replacement of synthetic surfactants in the formulation of topical products, avoiding irritation and allergic reactions on patients’ skin [24,166,174].
4.4.3. Rhamnolipids: Wound Healing and Immunomodulatory Activity
The wound healing process involves inflammation, proliferation, and tissue remodeling. RLs reduce inflammation, which promotes the control of edema, tissue damage, and remodeling processes [175,176,177]. Through a mechanism which is still not fully elucidated, RL treatment increases the concentration of anti-inflammatory cytokines and reduces the concentration of pro-inflammatory cytokines [28,30]. Furthermore, RL treatment increases the phosphorylation of Smad3, which activates TGF-β signaling and promotes the migration of fibroblasts, which are transformed into myofibroblasts by the action of inflammatory cytokines and mechanical stimulation. Myofibroblasts play a role in the secretion and contraction of collagen, promoting wound closure. RLs can target and kill myofibroblasts, preventing tissue rigidity and the elevation of the skin surface, which reduces scarring events [24,178] (Table 4). RLs can be an alternative dermal topical treatment for Staphylococcus aureus-infected wounds, being a suitable substitute to synthetical drugs [175]. A treatment with an ointment containing 5 mg/mL of RLs reduced 42% of serum TNF-α in punch-wounded male Wister rats [176]. RLs improved the wound contraction rate and collagen synthesis, supported by higher DNA, total protein, and hexosamine contents at the wound regenerated tissue [176]. The authors also suggested that the RL activity against Staphylococcus aureus ATCC6588 might contribute to wound healing by defending wounds from infection [176]. The application of 5 mg/mL of RLs two times a day accelerated the healing process, improved granulation, and decreased inflammation [177].
Table 4.
Reports of rhamnolipids on wound healing and immunomodulatory activity.
Table 4.
Reports of rhamnolipids on wound healing and immunomodulatory activity.
| Congeners # | Biological Model | Concentration | Results | Ref. |
|---|---|---|---|---|
| Mono-RL mixture: Rha-C10-C10 (84.4%), Rha-C10-C12:1/Rha-C12:1-C10 (6.6%), and other congeners Di-RL mixture: Rha-Rha-C10-C10 (58%), Rha-Rha-C10 (23.8%), Rha-Rha-C10-C12/Rha-Rha-C12-C10 (8.7%), and other congeners | HaCaT cell line | 20 μg/mL | Mono-RL showed no effect. Di-RL attenuated IL-8 protein levels and induced IL-1RA production. | [179] |
| Mixture of congeners | Adult Sprague–Dawley rats | Gavage feeding (100 mg/kg of RLs) | Reduction in the levels of pro-inflammatory cytokines: IL-1β, IL-6, and TNF-α. | [30] |
| Mixture of congeners | Broilers (Ross 308) treated with lipopolysaccharide | Feeding with basal diet with 1.000 mg/kg of RLs | Increased levels of anti-inflammatory cytokines IL-4 and IL-10 and reduced levels of pro-inflammatory cytokines: IL-6, IL-1β, and TNF-α. | [28] |
| Mixture of congeners | Linnan Yellow Broilers | Supplementation with 1.000 mg/kg of RLs | Increased IL-1β and IL-6 levels and decreased TNF-α levels. | [29] |
| Rha-C10-C10 (73.3%), Rha-Rha-C10-C10 (24.6%), and other congeners | L929 cell line BALB/c mice with excisional wounds | 5–50 μg/mL (in vitro) 0–10 mg/mL (in vivo) | Increased migration of L929 cells and levels of p-Smad3, α-SMA, and TGF-β1. | [178] |
| Mixture 1: Rha-C12:1 (38.5%), Rha-C10-C10 (23.9%), Rha-C8:2 (15.2%), Rha-Rha-C12:1 (6.2%), and other congeners Mixture 2: Rha-C10 (24%), Rha-C12:1 (24%), Rha-C10-C10 (15.3%), Rha-Rha-C10 (9.1%), Rha-C10:2 (8.1%), Rha-Rha-C12:1 (5%), and other congeners | Wistar rats with excisional wounds infected by Staphylococcus aureus (MTCC 96) | 0.5 mg/mL of mono-RLs or di-RL | Both RL mixtures accelerated healing similarly, showing improved accumulation of dermal cells at the wound site. | [175] |
| Mixture of congeners | Wistar rats with excisional wounds | 5 mg/mL | RLs accelerated the healing process. Increased granulation and decreased inflammation were also observed. | [177] |
| Mixture of congeners | Wistar rats with excisional wounds | 5 mg/mL | RL application increased wound contraction rate, improved synthesis of collagen, and reduced TNF-α. | [176] |
# Congeners with concentration lower than 5% were not mentioned. Rha: rhamnose.
Di-RLs, at 20 μg/mL, reduced the pro-inflammatory interleukin IL-8 production in LPS-stimulated HaCaT cells (spontaneously transformed human keratinocyte), while the IL-1RA production was increased [179]. IL-8 recruits and activates neutrophils to sites of infection via the IL-1 and TNF-α signaling pathways [180]. IL-1RA is an interleukin-1 receptor antagonist, which is a naturally occurring anti-inflammatory cytokine that competes at the binding site of IL-1β [51].
The effects of RLs on Sprague–Dawley rats’ gut microbiota, immunological response, and lipid metabolism were reported [30]. Serum levels of interleukin-1 beta (IL-1β), interleukin-6 (IL-6), and tumor necrosis factor alpha (TNF-α) were considerably lower in RL gavage-fed animals, at a dose of 100 mg/kg for seven weeks, than in the control group, which was fed with saline [30]. IL-1β and TNF-α are pro-inflammatory cytokines produced by activated immune cells [50,51,52]; and IL-6 is a pleiotropic cytokine produced by a variety of cells, including immune cells, fibroblasts, and endothelial cells, which might present both pro-inflammatory and anti-inflammatory activities, depending on the setting [181]. The authors argue that RLs might inhibit inflammation by reducing concentrations of pro-inflammatory cytokines; however, the mechanism remains to be clarified [30]. In addition, serial reports on RL effects in chicken broilers had shown that dietary RLs improved health and immunity and promoted enhanced growth performance [27,29,30,182]. RLs alleviate LPS-induced inflammatory responses and intestinal injury in broilers [28]. A total of 1000 mg/kg in the diet enhanced the serum content of interleukin-4 (IL-4) and interleukin-10 (IL-10). IL-4 is mainly produced by T-helper type 2 (Th2) cells, mast cells, and basophils—this interleukin promotes the differentiation of Th2 cells; it is involved in allergic reactions and the stimulation of IgE production. Further, it inhibits the production of pro-inflammatory cytokines and promotes the growth and activation of individual immune cells [183]. IL-10 is an anti-inflammatory cytokine that down-regulates the production of pro-inflammatory cytokines and inhibits the activation of immune cells [28,53]. A diet supplemented with RLs also reduced serum IL-6 and TNF-α levels in LPS-challenged broilers [28]. In the same line, dietary RLs reduced serum IL-1β, IL-6, and TNF-α [27] levels, enhanced IgA, IgY, and IgM levels, and reduced IL-4, IL-10, and TNF-α levels in broiler chickens [184]. Dietary RLs enhanced serum IgA, IgY, and IgM levels in broilers [29] and upregulated the intestinal mRNA levels of MyD88 and NF-κB [182]. The myeloid differentiation primary response 88 (MyD88) is an adapter protein with a main role in the innate immune system through toll-like receptors (TLRs) and interleukin-1 receptors (IL-1Rs). This protein recognizes pathogen-associated molecular patterns (PAMPs) or damage-associated molecular patterns (DAMPs) [184]. NF-κB is a transcription factor with an essential function in regulating immune responses, inflammation, and cell survival [184]. The authors claimed that the up-regulation of intestinal mRNA, MyD88, and NF-κB may act as an immunopotentiator to improve immune function through the NF-κB signaling pathway [182].
4.4.4. Rhamnolipids: Active Molecules Delivery
In recent years, advances in nanotechnology have guided the development of therapeutic nanocompounds that provide a greater selectivity of encapsulated activities, release control, and reduction of undesirable effects [185]. RLs have been increasingly explored in this area, as they have hydroxyl groups in their structure that guarantee reducing properties, in addition to acting as a coating agent that preserves the stability of nanoparticles dispersed in solutions [186]. The use of RLs also increases the repulsion between particles, preventing aggregation and ensuring greater uniformity and a smaller nanoparticle size [186]. Recent strategies include, for example, the formation of nanovesicle hybrids with RLs liposomes; stable colloidal supramolecular structures; and lipids stabilized with RLs in hybrid gel systems [187,188,189].
5. Conclusions and Perspectives
Here, we reviewed physiologic and therapeutic applications of QS molecules and virulence factors from P. aeruginosa. This arsenal of bacterial molecules (N-acyl-HSL, alkyl-quinolones, exotoxins, phenazines, aeruginaldehyde, and rhamnolipids) makes P. aeruginosa a highly versatile bacterium with an enormous potential for the development of biopharmaceuticals (Figure 6).
Figure 6.
Pseudomonas aeruginosa: virulence arsenal and potential drugs.
QS signaling molecules regulate bacterial communication, virulence factor production, and play a role in bacterial human cell inter-kingdom signaling. Therefore, these molecules show quite important applicable activities as an adjuvant antibiotic therapy against P. aeruginosa infection—through interfering in the gene expression impacting the pathogenic phenotype, as well as anti-inflammatory and immunomodulation activities. Thus, the ability to modulate bacterial behavior and host responses at the same time makes these molecules strong drug candidates in the treatment of chronic infectious diseases. Ongoing research for developing therapeutic strategies and clinical evaluation is critical to translate the current findings into effective therapeutic alternatives.
Exotoxin A, the main virulence factor of P. aeruginosa, has significant therapeutic potential when fused with an antibody. The efficacy of PE-derived immunotoxins has already been demonstrated in the treatment of hematological cancers, with Moxetumomab pasudotox having been approved by the FDA for clinical use and widely studied for the treatment of solid tumors. PE-derived immunotoxins are expected to exhibit high efficacy, reduced immunogenicity, and lower toxicity. Enhanced penetration into solid tumors is also desired to expand their applicability beyond hematologic cancers, enabling the treatment of solid tumors as well. Additionally, these immunotoxins may find clinical applications as potential immunotherapies for infections. Exotoxin A is a promising drug candidate with applications ranging from cancer therapy, vaccine development, and immunomodulation to antimicrobial treatments. Understanding the mechanism of action and evaluation of safety will be crucial to enabling new versions into clinical applications.
Phenazines are promising metabolites for the pharmaceutical industry as a target molecule for the development of therapies against P. aeruginosa infection, since phenazines contribute to the virulence and persistence of infections, enhance survival in low-oxygen and hard-to-reach conditions such as biofilms, and work as signaling molecules, regulating bacterial virulence. On the other hand, phenazines present pro-oxidant effects, promoting antibiotic activity against bacteria, fungi, and protozoa. Further, they present an inhibitory effect on the growth of several cancer cell lines and the inhibition of colony formation and the migratory capacity of cancer cells, which impacts cancer progression and metastasis. In addition, these molecules show an immune evasion mechanism through the reduction of inflammation and the production of inflammatory mediators. Phenazines present a quite unique combination of structural characteristics, properties, and biological activities, which make them attractive for the research and development of alternatives drugs. Further understanding of the toxicity and safety outline is imperative. Continuous exploration must be focused on the mechanism of action, pharmacokinetics, and possible side effects to explain the current discoveries into sustainable clinical treatments.
Aeruginaldehyde plays a crucial role in regulating the physiology and virulence of P. aeruginosa, influencing the expression of genes associated with virulence and host response. Aeruginaldehyde induces apoptosis in host cells and presents antimicrobial activity, mostly against fungi and anti-oomycetes. Aeruginaldehyde is a potential drug candidate in the treatment of infections and cancer diseases. Ongoing research focused on the understanding of the mechanism of action, safety, and efficacy will be critical to turn this molecule into an alternative clinical therapy.
Rhamnolipids show highly therapeutic potential. The use of a mixture of congeners eliminates the need for expensive purification processes, in addition to showing promising results in several studies. However, targeted research is needed to understand the biological activity of different congeners, especially in more complex in vivo systems. RLs interact and disrupt biological membranes and have a wide range of application possibilities. The evaluation of the relationship between the induction of cell death by RLs and the process of intercellular communication, especially in inflammatory and healing processes, must be conducted. RLs are promising and resourceful drug candidates with applications ranging from antimicrobial activity, wound healing, and immunomodulation to drug delivery. Continued research and development are essential for establishing safety profiles and clinical efficacy; regulatory approval for clinical applications is also critical to realize their full potential as a biopharmaceutical.
In conclusion, P. aeruginosa is a metabolically versatile bacteria with the ability to produce multiple secondary metabolites (Figure 6). This opportunistic pathogen is a suitable bacterial platform for biopharmaceutical production. Here, we overviewed potential therapeutic applications of these metabolites that, in fact, are quite promising (Figure 6). However, the production and purification of P. aeruginosa molecules, which were not intended to be reviewed here, present their own challenges. Further attention must be given not only to the evaluation of these molecules in different models of infection, inflammation, and cancer cells, but also to the development of the production and purification processes of these promising molecules.
Author Contributions
Conceptualization, design, bibliography analysis, draft preparation, writing, and reviewing, D.C.-N., R.R.d.N., J.R., N.C.P., R.C., W.A.V. and J.A.V. All authors have read and agreed to the published version of the manuscript.
Funding
Fundação Araucária CP 19/2022 and CP 09/2021.
Conflicts of Interest
The authors declare no conflicts of interest.
References
- Resko, Z.J.; Suhi, R.F.; Thota, A.V.; Kroken, A.R. Evidence for Intracellular Pseudomonas aeruginosa. J. Bacteriol. 2024, 206, e0010924. [Google Scholar] [CrossRef] [PubMed]
- Stover, C.K.; Pham, X.Q.; Erwin, A.L.; Mizoguchi, S.D.; Warrener, P.; Hickey, M.J.; Brinkman, F.S.; Hufnagle, W.O.; Kowalik, D.J.; Lagrou, M.; et al. Complete Genome Sequence of Pseudomonas aeruginosa PAO1, an Opportunistic Pathogen. Nature 2000, 406, 959–964. [Google Scholar] [CrossRef] [PubMed]
- Moradali, M.F.; Ghods, S.; Rehm, B.H.A. Pseudomonas aeruginosa Lifestyle: A Paradigm for Adaptation, Survival, and Persistence. Front. Cell Infect. Microbiol. 2017, 7, 39. [Google Scholar] [CrossRef] [PubMed]
- Ikuta, K.S.; Swetschinski, L.R.; Aguilar, G.R.; Sharara, F.; Mestrovic, T.; Gray, A.P.; Weaver, N.D.; Wool, E.E.; Han, C.; Hayoon, A.G.; et al. Global Mortality Associated with 33 Bacterial Pathogens in 2019: A Systematic Analysis for the Global Burden of Disease Study 2019. Lancet 2022, 400, 2221–2248. [Google Scholar] [CrossRef]
- Qin, S.; Xiao, W.; Zhou, C.; Pu, Q.; Deng, X.; Lan, L.; Liang, H.; Song, X.; Wu, M. Pseudomonas aeruginosa: Pathogenesis, Virulence Factors, Antibiotic Resistance, Interaction with Host, Technology Advances and Emerging Therapeutics. Signal Transduct. Target. Ther. 2022, 7, 199. [Google Scholar] [CrossRef]
- Mavrodi, D.V.; Blankenfeldt, W.; Thomashow, L.S. Phenazine Compounds in Fluorescent Pseudomonas spp. Biosynthesis and Regulation. Annu. Rev. Phytopathol. 2006, 44, 417–445. [Google Scholar] [CrossRef]
- Mavrodi, D.V.; Bonsall, R.F.; Delaney, S.M.; Soule, M.J.; Phillips, G.; Thomashow, L.S. Functional Analysis of Genes for Biosynthesis of Pyocyanin and Phenazine-1-Carboxamide from Pseudomonas aeruginosa PAO1. J. Bacteriol. 2001, 183, 6454–6465. [Google Scholar] [CrossRef]
- Price-Whelan, A.; Dietrich, L.E.P.; Newman, D.K. Rethinking “secondary” Metabolism: Physiological Roles for Phenazine Antibiotics. Nat. Chem. Biol. 2006, 2, 71–78. [Google Scholar] [CrossRef]
- Vilaplana, L.; Marco, M.-P. Phenazines as Potential Biomarkers of Pseudomonas aeruginosa Infections: Synthesis Regulation, Pathogenesis and Analytical Methods for Their Detection. Anal. Bioanal. Chem. 2020, 412, 5897–5912. [Google Scholar] [CrossRef]
- Abdel-Mawgoud, A.M.; Lépine, F.; Déziel, E. Rhamnolipids: Diversity of Structures, Microbial Origins and Roles. Appl. Microbiol. Biotechnol. 2010, 86, 1323–1336. [Google Scholar] [CrossRef]
- Guzmán, E.; Ortega, F.; Rubio, R.G. Exploring the World of Rhamnolipids: A Critical Review of Their Production, Interfacial Properties, and Potential Application. Curr. Opin. Colloid Interface Sci. 2024, 69, 101780. [Google Scholar] [CrossRef]
- Conceição, K.S.; de Alencar Almeida, M.; Sawoniuk, I.C.; Marques, G.D.; de Sousa Faria-Tischer, P.C.; Tischer, C.A.; Vignoli, J.A.; Camilios-Neto, D. Rhamnolipid Production by Pseudomonas aeruginosa Grown on Membranes of Bacterial Cellulose Supplemented with Corn Bran Water Extract. Environ. Sci. Pollut. Res. 2020, 27, 30222–30231. [Google Scholar] [CrossRef] [PubMed]
- Deziel, E.; Lepine, F.; Milot, S.; Villemur, R. RhlA Is Required for the Production of a Novel Biosurfactant Promoting Swarming Motility in Pseudomonas aeruginosa: 3-(3-Hydroxyalkanoyloxy)Alkanoic Acids (HAAs), the Precursors of Rhamnolipids. Microbiology 2003, 149, 2005–2013. [Google Scholar] [CrossRef] [PubMed]
- Bru, J.-L.; Kasallis, S.J.; Zhuo, Q.; Høyland-Kroghsbo, N.M.; Siryaporn, A. Swarming of P. Aeruginosa: Through the Lens of Biophysics. Biophys. Rev. 2023, 4, 031305. [Google Scholar] [CrossRef]
- Davey, M.E.; Caiazza, N.C.; O’Toole, G.A. Rhamnolipid Surfactant Production Affects Biofilm Architecture in Pseudomonas aeruginosa PAO1. J. Bacteriol. 2003, 185, 1027–1036. [Google Scholar] [CrossRef]
- David, A.; Tahrioui, A.; Tareau, A.-S.; Forge, A.; Gonzalez, M.; Bouffartigues, E.; Lesouhaitier, O.; Chevalier, S. Pseudomonas aeruginosa Biofilm Lifecycle: Involvement of Mechanical Constraints and Timeline of Matrix Production. Antibiotics 2024, 13, 688. [Google Scholar] [CrossRef]
- Noordman, W.H.; Janssen, D.B. Rhamnolipid Stimulates Uptake of Hydrophobic Compounds by Pseudomonas aeruginosa. Appl. Environ. Microbiol. 2002, 68, 4502–4508. [Google Scholar] [CrossRef]
- Zeng, Z.; Liu, Y.; Zhong, H.; Xiao, R.; Zeng, G.; Liu, Z.; Cheng, M.; Lai, C.; Zhang, C.; Liu, G.; et al. Mechanisms for Rhamnolipids-Mediated Biodegradation of Hydrophobic Organic Compounds. Sci. Total Environ. 2018, 634, 1–11. [Google Scholar] [CrossRef]
- Abu, E.A.; Su, S.; Sallans, L.; Boissy, R.E.; Greatens, A.; Heineman, W.R.; Hassett, D.J. Cyclic Voltammetric, Fluorescence and Biological Analysis of Purified Aeruginosin A, a Secreted Red Pigment of Pseudomonas aeruginosa PAO1. Microbiology 2013, 159, 1736–1747. [Google Scholar] [CrossRef]
- Hansford, G.S.; Holliman, F.G.; Herbert, R.B. Pigments of Pseudomonas Species. Part IV. in Vitro and in Vivo Conversion of 5-Methylphenazinium-1-Carboxylate into Aeruginosin A. J. Chem. Soc. Perkin 1 1972, 1, 103–105. [Google Scholar] [CrossRef]
- Kennedy, R.K.; Naik, P.R.; Veena, V.; Lakshmi, B.S.; Lakshmi, P.; Krishna, R.; Sakthivel, N. 5-Methyl Phenazine-1-Carboxylic Acid: A Novel Bioactive Metabolite by a Rhizosphere Soil Bacterium That Exhibits Potent Antimicrobial and Anticancer Activities. Chem. Biol. Interact. 2015, 231, 71–82. [Google Scholar] [CrossRef] [PubMed]
- Vatsa, P.; Sanchez, L.; Clement, C.; Baillieul, F.; Dorey, S. Rhamnolipid Biosurfactants as New Players in Animal and Plant Defense against Microbes. Int. J. Mol. Sci. 2010, 11, 5096–5109. [Google Scholar] [CrossRef] [PubMed]
- Varnier, A.-L.; Sanchez, L.; Vatsa, P.; Boudesocque, L.; Garcia-Brugger, A.; Rabenoelina, F.; Sorokin, A.; Renault, J.-H.; Kauffmann, S.; Pugin, A.; et al. Bacterial Rhamnolipids Are Novel MAMPs Conferring Resistance to Botrytis Cinerea in Grapevine. Plant Cell Environ. 2009, 32, 178–193. [Google Scholar] [CrossRef] [PubMed]
- Shen, C.; Jiang, L.; Shao, H.; You, C.; Zhang, G.; Ding, S.; Bian, T.; Han, C.; Meng, Q. Targeted Killing of Myofibroblasts by Biosurfactant Di-Rhamnolipid Suggests a Therapy against Scar Formation. Sci. Rep. 2016, 6, 37553. [Google Scholar] [CrossRef]
- Gupta, S.; Raghuwanshi, N.; Varshney, R.; Banat, I.M.; Srivastava, A.K.; Pruthi, P.A.; Pruthi, V. Accelerated in Vivo Wound Healing Evaluation of Microbial Glycolipid Containing Ointment as a Transdermal Substitute. Biomed. Pharmacother. 2017, 94, 1186–1196. [Google Scholar] [CrossRef]
- Stipcevic, T.; Piljac, A.; Piljac, G. Enhanced Healing of Full-Thickness Burn Wounds Using Di-Rhamnolipid. Burns 2006, 32, 24–34. [Google Scholar] [CrossRef]
- Zhang, H.; Yu, X.; Li, Q.; Cao, G.; Feng, J.; Shen, Y.; Yang, C. Effects of Rhamnolipids on Growth Performance, Immune Function, and Cecal Microflora in Linnan Yellow Broilers Challenged with Lipopolysaccharides. Antibiotics 2021, 10, 905. [Google Scholar] [CrossRef]
- Zhang, R.; Shi, X.; Chen, Y.; Liu, J.; Wu, Y.; Xu, Y. Multi-Omics Revealed the Protective Effects of Rhamnolipids in Lipopolysaccharide Challenged Broilers. Front. Immunol. 2022, 13, 824664. [Google Scholar] [CrossRef]
- Zhang, B.; Chen, G.; Zhang, H.; Lan, J.; Yang, C. Effects of Rhamnolipids on Growth Performance and Intestinal Health Parameters in Linnan Yellow Broilers. Poult. Sci. 2021, 100, 810–819. [Google Scholar] [CrossRef]
- Zhang, B.; Qin, S.; Wu, Y.; Zhang, R.; Xu, Y.; Yang, C. Rhamnolipids Regulate Lipid Metabolism, Immune Response, and Gut Microbiota in Rats. Front. Nutr. 2022, 9, 886256. [Google Scholar] [CrossRef]
- Schuster, M.; Greenberg, E.P. A Network of Networks: Quorum-Sensing Gene Regulation in Pseudomonas aeruginosa. Int. J. Med. Microbiol. 2006, 296, 73–81. [Google Scholar] [CrossRef] [PubMed]
- Ng, W.-L.; Bassler, B.L. Bacterial Quorum-Sensing Network Architectures. Annu. Rev. Genet. 2009, 43, 197–222. [Google Scholar] [CrossRef] [PubMed]
- Diggle, S.P.; Cornelis, P.; Williams, P.; Camara, M. 4-Quinolone Signalling in Pseudomonas aeruginosa: Old Molecules, New Perspectives. Int. J. Med. Microbiol. 2006, 296, 83–91. [Google Scholar] [CrossRef] [PubMed]
- Schuster, M.; Lostroh, C.P.; Ogi, T.; Greenberg, E.P. Identification, Timing, and Signal Specificity of Pseudomonas aeruginosa Quorum-Controlled Genes: A Transcriptome Analysis. J. Bacteriol. 2003, 185, 2066–2079. [Google Scholar] [CrossRef]
- Hughes, D.T.; Sperandio, V. Inter-Kingdom Signalling: Communication between Bacteria and Their Hosts. Nat. Rev. Microbiol. 2008, 6, 111–120. [Google Scholar] [CrossRef]
- Shin, J.; Ahn, S.H.; Kim, S.H.; Oh, D.-J. N-3-Oxododecanoyl Homoserine Lactone Exacerbates Endothelial Cell Death by Inducing Receptor-Interacting Protein Kinase 1-Dependent Apoptosis. Am. J. Physiol. Cell Physiol. 2021, 321, C644–C653. [Google Scholar] [CrossRef]
- Weimann, A.; Dinan, A.M.; Ruis, C.; Bernut, A.; Pont, S.; Brown, K.; Ryan, J.; Santos, L.; Ellison, L.; Ukor, E.; et al. Evolution and Host-Specific Adaptation of Pseudomonas aeruginosa. Science 2024, 385, eadi0908. [Google Scholar] [CrossRef]
- Iglewski, B.H.; Liu, P.V.; Kabat, D. Mechanism of Action of Pseudomonas aeruginosa Exotoxin A: Adenosine Diphosphate-Ribosylation of Mammalian Elongation Factor 2 In Vitro and In Vivo. Infect. Immun. 1977, 15, 138–144. [Google Scholar] [CrossRef]
- Rampioni, G.; Pustelny, C.; Fletcher, M.P.; Wright, V.J.; Bruce, M.; Rumbaugh, K.P.; Heeb, S.; Camara, M.; Williams, P. Transcriptomic Analysis Reveals a Global Alkyl-Quinolone-Independent Regulatory Role for PqsE in Facilitating the Environmental Adaptation of Pseudomonas aeruginosa to Plant and Animal Hosts. Environ. Microbiol. 2010, 12, 1659–1673. [Google Scholar] [CrossRef]
- McGrath, S.; Wade, D.S.; Pesci, E.C. Dueling Quorum Sensing Systems in Pseudomonas aeruginosa Control the Production of the Pseudomonas Quinolone Signal (PQS). FEMS Microbiol. Lett. 2004, 230, 27–34. [Google Scholar] [CrossRef]
- Pustelny, C.; Albers, A.; Bueldt-Karentzopoulos, K.; Parschat, K.; Chhabra, S.R.; Camara, M.; Williams, P.; Fetzner, S. Dioxygenase-Mediated Quenching of Quinolone-Dependent Quorum Sensing in Pseudomonas aeruginosa. Chem. Biol. 2009, 16, 1259–1267. [Google Scholar] [CrossRef] [PubMed]
- Liu, Y.C.; Chan, K.G.; Chang, C.Y. Modulation of Host Biology by Pseudomonas aeruginosa Quorum Sensing Signal Molecules: Messengers or Traitors. Front. Microbiol. 2015, 6, 1226. [Google Scholar] [CrossRef] [PubMed]
- Rumbaugh, K.P.; Kaufmann, G.F. Exploitation of Host Signaling Pathways by Microbial Quorum Sensing Signals. Curr. Opin. Microbiol. 2012, 15, 162–168. [Google Scholar] [CrossRef] [PubMed]
- Hooi, D.S.W.; Bycroft, B.W.; Chhabra, S.R.; Williams, P.; Pritchard, D.I. Differential Immune Modulatory Activity of Pseudomonas aeruginosa Quorum-Sensing Signal Molecules. Infect. Immun. 2004, 72, 6463–6470. [Google Scholar] [CrossRef]
- Ritchie, A.J.; Whittall, C.; Lazenby, J.J.; Chhabra, S.R.; Pritchard, D.I.; Cooley, M.A. The Immunomodulatory Pseudomonas aeruginosa Signalling Molecule N-(3-oxododecanoyl)-L-homoserine Lactone Enters Mammalian Cells in an Unregulated Fashion. Immunol. Cell Biol. 2007, 85, 596–602. [Google Scholar] [CrossRef]
- Jahoor, A.; Patel, R.; Bryan, A.; Do, C.; Krier, J.; Watters, C.; Wahli, W.; Li, G.; Williams, S.C.; Rumbaugh, K.P. Peroxisome Proliferator-Activated Receptors Mediate Host Cell Proinflammatory Responses to Pseudomonas aeruginosa Autoinducer. J. Bacteriol. 2008, 190, 4408–4415. [Google Scholar] [CrossRef]
- Skindersoe, M.E.; Zeuthen, L.H.; Brix, S.; Fink, L.N.; Lazenby, J.; Whittall, C.; Williams, P.; Diggle, S.P.; Froekiaer, H.; Cooley, M.; et al. Pseudomonas aeruginosa Quorum-Sensing Signal Molecules Interfere with Dendritic Cell-Induced T-Cell Proliferation. FEMS Immunol. Med. Microbiol. 2009, 55, 335–345. [Google Scholar] [CrossRef]
- Rowley, A.; Brown, B.S.; Stofega, M.; Hoh, H.; Mathew, R.; Marin, V.; Ding, R.-X.; McClure, R.A.; Bittencourt, F.M.; Chen, J.; et al. Targeting IRAK3 for Degradation to Enhance IL-12 Pro-Inflammatory Cytokine Production. ACS Chem. Biol. 2022, 17, 1315–1320. [Google Scholar] [CrossRef]
- Magram, J.; Connaughton, S.E.; Warrier, R.R.; Carvajal, D.M.; Wu, C.; Ferrante, J.; Stewart, C.; Sarmiento, U.; Faherty, D.A.; Gately, M.K. IL-12-Deficient Mice Are Defective in IFNγ Production and Type 1 Cytokine Responses. Immunity 1996, 4, 471–481. [Google Scholar] [CrossRef]
- Yaseen, M.M.; Abuharfeil, N.M.; Darmani, H. The Role of IL-1β during Human Immunodeficiency Virus Type 1 Infection. Rev. Med. Virol. 2023, 33, e2400. [Google Scholar] [CrossRef]
- Kaneko, N.; Kurata, M.; Yamamoto, T.; Morikawa, S.; Masumoto, J. The Role of Interleukin-1 in General Pathology. Inflamm. Regen. 2019, 39, 12. [Google Scholar] [CrossRef] [PubMed]
- Jang, D.; Lee, A.-H.; Shin, H.-Y.; Song, H.-R.; Park, J.-H.; Kang, T.-B.; Lee, S.-R.; Yang, S.-H. The Role of Tumor Necrosis Factor Alpha (TNF-α) in Autoimmune Disease and Current TNF-α Inhibitors in Therapeutics. Int. J. Mol. Sci. 2021, 22, 2719. [Google Scholar] [CrossRef] [PubMed]
- Islam, H.; Chamberlain, T.C.; Mui, A.L.; Little, J.P. Elevated Interleukin-10 Levels in COVID-19: Potentiation of Pro-Inflammatory Responses or Impaired Anti-Inflammatory Action? Front. Immunol. 2021, 12, 677008. [Google Scholar] [CrossRef] [PubMed]
- Song, D.; Meng, J.; Cheng, J.; Fan, Z.; Chen, P.; Ruan, H.; Tu, Z.; Kang, N.; Li, N.; Xu, Y.; et al. Pseudomonas aeruginosa Quorum-Sensing Metabolite Induces Host Immune Cell Death through Cell Surface Lipid Domain Dissolution. Nat. Microbiol. 2018, 4, 97–111. [Google Scholar] [CrossRef]
- van Loo, G.; Bertrand, M.J.M. Death by TNF: A Road to Inflammation. Nat. Rev. Immunol. 2023, 23, 289–303. [Google Scholar] [CrossRef]
- Tateda, K.; Ishii, Y.; Horikawa, M.; Matsumoto, T.; Miyairi, S.; Pechere, J.C.; Standiford, T.J.; Ishiguro, M.; Yamaguchi, K. The Pseudomonas aeruginosa Autoinducer N-3-Oxododecanoyl Homoserine Lactone Accelerates Apoptosis in Macrophages and Neutrophils. Infect. Immun. 2003, 71, 5785–5793. [Google Scholar] [CrossRef]
- Saalim, M.; Villegas-Moreno, J.; Clark, B.R. Bacterial Alkyl-4-Quinolones: Discovery, Structural Diversity and Biological Properties. Molecules 2020, 25, 5689. [Google Scholar] [CrossRef]
- Barr, H.L.; Halliday, N.; Cámara, M.; Barrett, D.A.; Williams, P.; Forrester, D.L.; Simms, R.; Smyth, A.R.; Honeybourne, D.; Whitehouse, J.L.; et al. Pseudomonas aeruginosa Quorum Sensing Molecules Correlate with Clinical Status in Cystic Fibrosis. Eur. Respir. J. 2015, 46, 1046–1054. [Google Scholar] [CrossRef]
- Cao, T.; Sweedler, J.V.; Bohn, P.W.; Shrout, J.D. Spatiotemporal Distribution of Pseudomonas aeruginosa Alkyl Quinolones under Metabolic and Competitive Stress. mSphere 2020, 5, 1110–1128. [Google Scholar] [CrossRef]
- Michalet, S.; Allard, P.M.; Commun, C.; Ngoc, V.T.N.; Nouwade, K.; Gioia, B.; Dijoux-Franca, M.G.; Wolfender, J.L.; Doléans-Jordheim, A. Alkyl-Quinolones Derivatives as Potential Biomarkers for Pseudomonas aeruginosa Infection Chronicity in Cystic Fibrosis. Sci. Rep. 2021, 11, 20722. [Google Scholar] [CrossRef]
- Vrla, G.D.; Esposito, M.; Zhang, C.; Kang, Y.; Seyedsayamdost, M.R.; Gitai, Z. Cytotoxic Alkyl-Quinolones Mediate Surface-Induced Virulence in Pseudomonas aeruginosa. PLoS Pathog. 2020, 16, e1008867. [Google Scholar] [CrossRef] [PubMed]
- Li, J.; Sun, W.; Saalim, M.; Wei, G.; Zaleta-Pinet, D.A.; Clark, B.R. Isolation of 2-Alkyl-4-Quinolones with Unusual Side Chains from a Chinese Pseudomonas aeruginosa Isolate. J. Nat. Prod. 2020, 83, 2294–2298. [Google Scholar] [CrossRef] [PubMed]
- Supong, K.; Thawai, C.; Supothina, S.; Auncharoen, P.; Pittayakhajonwut, P. Antimicrobial and Anti-Oxidant Activities of Quinoline Alkaloids from Pseudomonas aeruginosa BCC76810. Phytochem. Lett. 2016, 17, 100–106. [Google Scholar] [CrossRef]
- Ramos, A.F.; Woods, D.F.; Shanahan, R.; Cano, R.; McGlacken, G.P.; Serra, C.; O’gara, F.; Reen, F.J. A Structure-Function Analysis of Interspecies Antagonism by the 2-Heptyl-4-Alkyl-Quinolone Signal Molecule from Pseudomonas aeruginosa. Microbiology 2020, 166, 169–179. [Google Scholar] [CrossRef]
- Wang, Y.; Hoffmann, J.P.; Chou, C.-W.; Höner zu Bentrup, K.; Fuselier, J.A.; Bitoun, J.P.; Wimley, W.C.; Morici, L.A. Burkholderia Thailandensis Outer Membrane Vesicles Exert Antimicrobial Activity against Drug-Resistant and Competitor Microbial Species. J. Microbiol. 2020, 58, 550–562. [Google Scholar] [CrossRef]
- Bultel-Poncé, V.; Berge, J.-P.; Debitus, C.; Nicolas, J.-L.; Le Guyot, M. Metabolites from the Sponge-Associated Bacterium Pseudomonas Species. Mar. Biotechnol. 1999, 1, 384. [Google Scholar] [CrossRef]
- Dubern, J.-F.; Diggle, S.P. Quorum Sensing by 2-Alkyl-4-Quinolones in Pseudomonas aeruginosa and Other Bacterial Species. Mol. Biosyst. 2008, 4, 882. [Google Scholar] [CrossRef]
- Moussa, M.; Ebrahim, W.; Kalscheuer, R.; Liu, Z.; Proksch, P. Co-Culture of the Bacterium Pseudomonas aeruginosa with the Fungus Fusarium Tricinctum Induces Bacterial Antifungal and Quorum Sensing Signaling Molecules. Phytochem. Lett. 2020, 36, 37–41. [Google Scholar] [CrossRef]
- Nazik, H.; Sass, G.; Ansari, S.R.; Ertekin, R.; Haas, H.; Déziel, E.; Stevens, D.A. Novel Intermicrobial Molecular Interaction: Pseudomonas aeruginosa Quinolone Signal (PQS) Modulates Aspergillus Fumigatus Response to Iron. Microbiology 2020, 166, 44–55. [Google Scholar] [CrossRef]
- Rella, A.; Yang, M.W.; Gruber, J.; Montagna, M.T.; Luberto, C.; Zhang, Y.-M.; Del Poeta, M. Pseudomonas aeruginosa Inhibits the Growth of Cryptococcus Species. Mycopathologia 2012, 173, 451–461. [Google Scholar] [CrossRef]
- Sass, G.; Nazik, H.; Penner, J.; Shah, H.; Ansari, S.R.; Clemons, K.V.; Groleau, M.-C.; Dietl, A.-M.; Visca, P.; Haas, H.; et al. Aspergillus-Pseudomonas Interaction, Relevant to Competition in Airways. Med. Mycol. 2019, 57, S228–S232. [Google Scholar] [CrossRef] [PubMed]
- Sass, G.; Kethineni, S.; Stevens, D.A. Anti-Fungal (Aspergillus Fumigatus) Activity of Pseudomonas aeruginosa in Cystic Fibrosis Synthetic Sputum. Pathogens 2024, 13, 875. [Google Scholar] [CrossRef] [PubMed]
- Tashiro, Y.; Yawata, Y.; Toyofuku, M.; Uchiyama, H.; Nomura, N. Interspecies Interaction between Pseudomonas aeruginosa and Other Microorganisms. Microbes Environ. 2013, 28, 13–24. [Google Scholar] [CrossRef]
- Häussler, S.; Becker, T. The Pseudomonas Quinolone Signal (PQS) Balances Life and Death in Pseudomonas aeruginosa Populations. PLoS Pathog. 2008, 4, e1000166. [Google Scholar] [CrossRef]
- Kim, K.; Kim, Y.U.; Koh, B.H.; Hwang, S.S.; Kim, S.H.; Lépine, F.; Cho, Y.H.; Lee, G.R. HHQ and PQS, Two Pseudomonas aeruginosa Quorum-Sensing Molecules, down-Regulate the Innate Immune Responses through the Nuclear Factor-ΚB Pathway. Immunology 2010, 129, 578–588. [Google Scholar] [CrossRef]
- Kim, K.; Kim, S.-H.; Lépine, F.; Cho, Y.-H.; Lee, G.R. Global Gene Expression Analysis on the Target Genes of PQS and HHQ in J774A.1 Monocyte/Macrophage Cells. Microb. Pathog. 2010, 49, 174–180. [Google Scholar] [CrossRef]
- Legendre, C.; Reen, F.J.; Mooij, M.J.; McGlacken, G.P.; Adams, C.; O’Gara, F. Pseudomonas aeruginosa Alkyl Quinolones Repress Hypoxia-Inducible Factor 1 (HIF-1) Signaling through HIF-1α Degradation. Infect. Immun. 2012, 80, 3985–3992. [Google Scholar] [CrossRef]
- Feltman, H.; Schulert, G.; Khan, S.; Jain, M.; Peterson, L.; Hauser, A.R. Prevalence of Type III Secretion Genes in Clinical and Environmental Isolates of Pseudomonas aeruginosa. Microbiology 2001, 147, 2659–2669. [Google Scholar] [CrossRef]
- Galle, M.; Jin, S.; Bogaert, P.; Haegman, M.; Vandenabeele, P.; Beyaert, R. The Pseudomonas aeruginosa Type III Secretion System Has an Exotoxin S/T/Y Independent Pathogenic Role during Acute Lung Infection. PLoS ONE 2012, 7, e41547. [Google Scholar] [CrossRef]
- Snell, K.; Holder, I.A.; Leppla, S.A.; Saelingerl, C.B. Role of Exotoxin and Protease as Possible Virulence Factors in Experimental Infections with Pseudomonas aeruginosa. Infect. Immun. 1978, 19, 839–845. [Google Scholar] [CrossRef]
- Michalska, M.; Wolf, P. Pseudomonas Exotoxin A: Optimized by Evolution for Effective Killing. Front. Microbiol. 2015, 6, 963. [Google Scholar] [CrossRef] [PubMed]
- Andersson, Y.; Juell, S.; Fodstad, Ø. Downregulation of the Antiapoptotic Mcl-1 Protein and Apoptosis in MA-11 Breast Cancer Cells Induced by an Anti-Epidermal Growth Factor Receptor-Pseudomonas Exotoxin a Immunotoxin. Int. J. Cancer 2004, 112, 475–483. [Google Scholar] [CrossRef]
- Hwang, J.; Fitzgerald, D.J.; Adhya, S.; Pastan, I. Functional Domains of Pseudomonas Exotoxin Identified by Deletion Analysis of the Gene Expressed in E. coli. Cell 1987, 48, 129–136. [Google Scholar] [CrossRef]
- Jinno, Y.; Ogata, M.; Chaudhary, V.K.; Willingham, M.C.; Adhya, S.; FitzGerald, D.; Pastan, I. Domain II Mutants of Pseudomonas Exotoxin Deficient in Translocation. J. Biol. Chem. 1989, 264, 15953–15959. [Google Scholar] [CrossRef]
- FDA. FDA Approves Moxetumomab Pasudotox-Tdfk for Hairy Cell Leukemia; FDA: Muntinlupa, Philippines, 2018.
- Kreitman, R.J.; Pastan, I. Antibody Fusion Proteins: Anti-CD22 Recombinant Immunotoxin Moxetumomab Pasudotox. Clin. Cancer Res. 2011, 17, 6398–6405. [Google Scholar] [CrossRef]
- Kreitman, R.J.; Dearden, C.; Zinzani, P.L.; Delgado, J.; Karlin, L.; Robak, T.; Gladstone, D.E.; le Coutre, P.; Dietrich, S.; Gotic, M.; et al. Moxetumomab Pasudotox in Relapsed/Refractory Hairy Cell Leukemia. Leukemia 2018, 32, 1768–1777. [Google Scholar] [CrossRef] [PubMed]
- Kang, C. Moxetumomab pasudotox in hairy cell leukaemia: A profile of its use. Clin. Drug Investig. 2021, 41, 829–834. [Google Scholar] [CrossRef]
- Dieffenbach, M.; Pastan, I. Mechanisms of Resistance to Immunotoxins Containing Pseudomonas Exotoxin a in Cancer Therapy. Biomolecules 2020, 10, 979. [Google Scholar] [CrossRef]
- Mazor, R.; Pastan, I. Immunogenicity of Immunotoxins Containing Pseudomonas Exotoxin A: Causes, Consequences, and Mitigation. Front. Immunol. 2020, 11, 1261. [Google Scholar] [CrossRef]
- Kaplan, G.; Mazor, R.; Lee, F.; Jang, Y.; Leshem, Y.; Pastan, I. Improving the in Vivo Efficacy of an Anti-Tac (CD25) Immunotoxin by Pseudomonas Exotoxin a Domain II Engineering. Mol. Cancer Ther. 2018, 17, 1486–1493. [Google Scholar] [CrossRef]
- Falgàs, A.; Pallarès, V.; Serna, N.; Sánchez-García, L.; Sierra, J.; Gallardo, A.; Alba-Castellón, L.; Álamo, P.; Unzueta, U.; Villaverde, A.; et al. Selective Delivery of T22-PE24-H6 to CXCR4+ Diffuse Large B-Cell Lymphoma Cells Leads to Wide Therapeutic Index in a Disseminated Mouse Model. Theranostics 2020, 10, 5169–5180. [Google Scholar] [CrossRef] [PubMed]
- Lee, B.S.; Lee, Y.; Park, J.; Jeong, B.S.; Jo, M.; Jung, S.T.; Yoo, T.H. Construction of an Immunotoxin via Site-Specific Conjugation of Anti-Her2 IgG and Engineered Pseudomonas Exotoxin A. J. Biol. Eng. 2019, 13, 56. [Google Scholar] [CrossRef] [PubMed]
- Zhang, J.; Liu, J.; Yue, Y.; Wang, L.; He, Q.; Xu, S.; Li, J.; Liao, Y.; Chen, Y.; Wang, S.; et al. The Immunotoxin Targeting PRLR Increases Tamoxifen Sensitivity and Enhances the Efficacy of Chemotherapy in Breast Cancer. J. Exp. Clin. Cancer Res. 2024, 43, 173. [Google Scholar] [CrossRef] [PubMed]
- Huang, L.; He, H.; Wang, K.; Ma, X.; Chen, X.; Chen, W.; Wang, X.; Jiang, X.; Feng, M. EGFRvIII-Targeted Immunotoxin Combined with Temozolomide and Bispecific Antibody for the Eradication of Established Glioblastoma. Biomed. Pharmacother. 2022, 155, 113659. [Google Scholar] [CrossRef]
- Lee, H.-J.; Chae, B.-H.; Ko, D.-H.; Lee, S.-G.; Yoon, S.-R.; Kim, D.-S.; Kim, Y.-S. Enhancing the Cytotoxicity of Immunotoxins by Facilitating Their Dissociation from Target Receptors under the Reducing Conditions of the Endocytic Pathway. Int. J. Biol. Macromol. 2024, 278, 134668. [Google Scholar] [CrossRef]
- Huang, W.; Wan, Y.; Zhang, S.; Wang, C.; Zhang, Z.; Su, H.; Xiong, P.; Hou, F. Recent Advances in Phenazine Natural Products: Chemical Structures and Biological Activities. Molecules 2024, 29, 4771. [Google Scholar] [CrossRef]
- Serafim, B.; Bernardino, A.R.; Freitas, F.; Torres, C.A.V. Recent Developments in the Biological Activities, Bioproduction, and Applications of Pseudomonas spp. Phenazines. Molecules 2023, 28, 1368. [Google Scholar] [CrossRef]
- Yan, J.; Liu, W.; Cai, J.; Wang, Y.; Li, D.; Hua, H.; Cao, H. Advances in Phenazines over the Past Decade: Review of Their Pharmacological Activities, Mechanisms of Action, Biosynthetic Pathways and Synthetic Strategies. Mar. Drugs 2021, 19, 610. [Google Scholar] [CrossRef]
- Hall, S.; McDermott, C.; Anoopkumar-Dukie, S.; McFarland, A.J.; Forbes, A.; Perkins, A.V.; Davey, A.K.; Chess-Williams, R.; Kiefel, M.J.; Arora, D.; et al. Cellular Effects of Pyocyanin, a Secreted Virulence Factor of Pseudomonas Aeruginosa. Toxins 2016, 8, 236. [Google Scholar] [CrossRef]
- Marey, M.A.; Abozahra, R.; El-Nikhely, N.A.; Kamal, M.F.; Abdelhamid, S.M.; El-Kholy, M.A. Transforming Microbial Pigment into Therapeutic Revelation: Extraction and Characterization of Pyocyanin from Pseudomonas aeruginosa and Its Therapeutic Potential as an Antibacterial and Anticancer Agent. Microb. Cell Fact. 2024, 23, 174. [Google Scholar] [CrossRef]
- Hamad, M.N.F.; Marrez, D.A.; El-Sherbieny, S.M.R. Toxicity Evaluation and Antimicrobial Activity of Purified Pyocyanin from Pseudomonas aeruginosa. Biointerface Res. Appl. Chem. 2020, 10, 6974–6990. [Google Scholar] [CrossRef]
- Marreiro de Sales-Neto, J.; Lima, A.; Cavalcante-Silva, L.H.A.; Vasconcelos, U.; Rodrigues-Mascarenhas, S. Anti-Inflammatory Potential of Pyocyanin in LPS-Stimulated Murine Macrophages. Immunopharmacol. Immunotoxicol. 2019, 41, 102–108. [Google Scholar] [CrossRef] [PubMed]
- Abdelaziz, A.A.; Kamer, A.M.A.; Al-Monofy, K.B.; Al-Madboly, L.A. Pseudomonas aeruginosa’s Greenish-Blue Pigment Pyocyanin: Its Production and Biological Activities. Microb. Cell Fact. 2023, 22, 110. [Google Scholar] [CrossRef] [PubMed]
- Ibrahim, M.K.; El-Zawhry, Y.A.; Esmaiel, A.A.; Askora, A.A.; Mostafa, M.T. Exploring the Antimicrobial and Anticancer Potential of Pyocyanin Produced by Pseudomonas aeruginosa Strain ONO14782. Preprint 2024. [Google Scholar] [CrossRef]
- Simionato, A.S.; Navarro, M.O.P.; de Jesus, M.L.A.; Barazetti, A.R.; da Silva, C.S.; Simões, G.C.; Balbi-Peña, M.I.; de Mello, J.C.P.; Panagio, L.A.; de Almeida, R.S.C.; et al. The Effect of Phenazine-1-Carboxylic Acid on Mycelial Growth of Botrytis Cinerea Produced by Pseudomonas aeruginosa LV Strain. Front. Microbiol. 2017, 8, 1102. [Google Scholar] [CrossRef]
- Zhou, L.; Jiang, H.X.; Sun, S.; Yang, D.D.; Jin, K.M.; Zhang, W.; He, Y.W. Biotechnological Potential of a Rhizosphere Pseudomonas aeruginosa Strain Producing Phenazine-1-Carboxylic Acid and Phenazine-1-Carboxamide. World J. Microbiol. Biotechnol. 2016, 32, 1–12. [Google Scholar] [CrossRef]
- Xiao, J.; Thwe, A.A.; Liu, T.; Gong, D.; Lin, W.; Shang, C.; Lu, Z.J. Anti-Inflammatory Effects of an Extract from Pseudomonas aeruginosa and Its Purified Product 1-Hydroxyphenazine on RAW264.7 Cells. Curr. Microbiol. 2021, 78, 2762–2773. [Google Scholar] [CrossRef]
- Karuppiah, V.; Alagappan, K.; Sivakumar, K.; Kannan, L. Phenazine-1-Carboxylic Acid-Induced Programmed Cell Death in Human Prostate Cancer Cells Is Mediated by Reactive Oxygen Species Generation and Mitochondrial-Related Apoptotic Pathway. J. Appl. Biomed. 2016, 14, 199–209. [Google Scholar] [CrossRef]
- Patil, S.; Paradeshi, J.; Chaudhari, B. Anti-Melanoma and UV-B Protective Effect of Microbial Pigment Produced by Marine Pseudomonas aeruginosa GS-33. Nat. Prod. Res. 2016, 30, 2835–2839. [Google Scholar] [CrossRef]
- Cardozo, V.F.; Oliveira, A.G.; Nishio, E.K.; Perugini, M.R.E.; Andrade, C.G.T.J.; Silveira, W.D.; Durán, N.; Andrade, G.; Kobayashi, R.K.T.; Nakazato, G. Antibacterial Activity of Extracellular Compounds Produced by a Pseudomonas Strain against Methicillin-Resistant Staphylococcus aureus (MRSA) Strains. Ann. Clin. Microbiol. Antimicrob. 2013, 12, 12. [Google Scholar] [CrossRef]
- Shanmugaiah, V.; Mathivanan, N.; Varghese, B. Purification, Crystal Structure and Antimicrobial Activity of Phenazine-1-Carboxamide Produced by a Growth-Promoting Biocontrol Bacterium, Pseudomonas aeruginosa MML2212. J. Appl. Microbiol. 2010, 108, 703–711. [Google Scholar] [CrossRef] [PubMed]
- Kennedy, R.K.; Veena, V.; Naik, P.R.; Lakshmi, P.; Krishna, R.; Sudharani, S.; Sakthivel, N. Phenazine-1-Carboxamide (PCN) from Pseudomonas sp. Strain PUP6 Selectively Induced Apoptosis in Lung (A549) and Breast (MDA MB-231) Cancer Cells by Inhibition of Antiapoptotic Bcl-2 Family Proteins. Apoptosis 2015, 20, 858–868. [Google Scholar] [CrossRef] [PubMed]
- Fordos, M.J. Recherches Sur La Matière Colorante Des Suppurations Bleues: Pyocyanine. CR Acad. Sci. 1860, 51, 215–217. [Google Scholar]
- Ghatak, S.; Hemann, C.; Boslett, J.; Singh, K.; Sharma, A.; El Masry, M.S.; Abouhashem, A.S.; Ghosh, N.; Mathew-Steiner, S.S.; Roy, S.; et al. Bacterial Pyocyanin Inducible Keratin 6A Accelerates Closure of Epithelial Defect under Conditions of Mitochondrial Dysfunction. J. Investig. Dermatol. 2023, 143, 2052–2064.e5. [Google Scholar] [CrossRef] [PubMed]
- Jabłońska, J.; Augustyniak, A.; Dubrowska, K.; Rakoczy, R. The Two Faces of Pyocyanin—Why and How to Steer Its Production? World J. Microbiol. Biotechnol. 2023, 39, 103. [Google Scholar] [CrossRef]
- Peng, W.; Li, H.; Zhao, X.; Shao, B.; Zhu, K. Phenazines Modulate Gastrointestinal Metabolism and Microbiota. Preprint 2021. [Google Scholar] [CrossRef]
- Sudhakar, T.; Karpagam, S.; Premkumar, J. Biosynthesis, Antibacterial Activity of Pyocyanin Pigment Produced by Pseudomonas aeruginosa SU1. J. Chem. Pharm. Res. 2015, 7, 921–924. Available online: www.jocpr.com (accessed on 25 October 2024).
- Farhadi, M.; Momeni, Z.; Abdizadeh Jozam, S. Comparing the Effect of Metronidazole with Pyocyanin Pigment Extracted from Pseudomonas aeruginosa on Trichomonas Vaginalis. J. Microb. World 2023, 16, 89–101. [Google Scholar] [CrossRef]
- Meirelles, L.A.; Newman, D.K. Phenazines and Toxoflavin Act as Interspecies Modulators of Resilience to Diverse Antibiotics. Mol. Microbiol. 2022, 117, 1384–1404. [Google Scholar] [CrossRef]
- Sakhtah, H.; Koyama, L.; Zhang, Y.; Morales, D.K.; Fields, B.L.; Price-Whelan, A.; Hogan, D.A.; Shepard, K.; Dietrich, L.E.P. The Pseudomonas aeruginosa Efflux Pump MexGHI-OpmD Transports a Natural Phenazine That Controls Gene Expression and Biofilm Development. Proc. Natl. Acad. Sci. USA 2016, 113, E3538–E3547. [Google Scholar] [CrossRef]
- Asif, M.Z.; Nocilla, K.A.; Ngo, L.T.; Shah, M.K.; Smadi, Y.; Hafeez, Z.A.; Parnes, M.; Manson, A.; Glushka, J.; Leach, F.E.; et al. Role of Ugt Genes in Detoxification and Glycosylation of 1-Hydroxy Phenazine (1-HP) in Caenorhabditis elegans. bioRxiv 2023. [Google Scholar] [CrossRef]
- Kang, J.; Cho, Y.-H.; Lee, Y. Pyocyanin and 1-Hydroxyphenazine Promote Anaerobic Killing of Pseudomonas aeruginosa via Single-Electron Transfer with Ferrous Iron. Microbiol. Spectr. 2022, 10, e0231222. [Google Scholar] [CrossRef] [PubMed]
- Liu, T.T.; Ye, F.C.; Pang, C.P.; Yong, T.Q.; Tang, W.D.; Xiao, J.; Shang, C.H.; Lu, Z.J. Isolation and Identification of Bioactive Substance 1-Hydroxyphenazine from Pseudomonas aeruginosa and Its Antimicrobial Activity. Lett. Appl. Microbiol. 2020, 71, 303–310. [Google Scholar] [CrossRef] [PubMed]
- Huasong, P.; Qingwen, H.; Bilal, M.; Wang, W.; Zhang, X. Kinetics, Mechanism, and Identification of Photodegradation Products of Phenazine-1-Carboxylic Acid. Environ. Technol. 2020, 41, 1848–1856. [Google Scholar] [CrossRef]
- Xun, W.; Gong, B.; Liu, X.; Yang, X.; Zhou, X.; Jin, L. Antifungal Mechanism of Phenazine-1-Carboxylic Acid against Pestalotiopsis Kenyana. Int. J. Mol. Sci. 2023, 24, 11274. [Google Scholar] [CrossRef]
- Huang, H.; Sun, L.; Bi, K.; Zhong, G.; Hu, M. The Effect of Phenazine-1-Carboxylic Acid on the Morphological, Physiological, and Molecular Characteristics of Phellinus Noxius. Molecules 2016, 21, 613. [Google Scholar] [CrossRef]
- Puopolo, G.; Masi, M.; Raio, A.; Andolfi, A.; Zoina, A.; Cimmino, A.; Evidente, A. Insights on the Susceptibility of Plant Pathogenic Fungi to Phenazine-1-Carboxylic Acid and Its Chemical Derivatives. Nat. Prod. Res. 2013, 27, 956–966. [Google Scholar] [CrossRef]
- Song, C.; Yue, S.J.; Liu, W.H.; Zheng, Y.F.; Zhang, C.H.; Feng, T.T.; Hu, H.B.; Wang, W.; Zhang, X.H. Engineering of Glycerol Utilization in Pseudomonas Chlororaphis GP72 for Enhancing Phenazine-1-Carboxylic Acid Production. World J. Microbiol. Biotechnol. 2020, 36, 49. [Google Scholar] [CrossRef]
- Peng, H.; Zhang, P.; Bilal, M.; Wang, W.; Hu, H.; Zhang, X. Enhanced Biosynthesis of Phenazine-1-Carboxamide by Engineered Pseudomonas chlororaphis HT66. Microb. Cell Fact. 2018, 17, 117. [Google Scholar] [CrossRef]
- Zhou, H.; Yang, Y.; Shang, W.; Rao, Y.; Chen, J.; Peng, H.; Huang, J.; Hu, Z.; Zhang, R.; Rao, X. Pyocyanin Biosynthesis Protects Pseudomonas aeruginosa from Nonthermal Plasma Inactivation. Microb. Biotechnol. 2022, 15, 1910–1921. [Google Scholar] [CrossRef]
- Basu, S.; Rabara, R.; Negi, S. Towards a Better Greener Future—An Alternative Strategy Using Biofertilizers. I: Plant Growth Promoting Bacteria. Plant Gene 2017, 12, 43–49. [Google Scholar] [CrossRef]
- Oziat, J.; Cohu, T.; Elsen, S.; Gougis, M.; Malliaras, G.G.; Mailley, P. Electrochemical Detection of Redox Molecules Secreted by Pseudomonas aeruginosa—Part 1: Electrochemical Signatures of Different Strains. Bioelectrochemistry 2021, 140, 107747. [Google Scholar] [CrossRef] [PubMed]
- El-Fouly, M.Z.; Sharaf, A.M.; Shahin, A.A.M.; El-Bialy, H.A.; Omara, A.M.A. Biosynthesis of Pyocyanin Pigment by Pseudomonas aeruginosa. J. Radiat. Res. Appl. Sci. 2015, 8, 36–48. [Google Scholar] [CrossRef]
- Gibson, J.; Sood, A.; Hogan, D.A. Pseudomonas aeruginosa—Candida Albicans Interactions: Localization and Fungal Toxicity of a Phenazine Derivative. Appl. Environ. Microbiol. 2009, 75, 504–513. [Google Scholar] [CrossRef] [PubMed]
- Fakhouri, W.; Walker, F.; Vogler, B.; Armbruster, W.; Buchenauer, H. Isolation and Identification of N-Mercapto-4-Formylcarbostyril, an Antibiotic Produced by Pseudomonas fluorescens. Phytochemistry 2001, 58, 1297–1303. [Google Scholar] [CrossRef]
- Ye, L.; Cornelis, P.; Guillemyn, K.; Ballet, S.; Christophersen, C.; Hammerich, O. Structure Revision of N-Mercapto-4-Formylcarbostyril Produced by Pseudomonas Fluorescens G308 to 2-(2-Hydroxyphenyl)Thiazole-4-Carbaldehyde [Aeruginaldehyde]. Nat. Prod. Commun. 2014, 9, 789–794. [Google Scholar] [CrossRef]
- Bach, E.; Passaglia, L.M.P.; Jiao, J.; Gross, H. Burkholderia in the Genomic Era: From Taxonomy to the Discovery of New Antimicrobial Secondary Metabolites. Crit. Rev. Microbiol. 2022, 48, 121–160. [Google Scholar] [CrossRef]
- Ni, S.; Li, B.; Xu, Y.; Mao, F.; Li, X.; Lan, L.; Zhu, J.; Li, J. Targeting Virulence Factors as an Antimicrobial Approach: Pigment Inhibitors. Med. Res. Rev. 2020, 40, 293–338. [Google Scholar] [CrossRef]
- Lu, J.; Huang, Y.; Liu, R.; Liang, Y.; Zhang, H.; Shen, N.; Yang, D.; Jiang, M. Antimicrobial Mechanisms and Antifungal Activity of Compounds Generated by Banana Rhizosphere Pseudomonas aeruginosa Gxun-2 against Fusarium oxysporum f. sp. cubense. Front. Microbiol. 2024, 15, 1456847. [Google Scholar] [CrossRef]
- Wang, J.; Wang, C.; Yu, H.; Dela Ahator, S.; Wu, X.; Lv, S.; Zhang, L. Bacterial Quorum-sensing Signal IQS Induces Host Cell Apoptosis by Targeting POT1–P53 Signalling Pathway. Cell Microbiol. 2019, 21, e13076. [Google Scholar] [CrossRef]
- Anjaiah, V.; Koedam, N.; Nowak-Thompson, B.; Loper, J.E.; Höfte, M.; Tambong, J.T.; Cornelis, P. Involvement of Phenazines and Anthranilate in the Antagonism of Pseudomonas aeruginosa PNA1 and Tn 5 Derivatives Toward Fusarium spp. and Pythium spp. Mol. Plant-Microbe Interact. 1998, 11, 847–854. [Google Scholar] [CrossRef]
- Golden, M.M.; Heppe, A.C.; Zaremba, C.L.; Wuest, W.M. Metal Chelation as an Antibacterial Strategy for Pseudomonas aeruginosa and Acinetobacter Baumannii. RSC Chem. Biol. 2024, 5, 1083–1096. [Google Scholar] [CrossRef] [PubMed]
- Rojas Murcia, N.; Lee, X.; Waridel, P.; Maspoli, A.; Imker, H.J.; Chai, T.; Walsh, C.T.; Reimmann, C. The Pseudomonas aeruginosa Antimetabolite L-2-Amino-4-Methoxy-Trans-3-Butenoic Acid (AMB) Is Made from Glutamate and Two Alanine Residues via a Thiotemplate-Linked Tripeptide Precursor. Front. Microbiol. 2015, 6, 170. [Google Scholar] [CrossRef]
- Azam, M.W.; Khan, A.U. Updates on the Pathogenicity Status of Pseudomonas aeruginosa. Drug Discov. Today 2019, 24, 350–359. [Google Scholar] [CrossRef]
- Ronnebaum, T.A.; McFarlane, J.S.; Prisinzano, T.E.; Booker, S.J.; Lamb, A.L. Stuffed Methyltransferase Catalyzes the Penultimate Step of Pyochelin Biosynthesis. Biochemistry 2019, 58, 665–678. [Google Scholar] [CrossRef]
- Weaver, A.A.; Parmar, D.; Junker, E.A.; Sweedler, J.V.; Shrout, J.D. Differential Spreading of Rhamnolipid Congeners from Pseudomonas aeruginosa. ACS Appl. Bio Mater. 2023, 6, 4914–4921. [Google Scholar] [CrossRef]
- de Santana-Filho, A.P.; Camilios-Neto, D.; de Souza, L.M.; Sassaki, G.L.; Mitchell, D.A.; Krieger, N. Evaluation of the Structural Composition and Surface Properties of Rhamnolipid Mixtures Produced by Pseudomonas aeruginosa UFPEDA 614 in Different Cultivation Periods. Appl. Biochem. Biotechnol. 2014, 175, 988–995. [Google Scholar] [CrossRef]
- Camilios-Neto, D.; Bugay, C.; De Santana-Filho, A.P.; Joslin, T.; De Souza, L.M.; Sassaki, G.L.; Mitchell, D.A.; Krieger, N. Production of Rhamnolipids in Solid-State Cultivation Using a Mixture of Sugarcane Bagasse and Corn Bran Supplemented with Glycerol and Soybean Oil. Appl. Microbiol. Biotechnol. 2011, 89, 1395–1403. [Google Scholar] [CrossRef]
- Sanjivkumar, M.; Deivakumari, M.; Immanuel, G. Investigation on Spectral and Biomedical Characterization of Rhamnolipid from a Marine Associated Bacterium Pseudomonas aeruginosa (DKB1). Arch. Microbiol. 2021, 203, 2297–2314. [Google Scholar] [CrossRef]
- El-Housseiny, G.S.; Aboshanab, K.M.; Aboulwafa, M.M.; Hassouna, N.A. Structural and Physicochemical Characterization of Rhamnolipids Produced by Pseudomonas aeruginosa P6. AMB Express 2020, 10, 201. [Google Scholar] [CrossRef]
- Braz, L.M.; Salazar-Bryam, A.M.; Andrade, G.S.S.; Tambourgi, E.B. Optimization and Characterization of Rhamnolipids Produced by Pseudomonas aeruginosa ATCC 9027 Using Molasses as a Substrate. World J. Microbiol. Biotechnol. 2023, 39, 51. [Google Scholar] [CrossRef] [PubMed]
- USEPA Rhamnolipid Biosurfactant. Exemption from the Requirement of a Tolerance. Environ. Prot. Agency Fed. Regist. Rules Regul. 2004, 69, 16796–16800. [Google Scholar]
- de Freitas Ferreira, J.; Vieira, E.A.; Nitschke, M. The Antibacterial Activity of Rhamnolipid Biosurfactant Is PH Dependent. Food Res. Int. 2019, 116, 737–744. [Google Scholar] [CrossRef] [PubMed]
- Passos, T.F.; Nitschke, M. The Combined Effect of PH and NaCl on the Susceptibility of Listeria Monocytogenes to Rhamnolipids. Food Res. Int. 2024, 192, 114744. [Google Scholar] [CrossRef] [PubMed]
- Firdose, A.; Maeda, T.; Sukri, M.A.M.; Yasin, N.H.M.; Sabturani, N.; Aqma, W.S. Antibacterial Mechanism of Pseudomonas aeruginosa UKMP14T Rhamnolipids against Multidrug Resistant Acinetobacter Baumannii. Microb. Pathog. 2024, 193, 106743. [Google Scholar] [CrossRef]
- Firdose, A.; Chong, N.H.H.; Ramli, R.; Aqma, W.S. Antimicrobial, Antiadhesive, and Antibiofilm Actions of Rhamnolipids on ESKAPE Pathogens. Lett. Appl. Microbiol. 2023, 76, ovad013. [Google Scholar] [CrossRef]
- Buonocore, C.; Giugliano, R.; Della Sala, G.; Palma Esposito, F.; Tedesco, P.; Folliero, V.; Galdiero, M.; Franci, G.; de Pascale, D. Evaluation of Antimicrobial Properties and Potential Applications of Pseudomonas gessardii M15 Rhamnolipids towards Multiresistant Staphylococcus aureus. Pharmaceutics 2023, 15, 700. [Google Scholar] [CrossRef]
- Carra, J.B.; Wessel, K.B.B.; Pereira, G.N.; Oliveira, M.C.; Pattini, P.M.T.; Masquetti, B.L.; Amador, I.R.; Bruschi, M.L.; Casagrande, R.; Georgetti, S.R.; et al. Bioadhesive Polymeric Films Containing Rhamnolipids, An Innovative Antimicrobial Topical Formulation. AAPS PharmSciTech 2024, 25, 177. [Google Scholar] [CrossRef]
- Maťátková, O.; Kolouchová, I.; Lokočová, K.; Michailidu, J.; Jaroš, P.; Kulišová, M.; Řezanka, T.; Masák, J. Rhamnolipids as a Tool for Eradication of Trichosporon Cutaneum Biofilm. Biomolecules 2021, 11, 1727. [Google Scholar] [CrossRef]
- Borah, S.N.; Sen, S.; Goswami, L.; Bora, A.; Pakshirajan, K.; Deka, S. Rice Based Distillers Dried Grains with Solubles as a Low Cost Substrate for the Production of a Novel Rhamnolipid Biosurfactant Having Anti-Biofilm Activity against Candida Tropicalis. Colloids Surf. B Biointerfaces 2019, 182, 110358. [Google Scholar] [CrossRef]
- Cerqueira dos Santos, S.; Araújo Torquato, C.; de Alexandria Santos, D.; Orsato, A.; Leite, K.; Serpeloni, J.M.; Losi-Guembarovski, R.; Romão Pereira, E.; Dyna, A.L.; Lopes Barboza, M.G.; et al. Production and Characterization of Rhamnolipids by Pseudomonas aeruginosa Isolated in the Amazon Region, and Potential Antiviral, Antitumor, and Antimicrobial Activity. Sci. Rep. 2024, 14, 4629. [Google Scholar] [CrossRef] [PubMed]
- Sen, S.; Borah, S.N.; Bora, A.; Deka, S. Rhamnolipid Exhibits Anti-Biofilm Activity against the Dermatophytic Fungi Trichophyton Rubrum and Trichophyton Mentagrophytes. Biotechnol. Rep. 2020, 27, e00516. [Google Scholar] [CrossRef] [PubMed]
- Giugliano, R.; Buonocore, C.; Zannella, C.; Chianese, A.; Esposito, F.P.; Tedesco, P.; De Filippis, A.; Galdiero, M.; Franci, G.; de Pascale, D. Antiviral Activity of the Rhamnolipids Mixture from the Antarctic Bacterium Pseudomonas gessardii M15 against Herpes Simplex Viruses and Coronaviruses. Pharmaceutics 2021, 13, 2121. [Google Scholar] [CrossRef] [PubMed]
- Aleksic, I.; Petkovic, M.; Jovanovic, M.; Milivojevic, D.; Vasiljevic, B.; Nikodinovic-Runic, J.; Senerovic, L. Anti-Biofilm Properties of Bacterial Di-Rhamnolipids and Their Semi-Synthetic Amide Derivatives. Front. Microbiol. 2017, 8, 2454. [Google Scholar] [CrossRef]
- Adu, S.A.; Twigg, M.S.; Naughton, P.J.; Marchant, R.; Banat, I.M. Biosurfactants as Anticancer Agents: Glycolipids Affect Skin Cells in a Differential Manner Dependent on Chemical Structure. Pharmaceutics 2022, 14, 360. [Google Scholar] [CrossRef]
- Rahimi, K.; Lotfabad, T.B.; Jabeen, F.; Mohammad Ganji, S. Cytotoxic Effects of Mono- and Di-Rhamnolipids from Pseudomonas aeruginosa MR01 on MCF-7 Human Breast Cancer Cells. Colloids Surf. B Biointerfaces 2019, 181, 943–952. [Google Scholar] [CrossRef]
- Jiang, L.; Shen, C.; Long, X.; Zhang, G.; Meng, Q. Rhamnolipids Elicit the Same Cytotoxic Sensitivity between Cancer Cell and Normal Cell by Reducing Surface Tension of Culture Medium. Appl. Microbiol. Biotechnol. 2014, 98, 10187–10196. [Google Scholar] [CrossRef]
- Semkova, S.; Antov, G.; Iliev, I.; Tsoneva, I.; Lefterov, P.; Christova, N.; Nacheva, L.; Stoineva, I.; Kabaivanova, L.; Staneva, G.; et al. Rhamnolipid Biosurfactants—Possible Natural Anticancer Agents and Autophagy Inhibitors. Separations 2021, 8, 92. [Google Scholar] [CrossRef]
- Madsen, J.K.; Pihl, R.; Møller, A.H.; Madsen, A.T.; Otzen, D.E.; Andersen, K.K. The Anionic Biosurfactant Rhamnolipid Does Not Denature Industrial Enzymes. Front. Microbiol. 2015, 6, 292. [Google Scholar] [CrossRef]
- Twigg, M.S.; Adu, S.A.; Sugiyama, S.; Marchant, R.; Banat, I.M. Mono-Rhamnolipid Biosurfactants Synthesized by Pseudomonas aeruginosa Detrimentally Affect Colorectal Cancer Cells. Pharmaceutics 2022, 14, 2799. [Google Scholar] [CrossRef]
- Christova, N.; Tuleva, B.; Kril, A.; Georgieva, M.; Konstantinov, S.; Terziyski, I.; Nikolova, B.; Stoineva, I. Chemical Structure and In Vitro Antitumor Activity of Rhamnolipids from Pseudomonas aeruginosa BN10. Appl. Biochem. Biotechnol. 2013, 170, 676–689. [Google Scholar] [CrossRef] [PubMed]
- Ankulkar, R.; Chavan, S.; Aphale, D.; Chavan, M.; Mirza, Y. Cytotoxicity of Di-Rhamnolipids Produced by Pseudomonas aeruginosa RA5 against Human Cancerous Cell Lines. 3 Biotech 2022, 12, 323. [Google Scholar] [CrossRef]
- Ali, A.M.; Hill, H.J.; Elkhouly, G.E.; Bakkar, M.R.; Raya, N.R.; Stamataki, Z.; Abo-zeid, Y. Rhamnolipid Nano-Micelles Inhibit SARS-CoV-2 Infection and Have No Dermal or Eye Toxic Effects in Rabbits. Antibiotics 2022, 11, 1556. [Google Scholar] [CrossRef] [PubMed]
- Malakar, C.; Kashyap, B.; Bhattacharjee, S.; Kalita, M.C.; Mukherjee, A.K.; Deka, S. Antibiofilm and Wound Healing Efficacy of Rhamnolipid Biosurfactant against Pathogenic Bacterium Staphylococcus aureus. Microb. Pathog. 2024, 195, 106855. [Google Scholar] [CrossRef] [PubMed]
- Sana, S.; Datta, S.; Biswas, D.; Auddy, B.; Gupta, M.; Chattopadhyay, H. Excision Wound Healing Activity of a Common Biosurfactant Produced by Pseudomonas sp. Wound Med. 2018, 23, 47–52. [Google Scholar] [CrossRef]
- Alghazal, A.M.; Hamed, R.S.; Deleme, Z.H. Impact of Rhamnolipid on Skin Wound Regeneration in Rats. Al-Rafidain Dent. J. 2024, 24, 220–230. [Google Scholar] [CrossRef]
- Zhu, P.; Zhang, S.; Kumar, R.; Zhang, Z.; Zhang, Z.; Wang, Y.; Jiang, X.; Lin, K.; Kaur, G.; Yung, K.K.L. Rhamnolipids from Non-Pathogenic Acinetobacter Calcoaceticus: Bioreactor-Scale Production, Characterization and Wound Healing Potency. N. Biotechnol. 2022, 67, 23–31. [Google Scholar] [CrossRef]
- Adu, S.A.; Twigg, M.S.; Naughton, P.J.; Marchant, R.; Banat, I.M. Characterisation of Cytotoxicity and Immunomodulatory Effects of Glycolipid Biosurfactants on Human Keratinocytes. Appl. Microbiol. Biotechnol. 2023, 107, 137–152. [Google Scholar] [CrossRef]
- Matsushima, K.; Yang, D.; Oppenheim, J.J. Interleukin-8: An Evolving Chemokine. Cytokine 2022, 153, 155828. [Google Scholar] [CrossRef]
- Tanaka, T.; Narazaki, M.; Kishimoto, T. IL-6 in Inflammation, Immunity, and Disease. Cold Spring Harb. Perspect. Biol. 2014, 6, a016295. [Google Scholar] [CrossRef]
- Zhang, R.; Zhang, H.; Liu, J.; Zeng, X.; Wu, Y.; Yang, C. Rhamnolipids Enhance Growth Performance by Improving the Immunity, Intestinal Barrier Function, and Metabolome Composition in Broilers. J. Sci. Food Agric. 2022, 102, 908–919. [Google Scholar] [CrossRef] [PubMed]
- Gadani, S.P.; Cronk, J.C.; Norris, G.T.; Kipnis, J. IL-4 in the Brain: A Cytokine to Remember. J. Immunol. 2012, 189, 4213–4219. [Google Scholar] [CrossRef] [PubMed]
- Liu, T.; Zhang, L.; Joo, D.; Sun, S.-C. NF-ΚB Signaling in Inflammation. Signal Transduct. Target. Ther. 2017, 2, 17023. [Google Scholar] [CrossRef] [PubMed]
- Nunes, I.P.F.; de Jesus, R.S.; Almeida, J.A.; Costa, W.L.R.; Malta, M.; Soares, L.G.P.; de Almeida, P.F.; Pinheiro, A.L.B. Evaluation of 1,9-Dimethyl-Methylene Blue Nanoencapsulation Using Rhamnolipid Nanoparticles to Potentiate the Photodynamic Therapy Technique in Candida Albicans: In Vitro Study. J. Photochem. Photobiol. B 2024, 256, 112943. [Google Scholar] [CrossRef] [PubMed]
- Habibah, F.F.; Sri Rizki, W.O.; Ivansyah, A.L.; Astuti, D.I.; Hertadi, R. Green Synthesis of Copper Ions Nanoparticles Functionalized with Rhamnolipid as Potential Antibacterial Agent for Pathogenic Bacteria. Heliyon 2024, 10, e24242. [Google Scholar] [CrossRef]
- Shu, X.; Liu, J.; Mao, L.; Yuan, F.; Gao, Y. Composite Hydrogels Filled with Rhamnolipid-Based Nanoemulsion, Nanostructured Lipid Carrier, or Solid Lipid Nanoparticle: A Comparative Study on Gel Properties and the Delivery of Lutein. Food Hydrocoll. 2024, 146, 109264. [Google Scholar] [CrossRef]
- Kadakia, P.; Valentin, J.D.P.; Hong, L.; Watts, S.; Hameed, O.A.; Walch, M.; Salentinig, S. Biocompatible Rhamnolipid Self-Assemblies with PH-Responsive Antimicrobial Activity. Adv. Healthc. Mater. 2024, 13, e2302596. [Google Scholar] [CrossRef]
- Jiang, G.; Guo, J.; Yan, C.; He, Y.; Chen, J.; Zhang, M.; Xiang, K.; Xiang, X.; Zhang, C.; Wang, Y.; et al. Biomimetic Hybrid Nanovesicles Improve Infected Diabetic Wound via Enhanced Targeted Delivery. J. Control. Release 2024, 365, 193–207. [Google Scholar] [CrossRef]
Disclaimer/Publisher’s Note: The statements, opinions and data contained in all publications are solely those of the individual author(s) and contributor(s) and not of MDPI and/or the editor(s). MDPI and/or the editor(s) disclaim responsibility for any injury to people or property resulting from any ideas, methods, instructions or products referred to in the content. |
© 2024 by the authors. Licensee MDPI, Basel, Switzerland. This article is an open access article distributed under the terms and conditions of the Creative Commons Attribution (CC BY) license (https://creativecommons.org/licenses/by/4.0/).





