Ecological Impacts of Coastal Protection on the Vegetation of Sandy Coasts at the German Baltic Sea Coast
Abstract
1. Introduction
2. Materials and Methods
2.1. Study Site
2.2. Performed Samplings
3. Results
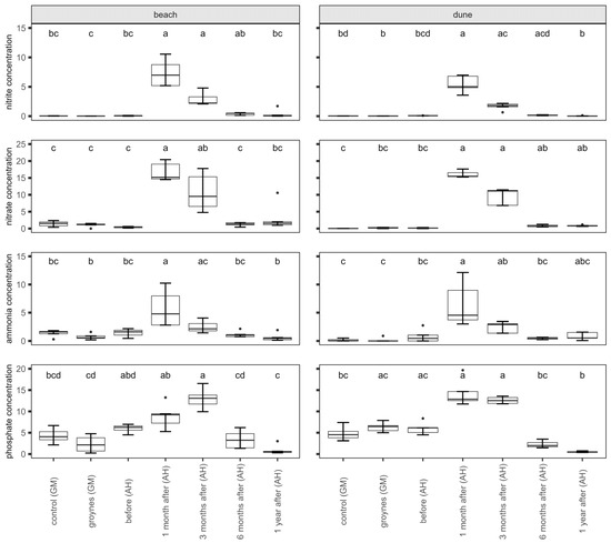
3.1. Nutrient Concentration in the Sediment
3.2. Botanical Mappings
4. Discussion
4.1. Nutrient Availability
4.2. Single Species Analysis
4.3. Vegetation Composition and Biodiversity
5. Conclusions
Author Contributions
Funding
Institutional Review Board Statement
Informed Consent Statement
Data Availability Statement
Acknowledgments
Conflicts of Interest
Appendix A
| Site | Station | Description | Longitude (Degrees East) | Latitude (Degrees North) |
|---|---|---|---|---|
| Ahrenshoop (sand nourishment) | 1 | Beach | 12.412062 | 54.379118 |
| 1 | Dune | 12.412390 | 54.378995 | |
| 2 | Beach | 12.423305 | 54.384627 | |
| 2 | Dune | 12.423598 | 54.384430 | |
| 3 | Beach | 12.430064 | 54.387775 | |
| 3 | Dune | 12.430459 | 54.387484 | |
| 4 | Beach | 12.436747 | 54.391684 | |
| 4 | Dune | 12.437031 | 54.391506 | |
| 5 | Beach | 12.443353 | 54.397647 | |
| 5 | Dune | 12.443826 | 54.397472 | |
| Graal Mueritz (groynes) | 1 | Beach | 12.272940 | 54.270792 |
| 1 | Dune | 12.273260 | 54.270476 | |
| 2 | Beach | 12.272162 | 54.270477 | |
| 2 | Dune | 12.272439 | 54.270236 | |
| 3 | Beach | 12.271260 | 54.270152 | |
| 3 | Dune | 12.271525 | 54.269905 | |
| 4 | Beach | 12.270729 | 54.269949 | |
| 4 | Dune | 12.271000 | 54.269687 | |
| 5 | Beach | 12.269996 | 54.269632 | |
| 5 | Dune | 12.270210 | 54.269451 | |
| Graal Mueritz (control) | 1 | Beach | 12.286490 | 54.275244 |
| 1 | Dune | 12.286903 | 54.274995 | |
| 2 | Beach | 12.285852 | 54.274992 | |
| 2 | Dune | 12.286066 | 54.274792 | |
| 3 | Beach | 12.285117 | 54.274749 | |
| 3 | Dune | 12.285370 | 54.274512 | |
| 4 | Beach | 12.284139 | 54.274428 | |
| 4 | Dune | 12.284340 | 54.274221 | |
| 5 | Beach | 12.283473 | 54.274172 | |
| 5 | Dune | 12.283702 | 54.273967 |
References
- Maun, M.A. Adaptations enhancing survival and establishment of seedlings on coastal dune systems. Vegetatio 1994, 111, 59–70. [Google Scholar] [CrossRef]
- Ellenberg, H.; Leuschner, C. Vegetation Mitteleuropas mit den Alpen in Ökologischer, Dynamischer und Historischer Sicht: 203 Tabellen, 6th ed.; Ulmer: Stuttgart, Germany, 2010. [Google Scholar]
- Bakker, J.P. Phytogeographical Aspects of the Vegetation of the Outer Dunes in the Atlantic Province of Europe. J. Biogeogr. 1976, 3, 85–104. [Google Scholar] [CrossRef]
- Van Puijenbroek, M.E.B.; Teichmann, C.; Meijdam, N.; Oliveras, I.; Berendse, F.; Limpens, J. Does salt stress constrain spatial distribution of dune building grasses Ammophila arenaria and Elytrichia juncea on the beach? Ecol. Evol. 2017, 7, 290–303. [Google Scholar] [CrossRef] [PubMed]
- Kollmann, J.; Kirmer, A.; Tischew, S.; Hölzel, N.; Kiehl, K. Renaturierungsökologie, 1st ed.; Springer: Berlin, Germany, 2019. [Google Scholar]
- Arens, S.M.; Mulder, J.P.; Slings, Q.L.; Geelen, L.H.; Damsma, P. Dynamic dune management, integrating objectives of nature development and coastal safety: Examples from the Netherlands. Geomorphology 2013, 199, 205–213. [Google Scholar] [CrossRef]
- Łabuz, T.A.; Grunewald, R. Studies on Vegetation Cover of the Youngest Dunes of the świna Gate Barrier (Western Polish Coast). J. Coast. Res. 2007, 231, 160–172. [Google Scholar] [CrossRef]
- Dunes of the Baltic Sea Coast, Botanical Garden, University of Rostock. Adapted with Permission from Dethardt Götze. 2024, Sarah Mamerow. Available online: https://www.garten.uni-rostock.de/studium-und-lehre/vertiefung-ausgewaehlter-themen/duenen-der-ostseekueste/ (accessed on 3 June 2024).
- Firth, L.B.; Knights, A.M.; Bridger, D.; Evans, A.J.; Mieszkowska, N.; Moore, P.; O’Connor, N.E.; Sheehan, E.; Thompson, R.C.; Hawkins, S.J. Ocean Sprawl: Challenges and opportunities for biodiversity management in a changing world. In Oceanography and Marine Biology: An Annual Review; Hughes, R.N., Hughes, D.J., Smith, I.P., Dale, A.C., Eds.; Taylor & Francis: London, UK, 2016; Volume 54, pp. 189–262. [Google Scholar]
- Dugan, J.E.; Airoldi, L.; Chapman, M.G.; Walker, S.J.; Schlacher, T. Estuarine and Coastal Structures. Treatise Estuar. Coast. Sci. 2011, 8, 17–41. [Google Scholar]
- Van Rijn, L.C. Design of Hard Coastal Structures against Erosion. Available online: www.leovanrijn-sediment.com (accessed on 17 October 2023).
- Schoonees, T.; Gijón Mancheño, A.; Scheres, B.; Bouma, T.J.; Silva, R.; Schlurmann, T.; Schüttrumpf, H. Hard Structures for Coastal Protection, Towards Greener Designs. Estuaries Coasts 2019, 42, 9–29. [Google Scholar] [CrossRef]
- de Groot, A.V.; Janssen, G.M.; Isermann, M.; Stock, M.; Glahn, M.; Elschot, K.; Hellwig, U.; Petersen, J.; Esselink, P.; van Duin, W.; et al. Beaches and dunes. In Wadden Sea Quality Status Report 2017; Kloepper, A., Ed.; Common Wadden Sea Secretariat: Wilhelmshaven, Germany, 2017. [Google Scholar]
- StAUN MM (State Agency for Environment and Nature Central Mecklenburg). Regelwerk Küstenschutz Mecklenburg-Vorpommern: Referenzhochwasserstand und Bemessungshochwasserstand; Ostseedruck Rostock: Rostock, Germany, 2022. [Google Scholar]
- Jordan, P.; Fröhle, P. Bridging the gap between coastal engineering and nature conservation? J. Coast. Conserv. 2022, 26, 4. [Google Scholar] [CrossRef]
- Grunewald, R. Assessment of Damages from Recreational Activities on Coastal Dunes of the Southern Baltic Sea. J. Coast. Res. 2006, 225, 45–57. [Google Scholar] [CrossRef]
- Leppäranta, M.; Myrberg, K. Physical Oceanography of the Baltic Sea; Springer: Berlin/Heidelberg, Germany; New York, NY, USA; Chichester, UK, 2009. [Google Scholar]
- StAUN MM (State Agency for Environment and Nature Central Mecklenburg). Regelwerk Küstenschutz Mecklenburg-Vorpommern: Übersichtsheft. Grundlagen, Grundsätze, Standortbestimmung und Ausblick; Ostseedruck Rostock: Rostock, Germany, 2009. [Google Scholar]
- Kortekaas, S.; Bagdanaviciute, I.; Gyssels, P.; Huerta, J.M.A.; Héquette, A. Assessment of the Effects of Marine Aggregate Extraction on the Coastline: An Example from the German Baltic Sea Coast. J. Coast. Res. 2010, 51, 205–214. [Google Scholar]
- Glueck, D. How sand nourishments can influence the ecology of coastal ecosystems: A case study. J. Coast. Conserv. 2024. manuscript submitted for publication. [Google Scholar]
- Grasshoff, K.; Kremling, K.; Ehrhardt, M. Methods of Seawater Analysis, 3rd ed.; Wiley VCH Verlag GmbH: Weinheim, Germany, 1999. [Google Scholar]
- Jäger, E.J.; Müller, F.; Ritz, C.; Welk, E.; Wesche, K. Gefäßpflanzen: Atlasband: Mit 3000 Abgebildeten Arten, 13th ed.; Springer Spektrum: Berlin, Germany, 2017. [Google Scholar]
- Ellenberg, H. Zeigerwerte von Pflanzen in Mitteleuropa, 2nd ed.; Goltze: Göttingen, Germany, 1992. [Google Scholar]
- Spellerberg, I.F.; Fedor, P.J. A tribute to Claude Shannon (1916–2001) and a plea for more rigorous use of species richness, species diversity and the ‘Shannon–Wiener’ Index. Glob. Ecol. Biogeogr. 2003, 12, 177–179. [Google Scholar] [CrossRef]
- Wirth, V.; Hauck, M.; Schultz, M. Die Flechten Deutschlands; Eugen Ulmer UTB: Stuttgart, Germany, 2013. [Google Scholar]
- Printzen, C.; von Brackel, W.; Bültmann, H.; Cezanne, R.; Dolnik, C.; Dornes, P.; Eckstein, J.; Eichler, M.; John, V.; Killmann, D.; et al. Die Flechten, flechtenbewohnenden und flechtenähnlichen Pilze Deutschlands—Eine überarbeitete Checkliste. Herzogia 2022, 35, 193–393. [Google Scholar] [CrossRef]
- Culberson, C.; Ammann, K. A standard method for analysing lichen substances with thin layer chromatography. Herzogia 1979, 5, 1–24. [Google Scholar] [CrossRef]
- Braun-Blanquet, J. Pflanzensoziologie—Grundzüge der Vegetationskunde [Plant Socology—Principles of Vegetation Science]; Springer: Vienna, Austria, 1964. [Google Scholar]
- Kellman, M.; Roulet, N. Nutrient flux and retention in a tropical sand-dune succession. J. Ecol. 1990, 78, 664–676. [Google Scholar] [CrossRef]
- Olff, H.; Huisman, J.; van Tooren, B.F. Species dynamics and nutrient accumulation during early primary succession in coastal sand dunes. J. Ecol. 1993, 81, 693–706. [Google Scholar] [CrossRef]
- Pit, I.R.; Wassen, M.J.; Kooijman, A.M.; Dekker, S.C.; Griffioen, J.; Arens, S.M.; van Dijk, J. Can sand nourishment material affect dune vegetation through nutrient addition? Sci. Total Environ. 2020, 725, 138–233. [Google Scholar] [CrossRef] [PubMed]
- Holton, B. Some Aspects of Nitrogen Cycle in a Northern California Coastal Dune-Beach Ecosystem with Emphasis on Cakile maritima. Ph.D. Thesis, University of California, Davis, CA, USA, 1980. [Google Scholar]
- Van Egmond, E.M.; van Bodegom, P.M.; van Hal, J.R.; van Logtestijn, R.; Broekman, R.A.; Berg, M.P.; Aerts, R. Growth of pioneer beach plants is strongly driven by buried macroalgal wrack, whereas macroinvertebrates affect plant nutrient dynamics. J. Exp. Mar. Biol. Ecol. 2019, 514–515, 87–94. [Google Scholar] [CrossRef]
- Glueck, D. Comparison of high turbidity events: Sand nourishments and storm events on sandy beaches at the Baltic Sea, Germany. Mar. Pollut. Bull. 2023, 194 Pt A, 115389. [Google Scholar] [CrossRef]
- Van Wijnen, H.J.; Bakker, J.P. Nitrogen and phosphorus limitation in a coastal barrier salt marsh: The implications for vegetation succession. J. Ecol. 1999, 87, 265–272. [Google Scholar] [CrossRef]
- Van der Putten, W.H. Establishment of Ammophila arenaria (Marram Grass) from Culms, Seeds and Rhizomes. Br. Ecol. Soc. 1990, 27, 188–199. [Google Scholar]
- Del Vecchio, S.; Marbà, N.; Acosta, A.; Vignolo, C.; Traveset, A. Effects of Posidonia oceanica beach-cast on germination, growth and nutrient uptake of coastal dune plants. PLoS ONE 2013, 8, e70607. [Google Scholar] [CrossRef] [PubMed]
- Walmsley, C.A.; Davy, A.J. The restoration of coastal shingle vegetation: Effects of substrate composition on the establishment of container-grown plants. J. Appl. Ecol. 1997, 34, 154–165. [Google Scholar] [CrossRef]
- Houle, G. Plant response to heterospecific neighbor removal and nutrient addition in a subarctic coastal dune system (northern Québec, Canada). Ecoscience 1998, 5, 526–533. [Google Scholar] [CrossRef]
- Clark, M.J.; Zheng, Y. Evaluating Fertilizer Influence on Overwintering Survival and Growth of Sedum Species in a Fall-installed Green Roof. HortScience 2012, 47, 1775–1781. [Google Scholar] [CrossRef]
- Houle, G. No evidence for interspecific interactions between plants in the first stage of succession on coastal dunes in subarctic Quebec, Canada. Can. J. Bot. 1997, 75, 902–915. [Google Scholar] [CrossRef]
- Kay, Q.O.N. Tripleurospermum inodorum (L.) Schultz Bip. J. Ecol. 1994, 82, 681–697. [Google Scholar]
- Van der Heijden, E.W.; Vosatka, M. Mycorrhizal associations of Salix repens L. communities in succession of dune ecosystems. II. Mycorrhizal dynamics and interactions of ectomycorrhizal and arbuscular mycorrhizal fungi. Can. J. Bot. 2000, 77, 1833–1841. [Google Scholar] [CrossRef]
- Sýkora, K.; van den Bogert, J.C.; Berendse, F. Changes in soil and vegetation during dune slack succession. J. Veg. Sci. 2004, 15, 209–218. [Google Scholar] [CrossRef]
- Andresen, L.C.; Michelsen, A. Off-season uptake of nitrogen in temperate heath vegetation. Oecologia 2005, 144, 585–597. [Google Scholar] [CrossRef]
- Lu, Q.; Bunn, R.; Whitney, E.; Feng, Y.; DeVetter, L.W.; Tao, H. Arbuscular mycorrhizae influence raspberry growth and soil fertility under conventional and organic fertilization. Front. Microbiol. 2023, 14, 1083319. [Google Scholar] [CrossRef] [PubMed]
- Dalton, D.A.; Kramer, S.; Azios, N.; Fusaro, S.; Cahill, E.; Kennedy, C. Endophytic nitrogen fixation in dune grasses (Ammophila arenaria and Elymus mollis) from Oregon. FEMS Microbiol. Ecol. 2004, 49, 469–479. [Google Scholar] [CrossRef] [PubMed]
- Houle, G. Interactions between resources and abiotic conditions control plant performance on subarctic coastal dunes. Am. J. Bot. 1997, 84, 29–37. [Google Scholar] [CrossRef]
- Valéry, L.; Radureau, A.; Lefeuvre, J.-C. Spread of the native grass Elymus athericus in salt marshes of Mont-Saint-Michel bay as an unusual case of coastal eutrophication. J. Coast. Conserv. 2017, 21, 421–433. [Google Scholar] [CrossRef]
- Woch, M.W.; Kapusta, P.; Stanek, M.; Możdżeń, K.; Grześ, I.M.; Rożej-Pabijan, E.; Stefanowicz, A.M. Effects of invasive Rosa rugosa on Baltic coastal dune communities depend on dune age. NeoBiota 2023, 82, 163–187. [Google Scholar] [CrossRef]
- Weigelt, A.; Steinlein, T.; Beyschlag, W. Competition among three dune species: The impact of water availability on below-ground processes. Plant Ecol. 2005, 176, 57–68. [Google Scholar] [CrossRef]
- Bartelheimer, M.; Steinlein, T.; Beyschlag, W. Aggregative Root Placement: A Feature During Interspecific Competition in Inland Sand-Dune Habitats. Plant Soil 2006, 280, 104–114. [Google Scholar] [CrossRef]
- Parnell, J.A.N. Biological flora of the British Isles—Jasione montana L. J. Ecol. 1985, 73, 341–358. [Google Scholar] [CrossRef]
- Van den Berg, L.J.L.; Tomassen, H.B.M.; Roelofs, J.G.M.; Bobbink, R. Effects of nitrogen enrichment on coastal dune grassland: A mesocosm study. Environ. Pollut. 2005, 138, 77–85. [Google Scholar] [CrossRef]
- Christensen, J.; Lauridsen, U.B.; Andreasen, C.; Lütken, H. Influence of Temperature, Low Nutrient Supply, and Soil Composition on Germination and the Growth of Sea Kale (Crambe maritima L.). HortScience 2015, 50, 363–368. [Google Scholar]
- Bonis, A.; Grubb, P.J.; Coomes, D.A. Requirements of gap-demanding species in chalk grassland: Reduction of root competition versus nutrient-enrichment by animals. J. Ecol. 1997, 85, 625–633. [Google Scholar] [CrossRef]
- Luzuriaga, A.L.; Escudero, A. What determines emergence and net recruitment in an early succession plant community? Disentangling biotic and abiotic effects. J. Veg. Sci. 2008, 19, 445–456. [Google Scholar] [CrossRef]
- Isermann, M.; Rooney, P. Biological Flora of the British Isles: Eryngium maritimum. J. Ecol. 2014, 102, 789–821. [Google Scholar] [CrossRef]
- Grubb, P.J. Interactions of Irridiance and Soil Nutrient Supply on Growth of Seedlings of Ten European Tall-Shrub Species and Fagus sylvatica. J. Ecol. 1996, 84, 827–840. [Google Scholar] [CrossRef]
- Hofstra, J.; Zijlstra, O.G. Taraxacum frisicum Soest (syn. Taraxacum apiculatum Soest) op het vasteland van Friesland. Gorteria—Dutch Bot. Arch. 2023, 45, 64–80. [Google Scholar]
- Noble, J.C.; Marshall, C. The Population Biology of Plants with Clonar Growth: II. The Nutrient Strategy and Modular Physiology of Carex arenaria. J. Ecol. 1983, 71–73, 856–877. [Google Scholar]
- Mantilla-Contreras, J.; Schirmel, J.; Zerbe, S. Influence of soil and microclimate on species composition and grass encroachment in heath succession. J. Plant Ecol. 2012, 5, 249–259. [Google Scholar] [CrossRef]
- D’Hertefeldt, T.; Falkengren-Grerup, U.; Jónsdóttir, I.S. Responses to mineral nutrient availability and heterogeneity in physiologically integrated sedges from contrasting habitats. Plant Biol. (Stuttg.) 2011, 13, 483–492. [Google Scholar] [CrossRef]
- Stefansdottir, G.; Aradottir, A.L.; Sigurdsson, B.D. Accumulation of nitrogen and organic matter during primary succession of Leymus arenarius dunes on the volcanic island Surtsey, Iceland. Biogeosciences 2014, 11, 5763–5771. [Google Scholar] [CrossRef]
- Greipsson, S.; Davy, A.J. Responses of Leymus arenarius to nutrients: Improvement of seed production and seedling establishment for land reclamation. J. Appl. Ecol. 1997, 34, 1165–1176. [Google Scholar] [CrossRef]
- Isermann, M.; Diekmann, M.; Heemann, S. Effects of the expansion by Hippophaë rhamnoides on plant species richness in coastal dunes. Appl. Veg. Sci. 2007, 10, 33–42. [Google Scholar] [CrossRef]
- Meinunger, L.; Schröder, W. Verbreitungsatlas der Moose Deutschlands; Regensburgische Botanische Gesellschaft von 1790 e.V: Regensburg, Germany, 2007. [Google Scholar]
- Kammann, S.; Schiefelbein, U.; Dolnik, C.; Mikhailyuk, T.; Demchenko, E.; Karsten, U.; Glaser, K. Successional Development of the Phototrophic Community in Biological Soil Crusts on Coastal and Inland Dunes. Biology 2022, 12, 58. [Google Scholar] [CrossRef]
- Van Mierlo, J.E.; Wilms, Y.J.; Berendse, F. Effects of soil organic matter and nitrogen supply on competition between Festuca ovina and Deschampsia flexuosa during inland dune succession. Plant Ecol. 2000, 148, 51–59. [Google Scholar] [CrossRef]
- Vestergaard, P. Temporal development of vegetation and geomorphology in a man-made beach-dune system by natural processes. Nord. J. Bot. 2004, 24, 309–326. [Google Scholar] [CrossRef]
- Abbott, R.J. Edaphic ecotypic divergence in Senecio vulgaris and the evolutionary potential of predominantly self-fertilising species. Plant Ecol. Divers. 2023, 16, 29–44. [Google Scholar] [CrossRef]
- Jones, M.L.M.; Wallace, H.L.; Norris, D.; Brittain, S.A.; Haria, S.; Jones, R.E.; Rhind, P.M.; Reynolds, B.R.; Emmett, B.A. Changes in vegetation and soil characteristics in coastal sand dunes along a gradient of atmospheric nitrogen deposition. Plant Biol. 2004, 6, 598–605. [Google Scholar] [CrossRef]
- Álvarez-Rogel, J.; Martínez-Sánchez, J.J.; Blázquez, L.C.; Semitiel, C.M.M. A conceptual model of salt marsh plant distribution in coastal dunes of southeastern Spain. Wetlands 2006, 26, 703–717. [Google Scholar] [CrossRef]
- Tilk, M.; Tullus, T.; Ots, K. Effects of environmental factors on the species richness, composition and community horizontal structure of vascular plants in Scots pine forests on fixed sand dunes. Silva Fenn. 2017, 51, 6986. [Google Scholar] [CrossRef]
- Neuhaus, R. Mobile dunes and eroding salt marshes. Helgol. Meeresunters 1994, 48, 343–358. [Google Scholar] [CrossRef]
- Plue, J.; Cousins, S.A.O.; de Pauw, K.; Diekmann, M.; Hagenblad, J.; Helsen, K.; Hermy, M.; Liira, J.; Orczewska, A.; Vanneste, T.; et al. Biological Flora of the British Isles: Poa nemoralis. J. Ecol. 2020, 108, 1750–1774. [Google Scholar] [CrossRef]
- Hartley, S.E.; Amos, L. Competitive interactions between Nardus stricta L. and Calluna vulgaris (L.) Hull: The effect of fertilizer and defoliation on above- and below-ground performance. J. Ecol. 1999, 87, 330–340. [Google Scholar]
- Arrieta, S.; Suárez, F. Spatial dynamics of Ilex aquifolium populations seed dispersal and seed bank: Understanding the first steps of regeneration. Plant Ecol. 2005, 177, 237–248. [Google Scholar] [CrossRef]
- Muhamed, H.; Lingua, E.; Maalouf, J.-P.; Michalet, R. Shrub-oak seedling spatial associations change in response to the functional composition of neighbouring shrubs in coastal dune forest communities. Ann. For. Sci. 2015, 72, 231–241. [Google Scholar] [CrossRef]
- Austad, I.; Losvik, M.H. Changes in species composition following field and tree layer restoration and management in a wooded hay meadow. Nord. J. Bot. 1998, 18, 641–662. [Google Scholar] [CrossRef]
- Koprowski, M.; Winchester, V.; Zielski, A. Tree reactions and dune movements: Slowinski National Park, Poland. Catena 2010, 81, 55–65. [Google Scholar] [CrossRef]
- Griffith, A.B.; Ahmed, T.; Hildner, A.L.G.; Kuckreja, S.; Long, S. Constraints on coastal dune invasion for a notorious plant invader. AoB Plants 2015, 7, 126. [Google Scholar] [CrossRef]
- Lankinen, Å. Root competition influences pollen competitive ability in Viola tricolor effects of presence of a competitor beyond resource availability? J. Ecol. 2008, 96, 756–765. [Google Scholar] [CrossRef]
- Kammann, S.; Leinweber, P.; Glaser, K.; Schiefelbein, U.; Dolnik, C.; Mikhailyuk, T.; Demchenko, E.; Heilmann, E.; Karsten, U. Successional development of the phototrophic community in biological soil crusts, along with soil formation on Holocene deposits at the Baltic Sea coast. Front. Ecol. Evol. 2024, 11, 1266209. [Google Scholar] [CrossRef]
- Sparrius, L.B.; Kooijman, A.M.; Sevink, J. Response of inland dune vegetation to increased nitrogen and phosphorus levels. Appl. Veg. Sci. 2013, 16, 40–50. [Google Scholar] [CrossRef]
- Johnsen, I.; Christensen, S.N.; Riis-Nielsen, T. Nitrogen limitation in the coastal heath at Anholt, Denmark. J. Coast. Conserv. 2014, 18, 369–382. [Google Scholar] [CrossRef]
- Acosta, A.; Carranza, M.L.; Izzi, C.F. Are there habitats that contribute best to plant species diversity in coastal dunes? Biodivers. Conserv. 2009, 18, 1087–1098. [Google Scholar] [CrossRef]
- Ciccarelli, D.; Bacaro, G. Quantifying plant species diversity in coastal dunes: A piece of help from spatially constrained rarefaction. Folia Geobot. 2016, 51, 129–141. [Google Scholar] [CrossRef]
- Osswald, F.; Dolch, T.; Reise, K. Remobilizing stabilized island dunes for keeping up with sea level rise? J. Coast. Conserv. 2019, 23, 675–687. [Google Scholar] [CrossRef]
- Hertling, U.M.; Lubke, R.A. Use of Ammophila arenaria for Dune Stabilization in South Africa and Its Current Distribution—Perceptions and Problems. Environ. Manag. 1999, 24, 467–482. [Google Scholar] [CrossRef]
- Honrado, J.; Vicente, J.; Lomba, A.; Alves, P.; Macedo, J.A.; Henriques, R.; Granja, H.; Caldas, F.B. Fine-scale patterns of vegetation assembly in the monitoring of changes in coastal sand-dune landscapes. Web Ecol. 2010, 10, 1–14. [Google Scholar] [CrossRef]
- Richards, E.G.; Burningham, H. Hippophae rhamnoides on a coastal dune system: A thorny issue? J. Coast. Conserv. 2011, 15, 73–85. [Google Scholar] [CrossRef]
- Kuiters, A.T.; Kramer, K.; van der Hagen, H.G.J.M.; Schaminée, J.H.J. Plant diversity, species turnover and shifts in functional traits in coastal dune vegetation: Results from permanent plots over a 52-year period. J. Veg. Sci. 2009, 20, 1053–1063. [Google Scholar] [CrossRef]
- Arens, S.M. Aeolian Processes in the Dutch Foredunes. Ph.D. Thesis, University of Amsterdam, Amsterdam, The Netherlands, 1994. [Google Scholar]
- Santoro, R.; Carboni, M.; Carranza, M.L.; Acosta, A.T. Focal species diversity patterns can provide diagnostic information on plant invasions. J. Nat. Conserv. 2012, 20, 85–91. [Google Scholar] [CrossRef]
- Hoonhout, B.; de Vries, S. Field measurements on spatial variations in aeolian sediment availability at the Sand Motor mega nourishment. Aeolian Res. 2017, 24, 93–104. [Google Scholar] [CrossRef]
- Maun, M.A. Adaptations of plants to burial in coastal sand dunes. Can. J. Bot. 1998, 76, 713–738. [Google Scholar]
- Levin, N.; Kidron, G.J.; Ben-Dor, E. A field quantification of coastal dune perennial plants as indicators of surface stability, erosion or deposition. Sedimentology 2008, 55, 751–772. [Google Scholar] [CrossRef]
- de Schipper, M.A.; Ludka, B.C.; Raubenheimer, B.; Luijendijk, A.P.; Schlacher, T.A. Beach nourishment has complex implications for the future of sandy shores. Nat. Rev. Earth Environ. 2021, 2, 70–84. [Google Scholar] [CrossRef]
- Staudt, F.; Gijsman, R.; Ganal, C.; Mielck, F.; Wolbring, J.; Hass, H.C.; Goseberg, N.; Schüttrumpf, H.; Schlurmann, T.; Schimmels, S. The sustainability of beach nourishments: A review of nourishment and environmental monitoring practice. J. Coast. Conserv. 2021, 25, 34. [Google Scholar] [CrossRef]





| Date | Sediment Samplings: |
|---|---|
| 7 April 2021 | Graal Mueritz |
| 21 July 2021 (before the nourishment) | Ahrenshoop |
| 14 March 2022 (one month after the nourishment) | Ahrenshoop |
| 19 May 2022 (3 months after the nourishment) | Ahrenshoop |
| 11 August 2022 (6 months after the nourishment) | Ahrenshoop |
| 25 May 2022 (more than one year after the nourishment) | Ahrenshoop |
| Date | Botanical Mappings: |
| 22 July 2021 | Graal Mueritz (incl. lichen) |
| 16 August 2021 (before the nourishment) | Ahrenshoop (incl. lichen) |
| 2 July 2021 (the year after the nourishment) | Ahrenshoop |
| 11 July 2023 (two years after the nourishment) | Ahrenshoop |
| Frequency | Degree of Presence after Braun-Blanquet [26] | Transformed Cover Grade after Ellenberg [21]/% |
|---|---|---|
| Very seldom | r (=1 ind.) | 0.1 |
| + (=2–5 ind.) | 0.2 | |
| Seldom | 1 (<5% cover, but <50 ind.) | 2.5 |
| 2m (<5% cover, but >50 ind.) | 5 | |
| Common | 2a (=5–15% cover) | 10 |
| 2b (=16–25% cover) | 20 | |
| Frequent | 3 (=26–50% cover) | 37.5 |
| Mass | 4 (=51–75% cover) | 62.5 |
| 5 (>75% cover) | 87.5 |
| (a) | Ahrenshoop | Graal Mueritz | |||||||||||||
|---|---|---|---|---|---|---|---|---|---|---|---|---|---|---|---|
| Before | 6 Months | 18 Months | Groynes | Control | |||||||||||
| Higher Plant Species and Mosses: | P | W | G | P | W | G | P | W | G | P | W | G | P | W | G |
| Acer pseudoplatanus (L.) | |||||||||||||||
| Ammophila arenaria (L.) LINK | |||||||||||||||
| Anthriscus sylvestris (L.) HOFFM. | |||||||||||||||
| Artemisia maritima L. | |||||||||||||||
| Atriplex littoralis (L.) | |||||||||||||||
| Brachythecium albicans (HEDW.) SCHIMP. | |||||||||||||||
| Bromus erectus HUDS. | |||||||||||||||
| Bromus hordeaceus L. | |||||||||||||||
| Cakile maritima SCOP. | |||||||||||||||
| Carex arenaria (L.) | |||||||||||||||
| Cerastium holosteoides FR. | |||||||||||||||
| Ceratodon pupureus (HEDW.) BRID. | |||||||||||||||
| Corynephorus canescens (L.) P.BEAUV | |||||||||||||||
| Crambe maritima L. | |||||||||||||||
| Dicranum scoparium HEDW. | |||||||||||||||
| Elaeagnus sp. L. | |||||||||||||||
| Elymus athericus (Link) KERGUÉLEN | |||||||||||||||
| Eryngium maritimum L. | |||||||||||||||
| Festuca pratensis HUDS. | |||||||||||||||
| Galium aparine L. | |||||||||||||||
| Galium mollugo L. | |||||||||||||||
| Hieracium umbellatum L. | |||||||||||||||
| Hippophae rhamnoides L. | |||||||||||||||
| Honckenya peploides (L.) EHRH. | |||||||||||||||
| Hypochaeris radicata L. | |||||||||||||||
| Ilex aquifolium L. | |||||||||||||||
| Jasione montana (L.) | |||||||||||||||
| Juncus tenuis WILLD. | |||||||||||||||
| Leymus arenarius (L.) HOCHST. | |||||||||||||||
| Lathyrus japonicus subsp. maritimus (L.) P.W.BALL | |||||||||||||||
| Melampyrum pratense L. | |||||||||||||||
| Nardus stricta L. | |||||||||||||||
| Pinus sylvestris L. | |||||||||||||||
| Poa nemoralis L. | |||||||||||||||
| Populus tremula L. | |||||||||||||||
| Pucinellia distans (JACQ.) PARL. | |||||||||||||||
| Quercus robur L. | |||||||||||||||
| Rosa canina L. | |||||||||||||||
| Rosa rugosa THUNB. | |||||||||||||||
| Rubus sp. L. | |||||||||||||||
| Salix caprea L. | |||||||||||||||
| Salix repens L. | |||||||||||||||
| Sedum acre L. | |||||||||||||||
| Senecio vulgaris L. | |||||||||||||||
| Sonchus arvensis L. | |||||||||||||||
| Spergularia marina (L.) | |||||||||||||||
| Taraxacum sp. F.H.WIGG | |||||||||||||||
| Tripleurospermum maritimum (L.) | |||||||||||||||
| Viola tricolor L. | |||||||||||||||
| (b) | Ahrenshoop | Graal Mueritz | |||||||||||||
| Before | 6 Months | 18 Months | Groynes | Control | |||||||||||
| Lichen and Lichenicolous Fungi: | P | W | G | P | W | G | P | W | G | P | W | G | P | W | G |
| Amandinea punctata (Hoffm.) COPPINS & SCHEID. | l | A | |||||||||||||
| Cladonia chloropaea (Sommerf.) SPRENG. | s | ||||||||||||||
| Cladonia fimbriata (L.) FR. | s | s | |||||||||||||
| Cladonia furcata (Huds.) SCHRAD. | s | ||||||||||||||
| Cladonia gracilis (L.) WILLD. | s | ||||||||||||||
| Cladonia portentosa (Dufour) COEM. | s | ||||||||||||||
| Cladonia rei SCHAER. | s | s | |||||||||||||
| Cladonia scabriuscula (Delise) NYL. | s | ||||||||||||||
| Cliostomum griffithii (Sm.) COPPINS | A | l | |||||||||||||
| * Corticifraga fuckelii (Rehm) D.HAWKS. & R.SANT. | P | ||||||||||||||
| Evermia prunastri (L.) ACH. | s | ||||||||||||||
| Hypogymnia physodes (L.) NYL. | l, s | ||||||||||||||
| Lecania cyrtella (Ach.) TH.FR. | l | l | A | A, l | |||||||||||
| Lecanora chlarotera NYL. | l | ||||||||||||||
| Lecidella elaeochroma (Ach.) M.CHOISY | A, l | l | A | ||||||||||||
| Parmelia sulcata TAYLOR | l, m | ||||||||||||||
| Peltigera canina (L.) WILLD. | s | ||||||||||||||
| Peltigera didactyla (With.) J.R.LAUNDON | s | ||||||||||||||
| Peltigera rufescens (Weiss) HUMB. | s | s | |||||||||||||
| * Phoma peltigerae (P.Karst) D.HAWKSW. | P | ||||||||||||||
| Physcia adscendens H.OLIVIER | l | l | A, l | l | |||||||||||
| Physcia tenella (Scop.) DC. | l, R | R | R | A, l | l | A, l | l | ||||||||
| Polyozosia persimilis (Th.Fr.) S.Y.KONDR, LÕKÖS & FARKAS | l | l | A, l | l | A, l | l | |||||||||
| Xanthoria parietina (L.) TH.FR. | l | l | l | A, l | l | A, l | l | ||||||||
| * Xanthoriicola physciae (Kalchbr.) D.HAWKSW. | X | X | |||||||||||||
Disclaimer/Publisher’s Note: The statements, opinions and data contained in all publications are solely those of the individual author(s) and contributor(s) and not of MDPI and/or the editor(s). MDPI and/or the editor(s) disclaim responsibility for any injury to people or property resulting from any ideas, methods, instructions or products referred to in the content. |
© 2024 by the authors. Licensee MDPI, Basel, Switzerland. This article is an open access article distributed under the terms and conditions of the Creative Commons Attribution (CC BY) license (https://creativecommons.org/licenses/by/4.0/).
Share and Cite
Glueck, D.; Schiefelbein, U.; Schubert, H. Ecological Impacts of Coastal Protection on the Vegetation of Sandy Coasts at the German Baltic Sea Coast. Coasts 2024, 4, 437-453. https://doi.org/10.3390/coasts4020022
Glueck D, Schiefelbein U, Schubert H. Ecological Impacts of Coastal Protection on the Vegetation of Sandy Coasts at the German Baltic Sea Coast. Coasts. 2024; 4(2):437-453. https://doi.org/10.3390/coasts4020022
Chicago/Turabian StyleGlueck, Daniela, Ulf Schiefelbein, and Hendrik Schubert. 2024. "Ecological Impacts of Coastal Protection on the Vegetation of Sandy Coasts at the German Baltic Sea Coast" Coasts 4, no. 2: 437-453. https://doi.org/10.3390/coasts4020022
APA StyleGlueck, D., Schiefelbein, U., & Schubert, H. (2024). Ecological Impacts of Coastal Protection on the Vegetation of Sandy Coasts at the German Baltic Sea Coast. Coasts, 4(2), 437-453. https://doi.org/10.3390/coasts4020022

