Next Issue
Volume 6, March
Previous Issue
Volume 5, September
 
 

AppliedChem, Volume 5, Issue 4 (December 2025) – 17 articles

  • Issues are regarded as officially published after their release is announced to the table of contents alert mailing list.
  • You may sign up for e-mail alerts to receive table of contents of newly released issues.
  • PDF is the official format for papers published in both, html and pdf forms. To view the papers in pdf format, click on the "PDF Full-text" link, and use the free Adobe Reader to open them.
Order results
Result details
Select all
Export citation of selected articles as:
14 pages, 1977 KB  
Article
Spectroscopic Investigations of Diethanolamine-Modified Nucleic Acids
by Tabea Lenz and Marian Hebenbrock
AppliedChem 2025, 5(4), 40; https://doi.org/10.3390/appliedchem5040040 - 15 Dec 2025
Viewed by 66
Abstract
To develop a modifier based on diethanolamine, a corresponding phosphoramidite for automated solid-phase deoxyribonucleic acid synthesis was synthesized. The influence of this modifier on the thermal stability of the terminally modified nucleic acids showed a dependence on the neighboring nucleobases and could be [...] Read more.
To develop a modifier based on diethanolamine, a corresponding phosphoramidite for automated solid-phase deoxyribonucleic acid synthesis was synthesized. The influence of this modifier on the thermal stability of the terminally modified nucleic acids showed a dependence on the neighboring nucleobases and could be attributed to the fraying of the DNA ends. The potential for modification with dioxazaborocanes was first investigated using a small molecule model, and the formation of the dioxazaborocane was confirmed both in solution and in the solid state. Such a modification could expand the scope of xenonucleic acids in the future and modulate the properties of nucleic acids in solution. The influence on the thermal stability of the modified nucleic acids was minimal. In the future, this modification will be extended to internal incorporation and the potential of dioxazaborocanes in the nucleic acid context will be further exploited. Full article
Show Figures

Figure 1

20 pages, 1204 KB  
Review
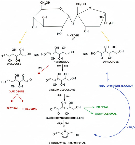
Plant Extracts as Natural Inhibitors of Non-Enzymatic Browning: A Case of Fruits and Fruit-Based Products
by Lusani Norah Vhangani and Jessy Van Wyk
AppliedChem 2025, 5(4), 39; https://doi.org/10.3390/appliedchem5040039 - 11 Dec 2025
Viewed by 175
Abstract
Heat processing in fruit and fruit-based food products is aimed at producing nutritious, shelf-stable, and consumer- appealing food products. However, the processing and prolonged storage conditions employed favour non-enzymatic browning (NEB) reactions. Recent research is aimed at finding natural products to inhibit deleterious [...] Read more.
Heat processing in fruit and fruit-based food products is aimed at producing nutritious, shelf-stable, and consumer- appealing food products. However, the processing and prolonged storage conditions employed favour non-enzymatic browning (NEB) reactions. Recent research is aimed at finding natural products to inhibit deleterious food reactions, with NEB being one of them. This review discusses the role of plant extracts in inhibiting NEB reactions during the processing and storage of fruit and fruit-based products. The review follows a traditional narrative approach, where approximately 100 articles were reviewed by summarising the role of vegetables, fruits, and fruit-based products in the diet, followed by the chemical reactions taking place during processing and storage, with emphasis on the pathways of three types of NEB reactions. We evaluate the prevention of NEB reactions using plant and plant extracts with a focus on the inhibitory mechanisms, as well as limitations, thereof. Encapsulation was also discussed as a possible intervention for the limitations posed by plant extracts. Full article
(This article belongs to the Special Issue Women’s Special Issue Series: AppliedChem)
Show Figures

Graphical abstract

16 pages, 2097 KB  
Article
Copper Recovery from a Refractory Sulfide Mineral by Ferric Leaching and Regeneration of the Leaching Medium Through Catalytic Oxidation with Carbon for Recirculation
by Verónica Cascante-Alvarado, Ernesto de la Torre and Carlos F. Aragón-Tobar
AppliedChem 2025, 5(4), 38; https://doi.org/10.3390/appliedchem5040038 - 2 Dec 2025
Viewed by 251
Abstract
Optimizing copper recovery from sulfide minerals such as chalcopyrite, which constitutes over 70% of global copper reserves, is essential due to the depletion of conventional copper oxide resources. This study aimed to establish optimal ferric leaching conditions for a chalcopyrite-rich concentrate to maximize [...] Read more.
Optimizing copper recovery from sulfide minerals such as chalcopyrite, which constitutes over 70% of global copper reserves, is essential due to the depletion of conventional copper oxide resources. This study aimed to establish optimal ferric leaching conditions for a chalcopyrite-rich concentrate to maximize copper recovery and to evaluate the regeneration of the oxidizing potential in the residual leaching solution for reuse. Ferric sulfate (Fe2(SO4)3), as a ferric ion (Fe3+) carrier, was used as oxidizing agents at a concentration of [0.1 M] in sulfuric acid ([0.5 M] H2SO4), using a CuFeS2 concentrate (75% chalcopyrite) leached over 80 h. Copper was recovered through cementation with metallic iron, while the residual leaching solution, containing ferrous ions, was analyzed to determine total iron content via atomic absorption spectroscopy and to assess the presence of ferrous ions through KMnO4 titration. This step was crucial, as an excess of ferrous ions would indicate a loss of oxidizing potential of the ferric ion (Fe3+). Catalytic oxidation was conducted with microporous activated carbon (30 g/L) to regenerate Fe3+ for a second leaching cycle, achieving 90.7% Fe2+ oxidation. Optimal leaching conditions resulted in 95% soluble copper recovery at 1% solids, d80: 74 μm, pH < 2, Eh > 450 mV, 92 °C, [0.5 M] H2SO4, and [0.1 M] Fe2(SO4)3. In the second cycle, the regenerated solution reached 75% copper recovery. These findings highlight temperature as a critical factor for copper recovery and demonstrate catalytic oxidation as a viable method for regenerating ferric solutions in industrial applications. Full article
Show Figures

Figure 1

15 pages, 1981 KB  
Article
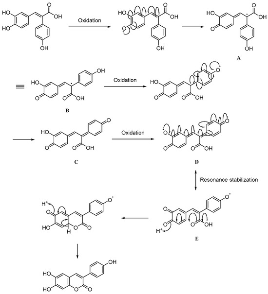
Design and Synthesis of Ferulic Acid Derivatives with Enhanced Antioxidant and Neuroprotective Activities: Discovery of Dual Antioxidant Agent
by Koichi Shikama, Jun Takayama, Meiyan Xuan, Hirokazu Matsuzaki, Bo Yuan, Hiroyuki Teramae, Mari Okazaki and Takeshi Sakamoto
AppliedChem 2025, 5(4), 37; https://doi.org/10.3390/appliedchem5040037 - 1 Dec 2025
Viewed by 229
Abstract
Ferulic acid (FA) is well known for its antioxidant properties and neuroprotective effects. To enhance these biological activities, we designed a novel series of FA derivatives by introducing a phenyl group at the α-position of the carboxyl moiety. Further structural modifications were achieved [...] Read more.
Ferulic acid (FA) is well known for its antioxidant properties and neuroprotective effects. To enhance these biological activities, we designed a novel series of FA derivatives by introducing a phenyl group at the α-position of the carboxyl moiety. Further structural modifications were achieved by incorporating hydroxy or alkoxy substituents at various positions on the two aromatic rings. A series of these derivatives were synthesized and evaluated for their antioxidant capacity using the DPPH radical scavenging assay, as well as their cytoprotective effects against oxidative stress in Neuro-2a cells. Among the synthesized compounds, one derivative exhibited significantly enhanced activity in both assays. Mechanistic studies indicated that this heightened efficacy is attributable to a unique reaction pathway involving dual antioxidant mechanisms. Full article
Show Figures

Figure 1

15 pages, 1430 KB  
Article
Advances in Paper Spray Mass Spectrometry (PS-MS) for On-Site Harm Reduction Drug Checking and Illicit Supply Surveillance
by Taelor M. Zarkovic, Lucas R. Abruzzi, Collin Kielty, Bruce Wallace, Dennis K. Hore and Chris G. Gill
AppliedChem 2025, 5(4), 36; https://doi.org/10.3390/appliedchem5040036 - 1 Dec 2025
Viewed by 226
Abstract
Harm reduction drug checking utilizing paper spray mass spectrometry (PS-MS) has been the focus of ongoing research since 2017 and has seen many refinements. The presented work is the result of this research and has led to the public-facing PS-MS use for on-site [...] Read more.
Harm reduction drug checking utilizing paper spray mass spectrometry (PS-MS) has been the focus of ongoing research since 2017 and has seen many refinements. The presented work is the result of this research and has led to the public-facing PS-MS use for on-site drug checking in Victoria, BC. Included are the improved methods and approaches required to develop and implement PS-MS as an on-site drug checking technology. Critical details regarding appropriate direct mass spectrometry tune and calibration suites required to avoid isobaric interferences, calibration details, quality control strategies, detailed MS scan approaches to implement rapid drug tests, as well as future work considerations are presented. The PS-MS method presented currently directly quantifies 107 targeted drugs in a two-minute measurement, and can be easily adapted to include additional new targets that appear in the unregulated drug supply that are detected by either low or high resolution PS-MS. The presented methodologies provide a framework to assist those interested in implementing PS-MS to reduce harms from the toxic drug supply, but will have value for those developing rapid, quantitative drug testing for other applications. Full article
(This article belongs to the Special Issue Feature Papers in AppliedChem, 2nd Edition)
Show Figures

Figure 1

49 pages, 4856 KB  
Review
Preanalytical Strategies for Native Mass Spectrometry Analysis of Protein Modifications, Complexes, and Higher-Order Structures
by Navid J. Ayon
AppliedChem 2025, 5(4), 35; https://doi.org/10.3390/appliedchem5040035 - 18 Nov 2025
Viewed by 974
Abstract
Proteins are essential biological macromolecules that play key regulatory roles in all biological processes. Abnormalities in these processes are often reflected in proteins, manifesting as changes in their structure, sequence, folding state, stoichiometry, or spatial and temporal distribution. Proteins serve as biological targets [...] Read more.
Proteins are essential biological macromolecules that play key regulatory roles in all biological processes. Abnormalities in these processes are often reflected in proteins, manifesting as changes in their structure, sequence, folding state, stoichiometry, or spatial and temporal distribution. Proteins serve as biological targets for drugs and other therapeutics and can also function as therapeutic agents to restore normal biological functions by treating diseases. Hence, it is essential to study native protein species, their modifications, higher-order structures, and complexes, which can be extremely difficult due to the challenges in preserving their native conditions and the instrumental capability required for such analysis. High-resolution mass spectrometry (HRMS) instruments provide advanced technical capabilities to study intact protein species from their gas phase ions after the protein solution is sprayed into the mass spectrometers. However, there are debates about the gas-phase protein structures obtained through mass spectrometry and the resemblance to their biological native state. This review discusses various techniques for isolating, separating, and enriching intact protein species for their native mass spectrometry (nMS) analysis. Emerging technologies, such as automated sample preparation, ion mobility spectrometry, and ambient surface mass spectrometry, are briefly discussed. This review aims to serve as a general guideline for beginners, primarily focusing on the preanalytical strategies and critical instrument parameters for nMS analysis of intact proteins, proteoforms, protein complexes, and higher-order structures. Full article
Show Figures

Figure 1

16 pages, 1045 KB  
Article
Exploring the Potential of Cupriavidus metallidurans and Ochrobactrum anthropi for 241Am Bioaccumulation in Aqueous Solution
by Leandro Goulart de Araujo, Tania Regina de Borba, Rafael Luan Sehn Canevesi, Sabine Neusatz Guilhen, Edson Antonio da Silva and Júlio Takehiro Marumo
AppliedChem 2025, 5(4), 34; https://doi.org/10.3390/appliedchem5040034 - 11 Nov 2025
Viewed by 493
Abstract
This study explores, for the first time, the bioaccumulation of americium-241 (241Am) by Cupriavidus metallidurans and Ochrobactrum anthropi, two bacterial strains previously investigated mainly for their interactions with other heavy metals and radionuclides. To the best of our knowledge, no [...] Read more.
This study explores, for the first time, the bioaccumulation of americium-241 (241Am) by Cupriavidus metallidurans and Ochrobactrum anthropi, two bacterial strains previously investigated mainly for their interactions with other heavy metals and radionuclides. To the best of our knowledge, no prior studies have reported the use of these microorganisms for 241Am removal from aqueous solutions. The effects of initial 241Am concentration and solution pH on removal performance were evaluated through batch experiments. Kinetic analyses were performed using pseudo-first-order (PFO) and pseudo-second-order (PSO) models, with the PSO model providing a better fit, suggesting chemisorption as the rate-limiting step in the process. Initial 241Am concentrations ranged from 75 to 300 Bq mL−1, and both bacterial strains demonstrated comparable maximum bioaccumulation capacities of approximately 1.5 × 10−8 mmol g−1. However, O. anthropi exhibited superior resistance to 241Am, maintaining colony growth at activity levels up to 1200 Bq mL−1, compared to a threshold of 400 Bq mL−1 for C. metallidurans. These findings highlight the robustness and efficiency of these bacterial strains—particularly O. anthropic—in removing 241Am from liquid radioactive waste, offering promising implications for bioremediation technologies. Full article
Show Figures

Graphical abstract

19 pages, 3880 KB  
Article
Processing Water-Based Lithium Iron Phosphate (LiFePO4) Cathodes with CMC Binder: The Impact of Dispersing Methods
by Leah Jalowy, Henry Lehmann, Patrick Rassek, Olga Fromm, Marc Entenmann and Dominik Nemec
AppliedChem 2025, 5(4), 33; https://doi.org/10.3390/appliedchem5040033 - 5 Nov 2025
Viewed by 1524
Abstract
Lithium-ion batteries (LIBs) are vital for modern energy storage applications. Lithium iron phosphate (LFP) is a promising cathode material due to its safety, low cost, and environmental friendliness compared to the widely used nickel manganese cobalt oxide (NMC), which contains hazardous nickel and [...] Read more.
Lithium-ion batteries (LIBs) are vital for modern energy storage applications. Lithium iron phosphate (LFP) is a promising cathode material due to its safety, low cost, and environmental friendliness compared to the widely used nickel manganese cobalt oxide (NMC), which contains hazardous nickel and cobalt compounds. However, challenges remain in enhancing the performance of LFP cathodes due to their low electronic and ionic conductivity. To improve both the safety and sustainability of the battery, this work presents a water-based LFP cathode utilizing the bio-based binder carboxymethyl cellulose (CMC), eliminating the need for polyvinylidene fluoride (PVDF) and the toxic solvent N-methyl-2-pyrrolidone (NMP). This study investigates the impact of different dispersing methods—dissolver mixing and wet jet milling—on slurry properties, electrode morphology, and battery performance. Slurries were characterized by rheology, particle size distribution, and sedimentation behavior, while coated and calendered electrodes were examined via thickness measurements and scanning electron microscopy (SEM). Electrochemical performance of the electrodes was evaluated by means of C-Rate testing. The results reveal that dispersing methods significantly influence slurry characteristics but marginally affect electrochemical performance. Compared to dissolver mixing, wet jet milling reduced the median particle size by 39% (ΔD50 = 3.1 µm) and lowered viscosity by 96% at 1 s−1, 80% at 105 s−1, and 64% at 1000 s−1. In contrast, the electrochemical performance of the resulting electrodes differed only slightly, with discharge capacity varying by approximately 12.8% at 1.0 C (Δcapacity = 10.7 mAh g−1). This research highlights the importance of optimizing not only material selection but also processing techniques to advance safer and more sustainable energy storage solutions. Full article
Show Figures

Figure 1

16 pages, 2716 KB  
Article
Application of Activated Carbon/Alginate Composite Beads for the Removal of 2-Methylisoborneol from Aqueous Solution
by Iresha Lakmali Balasooriya, Mudalige Don Hiranya Jayasanka Senavirathna and Weiqian Wang
AppliedChem 2025, 5(4), 32; https://doi.org/10.3390/appliedchem5040032 - 3 Nov 2025
Viewed by 667
Abstract
The presence of 2-methylisoborneol (2-MIB) in water is a critical global concern due to its low threshold and resistance to conventional processes. In the present study, activated carbon/alginate (AC/alginate) composite beads were synthesized via ionic gelation method for the removal of 2-MIB from [...] Read more.
The presence of 2-methylisoborneol (2-MIB) in water is a critical global concern due to its low threshold and resistance to conventional processes. In the present study, activated carbon/alginate (AC/alginate) composite beads were synthesized via ionic gelation method for the removal of 2-MIB from aqueous solution. The physicochemical characteristics of the adsorbent were determined using scanning electron microscopy (SEM) and Fourier transform infrared spectroscopy (FTIR) techniques. The effects of contact time, solution pH, initial 2-MIB concentration and adsorbent dose on adsorption were examined. Over 95% of 2-MIB removal was obtained under optimum conditions within 360 min. The adsorption equilibrium was well described by Langmuir (R2 = 0.97) and Freundlich (R2 = 0.96) models suggesting that 2-MIB adsorption involves both monolayer and multilayer adsorption. Kinetic modeling revealed that the pseudo-first order model showed strong fits to the experimental data, indicating the role of surface adsorption in controlling the rate of adsorption. The adsorbent demonstrated reasonable stability, retaining 59% removal efficiency after four adsorption–desorption cycles, highlighting its potential for repeated application in water treatment. Overall, the AC/alginate composite beads were found to be promising for the effective elimination of 2-MIB from water. Full article
Show Figures

Figure 1

13 pages, 5592 KB  
Article
One-Pot APTES Grafted Silica Synthesis and Modification with AgNPs
by Gerardas Laurinavicius, Dovydas Karoblis and Vilius Poskus
AppliedChem 2025, 5(4), 31; https://doi.org/10.3390/appliedchem5040031 - 3 Nov 2025
Viewed by 659
Abstract
In today’s chemistry, greener and more energy-efficient ways of making new materials are becoming increasingly important. In this work, two types of (3-aminopropyl) triethoxysilane-grafted silica were synthesized using a one-pot method with two different porogens: Pluronic P123 and cetyltrimethylammonium bromide, and then modified [...] Read more.
In today’s chemistry, greener and more energy-efficient ways of making new materials are becoming increasingly important. In this work, two types of (3-aminopropyl) triethoxysilane-grafted silica were synthesized using a one-pot method with two different porogens: Pluronic P123 and cetyltrimethylammonium bromide, and then modified with silver nanoparticles. Both syntheses produced amorphous silica with crystalline silver. EDX and EDX elemental mapping confirmed that the modification with silver nanoparticles was successful, and an even distribution of silver on the silica surface with an average silver load of around 16% was determined. After silver nanoparticle modification, silica synthesized using cetyltrimethylammonium bromide as a porogen was mesoporous, whereas silica synthesis using Pluronic P123 as a porogen yielded a nonporous product. The synthesized silicas exhibited surface areas of 345 ± 2 and 8.80 ± 0.05 m2/g for samples prepared using cetyltrimethylammonium bromide and Pluronic P123 as porogens, respectively, and both silicas were stable below 250 °C. Full article
Show Figures

Figure 1

23 pages, 1943 KB  
Article
Modeling of New Agents with Potential Antidiabetic Activity Based on Machine Learning Algorithms
by Yevhen Pruhlo, Ivan Iurchenko and Alina Tomenko
AppliedChem 2025, 5(4), 30; https://doi.org/10.3390/appliedchem5040030 - 27 Oct 2025
Viewed by 568
Abstract
Type 2 diabetes mellitus (T2DM) is a growing global health challenge, expected to affect over 600 million people by 2045. The discovery of new antidiabetic agents remains resource-intensive, motivating the use of machine learning (ML) for virtual screening based on molecular structure. In [...] Read more.
Type 2 diabetes mellitus (T2DM) is a growing global health challenge, expected to affect over 600 million people by 2045. The discovery of new antidiabetic agents remains resource-intensive, motivating the use of machine learning (ML) for virtual screening based on molecular structure. In this study, we developed a predictive pipeline integrating two distinct descriptor types: high-dimensional numerical features from the Mordred library (>1800 2D/3D descriptors) and categorical ontological annotations from the ClassyFire and ChEBI systems. These encode hierarchical chemical classifications and functional group labels. The dataset included 45 active compounds and thousands of inactive molecules, depending on the descriptor system. To address class imbalance, we applied SMOTE and created balanced training and test sets while preserving independent validation sets. Thirteen ML models—including regression, SVM, naive Bayes, decision trees, ensemble methods, and others—were trained using stratified 12-fold cross-validation and evaluated across training, test, and validation. Ridge Regression showed the best generalization (MCC = 0.814), with Gradient Boosting following (MCC = 0.570). Feature importance analysis highlighted the complementary nature of the descriptors: Ridge Regression emphasized ClassyFire taxonomies such as CHEMONTID:0000229 and CHEBI:35622, while Mordred-based models (e.g., Random Forest) prioritized structural and electronic features like MAXsssCH and ETA_dEpsilon_D. This study is the first to systematically integrate and compare structural and ontological descriptors for antidiabetic compound prediction. The framework offers a scalable and interpretable approach to virtual screening and can be extended to other therapeutic domains to accelerate early-stage drug discovery. Full article
Show Figures

Figure 1

11 pages, 330 KB  
Article
The Volatile Compound Profile of “Lumblija”, the Croatian Protected Geographical Indication Sweet Bread
by Ani Radonić, Lucia Šarić, Zvonimir Marijanović and Mladenka Šarolić
AppliedChem 2025, 5(4), 29; https://doi.org/10.3390/appliedchem5040029 - 20 Oct 2025
Viewed by 401
Abstract
“Lumblija” is a Croatian autochthonous sweet bread which recently obtained a European Protected Geographical Indication (PGI) label. The peculiarity of “Lumblija” is the use of ingredients such as concentrated grape must, rose or herbal brandy, and various herbs and spices, mostly produced and [...] Read more.
“Lumblija” is a Croatian autochthonous sweet bread which recently obtained a European Protected Geographical Indication (PGI) label. The peculiarity of “Lumblija” is the use of ingredients such as concentrated grape must, rose or herbal brandy, and various herbs and spices, mostly produced and collected in the area of the island of Korčula. To the author’s knowledge, the volatile compounds of “Lumblija” have not been investigated till now. The aim of this study was to characterise the volatile compounds responsible for the distinctive aroma of the traditional sweet bread “Lumblija”, which is widely appreciated for its unique sensory properties. Four samples of “Lumblija” were investigated. Headspace solid-phase microextraction coupled with gas chromatography–mass spectrometry analysis (HS-SPME/GC-MS) was applied for volatile compound characterisation of “Lumblija” samples. A total of 50 volatile compounds were identified in the “Lumblija” samples. Volatile compounds belong to different chemical classes: terpenes, phenylpropanoids, alcohols, aldehydes, esters, ketones, aromatic hydrocarbons, and carboxylic acids. Among them, terpenes and phenylpropanoids were the most numerous and the most abundant volatile compounds. Most differences in the volatile compound profile of “Lumblija” samples can be attributed to some specific ingredients such as spices. The results of this study could be useful to establish a volatile compound profile of “Lumblija”, which could serve as an indicator of the authenticity and quality of this autochthonous bakery product. Full article
Show Figures

Figure 1

19 pages, 2933 KB  
Article
Oxyresveratrol-Loaded Electrospun Cellulose Acetate/Poly(ε-caprolactone) Nanofibers with Enhanced Stability and Bioactivity
by Nilubon Sornkaew, Piyanan Thuamwong, Apisit Anantanasan, Kornkanya Pratumyot, Siwattra Choodej, Kittichai Chaiseeda, Choladda Srisuwannaket, Withawat Mingvanish and Nakorn Niamnont
AppliedChem 2025, 5(4), 28; https://doi.org/10.3390/appliedchem5040028 - 16 Oct 2025
Viewed by 463
Abstract
Electrospun fibers serve as a medium for the targeted release of active compounds, facilitating the desired therapeutic effects in drug administration. The point of this study was to find the best conditions for making electrospun fibers from cellulose acetate (CA) and poly(ε-caprolactone) (PCL), [...] Read more.
Electrospun fibers serve as a medium for the targeted release of active compounds, facilitating the desired therapeutic effects in drug administration. The point of this study was to find the best conditions for making electrospun fibers from cellulose acetate (CA) and poly(ε-caprolactone) (PCL), mixed with pure oxyresveratrol extract from Artrocarpus lakoocha Roxberg (Moraceae). Additionally, the study focused on evaluating the antioxidant properties, antityrosinase activity, and freeze–thaw stability of the resulting fibers. We incorporated a concentration of oxyresveratrol at 0.1% w/w into various mass ratios of CA/PCL blended fiber sheets (1:0, 3:1, 1:1, 1:3), utilizing mixed solvents of acetone/DMF (2:1% v/v) and chloroform/DMF (9:1% v/v) for preparation. The fiber sheets displayed a continuous and uniform structure, with fiber diameters ranging from 300 to 1000 nanometers. We investigated the release kinetics of oxyresveratrol from the fibrous substrates using the total immersion technique, specifically in phosphate-buffered saline at a pH of 7.4. The results showed that the fiber sheet with a 3:1 w/w ratio of CA to PCL and a 0.1 w/w loading of oxyresveratrol showed the most significant release of oxyresveratrol at the 2 h mark, and it continued to release consistently at this peak value for up to 24 h. The antioxidant and anti-tyrosinase properties of oxyresveratrol in fiber sheets were more stable than those of free oxyresveratrol at the same concentrations. The fiber sheet presents a promising avenue for a user-friendly transdermal patch application. Full article
Show Figures

Figure 1

14 pages, 1344 KB  
Communication
Grapevine Rootstock Genotype Influences Nitrogen Levels, Must and Wine Composition, and Sensory Characteristics of Assyrtiko (Vitis vinifera L.)
by Evangelos Beris, Markos Psarros, Vasiliki Konstantakopoulou, Alexandra Evangelou, Georgios Banilas and Elias Korkas
AppliedChem 2025, 5(4), 27; https://doi.org/10.3390/appliedchem5040027 - 10 Oct 2025
Viewed by 616
Abstract
This study examined the impact of five grapevine rootstocks (R110, 140Ru, 3309C, 41B, and FERCAL) on must composition, nitrogen status, and sensory attributes of Vitis vinifera L. cv. Assyrtiko wines. Vines were grown under uniform vineyard conditions, and microvinifications were conducted consistently across [...] Read more.
This study examined the impact of five grapevine rootstocks (R110, 140Ru, 3309C, 41B, and FERCAL) on must composition, nitrogen status, and sensory attributes of Vitis vinifera L. cv. Assyrtiko wines. Vines were grown under uniform vineyard conditions, and microvinifications were conducted consistently across treatments. Rootstock genotype significantly influenced Baumé, density, titratable acidity, pH, and yeast-assimilable nitrogen (YAN). Musts from R110 contained the highest YAN (226.80 ± 0.99 mg/L) and intermediate Baumé (12.5°), whereas 140Ru exhibited the lowest YAN (132.60 ± 0.46 mg/L) and Baumé (11.7°). Wines from R110 contained the highest tannin concentration (0.375 g/L), while FERCAL produced the highest ethanol content (13.1% vol). Sensory evaluation revealed significant rootstock effects on color intensity, aroma intensity, aroma complexity, balance, and overall quality, with R110 and 3309C receiving the highest scores. The findings demonstrate that rootstock selection may affect the chemical and sensory profile of Assyrtiko wines, providing a practical tool for optimizing wine style and quality across diverse viticultural environments. Further research is needed to confirm these findings and explore extra parameters and novel rootstock–scion interactions. Full article
Show Figures

Figure 1

9 pages, 889 KB  
Communication
Main Mechanical Forces to Analyse the Chemical Interactions Shaping Backbone Torsion Angles in DNA Tertiary Structures
by Michele Larocca, Giuseppe Floresta, Daniele Verderese and Agostino Cilibrizzi
AppliedChem 2025, 5(4), 26; https://doi.org/10.3390/appliedchem5040026 - 6 Oct 2025
Viewed by 622
Abstract
The genetic material in living systems is mainly stored in DNA molecules, which in turn play a dominant biological role in relation to the coding and transfer of genetic information, the biosynthesis of proteins and RNA and the packaging and regulation of DNA [...] Read more.
The genetic material in living systems is mainly stored in DNA molecules, which in turn play a dominant biological role in relation to the coding and transfer of genetic information, the biosynthesis of proteins and RNA and the packaging and regulation of DNA expression and accessibility. These features, strictly dictated by the three-dimensional structure of DNA, are governed by non-covalent chemical interactions that drive the folding process of these biological macromolecules. The Main Mechanical Forces (MMFs) approach is a recently formulated calculation method, based on the accurate prediction of structural features of biomolecules through an in-depth assessment of the interplay between specific non-covalent chemical interactions and related mechanical forces developed during the folding process. By adopting the MMFs method in the context of nucleic acids, we report here the results obtained in terms of predicting three-dimensional DNA oligomer tertiary structures. To this end, we have developed tailored nucleic acid-specific equations, enabling to predict the torsion angles (with a relevant level of agreement with experimental values) of the phosphate-sugar backbone of the three model molecules A-, B- and Z- DNA used in this study. To increase the validity of this methodology, we have conducted RMSD measurements, indicating that there is a weak but rather acceptable match between the calculated vs. predicted A-DNA structure, whereas the prediction of the BII-DNA and Z-DNA tertiary structures was fully correct. Full article
Show Figures

Figure 1

16 pages, 3583 KB  
Article
Flipping Motion of the Alkylene Bridge in cis-[N,N′-Pentamethylenebis(iminomethylazolato)]M(II) Complexes (M = Pt, Pd) with Hydrogen-Bond-like M···H–C Interactions
by Soichiro Kawamorita, Mitsuhiro Nishino, Ngoc Ha-Thu Le, Kazuki Nakamura and Takeshi Naota
AppliedChem 2025, 5(4), 25; https://doi.org/10.3390/appliedchem5040025 - 30 Sep 2025
Viewed by 561
Abstract
Hydrogen-bond-like M···H–C interactions in square-planar d8 metal complexes have recently gained attention as structure-directing elements and design motifs in asymmetric catalysis. In this study, we explore these weak interactions not as static features, but as key modulators of molecular motion. We synthesized [...] Read more.
Hydrogen-bond-like M···H–C interactions in square-planar d8 metal complexes have recently gained attention as structure-directing elements and design motifs in asymmetric catalysis. In this study, we explore these weak interactions not as static features, but as key modulators of molecular motion. We synthesized four cis-[N,N′-pentamethylenebis(iminomethylazolato)]M(II) (M = Pt, Pd), including iminomethyl-2-imidazole, iminomethyl-5-imidazole, and iminomethylpyrrolato Pt(II) complexes and an iminomethylpyrrolato Pd(II) analog. All complexes display reversible flipping of the alkylene bridge across the coordination plane, with the M···H–C interaction alternately engaging from above or below. This dynamic motion was characterized by variable-temperature 1H NMR spectroscopy, revealing activation parameters for the flipping process. X-ray crystallography confirmed geometries consistent with hydrogen-bond-like interactions, while NBO analysis based on DFT calculations provided insight into their electronic nature. Interestingly, although Pt and Pd display comparable M···H–C distances, solvent effects dominate the flipping kinetics over metal identity. These findings highlight the role of hydrogen-bond-like M···H–C interactions not only in structural stabilization, but also in regulating conformational dynamics. Full article
(This article belongs to the Special Issue Organic Synthesis: Novel Catalysts, Strategies, and Applications)
Show Figures

Figure 1

22 pages, 6902 KB  
Article
Hydrothermal Carbonization of Sugarcane Tip (Saccharum officinarum L.) for Pb (II) Removal: Synthesis, Characterization, and Adsorption Equilibrium
by Dulce Carolina Acosta-Pintor, Candy Carranza-Álvarez, Habacuc Lorenzo-Márquez, Cynthia Wong-Arguelles and Cuitláhuac Mojica-Mesinas
AppliedChem 2025, 5(4), 24; https://doi.org/10.3390/appliedchem5040024 - 29 Sep 2025
Viewed by 644
Abstract
Water contamination by heavy metals, particularly lead, derived from industrialization, climate change, and urbanization, represents a critical risk to human health and the environment. Several agricultural biomass residues have demonstrated efficacy as contaminant adsorbents. In this context, the study aimed to evaluate the [...] Read more.
Water contamination by heavy metals, particularly lead, derived from industrialization, climate change, and urbanization, represents a critical risk to human health and the environment. Several agricultural biomass residues have demonstrated efficacy as contaminant adsorbents. In this context, the study aimed to evaluate the potential of sugarcane tip (ST) waste biomass treated by hydrothermal carbonization (HTC) to produce hydrochar as an adsorbent material for Pb2+ in aqueous solutions. Samples were synthesized from the waste biomass at temperatures of 180 °C, 215 °C, and 250 °C, with a constant pressure of 6 MPa. Aqueous solutions of Pb2+ were prepared at concentrations of 10, 25, 50, 75, and 100 mg/L. Each solution was stirred at 1 g of hydrochar at 150 rpm, 25 °C, and pH 5 for 15 to 120 min. The solutions were filtered and stored at 4 °C for flame atomic absorption spectrophotometry analysis. In all cases, equilibrium was reached rapidly—within 15 min or less—as indicated by the stabilization of qt values over time. At an initial concentration of 100 mg L−1, the highest equilibrium uptake was observed for the hydrochar synthesized at ST HTC 180 °C (4.90 mg g−1), followed by 4.58 mg g−1 and 4.52 mg g−1 for ST HTC 215 °C and ST HTC 250 °C, respectively. For the ST HTC 180 °C, the Sips model provided the best correlation with the experimental data, exhibiting a high maximum capacity (qmax = 240.8 mg g−1; Ks = 0.007; n = 1.09; R2 = 0.975), which reinforces the heterogeneous nature of the material’s surface. Hydrothermal synthesis increased the amount of acidic active sites in the ST HTC 180 °C material from 1.3950 to 3.8543 meq g−1, which may influence the electrical charge of the Pb2+ adsorption process. HTC-treated sugarcane tip biomass represents a promising alternative for the synthesis of adsorbent materials, contributing to water remediation and promoting the circular economy by sustainably utilizing agricultural waste. Full article
Show Figures

Graphical abstract

Previous Issue
Next Issue
Back to TopTop