Plant Extracts as Natural Inhibitors of Non-Enzymatic Browning: A Case of Fruits and Fruit-Based Products
Abstract
1. Introduction
2. Material and Methods
3. The Role of Vegetables, Fruits, and Fruit-Based Products in the Diet
3.1. Non-Enzymatic Browning Reactions
3.2. Ascorbic Acid Degradation
3.3. Aerobic and Anaerobic Degradation of Ascorbic Acid
3.3.1. Anaerobic Degradation of AA
3.3.2. Ascorbic Acid Degradation in Fruit and Fruit-Based Products
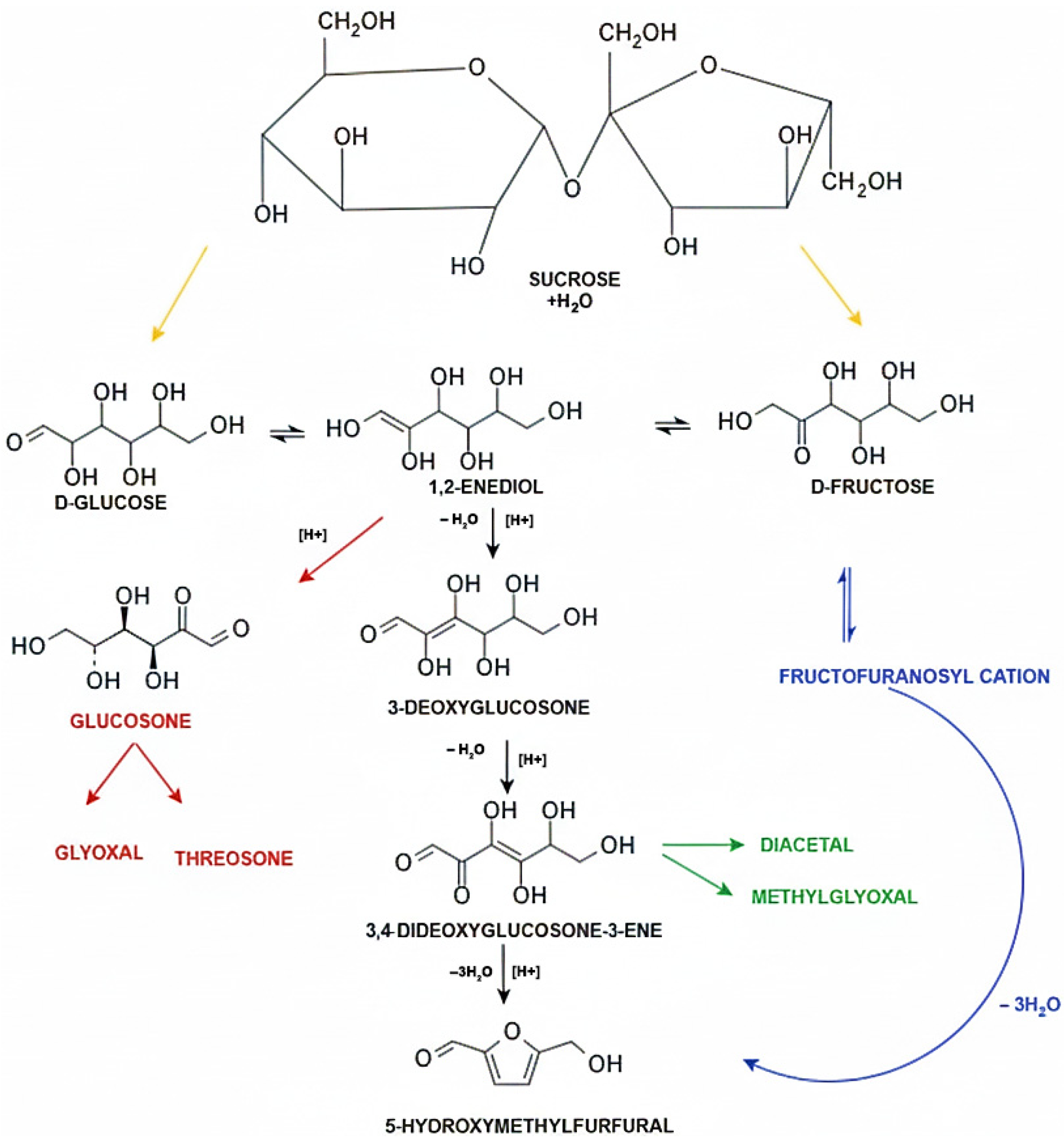
3.4. Acid-Catalysed Sugar Degradation
Acid-Catalysed Sugar Degradation in Fruits and Fruit-Based Products
3.5. The Maillard Reaction (MR)
Maillard Reaction in Fruit and Fruit-Based Products
3.6. The Multidimensions of NEB Reactions
4. The Role of Plant Extracts in Inhibiting NEB Reactions
4.1. Polyphenols as Major Bioactive Compounds in Plant Extracts
4.2. Plant Extract Mechanisms of Inhibition for NEB Reactions Using Plants Extracts
4.3. Limitations of Plant Extracts
4.4. Encapsulation of Plant Extracts
4.5. Beta-Cyclodextrin- Assisted Extraction of Plant Extracts
5. Conclusions and Recommendations
Author Contributions
Funding
Institutional Review Board Statement
Informed Consent Statement
Data Availability Statement
Conflicts of Interest
Abbreviation
| Common Abbreviations Used in the Study | |
| Abbreviation | Full Term |
| AA | Ascorbic Acid |
| AG | Aminoguanidine |
| AGE | Advanced Glycation End-Product |
| ARP | Amadori Rearrangement Products |
| β-CD | Beta Cyclodextrin |
| BSA | Bovine Serum Albumin |
| CA | Chlorogenic Acid |
| CA | Citric Acid |
| CD | Cyclodextrin There are no sources in the current document. |
| DHA | Dehydroascorbic Acid |
| EGCG | Epigallocatechin Gallate |
| FA | Furoic Acid |
| FAO | Food and Agriculture Organisation |
| HMF | Hydroxymethyl Furfural |
| MGO | Methylglyoxal |
| MR | Maillard Reaction |
| MTC | Metal Chelating |
| NEB | Non-Enzymatic Browning |
| RCS | Reactive Carbonyl Species |
References
- Buvé, C.; Pham, H.T.T.; Hendrickx, M.; Grauwet, T.; Van Loey, A. Reaction pathways and factors influencing nonenzymatic browning in shelf-stable fruit juices during storage. Compr. Rev. Food Sci. Food Saf. 2021, 20, 5698–5721. [Google Scholar] [CrossRef]
- Teixeira, A. Thermal Processing of Canned Foods. In Handbook of Food Engineering, 3rd ed.; Heldman, D.R., Lund, D.B., Sabliov, C.M., Eds.; CRC Press: Boca Raton, FL, USA, 2019; pp. 951–984. [Google Scholar]
- Vally, H.; Misso, N.L.A.; Madan, V. Clinical effects of sulphite additives. Clin. Exp. Allergy 2009, 39, 1643–1651. [Google Scholar] [CrossRef]
- Khan, M.; Liu, H.; Wang, J.; Sun, B. Inhibitory effect of phenolic compounds and plant extracts on the formation of advance glycation end products: A comprehensive review. Food Res. Int. 2020, 130, 108933. [Google Scholar] [CrossRef] [PubMed]
- Yeh, W.J.; Hsia, S.M.; Lee, W.H.; Wu, C.H. Polyphenols with antiglycation activity and mechanisms of action: A review of recent findings. J. Food Drug Anal. 2017, 25, 84–92. [Google Scholar] [CrossRef]
- Hafsa, J.; Hammi, K.M.; Le Cerf, D.; Limem, K.; Majdoub, H.; Charfeddine, B. Characterization, antioxidant and antiglycation properties of polysaccharides extracted from the medicinal halophyte Carpobrotus edulis L. Int. J. Biol. Macromol. 2018, 107 Pt A, 833–842. [Google Scholar] [CrossRef]
- Rudnicki, M.; de Oliveira, M.R.; da sVeiga Pereira, T.; Reginatto, F.H.; Dal-Pizzol, F.; Fonseca Moreira, J.C. Antioxidant and antiglycation properties of Passiflora alata and Passiflora edulis extracts. Food Chem. 2007, 100, 719–724. [Google Scholar] [CrossRef]
- Favre, L.C.; dos Santos, C.; López-Fernández, M.P.; Mazzobre, M.F.; Buera, M.d.P. Optimization of β-Cyclodextrin-Based Extraction of Antioxidant and Anti-Browning Activities from Thyme Leaves by Response Surface Methodology. Food Chem. 2018, 265, 86–95. [Google Scholar] [CrossRef] [PubMed]
- Favre, L.C.; Rolandelli, G.; Mshicileli, N.; Vhangani, L.N.; dos Santos Ferreira, C.; van Wyk, J.; Buera, M.D.P. Antioxidant and anti-glycation potential of green pepper (Piper nigrum): Optimization of β-cyclodextrin-based extraction by response surface methodology. Food Chem. 2020, 316, 126280. [Google Scholar] [CrossRef] [PubMed]
- Wang, M.; Zhang, X.; Zhong, Y.J.; Perera, N.; Shahidi, F. Antiglycation activity of lipophilized epigallocatechin gallate (EGCG) derivatives. Food Chem. 2016, 190, 1022–1026. [Google Scholar] [CrossRef]
- Lavelli, V.; Sri Harsha, P.S.C. Microencapsulation of grape skin phenolics for pH controlled release of antiglycation agents. Food Res. Int. 2019, 119, 822–828. [Google Scholar] [CrossRef]
- Lin, J.; Zhou, W. Role of quercetin in the physicochemical properties, antioxidant and antiglycation activities of bread. J. Funct. Foods 2018, 40, 299–306. [Google Scholar] [CrossRef]
- Louarme, L.; Billaud, C. Evaluation of ascorbic acid and sugar degradation products during fruit dessert processing under conventional or ohmic heating treatment. LWT—Food Sci. Technol. 2012, 49, 184–187. [Google Scholar] [CrossRef]
- Freedman, M.; Fulgoni, V.L. Canned Vegetable and Fruit Consumption Is Associated with Changes in Nutrient Intake and Higher Diet Quality in Children and Adults: National Health and Nutrition Examination Survey 2001–2010. J. Acad. Nutr. Diet. 2016, 116, 940–948. [Google Scholar] [CrossRef]
- Shahidi, F.; Ambigaipalan, P. Phenolics and polyphenolics in foods, beverages and spices: Antioxidant activity and health effects—A review. J. Funct. Foods 2015, 18, 820–897. [Google Scholar] [CrossRef]
- Rickman, J.C.; Bruhn, C.M.; Barrett, D. Nutritional comparison of fresh, frozen, and canned fruits and vegetables II. Vitamin A and carotenoids, vitamin E, minerals and fiber. J. Sci. Food Agric. 2007, 13, 125–135. [Google Scholar] [CrossRef]
- Bharate, S.S.; Bharate, S.B. Non-enzymatic browning in citrus juice: Chemical markers, their detection and ways to improve product quality. J. Food Sci. Technol. 2014, 51, 2271–2288. [Google Scholar] [CrossRef] [PubMed]
- Valero, M. Non-enzymatic browning due to storage is reduced by using clarified lemon juice as acidifier in industrial-scale production of canned peach halves. J. Food Sci. Technol. 2017, 54, 1873–1881. [Google Scholar]
- Vhangani, L.N.; Van Wyk, J. Heated plant extracts as natural inhibitors of enzymatic browning: A case of the Maillard reaction. J. Food Biochem. 2021, 45, e13611. [Google Scholar] [CrossRef] [PubMed]
- Zhu, D.; Ji, B.; Eum, H.L.; Zude, M. Evaluation of the non-enzymatic browning in thermally processed apple juice by front-face fluorescence spectroscopy. Food Chem. 2009, 113, 272–279. [Google Scholar] [CrossRef]
- Rufian-Henares, J.; Pastoriza, S. Browning: Non-enzymatic browning. Encycl. Food Health 2016, 1, 515–521. [Google Scholar]
- Burdurlu, H.S.; Koca, N.; Karadeniz, F. Degradation of vitamin C in citrus juice concentrates during storage. J. Food Eng. 2006, 74, 211–216. [Google Scholar] [CrossRef]
- Vhangani, L.N.; Van Wyk, J. Antioxidant activity of Maillard reaction products (MRPs) derived from fructose-lysine and ribose-lysine model systems. Food Chem. 2013, 137, 92–98. [Google Scholar] [CrossRef] [PubMed]
- Agcam, E. A Kinetic Approach to Explain Hydroxymethylfurfural and Furfural Formations Induced by Maillard, Caramelization, and Ascorbic Acid Degradation Reactions in Fruit Juice-Based Mediums. Food Anal. Methods 2022, 15, 1286–1299. [Google Scholar] [CrossRef]
- Anese, M.; Bot, F.; Suman, M. Furan and 5-hydroxymethylfurfural removal from high- and low-moisture foods. LWT—Food Sci. Technol. 2014, 56, 529–532. [Google Scholar] [CrossRef]
- Pham, H.T.T.; Kityo, P.; Buve, C.; Hendrickx, M.E.; Van Loey, A.M. In fl uence of pH and Composition on Nonenzymatic Browning of Shelf-Stable Orange Juice during Storage. J. Agric. Food Chem. 2020, 68, 5402–5411. [Google Scholar] [CrossRef]
- Hidalgo, A.; Brandolini, A.; Čanadanović-Brunet, J.; Ćetković, G.; Tumbas Šaponjac, V. Microencapsulates and extracts from red beetroot pomace modify antioxidant capacity, heat damage and colour of pseudocereals-enriched einkorn water biscuits. Food Chem. 2018, 268, 40–48. [Google Scholar] [CrossRef]
- Wibowo, S.; Grauwet, T.; Gedefa, G.B.; Hendrickx, M.; Van Loey, A. Quality changes of pasteurised mango juice during storage. Part I: Selecting Shelf-Life Markers by Integration of a Targeted and Untargeted Multivariate Approach. Food Res. Int. 2015, 78, 396–409. [Google Scholar] [CrossRef]
- Paravisini, L.; Peterson, D.G. Mechanisms non-enzymatic browning in orange juice during storage. Food Chem. 2019, 289, 320–327. [Google Scholar] [CrossRef]
- Rannou, C.; Laroque, D.; Renault, E.; Prost, C.; Sérot, T. Mitigation strategies of acrylamide, furans, heterocyclic amines and browning during the Maillard reaction in foods. Food Res. Int. 2016, 90, 154–176. [Google Scholar] [CrossRef]
- Wibowo, S.; Grauwet, T.; Santiago, J.S.; Tomic, J.; Vervoort, L.; Hendrickx, M.; Van Loey, A. Quality changes of pasteurised orange juice during storage: A kinetic study of specific parameters and their relation to colour instability. Food Chem. 2015, 187, 140–151. [Google Scholar] [CrossRef] [PubMed]
- Mesías-García, M.; Guerra-Hernández, E.; García-Villanova, B. Determination of furan precursors and some thermal damage markers in baby foods: Ascorbic acid, dehydroascorbic acid, hydroxymethylfurfural and furfural. J. Agric. Food Chem. 2010, 58, 6027–6032. [Google Scholar] [CrossRef] [PubMed]
- Laorko, A.; Tongchitpakdee, S.; Youravong, W. Storage quality of pineapple juice non-thermally pasteurized and clarified by microfiltration. J. Food Eng. 2013, 116, 554–561. [Google Scholar] [CrossRef]
- Ye, Y.; Deng, W.; Li, A.; Wu, Y.; Yuan, X.; Wang, Y. Non-enzymatic browning of a composite puree of Choerospondias axillaris, snow pear, and apple: Kinetic modeling and correlation analysis. Food Sci. Biotechnol. 2023, 32, 1039–1047. [Google Scholar] [CrossRef]
- Pham, H.T.T.; Pavon-Vargas, D.; Buve, C.; Sakellariou, D.; Hendrickx, M.E.; Van Loey, A.M. Potential of 1H-NMR fingerprinting and a model system approach to study non-enzymatic browning in shelf-stable orange juice during storage. Food Res. Int. 2021, 140, 110062. [Google Scholar] [CrossRef]
- Wibowo, S.; Grauwet, T.; Gedefa, G.B.; Hendrickx, M.; Van Loey, A. Quality changes of pasteurised mango juice during storage. Part II: Kinetic modelling of the shelf-life markers. Food Res. Int. 2015, 78, 410–423. [Google Scholar] [CrossRef]
- Lyu, J.; Liu, X.; Bi, J.; Wu, X.; Zhou, L.; Ruan, W.; Zhou, M.; Jiao, Y. Kinetic modelling of non-enzymatic browning and changes of physio-chemical parameters of peach juice during storage. J. Food Sci. Technol. 2018, 55, 1003–1009. [Google Scholar] [CrossRef]
- Aktağ, G.I.; Gökmen, V. Multiresponse kinetic modelling of α-dicarbonyl compounds formation in fruit juices during storage. Food Chem. 2020, 320, 126620. [Google Scholar] [CrossRef]
- Garza, S.; Ibarz, A.; Paga, J. Kinetic models of non-enzymatic browning in apple puree. J. Sci. Food Agric. 2000, 80, 1162–1168. [Google Scholar] [CrossRef]
- Liao, H.; Zhu, W.; Zhong, K.; Liu, Y. Evaluation of colour stability of clear red pitaya juice treated by thermosonication. LWT—Food Sci. Technol. 2020, 121, 108997. [Google Scholar] [CrossRef]
- Aktag, I.G.; Gokmen, V. Investigations on the formation of α-dicarbonyl compounds and 5-hydroxymethylfurfural in apple juice, orange juice and peach puree under industrial processing conditions. Eur. Food Res. Technol. 2021, 247, 797–805. [Google Scholar] [CrossRef]
- Garza, S.; Ibarz, A.; Pagán, J.; Giner, J. Non-enzymatic browning in peach puree during heating. Food Res. Int. 1999, 32, 335–343. [Google Scholar] [CrossRef]
- Pham, H.T.T.; Bazmawe, M.; Kebede, B.; Buve, C.; Hendrickx, M.E.; Van Loey, A.M. Changes in the Soluble and Insoluble Compounds of Shelf-Stable Orange Juice in Relation to Non-Enzymatic Browning during Storage. J. Agric. Food Chem. 2019, 67, 12854–12862. [Google Scholar] [CrossRef]
- Simsek, A.; Poyrazoglu, E.S.; Karacan, S.; Sedat Velioglu, Y. Response surface methodological study on HMF and fluorescent accumulation in red and white grape juices and concentrates. Food Chem. 2007, 101, 987–994. [Google Scholar] [CrossRef]
- Paravisini, L.; Peterson, D.G. Role of Reactive Carbonyl Species in non-enzymatic browning of apple juice during storage. Food Chem. 2018, 245, 1010–1017. [Google Scholar] [CrossRef] [PubMed]
- Favreau-farhadi, N.; Pecukonis, L.; Barrett, A. The Inhibition of Maillard Browning by Different Concentrations of Rosmarinic Acid and Epigallocatechin-3-Gallate in Model, Bakery, and Fruit Systems. J. Food Sci. 2015, 80, 2140–2146. [Google Scholar] [CrossRef]
- Oral, R.A.; Dogan, M.; Sarioglu, K. Effects of certain polyphenols and extracts on furans and acrylamide formation in model system, and total furans during storage. Food Chem. 2014, 142, 423–429. [Google Scholar] [CrossRef]
- Pérez-Burillo, S.; Rufián-Henares, J.Á.; Pastoriza, S. Effect of home cooking on the antioxidant capacity of vegetables: Relationship with Maillard reaction indicators. Food Res. Int. 2019, 121, 514–523. [Google Scholar] [CrossRef]
- Wang, H.; Hu, X.; Chen, F.; Wu, J.; Zhang, Z.; Liao, X.; Wang, Z. Kinetic analysis of non-enzymatic browning in carrot juice concentrate during storage. Eur. Food Res. Technol. 2006, 223, 282–289. [Google Scholar] [CrossRef]
- Dussling, S.; Will, F.; Schweiggert, R.; Steingass, C.B. Non-enzymatic degradation of flavan-3-ols by ascorbic acid- and sugar-derived aldehydes during storage of apple juices and concentrates produced with the innovative spiral filter press. Food Res. Int. 2024, 193, 114827. [Google Scholar] [CrossRef]
- Wu, J.W.; Hsieh, C.L.; Wang, H.Y.; Chen, H.Y. Inhibitory effects of guava (Psidium guajava L.) leaf extracts and its active compounds on the glycation process of protein. Food Chem. 2009, 113, 78–84. [Google Scholar] [CrossRef]
- Pinho, E.; Grootveld, M.; Soares, G.; Henriques, M. Cyclodextrins as encapsulation agents for plant bioactive compounds. Carbohydr. Polym. 2014, 101, 121–135. [Google Scholar] [CrossRef]
- Joubert, E.; DeBeer, D. Rooibos (Aspalathus linearis) beyond the farm gate: From herbal tea to potential phytopharmaceutical. S. Afr. J. Bot. 2011, 77, 869–886. [Google Scholar] [CrossRef]
- Villaño, D.; Pecorari, M.; Testa, M.F.; Raguzzini, A.; Stalmach, A.; Crozier, A.; Tubili, C.; Serafini, M. Unfermented and fermented rooibos teas (Aspalathus linearis) increase plasma total antioxidant capacity in healthy humans. Food Chem. 2010, 123, 679–683. [Google Scholar] [CrossRef]
- Ku, S.K.; Kwak, S.; Kim, Y.; Bae, J.S. Aspalathin and Nothofagin from Rooibos (Aspalathus linearis) Inhibits High Glucose-Induced Inflammation In Vitro and In Vivo. Inflammation 2014, 38, 445–455. [Google Scholar] [CrossRef] [PubMed]
- Marnewick, J.; Joubert, E.; Joseph, S.; Swanevelder, S.; Swart, P.; Gelderblom, W. Inhibition of tumour promotion in mouse skin by extracts of rooibos (Aspalathus linearis) and honeybush (Cyclopia intermedia), unique South African herbal teas. Cancer Lett. 2005, 224, 193–202. [Google Scholar] [CrossRef]
- Beltrán-Debón, R.; Rull, A.; Rodríguez-Sanabria, F.; Iswaldi, I.; Herranz-López, M.; Aragonès, G.; Camps, J.; Alonso-Villaverde, C.; Menéndez, J.A.; Micol, V.; et al. Continuous administration of polyphenols from aqueous rooibos (Aspalathus linearis) extract ameliorates dietary-induced metabolic disturbances in hyperlipidemic mice. Phytomedicine 2011, 18, 414–424. [Google Scholar] [CrossRef]
- DeBeer, D.; Tobin, J.; Walczak, B.; VanDerRijst, M.; Joubert, E. Phenolic composition of rooibos changes during simulated fermentation: Effect of endogenous enzymes and fermentation temperature on reaction kinetics. Food Res. Int. 2019, 121, 185–196. [Google Scholar] [CrossRef]
- Joubert, E.; Winterton, P.; Britz, T.J.; Gelderblom, W.C.A. Antioxidant and Pro-Oxidant Activities of Aqueous Ex-tracts and Crude Polyphenolic Fractions of Rooibos (Aspalathus Linearis). J. Agric. Food Chem. 2005, 53, 10260–10267. [Google Scholar] [CrossRef]
- Monsees, T.K.; Opuwari, C.S. Effect of rooibos (Aspalathus linearis) on the female rat reproductive tract and liver and kidney functions in vivo. S. Afr. J. Bot. 2017, 110, 208–215. [Google Scholar] [CrossRef]
- Damiani, E.; Carloni, P.; Rocchetti, G.; Senizza, B.; Tiano, L.; Joubert, E.; DeBeer, D.; Lucini, L. Impact of Cold versus Hot Brewing on the Phenolic Profile and Antioxidant Capacity of Rooibos (Aspalathus linearis) Herbal Tea. Antioxidants 2019, 8, 499. [Google Scholar] [CrossRef] [PubMed]
- Lawal, A.O.; Davids, L.M.; Marnewick, J.L. Phytomedicine oxidative stress associated injury of diesel exhaust particles in human umbilical vein endothelial cells. Phytomedicine 2019, 59, 15298. [Google Scholar] [CrossRef]
- Khalifa, I.; Peng, J.; Jia, Y.; Li, J.; Zhu, W.; Yu-juan, X.; Li, C. Anti-glycation and anti-hardening effects of microencapsulated mulberry polyphenols in high-protein-sugar ball models through binding with some glycation sites of whey proteins. Int. J. Biol. Macromol. 2019, 123, 10–19. [Google Scholar] [CrossRef]
- Joubert, E.; DeBeer, D. Antioxidants of rooibos beverages: Role of plant composition and processing. In Processing and Impact on Antioxidants in Beverages; Preedy, V., Ed.; Elsevier Academic Press: Cambridge, MA, USA, 2014; pp. 131–144. [Google Scholar]
- Zhao, W.; Cai, P.; Zhang, N.; Wu, T.; Sun, A.; Jia, G. Inhibitory effects of polyphenols from black chokeberry on advanced glycation end-products (AGEs) formation. Food Chem. 2022, 392, 133295. [Google Scholar] [CrossRef] [PubMed]
- Kohyama, N.; Fujita, M.; Ono, H.; Ohnishi-Kameyama, M.; Matsunaka, H.; Takayama, T.; Murata, M. Effects of phenolic compounds on the browning of cooked barley. J. Agric. Food Chem. 2009, 57, 6402–6407. [Google Scholar] [CrossRef]
- Qi, Y.; Zhang, H.; Wu, G.; Zhang, H.; Wang, L.; Qian, H.; Qi, X. Reduction of 5-hydroxymethylfurfural formation by flavan-3-ols in Maillard reaction models and fried potato chips. J. Sci. Food Agric. 2018, 98, 5294–5301. [Google Scholar] [CrossRef] [PubMed]
- Albahari, P.; Jug, M.; Radi, K.; Jurmanovi, S.; Brn, M.; Rimac, S.; Vitali, D. Characterization of olive pomace extract obtained by cyclodextrin-enhanced pulsed ultrasound assisted extraction. LWT—Food Sci. Technol. 2018, 92, 22–31. [Google Scholar] [CrossRef]
- Li, D.; Zhu, M.; Liu, X.; Wang, Y.; Cheng, J. Insight into the Effect of Microcapsule Technology on the Processing Stability of Mulberry Polyphenols. LWT—Food Sci. Technol. 2020, 126, 109144. [Google Scholar] [CrossRef]
- Human, C.; DeBeer, D.; Aucamp, M.; Marx, I.J.; Malherbe, C.J.; Viljoen-Bloom, M.; van der Rijst, M.; Joubert, E. Preparation of rooibos extract-chitosan microparticles: Physicochemical characterisation and stability of aspalathin during accelerated storage. LWT—Food Sci. Technol. 2020, 117, 108653. [Google Scholar] [CrossRef]
- DaSilva, A.M.G.M. Room at the Top as well as at the Bottom: Structure of Functional Food Inclusion Compounds. In Cyclodextrin—A Versatile Ingredient; Arora, P., Dhingra, N., Eds.; Intechopen: London, UK, 2018; pp. 119–134. [Google Scholar]
- Maraulo, G.E.; dos Santos Ferreira, C.; Mazzobre, M.F. Β-Cyclodextrin Enhanced Ultrasound-Assisted Extraction As a Green Method To Recover Olive Pomace Bioactive Compounds. J. Food Process Preserv. 2021, 45, e15194. [Google Scholar] [CrossRef]
- Miller, N. Green Rooibos Nutraceutical: Optimisation of Hot Water Extraction and Spray-Drying by Quality-by-Design Methodology. Masters’ Thesis, University of Stellenbosch, Stellenbosch, South Africa, 2016. [Google Scholar]
- Cai, R.; Yuan, Y.; Cui, L.; Wang, Z.; Yue, T. Cyclodextrin-assisted extraction of phenolic compounds: Current research and future prospects. Trends Food Sci. Technol. 2018, 79, 19–27. [Google Scholar] [CrossRef]
- Wang, L.; Zhou, Y.; Wang, Y.; Qin, Y.; Liu, B.; Bai, M. Two green approaches for extraction of dihydromyricetin from Chinese vine tea using β-Cyclodextrin-based and ionic liquid-based ultrasonic-assisted extraction methods. Food Bioprod. Process. 2019, 116, 1–9. [Google Scholar] [CrossRef]
- Haidong, L.; Fang, Y.; Zhihong, T.; Changle, R. Study on preparation of β-cyclodextrin encapsulation tea extract. Int. J. Biol. Macromol. 2011, 49, 561–566. [Google Scholar] [CrossRef]
- Mantecio, A.; Navarro-Orcajada, S.; García-Carmona, F.; Jose Manuel, L.-N. Applications of cyclodextrins in food science. A review. Trends Food Sci. Technol. 2020, 104, 132–143. [Google Scholar] [CrossRef]
- Ratnasooriya, C.C.; Rupasinghe, H.P.V. Extraction of phenolic compounds from grapes and their pomace using β-cyclodextrin. Food Chem. 2012, 134, 625–631. [Google Scholar] [CrossRef]
- Aree, T.; Jongrungruangchok, S. Crystallographic evidence for β-cyclodextrin inclusion complexation facilitating the improvement of antioxidant activity of tea (+)-catechin and (-)-epicatechin. Carbohydr. Polym. 2016, 140, 362–373. [Google Scholar] [CrossRef]
- Mourtzinos, I.; Menexis, N.; Iakovidis, D.; Makris, D.P.; Goula, A. A green extraction process to recover polyphenols from byproducts of hemp oil processing. Recycling 2018, 3, 15. [Google Scholar] [CrossRef]
- Parmar, I.; Sharma, S.; Rupasinghe, H.P.V. Optimization of β-cyclodextrin-based flavonol extraction from apple pomace using response surface methodology. J. Food Sci. Technol. 2015, 52, 2202–2210. [Google Scholar] [CrossRef] [PubMed]
- Rajha, H.N.; Chacar, S.; Afif, C.; Vorobiev, E.; Louka, N.; Maroun, R.G. β-Cyclodextrin-Assisted Extraction of Polyphenols from Vine Shoot Cultivars. J. Agric. Food Chem. 2015, 63, 3387–3393. [Google Scholar] [CrossRef] [PubMed]
- Diamanti, A.C.; Igoumenidis, P.E.; Mourtzinos, I.; Yannakopoulou, K.; Karathanos, V.T. Green extraction of polyphenols from whole pomegranate fruit using cyclodextrins. Food Chem. 2017, 214, 61–66. [Google Scholar] [CrossRef]
- Koteswara, C.; Sung, E.; Young, S.; Hwan, C. Inclusion complexation of catechins-rich green tea extract by β-cyclodextrin: Preparation, physicochemical, thermal, and antioxidant properties. LWT—Food Sci. Technol. 2020, 131, 109723. [Google Scholar]
- Vhangani, L.N.; Van Wyk, J. Inhibition of Browning in Apples Using Betacyclodextrin-Assisted Extracts of Green Rooibos (Aspalathus linearis). Foods 2023, 12, 602. [Google Scholar] [CrossRef] [PubMed]




Disclaimer/Publisher’s Note: The statements, opinions and data contained in all publications are solely those of the individual author(s) and contributor(s) and not of MDPI and/or the editor(s). MDPI and/or the editor(s) disclaim responsibility for any injury to people or property resulting from any ideas, methods, instructions or products referred to in the content. |
© 2025 by the authors. Licensee MDPI, Basel, Switzerland. This article is an open access article distributed under the terms and conditions of the Creative Commons Attribution (CC BY) license (https://creativecommons.org/licenses/by/4.0/).
Share and Cite
Vhangani, L.N.; Van Wyk, J. Plant Extracts as Natural Inhibitors of Non-Enzymatic Browning: A Case of Fruits and Fruit-Based Products. AppliedChem 2025, 5, 39. https://doi.org/10.3390/appliedchem5040039
Vhangani LN, Van Wyk J. Plant Extracts as Natural Inhibitors of Non-Enzymatic Browning: A Case of Fruits and Fruit-Based Products. AppliedChem. 2025; 5(4):39. https://doi.org/10.3390/appliedchem5040039
Chicago/Turabian StyleVhangani, Lusani Norah, and Jessy Van Wyk. 2025. "Plant Extracts as Natural Inhibitors of Non-Enzymatic Browning: A Case of Fruits and Fruit-Based Products" AppliedChem 5, no. 4: 39. https://doi.org/10.3390/appliedchem5040039
APA StyleVhangani, L. N., & Van Wyk, J. (2025). Plant Extracts as Natural Inhibitors of Non-Enzymatic Browning: A Case of Fruits and Fruit-Based Products. AppliedChem, 5(4), 39. https://doi.org/10.3390/appliedchem5040039

