Design and Synthesis of Ferulic Acid Derivatives with Enhanced Antioxidant and Neuroprotective Activities: Discovery of Dual Antioxidant Agent
Abstract
1. Introduction
2. Materials and Methods
2.1. Chemistry
2.1.1. Reagents and Instruments for the Synthesis of FANs
2.1.2. DPPH Radical Scavenging Assay [28]
2.2. Biology
2.2.1. Cell Culture [29]
2.2.2. Evaluation of Cytoprotective Effects Under Oxidative Stress [23]
2.2.3. Statistical Analysis
3. Results and Discussion
3.1. Synthesis of Ferulic Acid Derivatives (FAN)
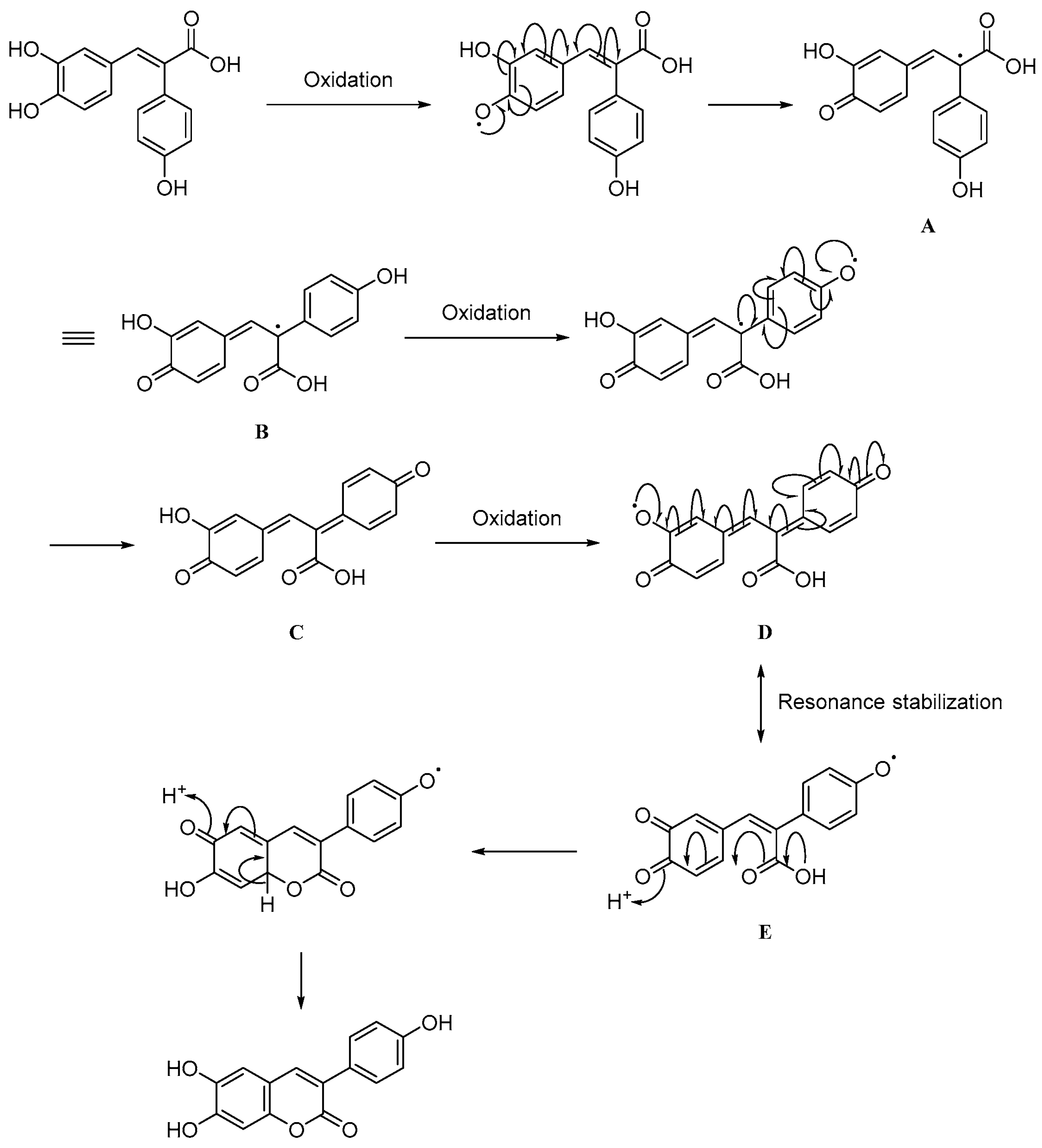
3.2. Antioxidant Activity Evaluation by DPPH Free Radical Scavenging Ability Measurement
3.3. Biological Experiment
3.3.1. Evaluation of Cytoprotective Effects Against Oxidative Stress in Neuro-2a Cells
3.3.2. Investigation of the Comprehensive Structure-Activity Relationship Between Antioxidant Activity and Cytoprotective Effect
- Substituents at the α-carbon:
- Substituent effects on the phenyl ring of FA:
- Substituents at the meta position:
- Structure–activity relationship summary:
4. Conclusions
Supplementary Materials
Author Contributions
Funding
Institutional Review Board Statement
Informed Consent Statement
Data Availability Statement
Acknowledgments
Conflicts of Interest
Abbreviations
| CVDs | cerebrovascular diseases |
| ROS | reactive oxygen species |
| FA | ferulic acid |
| FAN | ferulic acid derivative |
| SAR | structure–activity relationship |
| NMR | nuclear magnetic resonance |
| FT-IR | fourier transform infrared |
| DPPH | 1,1-diphenyl-2-picrylhydrazyl |
| MEM | minimum essential medium |
| FBS | fetal bovine serum |
| NEAA | non-essential amino acids |
| NEt3 | triethylamine |
| Ac2O | acetic anhydride |
| mp | melting point |
| DMSO | dimethylsulfoxide |
| EC50 | 50% effective concentration |
References
- Naghavi, M.; Ong, K.L.; Aali, A.; Ababneh, H.S.; Abate, Y.H.; Abbafati, C.; Abbasgholizadeh, R.; Abbasian, M.; Abbasi-Kangevari, M.; Abbastabar, H.; et al. Global burden of 288 causes of death and life expectancy decomposition in 204 countries and territories and 811 subnational locations, 1990-2021: A systematic analysis for the Global Burden of Disease Study 2021. Lancet 2024, 403, 2100–2132. [Google Scholar] [CrossRef] [PubMed]
- Chen, Y. Special report from the National Institute of Neurological Disorders and Stroke. Classification of cerebrovascular diseases III. Stroke 1990, 21, 637–676. [Google Scholar] [CrossRef]
- Syme, P.D.; Byrne, A.W.; Chen, R.; Devenny, R.; Forbes, J.F. Community-based stroke in a Scottish population: The Scottish Borders Stroke Study. Stroke 2005, 36, 1837–1843. [Google Scholar] [CrossRef]
- Chan, P.H. Reactive Oxygen Radicals in Signaling and Damage in the Ischemic Brain. J. Cereb. Blood Flow Metab. 2001, 21, 2–14. [Google Scholar] [CrossRef]
- Allen, C.L.; Bayraktutan, U. Oxidative stress and its role in the pathogenesis of ischaemic stroke. Int. J. Stroke 2009, 4, 461–470. [Google Scholar] [CrossRef]
- The National Institute of Neurological Disorders and Stroke rt-PA Stroke Study Group. Tissue plasminogen activator for acute ischemic stroke. N. Engl. J. Med. 1995, 333, 1581–1588. [Google Scholar] [CrossRef] [PubMed]
- Yamaguchi, T.; Mori, E.; Minematsu, K.; Nakagawa, J.; Hashi, K.; Saito, I.; Shinohara, Y.; on behalf Japan Alteplase Clinical Trial (J-ACT) Group. Alteplase at 0.6 mg/kg for Acute Ischemic Stroke Within 3 Hours of Onset: Japan Alteplase Clinical Trial (J-ACT). Stroke 2006, 37, 1810–1815. [Google Scholar] [CrossRef]
- Hong, K.S.; Ko, S.B.; Lee, J.S.; Yu, K.H.; Rha, J.H. Endovascular Recanalization Therapy in Acute Ischemic Stroke: Updated Meta-analysis of Randomized Controlled Trials. J. Stroke 2015, 17, 268–281. [Google Scholar] [CrossRef]
- Goyal, M.; Menon, B.; van Zwam, W.H.; Dippel, D.W.J.; Mitchell, P.J.; Demchuk, A.M.; Davos, A.; Majoie, C.B.L.M.; van der Lugt, A.; de Miquel, M.A.; et al. Endovascular thrombectomy after large-vessel ischaemic stroke: A meta-analysis of individual patient date from five randomized trials. Lancet 2016, 387, 1723–1731. [Google Scholar] [CrossRef]
- Kalogeris, T.; Baines, C.P.; Krenz, M.; Korthuis, R.J. Cell Biology of Ischemia/Reperfusion Injury. Int. Rev. Cell Mol. Biol. 2012, 298, 229–317. [Google Scholar] [PubMed]
- Eltzsching, H.K.; Eckle, T. Ischemia and reperfusion-from mechanism to translation. Nat. Med. 2011, 17, 1391–1401. [Google Scholar] [CrossRef]
- Otomo, E.; Tohgi, H.; Kogure, K.; Hirai, S.; Takamura, K.; Terashi, A.; Gotoh, F.; Maruyama, S.; Tayaki, Y.; Shinohara, Y.; et al. Effect of a novel free radical scavenger, edaravone (MCI-186), on acute brain infarction: Randomized, placebo-controlled, double-blind study at multicenters. Cerebrovasc. Dis. 2003, 15, 222–229. [Google Scholar]
- Zamami, Y.; Sagara, H.; Kayano, Y.; Koyama, T.; Shiraishi, N.; Esumi, S.; Ugawa, T.; Sendo, T.; Ujike, Y.; Nakamura, H. Risk factor of acute renal failure induced by edaravone in patients with cerebrovascular disorder. J. Jpn. Soc. Emerg. Med. 2016, 19, 461–465. [Google Scholar]
- Davies, K.J.; Quintanilha, A.T.; Brooks, G.A.; Packer, L. Free radicals and tissue damage produced by exercise. Biochem. Biophys. Res. Commun. 1982, 107, 1198–1205. [Google Scholar] [CrossRef]
- Komatsu, F.; Kagawa, Y.; Sakuma, M.; Kawabata, T.; Kaneko, Y.; Otgontuya, D.; Chimedregzen, U.; Narantuya, L.; Purvee, B. Investigation of oxidative stress and dietary habits in Mongolian people, compared to Japanese people. Nutr. Metab. 2006, 3, 21. [Google Scholar] [CrossRef]
- Graf, E. Antioxidant potential of Ferulic acid. Free. Radic. Biol. Med. 1992, 13, 435–448. [Google Scholar] [CrossRef] [PubMed]
- Srinivasan, M.; Sudheer, A.R.; Menon, V.P. Ferulic Acid: Therapeutic Potential Through Its Antioxidant Property. J. Clin. Biochem. Nutr. 2007, 40, 92–100. [Google Scholar] [CrossRef]
- Sgarbossa, A.; Giacomazza, D.; Carlo, M.D. Ferulic Acid: A Hope for Alzheimer’s Disease Therapy from Plants. Nutrients 2015, 7, 5764–5782. [Google Scholar] [CrossRef]
- Balasubashini, M.S.; Rukkumani, R.; Menon, V.P. Protective effects of ferulic acid hyperlipidemic diabetic rats. Acta Diabetol. 2003, 40, 118–122. [Google Scholar] [CrossRef] [PubMed]
- Ren, Z.; Zhang, R.; Li, Y.; Li, Y.; Yang, Z.; Yang, H. Ferulic acid exerts neuroprotective effects against cerebral ischemia/reperfusion-induced injury via antioxidant and anti-apoptotic mechanisms in vitro and in vivo. Int. J. Mol. Med. 2017, 40, 1444–1456. [Google Scholar] [CrossRef] [PubMed]
- Cheng, C.Y.; Su, S.Y.; Tang, N.Y.; Ho, T.Y.; Chiang, S.Y.; Hsieh, C.L. Ferulic acid provides neuroprotection against oxidative stress-related apoptosis after cerebral ischemia/reperfusion injury by inhibiting ICAM-1 mRNA expression in rats. Brain Res. 2008, 1209, 136–150. [Google Scholar] [CrossRef]
- Tu, W.; Wang, H.; Li, S.; Liu, Q.; Sha, H. The Anti-Inflammatory and Anti-Oxidant Mechanisms of the Keap1/Nrf2/ARE Signaling Pathway in Chronic Diseases. Aging Dis. 2019, 10, 637–651. [Google Scholar] [CrossRef] [PubMed]
- Asano, T.; Xuan, M.; Iwata, N.; Takayama, J.; Hayashi, K.; Kato, Y.; Aoyama, T.; Sugo, H.; Matsuzaki, H.; Yuan, B.; et al. Involvement of the Restoration of Cerebral Blood Flow and Maintenance of eNOS Expression in the Prophylactic Protective Effect of the Novel Ferulic Acid Derivative FAN012 against Ischemia/Reperfusion Injuries in Rats. Int. J. Mol. Sci. 2023, 24, 9663. [Google Scholar] [CrossRef]
- Sugoh, H.; Matsuzaki, H.; Takayama, J.; Iwata, N.; Xuan, M.; Yuan, B.; Sakamoto, T.; Okazaki, M. FAD012, a Ferulic Acid Derivative, Preserves Cerebral Blood Flow and Blood–Brain Barrier Integrity in a Photothrombotic Stroke Model in Rats. Biomedicines 2025, 13, 2403. [Google Scholar] [CrossRef] [PubMed]
- Kanski, J.; Akesnova, M.; Stoyanova, A.; Butterfield, D.A. Ferulic acid antioxidant protection against hydroxyl and peroxyl radical oxidation in synaptosomal and neuronal cell culture systems in vitro: Structure-activity studies. J. Nutr. Biochem. 2002, 13, 273–281. [Google Scholar] [CrossRef]
- Ullah, S.; Park, Y.; Park, C.; Lee, S.; Kang, D.; Yang, J.; Akter, J.; Chun, P.; Moon, H.R. Antioxidant, anti-tyrosinase and anti-melanogenic effects of (E)-2,3-diphenylacrylic acid derivatives. Bioorg. Med. Chem. 2019, 27, 2192–2200. [Google Scholar] [CrossRef]
- Mao, J.; Wang, L.; Chen, S.; Yan, B.; Xun, L.; Li, R.; Wang, P.; Zhao, Q. Design, synthesis, antiviral activities of ferulic acid derivatives. Front. Pharmacol. 2023, 14, 1133655. [Google Scholar] [CrossRef]
- Matsuzaki, H.; Arai, A.; Xuan, M.; Yuan, B.; Takayama, J.; Sakamoto, T.; Okazaki, M. CUD003, a Novel Curcumin Derivative, Ameliorates LPS-Induced Impairment of Endothelium-Dependent Relaxation and Vascular Inflammation in Mice. Int. J Mol. Sci. 2025, 26, 8850. [Google Scholar] [CrossRef]
- Tabata, K.; Matsuzaki, H.; Oguchi, T.; Tanaka, Y.; Sato, M.; Yamamoto, N.; Fujita, S. Ferulic acid derivative protects Neuro2a cells from oxidative stress-induced cell death. Neurosci. Lett. 2005, 373, 115–120. [Google Scholar]
- Ghaffari, H.; Venkataramana, M.; Ghassam, B.J.; Nayaka, S.C.; Nataraju, A.; Geetha, N.P.; Prakash, H.S. Rosmarinic acid mediated neuroprotective effects against H2O2-induced neuronal cell damage in N2A cells. Life Sci. 2014, 113, 7–13. [Google Scholar] [CrossRef] [PubMed]
- Zhang, H.; Li, Y.; Xun, Y.; Liu, H.; Wei, C.; Wang, H.; Yang, X.; Yuan, S.; Liu, N.; Xiang, S. Polydatin protects neuronal cells from hydrogen peroxide damage by activating CREB/Ngb signaling. Mol. Med. Rep. 2021, 25, 9. [Google Scholar] [CrossRef]
- Yuan, Y.; Tan, H.; Chen, H.; Zhang, J.; Shi, F.; Wang, M.; Zhang, G.; Wang, H.; Dong, R. Peroxiredoxin 1 alleviates oxygen-glucose deprivation/ reoxygenation injury in N2a cells via suppressing the JNK/ caspase-3 pathway. Iran. J. Basic Med. Sci. 2023, 26, 1305–1312. [Google Scholar]
- Perkin, W.H. XI.—On the formation of coumarin and of cinnamic and of other analogous acids from the aromatic aldehydes. J. Chem. Soc. 1877, 31, 388. [Google Scholar] [CrossRef]
- Asano, T.; Matsuzaki, H.; Iwata, N.; Xuan, M.; Kamiuchi, S.; Hibino, Y.; Sakamoto, T.; Okazaki, M. Protective Effects of Ferulic Acid against Chronic Cerebral Hypoperfusion-Induced Swallowing Dysfunction in Rats. Int. J. Mol. Sci. 2017, 18, 550. [Google Scholar] [CrossRef] [PubMed]
- Monks, T.J.; Hanzlik, R.P.; Cohen, G.M.; Ross, D.; Graham, D.G. Quinone chemistry and toxicity. Toxicol. Appl. Pharmacol. 1992, 112, 2–16. [Google Scholar] [CrossRef] [PubMed]
- Miyamoto, S.; Ogasawara, K.; Kuroda, S.; Itabashi, R.; Toyoda, K.; Itoh, Y.; Iguchi, Y.; Shiokawa, Y.; Takagi, Y.; Ohtsuki, T.; et al. Japan Stroke Society Guideline 2021 for the Treatment of Stroke. Int. J. Stroke 2022, 17, 1039–1049. [Google Scholar] [CrossRef] [PubMed]
- Lapchak, P.A. A critical assessment of edaravone acute ischemic stroke efficacy trials: Is edaravone an effective neuroprotective therapy? Expert Opin. Pharmacother. 2010, 11, 1753–1763. [Google Scholar] [CrossRef]
- Niki, E. Interaction of ascorbate and α-tocopherol. Ann. N. Y. Acad. Sci. 1987, 498, 186–199. [Google Scholar] [CrossRef]
- Monteiro, K.K.A.C.; Shiroma, M.E.; Damous, L.L.; de Jesus Simões, M.; Simões, R.D.S.; Cipolla-Neto, J.; Baracat, E.C.; Soares-Jr, J.M. Antioxidant actions of melatonin: A systematic review. Antioxidants 2024, 13, 439. [Google Scholar] [CrossRef]
- Galano, A.; Tan, D.X.; Reiter, R.J. On the free radical scavenging activities of melatonin’s metabolites AFMK and AMK. J. Pineal Res. 2013, 54, 245–257. [Google Scholar] [CrossRef]
- Superti, F.; Russo, R. Alpha-Lipoic Acid: Biological Mechanisms and Health Benefits. Antioxidants 2024, 13, 1228. [Google Scholar] [CrossRef] [PubMed]
- Gomes, M.B.; Negrato, C.A. Alpha-lipoic acid as a pleiotropic compound with potential therapeutic use in diabetes and other chronic diseases. Diabetol. Metab. Syndr. 2014, 6, 80. [Google Scholar] [CrossRef] [PubMed]
- Wilcox, C.S. Effects of tempol and redox-cycling nitroxides in models of oxidative stress. Pharmacol. Ther. 2010, 126, 119–145. [Google Scholar] [CrossRef] [PubMed]
- Kyriazis, M.; Swas, L.; Orlova, T. The Impact of Hormesis, Neuronal Stress Response, and Reproduction, upon Clinical Aging: A Narrative Review. J. Clin. Med. 2023, 12, 5433. [Google Scholar] [CrossRef]
- Calabrese, V.; Cornelius, C.; Dinkova-Kostova, A.T.; Calabrese, E.J.; Mattson, M.P. Cellular Stress Responses, The Hormesis Paradigm, and Vitagenes: Novel Targets for Therapeutic Intervention in Neurodegenerative Disorders. Antioxid. Redox Signal. 2010, 13, 1763–1811. [Google Scholar] [CrossRef]
- Carocho, M.; Ferreira, I.C.F.R. A review on antioxidants, prooxidants and related controversy: Natural and synthetic compounds, screening and analysis methodologies and future perspectives. Food Chem. Toxicol. 2013, 51, 15–25. [Google Scholar] [CrossRef]
- Kancheva, V.D.; Dettori, M.A.; Fabbri, D.; Alov, P.; Angelova, S.E.; Slavova-Kazakova, A.K.; Carta, P.; Menshov, V.A.; Yablonskaya, O.I.; Trofimov, A.V.; et al. Natural Chain-Breaking Antioxidants and Their Synthetic Analogs as Modulators of Oxidative Stress. Antioxidants 2021, 10, 624. [Google Scholar] [CrossRef]






| Ferulic Acid Derivatives | Structure | DPPH Assay EC50 (μmol/L) |
|---|---|---|
| FA (control) | ![]() | 86.51 ± 6.92 |
| FAN001 | ![]() | 62.75 ± 6.67 |
| FAN002 | ![]() | 64.32 ± 8.10 |
| FAN003 | ![]() | 17.94 ± 4.96 |
| FAN004 | ![]() | 17.11 ± 1.53 |
| FAN007 | ![]() | 48.46 ± 14.21 |
| FAN008 | ![]() | 51.59 ± 13.49 |
| FAN021 | ![]() | 85.46 ± 16.66 |
| FAN022 | ![]() | >1500 |
| FAN023 | ![]() | 66.43 ± 16.36 |
| FAN024 | ![]() | >1500 |
| FAN025 | ![]() | 30.45 ± 1.65 |
| FAN036 | ![]() | >1500 |
| FAN037 | ![]() | 34.60 ± 6.31 |
| FAN038 | ![]() | >1500 |
| FAN040 | ![]() | 51.29 ± 12.79 |
| FAN067 | ![]() | 59.51 ± 13.35 |
| FAN068 | ![]() | 62.53 ± 18.14 |
Disclaimer/Publisher’s Note: The statements, opinions and data contained in all publications are solely those of the individual author(s) and contributor(s) and not of MDPI and/or the editor(s). MDPI and/or the editor(s) disclaim responsibility for any injury to people or property resulting from any ideas, methods, instructions or products referred to in the content. |
© 2025 by the authors. Licensee MDPI, Basel, Switzerland. This article is an open access article distributed under the terms and conditions of the Creative Commons Attribution (CC BY) license (https://creativecommons.org/licenses/by/4.0/).
Share and Cite
Shikama, K.; Takayama, J.; Xuan, M.; Matsuzaki, H.; Yuan, B.; Teramae, H.; Okazaki, M.; Sakamoto, T. Design and Synthesis of Ferulic Acid Derivatives with Enhanced Antioxidant and Neuroprotective Activities: Discovery of Dual Antioxidant Agent. AppliedChem 2025, 5, 37. https://doi.org/10.3390/appliedchem5040037
Shikama K, Takayama J, Xuan M, Matsuzaki H, Yuan B, Teramae H, Okazaki M, Sakamoto T. Design and Synthesis of Ferulic Acid Derivatives with Enhanced Antioxidant and Neuroprotective Activities: Discovery of Dual Antioxidant Agent. AppliedChem. 2025; 5(4):37. https://doi.org/10.3390/appliedchem5040037
Chicago/Turabian StyleShikama, Koichi, Jun Takayama, Meiyan Xuan, Hirokazu Matsuzaki, Bo Yuan, Hiroyuki Teramae, Mari Okazaki, and Takeshi Sakamoto. 2025. "Design and Synthesis of Ferulic Acid Derivatives with Enhanced Antioxidant and Neuroprotective Activities: Discovery of Dual Antioxidant Agent" AppliedChem 5, no. 4: 37. https://doi.org/10.3390/appliedchem5040037
APA StyleShikama, K., Takayama, J., Xuan, M., Matsuzaki, H., Yuan, B., Teramae, H., Okazaki, M., & Sakamoto, T. (2025). Design and Synthesis of Ferulic Acid Derivatives with Enhanced Antioxidant and Neuroprotective Activities: Discovery of Dual Antioxidant Agent. AppliedChem, 5(4), 37. https://doi.org/10.3390/appliedchem5040037



















