A One-Year Follow-Up Cohort Study of Ambulatory Patients with SARS-CoV-2 Infection: The Landscape in Mexico
Abstract
1. Introduction
2. Materials and Methods
2.1. Individuals
2.2. SARS-CoV-2 Detection
2.3. Antibody Detection
2.4. Statistical Analysis
3. Results
3.1. Basal Clinical and Demographic Characteristics
3.2. Reinfections during Follow-Up
4. Discussion
5. Conclusions
Supplementary Materials
Author Contributions
Funding
Institutional Review Board Statement
Informed Consent Statement
Data Availability Statement
Conflicts of Interest
References
- Zhu, N.; Zhang, D.; Wang, W.; Li, X.; Yang, B.; Song, J.; Zhao, X.; Huang, B.; Shi, W.; Lu, R.; et al. A Novel Coronavirus from patients with pneumonia in China, 2019. N. Engl. J. Med. 2020, 382, 727–733. [Google Scholar] [CrossRef] [PubMed]
- Zhou, F.; Yu, T.; Du, R.; Fan, G.; Liu, Y.; Liu, Z.; Xiang, J.; Wang, Y.; Song, B.; Gu, X.; et al. Clinical course and risk factors for mortality of adult inpatients with COVID-19 in Wuhan, China: A retrospective cohort study. Lancet 2020, 395, 1054–1062. [Google Scholar] [CrossRef]
- Hu, B.; Guo, H.; Zhou, P.; Shi, Z.L. Characteristics of SARS-CoV-2 and COVID-19. Nat. Rev. Microbiol. 2020, 19, 1–14. [Google Scholar] [CrossRef]
- Gralinski, L.E.; Menachery, V.D. Return of the Coronavirus: 2019-nCoV. Viruses 2020, 12, 135. [Google Scholar] [CrossRef] [PubMed]
- Sotoodeh Ghorbani, S.; Taherpour, N.; Bayat, S.; Ghajari, H.; Mohseni, P.; Nazari, S.S.H. Epidemiologic characteristics of cases with reinfection, recurrence, and hospital readmission due to COVID-19: A systematic review and meta-analysis. J. Med. Virol. 2021, 94, 44–53. [Google Scholar] [CrossRef]
- Tomassini, S.; Kotecha, D.; Bird, P.W.; Folwell, A.; Biju, S.; Tang, J.W. Setting the criteria for SARS-CoV-2 reinfection—Six possible cases. J. Infect. 2021, 82, 282–327. [Google Scholar] [CrossRef] [PubMed]
- Faria, N.R.; Mellan, T.A.; Whittaker, C.; Claro, I.M.; Candido, D.D.S.; Mishra, S.; Crispim, M.A.E.; Sales, F.C.S.; Hawryluk, I.; McCrone, J.T.; et al. Genomics and epidemiology of P1 SARS-CoV-2 lineage in Manaus, Brazil. Science 2021, 372, 815–821. [Google Scholar] [CrossRef]
- Ren, X.; Zhou, J.; Guo, J.; Hao, C.; Zheng, M.; Zhang, R.; Huang, Q.; Yao, X.; Li, R.; Jin, Y.; et al. Reinfection in patients with COVID-19: A systematic review. Glob. Health Res. Policy 2022, 7, 12. [Google Scholar] [CrossRef]
- Rodda, L.B.; Netland, J.; Shehata, L.; Pruner, K.B.; Morawski, P.A.; Thouvenel, C.D.; Takehara, K.K.; Eggenberger, J.; Hemann, E.A.; Waterman, H.R.; et al. Functional SARS-CoV-2-specific immune memory persists after mild COVID-19. Cell 2021, 184, 69–183.e117. [Google Scholar] [CrossRef]
- Kellam, P.; Barclay, W. The dynamics of humoral immune response following SARS-CoV-2 infection and the potential for reinfection. J. Gen. Virol. 2020, 101, 791–797. [Google Scholar] [CrossRef]
- Lu, J.; Peng, J.; Xiong, Q.; Liu, Z.; Lin, H.; Tan, X.; Kang, M.; Yuan, R.; Zeng, L.; Zhou, P.; et al. Clinical, immunological and virological characterization of COVID-19 patients that test re-positive for SARS-CoV-2 by RT-PCR. EbioMed 2020, 59, 102960. [Google Scholar] [CrossRef]
- Sánchez-Pájaro, A.; Pérez-Ferrer, C.; Basto-Abreu, A.; Rivera-Dommarco, J.; Barquera, S.; Denova-Guitiérre, E.; Barrientos-Gutiérrez, T. Seroprevalence of SARS-Cov-2 in adults and older adults in Mexico and its association with chronic disease. Ensanut 2020 COVID-19. Salud Publica Mex. 2021, 63, 705–712. [Google Scholar] [CrossRef]
- Shamah-Levy, T.; Romero-Martínez, M.; Barrientos-Guitiérrez, T.; Cuevas-Nasu, L.; Bautista-Arredondo, S.; Colchero, M.A.; Gaona-Pineda, A.B.; Lazcano-Pnce, E.; Martínez-Barnetche, J.; Alpuche-Aranda, C.; et al. Encuesta Nacional de Salud y Nutrición 2021 Sobre COVID-19. Resultados Nacionales; Instituto Nacional de Salud Pública: Cuernavaca, Mexico, 2022; ISBN 978-606-511-222-0.
- Carnalla, M.; Basto-Abreu, A.; Stern, D. Prevalence of antibodies and SARS-CoV-2 vaccination in Mexico 2022. Salud Publica Mex. 2023, 65, S135–S145. [Google Scholar] [CrossRef]
- Dirección General de Epidemiología. Datos Abiertos Dirección General de Epidemiología. Available online: https://www.gob.mx/salud/documentos/datos-abiertos-152127 (accessed on 30 September 2023).
- Our World in Data. Coronavirus Pandemic (COVID-19). Available online: https://ourworldindata.org/coronavirus (accessed on 3 June 2024).
- Ramonfaur, D.; Hinojosa-González, D.E.; Rodríguez-Gómez, G.P.; Iruegas-Nuñez, D.A.; Flores-Villalba, E. COVID-19 vaccine hesitancy and acceptance in Mexico: A web-based nationalwide survey. Rev. Panam Salud Publica 2021, 45, e133. [Google Scholar] [CrossRef]
- Chaturvedi, R.; Naidu, R.; Seth, S.; Chakravarthy, K. Efficacy of serology testing in predicting reinfection in patients with SARS-CoV-2. Disaster Med. Public Health Prep. 2020, 15, e29–e31. [Google Scholar] [CrossRef]
- Negi, N.; Maurya, S.P.; Singh, R.; Das, B.K. An update on host immunity correlates and prospects of reinfection in COVID-19. Int. Rev. Immun. 2021, 41, 367–392. [Google Scholar] [CrossRef]
- Hall, V.J.; Foulkes, S.; Charlett, A.; Atti, A.; Monk, E.J.M.; Simmons, R.; Wellington, E.; Cole, M.J.; Saei, A.; Oguti, B.; et al. SARS-CoV-2 infection rates of antibody-positive compared with antibody-negative health-care workers in England: A large, multicenter, prospective cohort study (SIREN). Lancet 2021, 397, 1459–1469. [Google Scholar] [CrossRef]
- Mukherjee, A.; Anand, T.; Agarwal, A.; Singh, H.; Chatterjee, P.; Narayan, J.; Rana, S.; Gupta, N.; Bhargava, B.; Panda, S. SARS-CoV-2 re-infection: Development of an epidemiological definition from India. Epidemiol. Infect. 2021, 149, e82. [Google Scholar] [CrossRef]
- Akinbami, L.J.; Biggerstaff, B.J.; Chan, P.A.; McGibbon, E.; Pathela, P.; Petersen, L.R. Reinfection with severe acute respiratory syndrome coronavirus 2 among previously infected healthcare personnel and first responders. Clin. Infect. Dis. 2022, 75, e201–e207. [Google Scholar] [CrossRef]
- Helfand, M.; Fiordalisi, C.; Wiedrcik, J.; Ramsey, K.L.; Armostrong, C.; Gean, E.; Winchell, K.; Arkhipova-Jenkins, I. Risk of reinfection after SARS-CoV-2: A living, rapid review for American College of Physicians Practice Pints on the role of the antibody response in conferring immunity following SARS-CoV-2 infection. Ann. Internal Med. 2022, 175, 547–555. [Google Scholar] [CrossRef]
- Consorcio Mexicano de Vigilancia Genómica (CoViGen-Mex). Available online: http://mexcov2.ibt.unam.mx:8080/COVID-TRACKER/ (accessed on 31 October 2022).
- Gaebler, C.; Wang, Z.; Lorenzi, J.C.C.; Muecksch, F.; Finkin, S.; Tokuyama, M.; Cho, A.; Jankovic, M.; Schaefer-Babajew, D.; Thiago, Y.; et al. Evolution of antibody immunity to SARSA-CoV-2. Nature 2021, 591, 639–644. [Google Scholar] [CrossRef] [PubMed]


| Variable | Frequency |
|---|---|
| Number of patients | 131 |
| Loss to follow-up | 11 (8.4%) |
| Recruitment time (days) | 9 (7–12) |
| Age (median, IQR) | 37 (29–45) |
| Female | 82 (68.3%) |
| BMI (median, IQR) | 25.9 (23.1–28.4) |
| Overweight | 51 (42.5%) |
| Obesity | 21 (17.5%) |
| Smoke | 16 (13.3%) |
| Co-morbidities | 88 (73.3%) |
| History of Flu vaccination | 65 (54.2%) |
| Non-COVID-19 respiratory infection last year | 10 (11.7%) |
| Inhabitants per home (median, IQR) | 4 (3–5) |
| Inhabitants with symptoms | 58 (48.3%) |
| Number of inhabitants with symptoms per house | 4 (3–5) |
| Contact with a confirmed case | 85 (70.8%) |
| Confirmed contact outside home | 52 (61.9%) |
| Duration of symptoms (days, median, IQR) | 6 (9–50) |
| Reinfections (ten patients) | 11 (9.2%) |
| Asymptomatic | 6 (5.0%) |
| Time of Sample | Positive | Median (IQR) |
|---|---|---|
| Basal | 42 (35.0%) | 0.56 (0.26–1.55) |
| Day 21 | 88 (73.5%) | 4.25 (0.98–6.22) |
| Day 60 | 88 (73.5%) | 2.66 (1.05–4.34) |
| Day 90 | 88 (73.5%) | 2.69 (1.0–4.89) |
| Day 180 | 107 (89.2%) | 6.34 (3.37–7.97) |
| Variable | Non-Reinfected | Reinfected | p-Value |
|---|---|---|---|
| Age median, (IQR) | 36.3 (28.7–44.8) | 38 (30.2–43.7) | 0.956 |
| Female | 74 (67.3%) | 8 (72.7%) | 0.660 |
| BMI (mean, IQR) | 26 (23.1–28.3) | 25 (23.6–30.4) | 0.837 |
| Smoke | 14 (12.7%) | 2 (18.2%) | 0.792 |
| Co-morbidities | 81 (73.6%) | 8 (72.7%) | 0.993 |
| Inhabitants per home | 4 (3–4) | 4 (3–5) | 0.871 |
| Inhabitants with symptoms | 53 (48.2%) | 5 (45.5%) | >0.999 |
| Contact with a confirmed contact | 78 (70.9%) | 8 (72.7%) | 0.843 |
| Duration of symptoms (days) | 17.5 (8–47.5) | 21 (9–71) | 0.800 |
| Asymptomatic patients | 6 (5.5%) | 0 (0.0%) | 0.586 * |
| Fever | 26 (23.6%) | 5 (50%) | 0.158 |
| Dry cough | 58 (52.7%) | 8 (80%) | 0.179 |
| Productive cough | 28 (25.5%) | 3 (30%) | >0.999 |
| Headache | 83 (75.5%) | 9 (90%) | 0.543 |
| Myalgias | 61 (55.5%) | 8 (80%) | 0.239 |
| Arthralgias | 50 (45.5%) | 7 (70%) | 0.247 |
| Dyspnea | 30 (27.3%) | 5 (50%) | 0.253 |
| Earache | 34 (30.9%) | 4 (40%) | 0.786 |
| Anosmia | 58 (52.7%) | 5 (50%) | >0.999 |
| Dysgeusia | 49 (44.5%) | 3 (30%) | 0.587 |
| Odynophagia | 67 (60.9%) | 8 (80%) | 0.399 |
| Nasal discharge | 66 (60%) | 5 (50%) | 0.768 |
| Fatigue | 56 (50.9%) | 8 (80%) | 0.146 |
| Nausea | 31 (28.2%) | 4 (40%) | 0.647 |
| Diarrhea | 30 (27.3%) | 4 (40%) | 0.602 |
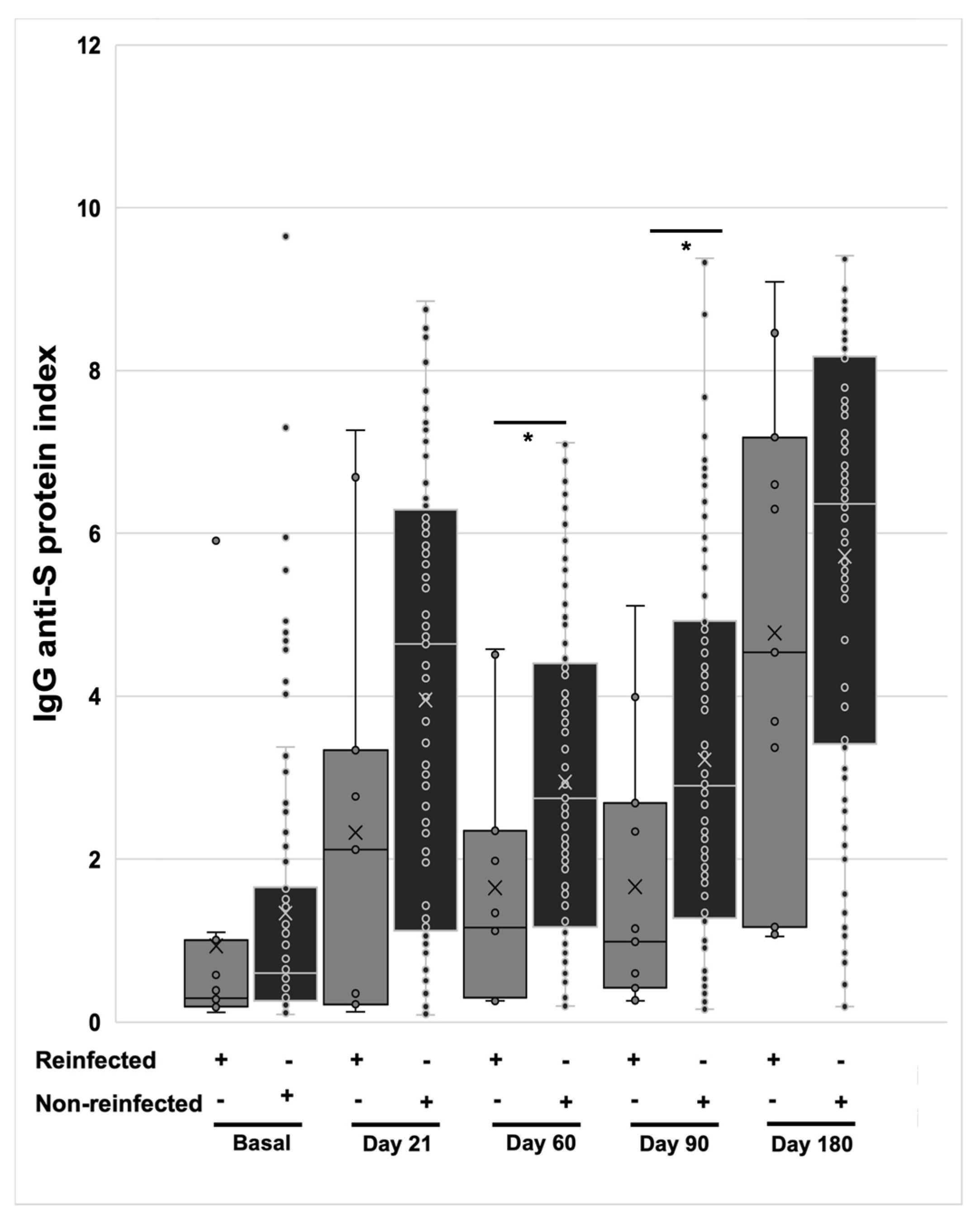
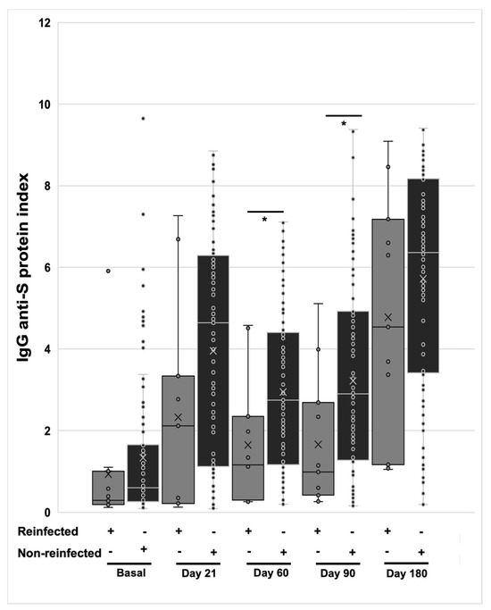
| Variable | Infected | Reinfected | p Value |
|---|---|---|---|
| RT-qPCR positive at recruitment | 67 (61.5%) | 4 (35.4%) | 0.126 |
| RT-qPCR positive at day 21 | 8 (7.3%) | 0 (0.0%) | 0.452 |
| RT-qPCR positive at day 60 | 2 (2.8%) | 0 (0.0%) | 0.824 |
| IgG basal (median, IQR) | 0.6 (0.3–1.7) | 0.3 (0.1–1.1) | 0.172 |
| Seropositive basal | 41 (37.6%) | 1 (9.1%) | 0.052 |
| IgG at day 21 (median, IQR) | 4.6 (1.1–6.3) | 2 (0.2–3.3 | 0.132 |
| Seropositive day 21 | 82 (75.2%) | 6 (54.5%) | 0.170 |
| IgG at day 60 (median, IQR) | 2.9 (1.2–4.4) | 1 (0.3–2.4) | 0.042 |
| Seropositive day 60 | 83 (76.1%) | 7 (63.6%) | 0.384 |
| IgG at day 90 (median, IQR) | 2.9 (1.3–4.9) | 1 (0.4–2.7) | 0.037 |
| Seropositive day 90 | 84 (76.1%) | 5 (45.5%) | 0.039 |
| IgG at day 180 (median, IQR) | 6.4 (3.4–8.2) | 5 (1.2–7.2) | 0.314 |
| Seropositive at day 180 | 98 (89.9%) | 9 (81.8%) | 0.438 |
| Non-vaccinated | 31 (28.4%) | 4 (36.4%) | 0.405 |
| AstraZeneca | 19 (17.3%) | 4 (36.4%) | |
| Johnson & Johnson | 2 (1.8%) | 1 (9.1%) | |
| Cansino | 23 (21.1%) | 4 (36.4%) | |
| Pfizer | 32 (29.4%) | 1 (9.1%) | |
| Moderna | 2 (1.8%) | 0 (0.0%) | |
| Sinovac | 4 (3.6%) | 0 (0.0%) |
| Variable | Seronegative | Seropositive | p Value |
|---|---|---|---|
| Age (median, IQR) | 38 (35.0–49.5) | 35 (28–44) | 0.033 |
| Female | 19 (59.4%) | 63 (68.3%) | 0.147 |
| Onset of disease–recruitment (days) | 8 (5–11) | 10 (8–13) | 0.019 |
| BMI (median, IQR) | 26.4 (23.2–29.8) | 26.5 (23.1–28.1) | 0.306 |
| Overweight/obesity | 21 (65.6%) | 51 (57.9%) | 0.782 |
| Smoke | 5 (15.6%) | 11 (12.5%) | 0.430 |
| Co-morbidities | 26 (81.3) | 62 (70.5%) | 0.172 |
| Inhabitants per home | 3 (2.0–4.3) | 4 (3–5) | 0.182 |
| Inhabitants with symptoms | 16 (50.0%) | 42 (47.7%) | 0.494 |
| Contact with a confirmed contact | 26 (81.3%) | 59 (67.0%) | 0.097 |
| Duration of symptoms (days) | 13 (7.71) | 19 (10–49) | 0.397 |
| Asymptomatic patients | 5 (15.6%) | 1 (1.1%) | 0.005 |
| Fever | 7 (21.9%) | 34 (38.6%) | 0.065 |
| Dry cough | 16 (50.0%) | 50 (56.8%) | 0.323 |
| Productive cough | 5 (15.6%) | 26 (29.5%) | 0.093 |
| Headache | 18 (56.3%) | 74 (84.1%) | 0.002 |
| Myalgias | 18 (56.3%) | 51 (58.0%) | 0.515 |
| Arthralgias | 14 (43.8%) | 43 (48.9%) | 0.387 |
| Dyspnea | 8 (25.0%) | 27 (30.7%) | 0.358 |
| Earache | 10 (31.3%) | 28 (31.8%) | 0.566 |
| Sneezing | 10 (31.3%) | 55 (62.5%) | 0.002 |
| Anosmia | 10 (31.3%) | 53 (60.2%) | 0.004 |
| Dysgeusia | 10 (31.3%) | 42 (47.7%) | 0.079 |
| Odynophagia | 22 (68.8%) | 53 (60.2%) | 0.263 |
| Runny nose | 13 (40.6%) | 58 (65.9%) | 0.012 |
| Fatigue | 14 (43.8%) | 50 (56.8%) | 0.144 |
| Conjunctivitis | 6 (18.8%) | 26 (29.5%) | 0.172 |
| Nausea | 5 (15.6%) | 30 (34.1%) | 0.037 |
| Vomit | 4 (12.5%) | 12 (13.6%) | 0.570 |
| Diarrhea | 11 (34.4%) | 23 (26.1%) | 0.253 |
| IgG basal (mean, p25–p75) | 0.41 (0.20–0.82) | 0.64 (0.26–2.12) | 0.080 |
| IgG day 21 (mean, p25–p75) | 0.62 (0.21–2.87) | 4.87 (2.41–6.48) | <0.001 |
| IgG day 60 (mean, p25–p75) | 0.91 (0.30–2.53) | 3.26 (1.73–4.63) | <0.001 |
| IgG day 90 (mean, p25–p75) | 0.37 (0.22–0.60) | 3.65 (2.35–5.27) | <0.001 |
| IgG day 180 (mean, p25–p75) | 6.34 (1.10–7.67) | 6.33 (3.94–8.25) | 0.197 |
Disclaimer/Publisher’s Note: The statements, opinions and data contained in all publications are solely those of the individual author(s) and contributor(s) and not of MDPI and/or the editor(s). MDPI and/or the editor(s) disclaim responsibility for any injury to people or property resulting from any ideas, methods, instructions or products referred to in the content. |
© 2024 by the authors. Licensee MDPI, Basel, Switzerland. This article is an open access article distributed under the terms and conditions of the Creative Commons Attribution (CC BY) license (https://creativecommons.org/licenses/by/4.0/).
Share and Cite
Comas-García, A.; Hernández-Castro, B.; Hernández-Salazar, R.S.; Vitales-Noyola, M.; Alvarado-Hernández, D.L.; Hernández-Sánchez, P.G.; Sánchez-Rodríguez, A.E.; González-López, J.S.; Méndez-Ramírez, J.E.; González-Amaro, R.; et al. A One-Year Follow-Up Cohort Study of Ambulatory Patients with SARS-CoV-2 Infection: The Landscape in Mexico. COVID 2024, 4, 848-858. https://doi.org/10.3390/covid4070057
Comas-García A, Hernández-Castro B, Hernández-Salazar RS, Vitales-Noyola M, Alvarado-Hernández DL, Hernández-Sánchez PG, Sánchez-Rodríguez AE, González-López JS, Méndez-Ramírez JE, González-Amaro R, et al. A One-Year Follow-Up Cohort Study of Ambulatory Patients with SARS-CoV-2 Infection: The Landscape in Mexico. COVID. 2024; 4(7):848-858. https://doi.org/10.3390/covid4070057
Chicago/Turabian StyleComas-García, Andreu, Berenice Hernández-Castro, Ricardo Sebastián Hernández-Salazar, Marlen Vitales-Noyola, Diana Lorena Alvarado-Hernández, Pedro Gerardo Hernández-Sánchez, Ana Elena Sánchez-Rodríguez, Jesús Salvador González-López, Jaime Enrique Méndez-Ramírez, Roberto González-Amaro, and et al. 2024. "A One-Year Follow-Up Cohort Study of Ambulatory Patients with SARS-CoV-2 Infection: The Landscape in Mexico" COVID 4, no. 7: 848-858. https://doi.org/10.3390/covid4070057
APA StyleComas-García, A., Hernández-Castro, B., Hernández-Salazar, R. S., Vitales-Noyola, M., Alvarado-Hernández, D. L., Hernández-Sánchez, P. G., Sánchez-Rodríguez, A. E., González-López, J. S., Méndez-Ramírez, J. E., González-Amaro, R., & Bernal-Silva, S. (2024). A One-Year Follow-Up Cohort Study of Ambulatory Patients with SARS-CoV-2 Infection: The Landscape in Mexico. COVID, 4(7), 848-858. https://doi.org/10.3390/covid4070057

