A Decision-Aid Model for Predicting Triple-Negative Breast Cancer ICI Response Based on Tumor Mutation Burden
Abstract
1. Introduction
2. Literature Review
| Ref | Cancer Type | Model | Clinical Data Integration | Biological Insights | Image Type | TMB Threshold | Performance | Year |
|---|---|---|---|---|---|---|---|---|
| [23] | Multiple cancers (no BC) | Multiscale weakly supervised deep learning | - | Yes (TME composition) | Histological | FDA-approved 10 Mut/MB | AUC = 0.732 | 2022 |
| [21] | Clear cell renal cell carcinoma | Logistic regression with Resnet50 features | - | - | Histological | Segmented regression | AUC = 0.65 | 2022 |
| [18] | Breast cancer | Deep learning models (VGG16, GoogleNet, ResNet18, and DenseNet21) (CNN) | - | - | Histological | Median | AUC = 0.875 (VGG16) | 2022 |
| [30] | lung adenocarcinoma | ResNet18 (CNN) | - | Yes (DEG, pathways) | Histological | FDA-approved 10 Mut/MB | AUC = 0.641 | 2022 |
| [29] | colorectal cancer | InceptionV3 (CNN) | - | Yes (TIL, dMMR) | Histological | 27 Mut/MB | AUC = 0.934 | 2021 |
| [17] | gastrointestinal cancer | Deep learning models (VGG19, Resnet18, Inceptionv3, Alexnet, Squeezenet, etc.) | - | - | Histological | Upper tertile | AUC = 0.875 (VGG19) | 2020 |
| [13] | gastric cancer | Machine learning algorithms (KNN, DT, RF, SVM, LR, AdaBoost, NB) | - | - | radiomic | FDA-approved 10 Mut/MB | AUC = 0.89 (LR) | 2023 |
| [15] | non-small cell lung cancer | Nomogram | Yes | - | radiomic | FDA-approved 10 Mut/MB | AUC = 0.844 | 2023 |
| [16] | bladder cancer | Nomogram | - | - | radiomic | Median | AUC = 0.853 OS (p < 0.05) | 2021 |
| [14] | Lower-Grade Gliomas | ML algorithms (LR, RF, SVM, LDA, LGBM, and XGB) | - | - | radiomic | 0.655 Mut/MB | AUC = 0.785 (LGBM) | 2022 |
| [28] | lower-grade gliomas | Nomogram | Yes | - | radiomic | X-Tile Software | AUC = 0.736 OR (p < 0.05) | 2022 |
| This study | Breast cancer | Machine learning algorithms (KNN, DT, RF, LR) | Yes | yes (DEG, pathways analysis, genomic alterations) | Histological | Comparison of different threshold with Cox regression | AUC = 0.90 OS (p < 0.05) | 2025 |
3. Methodology
3.1. Data Acquisition
3.2. Tumor Mutation Burden and Survival Analysis
3.3. Histological Features Extraction
3.4. Development and Evaluation of Machine Learning Models
3.5. Feature Selection and the Construction of the Histological-Feature-Based TMB Predictor
3.6. TMB-Related Differentially Expressed Genes and Functional Pathways Analysis
4. Results
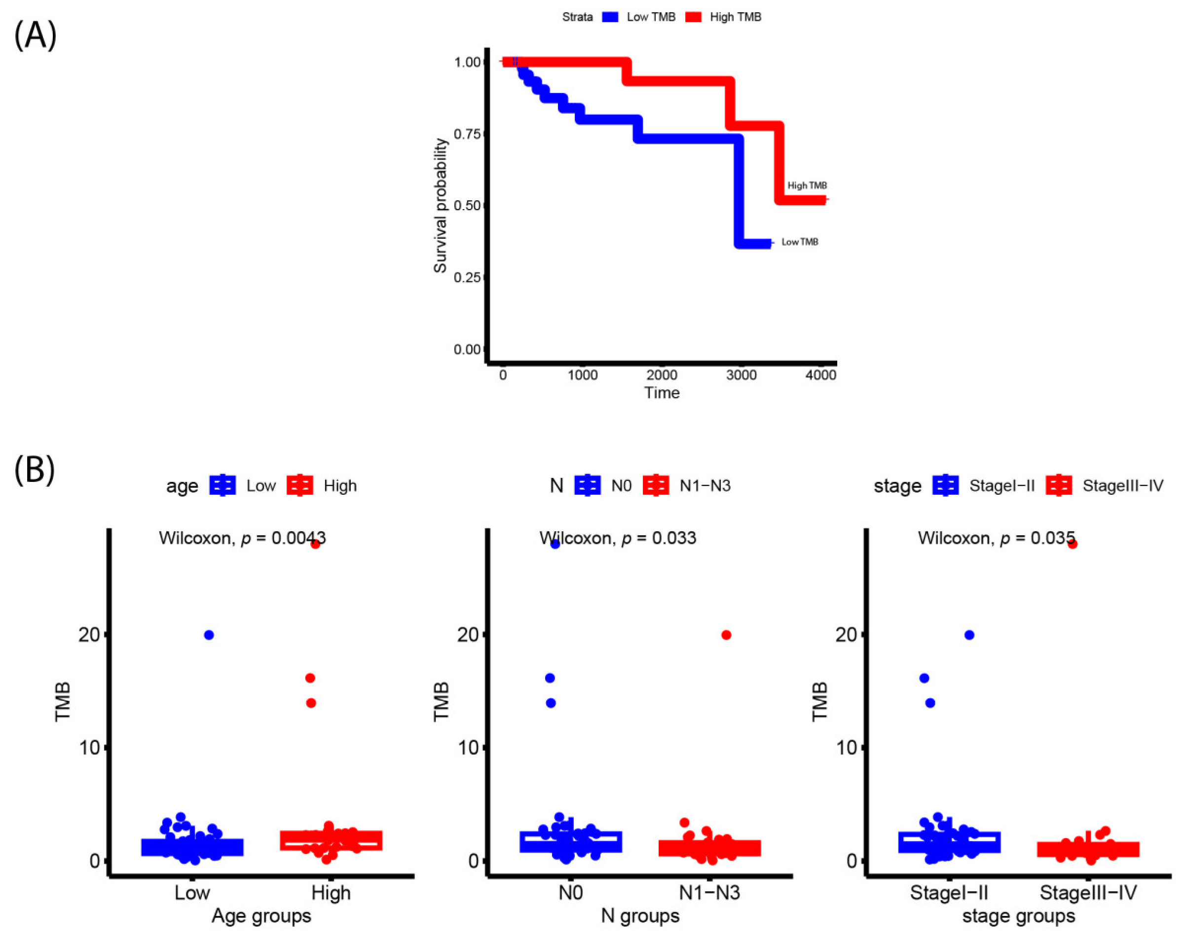
4.1. Survival Prognosis of TMB in TNBC
4.2. Development of the Histological-Feature-Based TMB Predictor
4.3. Analysis of TMB as a Predictor Biomarker for Immunotherapy Efficacy
5. Discussion
6. Conclusions
Supplementary Materials
Author Contributions
Funding
Institutional Review Board Statement
Informed Consent Statement
Data Availability Statement
Acknowledgments
Conflicts of Interest
References
- Sedeta, E.T.; Jobre, B.; Avezbakiyev, B. Breast cancer: Global patterns of incidence, mortality, and trends. J. Clin. Oncol. 2023, 41, 10528. [Google Scholar] [CrossRef]
- Tan, Q.; Yin, S.; Zhou, D.; Chi, Y.; Man, X.; Li, H. Potential Predictive and Prognostic Value of Biomarkers Related to Immune Checkpoint Inhibitor Therapy of Triple-Negative Breast Cancer. Front. Oncol. 2022, 12, 779786. [Google Scholar] [CrossRef] [PubMed]
- Schmid, P.; Adams, S.; Rugo, H.S.; Schneeweiss, A.; Barrios, C.H.; Iwata, H.; Diéras, V.; Hegg, R.; Im, S.-A.; Shaw Wright, G.; et al. Atezolizumab and Nab-Paclitaxel in Advanced Triple-Negative Breast Cancer. N. Engl. J. Med. 2018, 379, 2108–2121. [Google Scholar] [CrossRef] [PubMed]
- Huang, R.S.; Li, X.; Haberberger, J.; Sokol, E.; Severson, E.; Duncan, D.L.; Hemmerich, A.; Edgerly, C.; Williams, E.; Elvin, J.; et al. Biomarkers in Breast Cancer: An Integrated Analysis of Comprehensive Genomic Profiling and PD-L1 Immunohistochemistry Biomarkers in 312 Patients with Breast Cancer. Oncologist 2020, 25, 943–953. [Google Scholar] [CrossRef]
- Cortes, J.; Rugo, H.S.; Cescon, D.W.; Im, S.-A.; Yusof, M.M.; Gallardo, C.; Lipatov, O.; Barrios, C.H.; Perez-Garcia, J.; Iwata, H.; et al. Pembrolizumab plus Chemotherapy in Advanced Triple-Negative Breast Cancer. N. Engl. J. Med. 2022, 387, 217–226. [Google Scholar] [CrossRef]
- Maruvka, Y.E.; Mouw, K.W.; Karlic, R.; Parasuraman, P.; Kamburov, A.; Polak, P.; Haradhvala, N.J.; Hess, J.M.; Rheinbay, E.; Brody, Y.; et al. Analysis of somatic microsatellite indels identifies driver events in human tumors. Nat. Biotechnol. 2017, 35, 951–959. [Google Scholar] [CrossRef]
- Peters, S.; Madison, H.; Oliner, K.; L’hernault, A.; Ratcliffe, M.; Barrett, K.; Shi, X.; Garon, E.B.; Mok, T.; Johnson, M.L. Abstract CT080: Tremelimumab (T) + durvalumab (D) + chemotherapy (CT) in 1L metastatic NSCLC: Outcomes by blood tumor mutational burden (bTMB) in POSEIDON. Cancer Res. 2023, 83, CT080. [Google Scholar] [CrossRef]
- Ramalingam, S.S.; Hellmann, M.D.; Awad, M.M.; Borghaei, H.; Gainor, J.; Brahmer, J.; Spigel, D.R.; Reck, M.; O’Byrne, K.J.; Paz-Ares, L.; et al. Abstract CT078: Tumor mutational burden (TMB) as a biomarker for clinical benefit from dual immune checkpoint blockade with nivolumab (nivo) + ipilimumab (ipi) in first-line (1L) non-small cell lung cancer (NSCLC): Identification of TMB cutoff from CheckMate 568. Cancer Res. 2018, 78, CT078. [Google Scholar] [CrossRef]
- Marcus, L.; Fashoyin-Aje, L.A.; Donoghue, M.; Yuan, M.; Rodriguez, L.; Gallagher, P.S.; Philip, R.; Ghosh, S.; Theoret, M.R.; Beaver, J.A.; et al. FDA Approval Summary: Pembrolizumab for the Treatment of Tumor Mutational Burden–High Solid Tumors. Clin Cancer Res. 2021, 27, 4685–4689. [Google Scholar] [CrossRef]
- Emens, L.; Molinero, L.; Adams, S.; Rugo, H.; Schneeweiss, A.; Diéras, V.; Iwata, H.; Barrios, C.; Nechaeva, M.; Winer, E.; et al. 296P Tumour mutational burden and clinical outcomes with first-line atezolizumab and nab-paclitaxel in triple-negative breast cancer: Exploratory analysis of the phase III IMpassion130 trial. Ann. Oncol. 2020, 31, S360–S361. [Google Scholar] [CrossRef]
- Alva, A.S.; Mangat, P.K.; Garrett-Mayer, E.; Halabi, S.; Hansra, D.; Calfa, C.J.; Khalil, M.F.; Ahn, E.R.; Cannon, T.L.; Crilley, P.; et al. Pembrolizumab in Patients with Metastatic Breast Cancer With High Tumor Mutational Burden: Results From the Targeted Agent and Profiling Utilization Registry (TAPUR) Study. J. Clin. Oncol. 2021, 39, 2443–2451. [Google Scholar] [CrossRef] [PubMed]
- Cortes, J.; Cescon, D.W.; Rugo, H.S.; Nowecki, Z.; Im, S.-A.; Yusof, M.M.; Gallardo, C.; Lipatov, O.; Barrios, C.H.; Holgado, E.; et al. KEYNOTE-355: Randomized, double-blind, phase III study of pembrolizumab + chemotherapy versus placebo + chemotherapy for previously untreated locally recurrent inoperable or metastatic triple-negative breast cancer. J. Clin. Oncol. 2020, 38, 1000. [Google Scholar] [CrossRef]
- Ma, T.; Zhang, Y.; Zhao, M.; Wang, L.; Wang, H.; Ye, Z. A machine learning-based radiomics model for prediction of tumor mutation burden in gastric cancer. Front. Genet. 2023, 14, 1283090. [Google Scholar] [CrossRef]
- Lam, L.H.T.; Chu, N.T.; Tran, T.-O.; Do, D.T.; Le, N.Q.K. A Radiomics-Based Machine Learning Model for Prediction of Tumor Mutational Burden in Lower-Grade Gliomas. Cancers 2022, 14, 3492. [Google Scholar] [CrossRef]
- Yang, J.; Shi, W.; Yang, Z.; Yu, H.; Wang, M.; Wei, Y.; Wen, J.; Zheng, W.; Zhang, P.; Zhao, W.; et al. Establishing a predictive model for tumor mutation burden status based on CT radiomics and clinical features of non-small cell lung cancer patients. Transl. Lung Cancer Res. 2023, 12, 808–823. [Google Scholar] [CrossRef]
- Tang, X.; Qian, W.-L.; Yan, W.-F.; Pang, T.; Gong, Y.-L.; Yang, Z.-G. Radiomic assessment as a method for predicting tumor mutation burden (TMB) of bladder cancer patients: A feasibility study. BMC Cancer 2021, 21, 823. [Google Scholar] [CrossRef]
- Wang, L.; Jiao, Y.; Qiao, Y.; Zeng, N.; Yu, R. A novel approach combined transfer learning and deep learning to predict TMB from histology image. Pattern Recognit. Lett. 2020, 135, 244–248. [Google Scholar] [CrossRef]
- Chen, Y.; Liu, J.; Jiang, P.; Wang, L.; Pang, B.; Cao, D. Predicting Tumor Mutation Burden of TNBC Based on Nuclei Scores of Histopathological Images. In Proceedings of the 2022 IEEE International Conference on Bioinformatics and Biomedicine (BIBM), Las Vegas, NV, USA, 6–8 December 2022; pp. 936–941. [Google Scholar]
- Meng, X.; Yu, C.; Zhang, X. Predicting Tumor Mutation Burden of Lung Cancer Based on Residual Network. In Proceedings of the 2023 IEEE International Conference on Bioinformatics and Biomedicine (BIBM), Istanbul, Turkiye, 5–8 December 2023; pp. 2149–2152. [Google Scholar]
- Chen, S.; Xiang, J.; Wang, X.; Zhang, J.; Yang, S.; Huang, J.; Yang, W.; Zheng, J.; Han, X. Deep learning-based approach to reveal tumor mutational burden status from whole slide images across multiple cancer types. arXiv 2023, arXiv:2204.03257. [Google Scholar]
- Liu, X.; Liu, Z.; Yan, Y.; Wang, K.; Wang, A.; Ye, X.; Wang, L.; Wei, W.; Li, B.; Sun, C.; et al. Development of Prognostic Biomarkers by TMB-Guided WSI Analysis: A Two-Step Approach. IEEE J. Biomed. Health Informatics 2023, 27, 1780–1789. [Google Scholar] [CrossRef]
- Sun, C.; Luo, T.; Liu, Z.; Ge, J.; Shao, L.; Liu, X.; Li, B.; Zhang, S.; Qiu, Q.; Wei, W.; et al. Tumor Mutation Burden–Related Histopathologic Features for Predicting Overall Survival in Gliomas Using Graph Deep Learning. Am. J. Pathol. 2023, 193, 2111–2121. [Google Scholar] [CrossRef]
- Gao, C.; Li, H.; Liu, C.; Xu, X.; Zhuang, J.; Zhou, C.; Liu, L.; Feng, F.; Sun, C. Tumor Mutation Burden and Immune Invasion Characteristics in Triple Negative Breast Cancer: Genome High-Throughput Data Analysis. Front. Immunol. 2021, 12, 650491. [Google Scholar] [CrossRef] [PubMed]
- Wen, Y.; Ouyang, D.; Chen, Q.; Zeng, L.; Luo, N.; He, H.; Anwar, M.; Qu, L.; Zou, Q.; Yi, W. Prognostic value of tumor mutation burden and the relationship between tumor mutation burden and immune infiltration in HER2+ breast cancer: A gene expression-based study. Gland. Surg. 2022, 11, 100–114. [Google Scholar] [CrossRef] [PubMed]
- Thomas, A.; Routh, E.D.; Pullikuth, A.; Jin, G.; Su, J.; Chou, J.W.; Hoadley, K.A.; Print, C.; Knowlton, N.; Black, M.A.; et al. Tumor mutational burden is a determinant of immune-mediated survival in breast cancer. OncoImmunology 2018, 7, e1490854. [Google Scholar] [CrossRef] [PubMed]
- Ke, L.; Li, S.; Cui, H. The prognostic role of tumor mutation burden on survival of breast cancer: A systematic review and meta-analysis. BMC Cancer 2022, 22, 1185. [Google Scholar] [CrossRef] [PubMed]
- Lu, J.; De He, J.; Yan, Y.; Liu, Z.Y.; Zhu, X.H.; Tian, J.; Liu, Z.N.; Liu, J.G.; Liu, X.Y. PD18-09 A Novel Prognostic Biomarker to Predict Tumor Mutation Burden Based on Deep Learning from Slide Images. J. Urol. 2022, 207, e347. [Google Scholar] [CrossRef]
- Liu, E.-T.; Zhou, S.; Li, Y.; Zhang, S.; Ma, Z.; Guo, J.; Guo, L.; Zhang, Y.; Guo, Q.; Xu, L. Development and validation of an MRI-based nomogram for the preoperative prediction of tumor mutational burden in lower-grade gliomas. Quant. Imaging Med. Surg. 2022, 12, 1684–1697. [Google Scholar] [CrossRef]
- Shimada, Y.; Okuda, S.; Watanabe, Y.; Tajima, Y.; Nagahashi, M.; Ichikawa, H.; Nakano, M.; Sakata, J.; Takii, Y.; Kawasaki, T.; et al. Histopathological characteristics and artificial intelligence for predicting tumor mutational burden-high colorectal cancer. J. Gastroenterol. 2021, 56, 547–559. [Google Scholar] [CrossRef]
- Niu, Y.; Wang, L.; Zhang, X.; Han, Y.; Yang, C.; Bai, H.; Huang, K.; Ren, C.; Tian, G.; Yin, S.; et al. Predicting Tumor Mutational Burden from Lung Adenocarcinoma Histopathological Images Using Deep Learning. Front. Oncol. 2022, 12, 927426. [Google Scholar] [CrossRef]
- Macenko, M.; Niethammer, M.; Marron, J.S.; Borland, D.; Woosley, J.T.; Guan, X.; Schmitt, C.; Thomas, N.E. A method for normalizing histology slides for quantitative analysis. In Proceedings of the Sixth IEEE International Conference on Symposium on Biomedical Imaging: From Nano to Macro, Boston, MA, USA, 28 June 2009–1 July 2009; pp. 1107–1110. [Google Scholar]
- van Griethuysen, J.J.M.; Fedorov, A.; Parmar, C.; Hosny, A.; Aucoin, N.; Narayan, V.; Beets-Tan, R.G.H.; Fillion-Robin, J.-C.; Pieper, S.; Aerts, H.J.W.L. Computational Radiomics System to Decode the Radiographic Phenotype. Cancer Res. 2017, 77, e104–e107. [Google Scholar] [CrossRef]
- Lundberg, S.M.; Lee, S.-I. A unified approach to interpreting model predictions. In Proceedings of the 31st International Conference on Neural Information Processing Systems, Red Hook, NY, USA, 4–9 December 2017; pp. 4768–4777. [Google Scholar]
- Barroso-Sousa, R.; Keenan, T.E.; Pernas, S.; Exman, P.; Jain, E.; Garrido-Castro, A.C.; Hughes, M.; Bychkovsky, B.; Umeton, R.; Files, J.L.; et al. Tumor Mutational Burden and PTEN Alterations as Molecular Correlates of Response to PD-1/L1 Blockade in Metastatic Triple-Negative Breast Cancer. Clin. Cancer Res. 2020, 26, 2565–2572. [Google Scholar] [CrossRef]
- Karn, T.; Denkert, C.; Weber, K.; Holtrich, U.; Hanusch, C.; Sinn, B.; Higgs, B.; Jank, P.; Sinn, H.; Huober, J.; et al. Tumor mutational burden and immune infiltration as independent predictors of response to neoadjuvant immune checkpoint inhibition in early TNBC in GeparNuevo. Ann. Oncol. 2020, 31, 1216–1222. [Google Scholar] [CrossRef] [PubMed]
- Cheng, J.; Ding, X.; Xu, S.; Zhu, B.; Jia, Q. Gene expression profiling identified TP53MutPIK3CAWild as a potential biomarker for patients with triple-negative breast cancer treated with immune checkpoint inhibitors. Oncol. Lett. 2020, 19, 2817–2824. [Google Scholar] [CrossRef] [PubMed]
- Shah, S.P.; Roth, A.; Goya, R.; Oloumi, A.; Ha, G.; Zhao, Y.; Turashvili, G.; Ding, J.; Tse, K.; Haffari, G.; et al. The clonal and mutational evolution spectrum of primary triple negative breast cancers. Nature 2012, 486, 395–399. [Google Scholar] [CrossRef] [PubMed]
- Xing, A.-Y.; Liu, L.; Liang, K.; Wang, B. p53 Missense Mutation is Associated with Immune Cell PD-L1 Expression in Triple-Negative Breast Cancer. Cancer Investig. 2022, 40, 879–888. [Google Scholar] [CrossRef]
- Chaudhary, S.; Appadurai, M.I.; Maurya, S.K.; Nallasamy, P.; Marimuthu, S.; Shah, A.; Atri, P.; Ramakanth, C.V.; Lele, S.M.; Seshacharyulu, P.; et al. MUC16 promotes triple-negative breast cancer lung metastasis by modulating RNA-binding protein ELAVL1/HUR. Breast Cancer Res. 2023, 25, 25. [Google Scholar] [CrossRef]
- Song, J.; Chang, J.; Lin, X.; Fan, C.; Han, L.; Bai, X. Phosphatase and Tensin Homolog Deleted on Chromosome Ten (PTEN) Derived from Bone Marrow Stromal Cells Promotes the Development of Triple-Negative Breast. J. Biomater. Tissue Eng. 2022, 12, 1065–1070. [Google Scholar] [CrossRef]
- Li, J.; Dong, T.; Wu, Z.; Zhu, D.; Gu, H. The effects of MYC on tumor immunity and immunotherapy. Cell Death Discov. 2023, 9, 1–10. [Google Scholar] [CrossRef]
- Radhakrishnan, V.K.; Ravichandran, K.; Eke, C.; Ortiz-Vicil, A.; Tan, Q.; De León, M.; De León, D.D. Methylation of a newly identified region of the INS-IGF2 gene determines IGF2 expression in breast cancer tumors and in breast cancer cells. Oncotarget 2020, 11, 3904–3920. [Google Scholar] [CrossRef]
- Zhang, J.; Wang, Q.; Quan, Z. Long non-coding RNA CASC9 enhances breast cancer progression by promoting metastasis through the meditation of miR-215/TWIST2 signaling associated with TGF-β expression. Biochem. Biophys. Res. Commun. 2019, 515, 644–650. [Google Scholar] [CrossRef]
- Byemerwa, J.K.; Goyal, A.; Artham, S.; Haines, C.; Chang, C.; McDonnell, D. Abstract B06: 17β-estradiol negatively regulates natural killer cells and promotes breast cancer metastasis. Cancer Immunol. Res. 2022, 10, B06. [Google Scholar] [CrossRef]
- Gentile, S. Abstract PO3-28-11: Potassium channel activity unveils breast cancer vulnerability. Cancer Res. 2024, 84, PO3–28. [Google Scholar] [CrossRef]
- Wang, C.; Xu, K.; Deng, F.; Liu, Y.; Huang, J.; Wang, R.; Guan, X. A six-gene signature related with tumor mutation burden for predicting lymph node metastasis in breast cancer. Transl. Cancer Res. 2021, 10, 2229–2246. [Google Scholar] [CrossRef] [PubMed]
- Deberti, M.; Goupillem, C.; Arbion, F.; Vilde, A.; Body, G.; Ouldamer, L. Prognostic value of axillary lymph node metastases in invasive lobular breast carcinoma. J. Gynecol. Obstet. Hum. Reprod. 2023, 52, 102665. [Google Scholar] [CrossRef]
- Shen, J.; Hunt, K.K.; Mirza, N.Q.; Krishnamurthy, S.; Singletary, S.E.; Kuerer, H.M.; Meric-Bernstam, F.; Feig, B.; Ross, M.I.; Ames, F.C.; et al. Intramammary lymph node metastases are an independent predictor of poor outcome in patients with breast carcinoma. Cancer 2004, 101, 1330–1337. [Google Scholar] [CrossRef] [PubMed]
- Sceneay, J.; Goreczny, G.J.; Wilson, K.; Morrow, S.; DeCristo, M.J.; Ubellacker, J.M.; Qin, Y.; Laszewski, T.; Stover, D.G.; Barrera, V.; et al. Data from Interferon Signaling Is Diminished with Age and Is Associated with Immune Checkpoint Blockade Efficacy in Triple-Negative Breast Cancer. Cancer Discov. 2023, 9, 1208–1227. Available online: https://aacr.figshare.com/collections/Data_from_Interferon_Signaling_Is_Diminished_with_Age_and_Is_Associated_with_Immune_Checkpoint_Blockade_Efficacy_in_Triple-Negative_Breast_Cancer/6548047/1 (accessed on 28 January 2025). [CrossRef] [PubMed]
- Spasic, M.; Parsons, A.; Goreczny, G.; Guo, Q.; Hutchinson, J.; Mittendorf, E.; van Galen, P.; McAllister, S. Abstract 623: Immunological aging slows triple-negative breast cancer progression and impedes response to therapy. Cancer Res. 2023, 83, 623. [Google Scholar] [CrossRef]
- Reis, S.; Gazinska, P.; Hipwell, J.H.; Mertzanidou, T.; Naidoo, K.; Williams, N.; Pinder, S.; Hawkes, D.J. Automated Classification of Breast Cancer Stroma Maturity from Histological Images. IEEE Trans. Biomed. Eng. 2017, 64, 2344–2352. [Google Scholar] [CrossRef]
- Guillaud, M.; Ye, Q.; Leung, S.; Carraro, A.; Harrison, A.; Hayes, M.; Nichol, A.; Keyes, M. Large-scale DNA organization is a prognostic marker of breast cancer survival. Med Oncol. 2017, 35, 9. [Google Scholar] [CrossRef]
- Wahab, N.; Toss, M.; Miligy, I.M.; Jahanifar, M.; Atallah, N.M.; Lu, W.; Graham, S.; Bilal, M.; Bhalerao, A.; Lashen, A.G.; et al. AI-enabled routine H&E image based prognostic marker for early-stage luminal breast cancer. npj Precis. Oncol. 2023, 7, 122. [Google Scholar] [CrossRef]
- McDonald, K.-A.; Kawaguchi, T.; Qi, Q.; Peng, X.; Asaoka, M.; Young, J.; Opyrchal, M.; Yan, L.; Patnaik, S.; Otsuji, E.; et al. Tumor Heterogeneity Correlates with Less Immune Response and Worse Survival in Breast Cancer Patients. Ann. Surg. Oncol. 2019, 26, 2191–2199. [Google Scholar] [CrossRef]
- Thagaard, J.; Stovgaard, E.S.; Vognsen, L.G.; Hauberg, S.; Dahl, A.; Ebstrup, T.; Doré, J.; Vincentz, R.E.; Jepsen, R.K.; Roslind, A.; et al. Automated Quantification of sTIL Density with H&E-Based Digital Image Analysis Has Prognostic Potential in Triple-Negative Breast Cancers. Cancers 2021, 13, 3050. [Google Scholar] [CrossRef] [PubMed]
- Kobayashi, T.; Hatanaka, K.C.; Tomioka, N.; Konishi, T.; Grynkiewicz, M.; Komura, D.; Ishikawa, S.; Watanabe, K.; Takahashi, M.; Hatanaka, Y. Deep learning-based quantitative assessment of tumor-infiltrating lymphocytes from hematoxylin and eosin-stained slides in triple-negative breast cancer: A prognostic study. J. Clin. Oncol. 2024, 42, 553. [Google Scholar] [CrossRef]
- Verghese, G.; Li, M.; Liu, F.; Lohan, A.; Kurian, N.C.; Meena, S.; Gazinska, P.; Shah, A.; Oozeer, A.; Chan, T.; et al. Multiscale deep learning framework captures systemic immune features in lymph nodes predictive of triple negative breast cancer outcome in large-scale studies. J. Pathol. 2023, 260, 376–389. [Google Scholar] [CrossRef] [PubMed]
- Chalmers, Z.R.; Connelly, C.F.; Fabrizio, D.; Gay, L.; Ali, S.M.; Ennis, R.; Schrock, A.; Campbell, B.; Shlien, A.; Chmielecki, J.; et al. Analysis of 100,000 human cancer genomes reveals the landscape of tumor mutational burden. Genome Med. 2017, 9, 34. [Google Scholar] [CrossRef]
- Gay, L.M.; Fabrizio, D.; Frampton, G.M.; Connelly, C.F.; Sun, J.; Daniel, S.; Elvin, J.A.; Ramkissoon, S.; Severson, E.A.; Suh, J.; et al. Mutational burden of tumors with primary site unknown. J. Clin. Oncol. 2017, 35, 3039. [Google Scholar] [CrossRef]
- Yao, L.; Fu, Y.; Mohiyuddin, M.; Lam, H.Y.K. ecTMB: A robust method to estimate and classify tumor mutational burden. Sci. Rep. 2020, 10, 4983. [Google Scholar] [CrossRef]
- Meng, X.; Yu, C.; Yang, X.; Yang, Z.; Liu, D. Multi-classification prediction model of lung cancer tumor mutation burden based on residual network. J. Biomed. Eng. 2023, 40, 867–875. [Google Scholar] [CrossRef]





| High TMB 41 | Low TMB 38 | |
|---|---|---|
| Age | 58 ± 14 | 53 ± 11 |
| menopause_status | ||
| Indeterminate (neither pre- nor postmenopausal) | 2 | 0 |
| Peri (6–12 months since last menstrual period) | 1 | 2 |
| Post (prior bilateral ovariectomy OR >12 mo since LMP with no prior hysterectomy) | 27 | 23 |
| pre (<6 months since LMP AND no prior bilateral ovariectomy AND not on estrogen replacement) | 10 | 11 |
| histological_type | ||
| Infiltrating ductal carcinoma | 33 | 36 |
| Infiltrating lobular carcinoma | 0 | 1 |
| Medullary carcinoma | 1 | 1 |
| Metaplastic carcinoma | 1 | 2 |
| Others | 0 | 3 |
| race | ||
| Asian | 3 | 3 |
| Black or African American | 10 | 10 |
| White | 27 | 25 |
| ethnicity | ||
| Hispanic or Latino | 2 | 1 |
| Not Hispanic or Latino | 35 | 33 |
| stage_event_pathologic_stage | ||
| Stage I | 4 | 2 |
| Stage IA | 3 | 5 |
| Stage IIA | 21 | 15 |
| Stage IIB | 7 | 5 |
| Stage IIIA | 3 | 7 |
| Stage IIIC | 0 | 2 |
| Stage IV | 0 | 1 |
| Stage IIIB | 1 | 0 |
| TNM staging | ||
| T | ||
| T1 | 9 | 12 |
| T2 | 28 | 20 |
| T3 | 3 | 5 |
| T4 | 1 | 1 |
| N | ||
| N0 | 30 | 19 |
| N1 | 8 | 9 |
| N2 | 3 | 7 |
| N3 | 0 | 3 |
| M | ||
| M0 | 35 | 32 |
| MX | 6 | 5 |
| M1 | 0 | 1 |
| Algorithm | Parameter | Search Range | Optimal |
|---|---|---|---|
| LR | C Max_iteration penalty solver | [0.001, 0.01, 0.1, 1, 10] [50, 100, 250, 500, 1000] [‘l1’, ‘l2’, ‘elasticnet’, ‘none’] [‘lbfgs’, ‘liblinear’, ‘saga’] | 10 100 l1 liblinear |
| RF | n_estimation min_samples_split min_samples_leaf max_features max_depth criterion | [5, 10, 20, 25, 30, 100] [2–5, 8, 10] [1, 2, 5, 8, 10] [2, 5, 10, 20, 30] [‘sqrt’,‘log2’] [‘gini’,‘entropy’] | 10 4 2 5 sqrt gini |
| KNN | n_neighbors weights algorithm p metric | [10, 20, 30, 40, 50, 70, 85, 100, 150] [‘uniform’,‘distance’] [‘auto’, ‘ball_tree’, ‘kd_tree’, ‘brute’] [1, 2] [‘euclidean’, ‘manhattan’, ‘chebyshev’] | 100 uniform auto 1 chebyshev |
| DT | max_depth min_samples_split min_samples_leaf criterion max_features splitter | [10, 15, 20] [5, 10, 30] [5, 10, 30] [‘gini’,‘entropy’] [‘sqrt’,‘log2’] [‘best’, ‘random’] | 10 5 5 gini sqrt random |
| Classifiers | Training Set | Validation Set | ||||||
|---|---|---|---|---|---|---|---|---|
| ACC | SEN | SPE | AUC [95% CI] | ACC | SEN | SPE | AUC [95% CI] | |
| DT | 0.726 | 0.663 | 0.790 | 0.817 [0.796–0.837] | 0.714 | 0.722 | 0.706 | 0.745 [0.686–0.809] |
| LR | 0.800 | 0.802 | 0.799 | 0.884 [0.871–0.9041] | 0.802 | 0.831 | 0.773 | 0.859 [0.820–0.908] |
| KNN | 0.682 | 0.602 | 0.764 | 0.755 [0.737–0.776] | 0.617 | 0.605 | 0.630 | 0.710 [0.647–0.776] |
| RF | 0.795 | 0.737 | 0.852 | 0.884 [0.871–0.900] | 0.781 | 0.739 | 0.823 | 0.901 [0.858–0.932] |
Disclaimer/Publisher’s Note: The statements, opinions and data contained in all publications are solely those of the individual author(s) and contributor(s) and not of MDPI and/or the editor(s). MDPI and/or the editor(s) disclaim responsibility for any injury to people or property resulting from any ideas, methods, instructions or products referred to in the content. |
© 2025 by the authors. Licensee MDPI, Basel, Switzerland. This article is an open access article distributed under the terms and conditions of the Creative Commons Attribution (CC BY) license (https://creativecommons.org/licenses/by/4.0/).
Share and Cite
Bendani, H.; Boumajdi, N.; Belyamani, L.; Ibrahimi, A. A Decision-Aid Model for Predicting Triple-Negative Breast Cancer ICI Response Based on Tumor Mutation Burden. BioMedInformatics 2025, 5, 9. https://doi.org/10.3390/biomedinformatics5010009
Bendani H, Boumajdi N, Belyamani L, Ibrahimi A. A Decision-Aid Model for Predicting Triple-Negative Breast Cancer ICI Response Based on Tumor Mutation Burden. BioMedInformatics. 2025; 5(1):9. https://doi.org/10.3390/biomedinformatics5010009
Chicago/Turabian StyleBendani, Houda, Nasma Boumajdi, Lahcen Belyamani, and Azeddine Ibrahimi. 2025. "A Decision-Aid Model for Predicting Triple-Negative Breast Cancer ICI Response Based on Tumor Mutation Burden" BioMedInformatics 5, no. 1: 9. https://doi.org/10.3390/biomedinformatics5010009
APA StyleBendani, H., Boumajdi, N., Belyamani, L., & Ibrahimi, A. (2025). A Decision-Aid Model for Predicting Triple-Negative Breast Cancer ICI Response Based on Tumor Mutation Burden. BioMedInformatics, 5(1), 9. https://doi.org/10.3390/biomedinformatics5010009

