Next Article in Journal
Exploring Conceptualizations of Disability Using Story-Completion Methods
Next Article in Special Issue
Linguistic and Cultural Adaptation of a Self-Determination Scale for People with Intellectual Disabilities
Previous Article in Journal
Cultural Policies That Facilitate the Participation of Persons with Disabilities in the Arts: Findings from a Qualitative Multi-National Study
Previous Article in Special Issue
Examining the Changes in Problem Behaviours and Communication of Persons with Intellectual and Developmental Disabilities after Transitioning from an Institutional Setting to the Community
 
 
Font Type:
Arial Georgia Verdana
Font Size:
Aa Aa Aa
Line Spacing:
Column Width:
Background:
Article

Dyadic Training of Communication Partners for Autistic Students: A Feasibility Study

School of Inclusive Teacher Education, Bowling Green State University, Bowling Green, OH 43403, USA
*
Author to whom correspondence should be addressed.
Disabilities 2024, 4(3), 556-567; https://doi.org/10.3390/disabilities4030035
Submission received: 24 April 2024 / Revised: 9 August 2024 / Accepted: 12 August 2024 / Published: 14 August 2024

Abstract

Access to communication is a primary challenge affecting the education of Autistic students who use augmentative and alternative communication devices. This is compounded by potential communication partners (e.g., teachers and classroom paraeducators) who have insufficient training and skills to meaningfully engage these students in communication. To address these deficits in skills and training, this feasibility study used a multiple probe across participants design to test the effects of using behavioral skills training on dyads of teachers and paraeducators in increasing teacher-delivered opportunities to respond and student communication responses. The results show that after training, teachers’ opportunities to respond and use student-specific strategies increased. Following the teachers’ implementation of the strategies, students’ prompted and unprompted communication increased. These results provide evidence that supports the use of behavioral skills training to support communication partner skill development and student communication needs. These methods showed positive social validity with participants and demonstrate a professional development method that is more feasible for use by school staff than individual training. The results of this study provide initial evidence of the effectiveness of these methods with dyads of participants as well as with licensed teachers, extending the extant research, which often focuses on the individual training of paraeducators.

1. Introduction

Autistic students often face challenges in full participation during school (e.g., accessing curriculum, gaps in school staff knowledge and perceptions, reliable access to communication) [1]. Of these, perhaps the most pervasive and problematic is the challenge in communicating easily and meaningfully. These challenges impact an individual’s ability to request access to things they like and the removal of things they do not, establish and develop relationships with others, and be active participants in their social world [2].
Many Autistic students also have complex communication needs, which affect their ability to communicate receptively (communication received) and expressively (communication sent) [3]. Fortunately, there are numerous ways to address this gap through the use of augmentative and alternative communication (AAC) [4]. AAC includes any method a person uses to communicate in lieu of or to supplement spoken language [3]. AAC can take many forms, including unaided systems that do not require any external stimuli, such as sign language or gestures, or aided communication systems that require some external stimuli, such as high-tech devices that generate audible speech for the user (e.g., iPads) [4].
The use of AAC provides Autistic students an opportunity to circumvent the barriers they face, and allows for improved access to the benefits of fluent communication. However, a student’s ability to use AAC successfully is largely dependent on the ability of their potential communication partners (e.g., teachers, paraeducators, peers) [5]. These communication partners are often unprepared to meaningfully engage students who use AAC, with both special education and general education teachers reporting low knowledge and skills related to AAC and limited or no training during their education [6,7,8], and paraeducators reporting the need for additional training [9]. This results in a situation where even if a student has access to a form of AAC, they may still be limited in how they access communication due to their potential partners.
Numerous studies have begun to address the need for training of communication partners, with most focusing on supporting paraeducators. One popular and effective training method used in these studies is behavioral skills training (BST) [10]. BST incorporates several elements when teaching performance-based skills (i.e., instruction, modeling, rehearsal/roleplay, feedback). This sequence is provided and iteratively repeated based on the performance of a skill. These methods are found in multiple studies involving paraeducators working with students with higher levels of support needs (e.g., Autistic students), and are also used with other methods (e.g., explanation of rationale) [11].
Wermer and colleagues [12] used training including instruction, modeling, roleplay, and feedback to train one paraeducator to implement various communication strategies (i.e., provide opportunities to respond and opportunities to initiate, and use of systematic prompting) when working with a 7-year-old Autistic student. The authors found that the paraeducator was able to implement the communication strategies and saw a large increase in student total communication following the introduction of systematic prompting.
Researchers are also examining the effects of teacher-delivered training given to paraeducators to develop communication. Andzik and colleagues [13] trained a teacher to implement a paraeducator training package to increase the use of communication strategies with three paraeducators. All three were able to increase opportunities to initiate communication and at least most prompting when working with a 10-year-old Autistic student. Following these interventions, the student’s use of their AAC to initiate communication increased in both training and generalization settings.
The use of systematic prompting has been demonstrated to be effective for increasing student communication and AAC use. One specific type of prompting that has been used effectively is AAC modeling. When using AAC modeling, communication partners demonstrate the use of the AAC system in the way that they desire the students with complex communication needs to use the system (e.g., while reading a story to a student, a paraeducator would vocally say a comment about the story and simultaneously use the student’s AAC to deliver the same message). Douglas and colleagues [14] incorporated AAC models into a communication partner training program for paraeducators that included a description of strategies, video models, and application activities. The researchers used a multiple probe design with two separate intervention phases. During phase one, all three paraeducators increased opportunities to communicate for students. Following phase two (which specifically included training on AAC modeling), all three paraeducators increased the use of AAC models with students.
The study by Douglas and colleagues [14] also included the coaching of paraeducators in the use of communication partner strategies. Including a coaching component for paraeducators is becoming more prevalent in extant research [15,16]. Coaching typically involves initial training in evidence-based practices, and then ongoing follow-up supports for implementation. Researchers are also increasingly recruiting teachers within special education classrooms to provide the coaching for paraeducators [17]. Walker and colleagues [17] used a triadic approach pairing special education teachers, paraeducators, and students to measure the effectiveness of teacher-delivered training and coaching to improve paraeducators’ implementation of functional communication training strategies. The researchers found that teacher training and coaching increased fidelity and opportunities for functional communication training for paraeducators. The inclusion of teachers as coaches and directly in the behavior change process is important for the maintenance and social validity of communication interventions. and is an encouraging trend in published studies.
Finally, while these studies have focused on training paraeducators to implement an array of strategies to increase opportunities to respond, researchers have also approached communication training for students by focusing on a single function of communication (e.g., tacting/labeling) [18]. In this study the authors taught three preschool students to use their high-tech AAC devices to label characters in a story book. All three students were able to increase independent labeling following intervention. In a similar study, Anderson and colleagues [19] used function-based communication training to train paraeducators to use specific strategies related to requests, labels, and conversation exchanges. Following intervention, all paraeducators showed an increase in the types of strategies used, and two of the three showed clear increases in total opportunities to respond.
These studies provide evidence that both teachers and paraeducators can be trained to implement (and in some cases can train others to implement) strategies to increase communication for students with AAC. Despite these successes, other teachers and paraeducators continue to report a lack of training and confidence in these methods [8,9]. Additionally, in these studies, participants are trained individually, which is beneficial for experimental control, but does not reflect the type of training and professional development delivered in schools [11].
To fill these gaps in the research, training incorporating BST, prompting, and explanations of the rationale should be delivered to small groups (e.g., educational teams of paraeducators and teachers who work directly with a specific student) of school staff to support communication using evidence-based strategies (e.g., prompting, AAC modeling) for students for both generalized skills, and student-specific goals. This study was designed to expand on the success of previous researchers and to improve communication outcomes for Autistic students. The following research questions were designed to accomplish these goals.
  • What are the effects and perceptions of a training package including an explanation of the rationale, behavioral skills training, and systematic prompting for teachers and paraeducators on teachers’ use of strategies to promote communication?
  • Do changes in teachers’ use of communication strategies affect the prompted and independent communication of young Autistic students with complex communication needs?

2. Materials and Methods

2.1. Participants

Participants were recruited with the approval of a university institutional review board. Adult participants provided consent to participate, and parents of student participants provided permission/consent for their children to participate in the study. All participants were recruited from a rural midwestern elementary school that served about 1000 preschool–sixth-grade students.
Adult participants included two teachers and two paraeducators working in two separate classrooms. To be included in the study, adult participants needed to be assigned to/regularly interact with students with complex communication needs who used AAC devices. Participants were recruited out of two classrooms, a multi-age separate special education classroom serving first–third-grade Autistic students, and an inclusive pre-school classroom for 4/5-year-old students.
Mitch and Lanie were the teacher and paraeducator in the separate classroom (Class 1). Mitch was a 26-year-old man with 4–5 years of experience working with special education students and at least 1 year of college coursework beyond his Bachelor’s degree. Lanie was a 40-year-old woman with 6–10 years of experience working with special education students, and an associate degree. Kim and Brianna were the teacher and paraeducator in the preschool classroom (Class 2). Kim was a 29-year-old woman with 6–10 years of experience working with special education students and a bachelor’s degree. Brianna was a 37-year-old woman with 2–3 years of experience working with special education students and a bachelor’s degree.
There were two Autistic student participants in this study. The student participant in Mitch and Lanie’s class was Katie. Katie was a 9-year-old girl in the first grade. Katie used a high-tech AAC device and 1–2-word phrases to communicate. Katie had an IEP goal to initiate communication twice every 20 min and received speech and physical therapy at school. The student participant in Kim and Brianna’s class was Marquese. Marquese was a 5-year-old boy in pre-school. Marquese used a high-tech AAC device and 1–3-word phrases to communicate. Marquese had an IEP goal to use his device to identify or label familiar items and received speech, occupational, and physical therapy at school.

2.2. Measurement and Reliability

Data were collected on the school staff implementation of communication strategies and both group and individual opportunities for students to respond using communication. Student-prompted and unprompted communication was measured.
Opportunities to respond (OTR) were broadly defined as asking a question, giving a direction, or otherwise communicating with the student in a way that necessitates a communicative response with or without giving a specific time delay to respond, or violating the child’s expectations to provoke the need for communication. This included any behavior that clearly deviated from what would be anticipated in an activity or routine, such as withholding materials (e.g., withholding a desired snack item), providing incorrect or partial materials (e.g., giving a drink without the straw), denying access to materials, failing to initiate an expected routine, or deviating from an established schedule (e.g., skipping a scheduled snack time). Non-examples included commands or directions where the expected response is complying with a task (e.g., can you throw this away/can you put this on my desk, etc.), which did not require a communication response. Coders discriminated between individual OTR (e.g., “Katie, what would you like to play with?”) and group OTR based on to whom the staff directed the communication (e.g., “Everyone, what day of the week is it?”). Group OTR were included since the participant students had the opportunity to answer with the rest of the group.
In addition to these generalized OTR, data were collected on staff implementation of specific communication strategies based on student individualized education program goals. Given Katie’s goal of increasing initiation of communication every 20 min, data were collected on staff promotion of requests by asking Katie what she wanted/preferred and the use of the missing item strategy, with the goal of increasing Katie’s need to initiate communication. Given Marquese’s goal to label items during instruction, data were collected on staff’s use of strategies to promote labeling during instruction and downtime.
Student communication responses were defined functionally as verbal communication (i.e., any form of communication that is under the control of another speaker), and could take any recognizable form (e.g., spoken words/approximations, gestures/signs, picture exchange systems, high-tech AAC, pointing to pictures on a communication board, using a picture ring). Non-examples included vocal stereotypy (e.g., sounds and words that were not under the control of another speaker, for example screams, grunts, saying words repeatedly that did not require responses of other speakers). Coders recorded all communication as prompted or independent. Independent communication occurred if a student either spontaneously asked for something or started a communication exchange (e.g., saying “hi” when a new person enters the room), or used a communication response after staff provided an OTR without staff support (e.g., a student uses their AAC to say “Good” when staff asked “How are you feeling today”). Prompted communication occurred when staff used additional supports before a student engaged in communication but after an OTR had been provided.

Data Collection and Interobserver Agreement

Data were collected by the experimenter and a graduate student. The experimenter was a professor of special education and behavior analysis with extensive experience working with Autistic students in clinics as well as private and public-school classrooms. Data collection occurred in Mitch and Kim’s classrooms during specified activities. In Mitch’s classroom, data were collected during the morning meeting (a brief period of the day when all students sat with Mitch on the floor and reviewed the daily schedule and classroom expectations) and individual/small group work sessions (a period that immediately followed morning meeting where students worked on specific academic goals with the teacher). In Kim’s class, all sessions occurred during small-group fine motor centers. During this time, small groups of students sat at a table with the teacher or paraeducator and completed tasks like tracing, cutting out and gluing shapes, or coloring pages. For both classrooms, data were only collected on the teacher’s implementation of communication strategies.
Data collection sessions were designed to last 10 min but were sometimes cut short if the class had to transition to a new activity, or if the participant had to leave the room to use the bathroom. Data were collected using pencils and paper datasheets and were timed with electric timers. Coders tallied the occurrence of different behaviors (i.e., teacher strategy use—strategies individualized based on student IEP goals; teacher provided OTR—staff communication that necessitates a student’s communicative response; student-prompted communication—communication that followed an OTR and additional staff prompt; student independent communication—communication that was unprompted and either spontaneous or in response to staff OTR) during sessions and marked the total duration of the sessions.
Interobserver agreement (IOA) was calculated using the mean count per interval method [20]. Data collection sessions were divided into 30 s intervals and agreement was scored for each interval by dividing the larger number of occurrences by the smaller number of occurrences. For example, if the first observer scored 3 OTR during an interval and the second observer scored 4 OTR for that interval, the mean count would be 75% (3/4 = 0.75 = 75%). Scores for each dependent variable were averaged across intervals to find the IOA for that session.
The experimenter was the primary data collector, and all graphed values are from their direct observation. The graduate student coder was trained by reviewing the code book and operational definitions and given an opportunity to ask clarifying questions.
IOA was collected for 26% of all sessions and was balanced across phases and participants. The average IOA across all measures was 89.5%. IOA for Class 1 (Mitch, Lanie, and Katie) was 84%. IOA for class 2 (Kim, Brianna, and Marquese) was 94.9%. IOA was also calculated by dependent variable (OTR = 81.6%; Group OTR = 96.1%; Strategy Use = 89.5%; Prompted Communication = 87.4%; Independent Communication = 85.8%).

2.3. Intervention and Implementation Fidelity

The intervention in this study was a brief staff training, based on behavioral skills training with explanation of the rationale and systematic prompting. A multiple probe across participants design was used for the introduction of the independent variable [21]. Multiple-probe designs are a mode of single-subject research design that allow for the sequential introduction of the independent variable across subjects. All participants start in a baseline condition, then after stable responding is established, the intervention is implemented with the first tier of participants. Once stable post-intervention responding is established, the next tier of intervention is introduced in a stair step pattern [21]. Multiple probe designs decrease the risk of testing effects by allowing for fewer overall baseline probe sessions during baseline. Intervention order was chosen randomly using a random number generator, which strengthens the design by removing potential researcher bias [22].

2.3.1. Pre-Baseline and Baseline

Prior to baseline, the experimenter reviewed student records, including their individual education program and evaluation team report, to extract information on participant demographics, other services, and goals related to the purpose of the study. In addition to this review, the experimenter conducted three to four observations in each classroom to develop data sheets, refine operational definitions and decrease participant reactivity during the study. These observations lasted about 60 min and took place in the 2 weeks before baseline data collection started. Finally, the experimenter consulted with the classroom teacher to determine the best times and days for data collection to occur.
During baseline sessions, no information was given to the participants, and the coders would enter the classroom to take data using paper datasheets and clipboards. After the 10 min data collection session, the coders would leave the classroom until the next session. No instruction or feedback was provided.

2.3.2. Intervention

The independent variable in this study was a staff training package that included explaining the rationale for the intervention, the importance of communication, and behavioral skills training to target specific skills. The training focused on teaching communication partners to implement strategies to increase student requests (e.g., desired items; “What do you want to work for?”), labels (e.g., labeling stimuli; while reading a story and pointing to a picture of a house “What do you call that?”), and participation in conversation (e.g., intraverbal fill-ins; staff get the student’s attention and say “Ready… set…”).
Three total trainings were given to staff participants, with each participant attending one training. The goal was to train staff dyads together; however, due to scheduling needs, Mitch and Lanie were trained during two separate sessions, and Kim and Brianna were trained during the same session.
Trainings lasted between 22 and 32 min with an average duration of 27.94 min. All participants were provided with a training packet to supplement discussion and practice activities.
The training started with a discussion of the importance of communication and different forms of communication, before introducing a functional understanding of why communication occurs. Staff were then provided with specific examples of how to increase student requests, labels, and conversation skills. For each of these strategies, staff were given written and verbal instructions, provided with a model of what implementation would look like using a high-tech AAC app on the experimenter’s phone, and then asked to rehearse the target skill. Following rehearsal of the skill, the experimenter provided verbal feedback based on staff performance.
After training on these functional strategies, staff were taught two general strategies (i.e., prompting and AAC modeling). AAC modeling was explained as a specific prompting strategy whereby staff could demonstrate for their student how to communicate using the high-tech AAC. The experimenter repeated the BST sequence of instructions, modeling, rehearsal, and feedback for the staff implementation of AAC modeling.
Finally, staff were taught how to implement the student-specific strategy that aligned with the student’s individual education program goal (i.e., requests/missing items, labeling during instruction or leisure). The experimenter again repeated the BST sequence of instructions, modeling, rehearsal, and feedback for the staff implementation of the student-specific strategy.
After training was completed, data collection resumed following the same protocol as baseline data collection. No further support or coaching was provided. The decision to move into the second phase of intervention was based on the effect and stability of change in OTR and strategy use.

2.3.3. Intervention Fidelity

Intervention fidelity was measured by a graduate and undergraduate student by watching recordings of the training on an iPad. Prior to coding intervention fidelity, the coders were given the training packet and the experimenter explained the implementation of the intervention. Coders were given an opportunity to ask questions, then provided a 36-item fidelity checklist. Coders watched a video of the implementation and checked each item as occurring or not occurring. Fidelity for all three trainings was scored as 100% with 36 out of 36 items marked as occurring on each fidelity checklist.

2.3.4. Social Validity Survey

To assess staff perceptions of the goals, procedures, and outcomes of this study, the staff were given a brief survey at the conclusion of the study to share their opinions and perceptions. The survey used was based on the questionnaire employed by Anderson and colleagues [19]. Respondents scored agreement with statements based on a 5-point scale (i.e., 1 = Strongly disagree, 2 = Disagree, 3 = Neither agree nor disagree, 4 = Agree, 5 = Strongly agree) for eight statements about training components and four statements about training effects. Staff were additionally provided an open response question, which read “Is there anything you would like to share with the research team?” Surveys were completed using pencils and paper.

3. Results

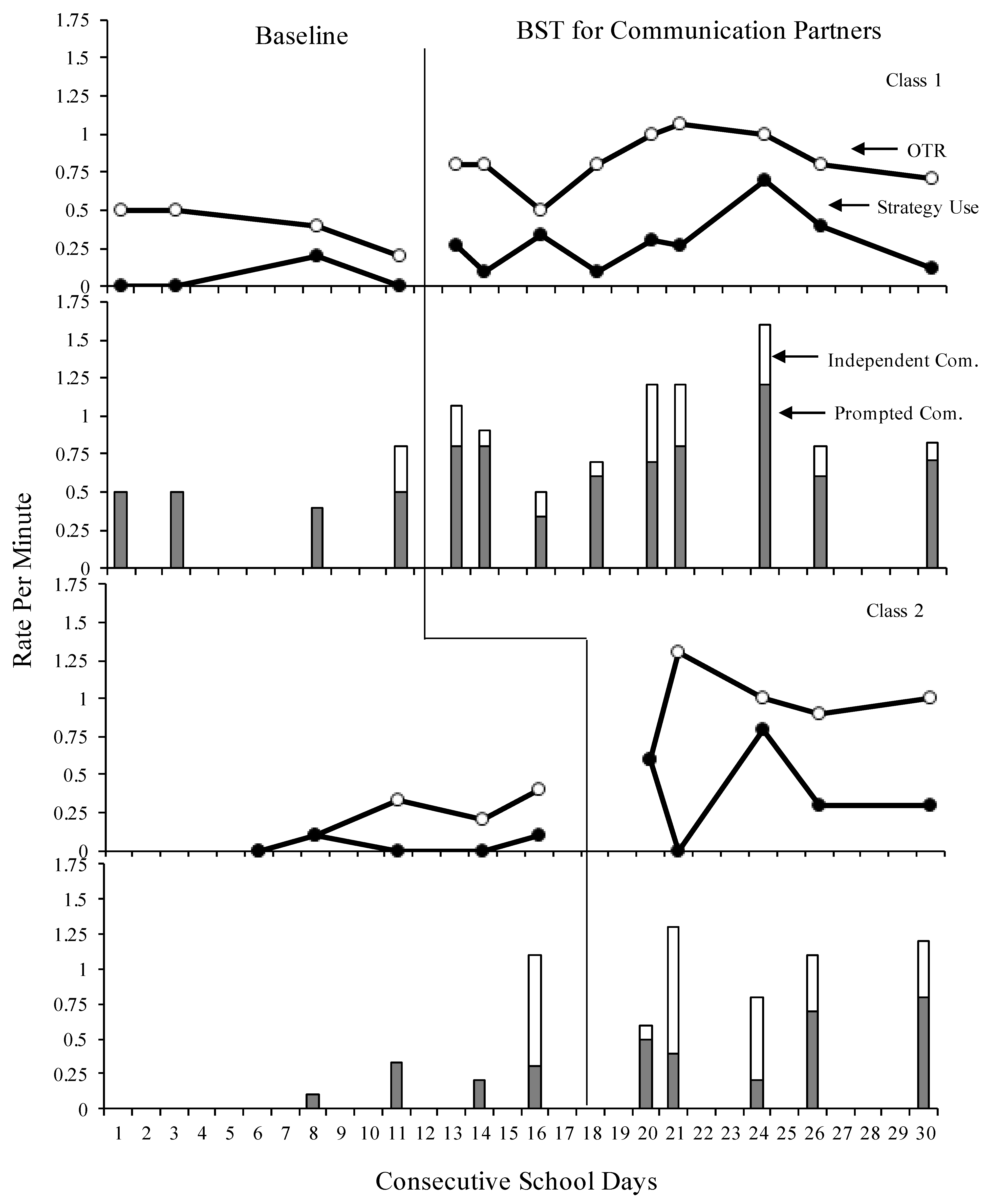
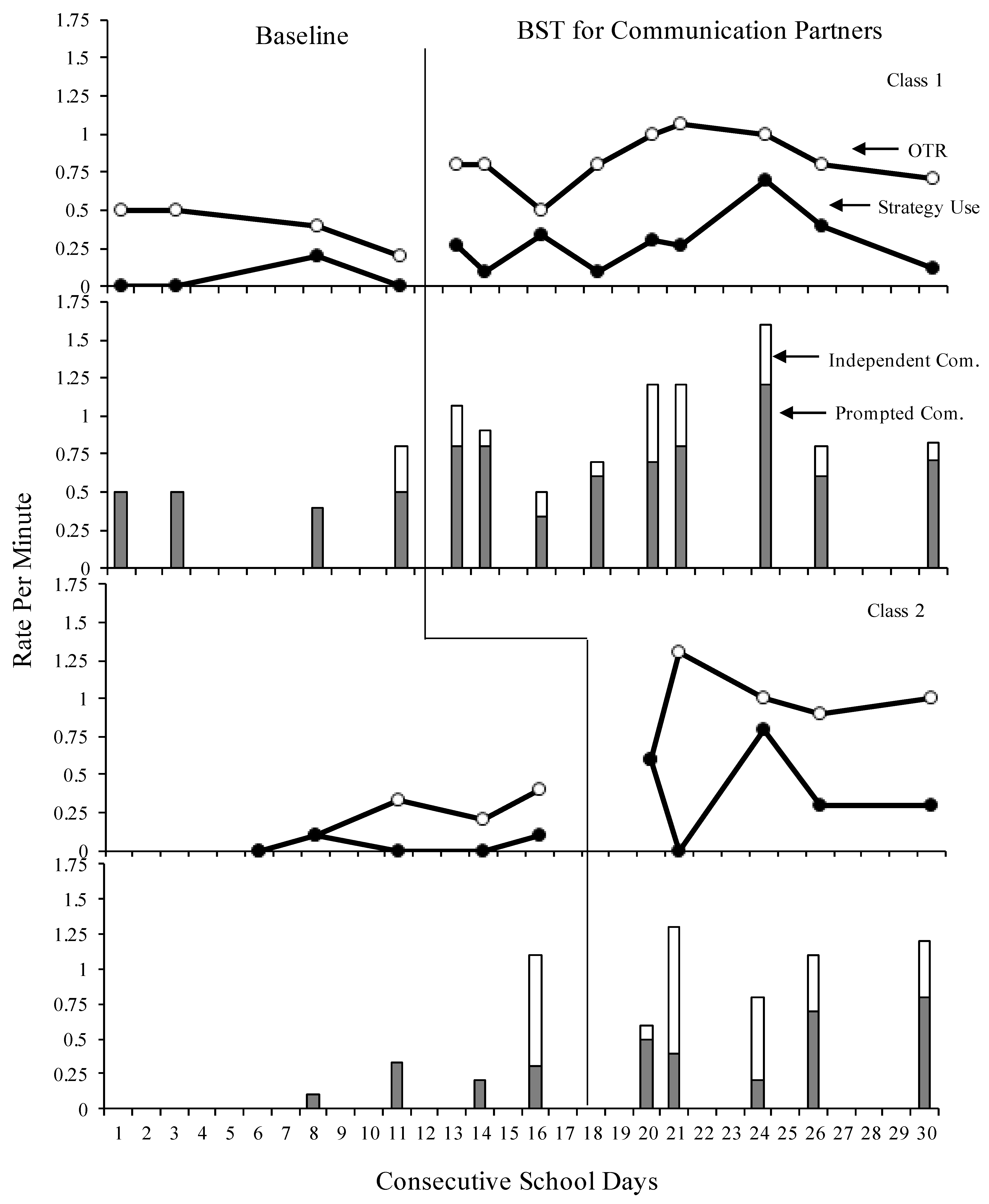
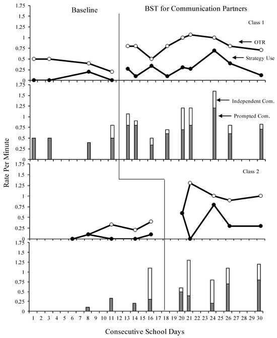
Figure 1 includes line graphs displaying rates of staff behavior and stacked bar graphs of student communication responses.

3.1. Teacher Behavior

During baseline, both teachers provided low rates of OTR to the target student and engaged in low rates of the individualized communication strategy. On average, Mitch provided one OTR about every 2.5 min and used the individualized strategy once every 20 min. Kim provided one OTR about every 5 min and used the individualized strategy once every 25 min. During baseline, Mitch provided group OTR at an average rate of 0.575 per minute, and Kim provided group OTR at a rate of 0.04 per minute.
Following intervention, the rates for all staff behavior increased. Mitch’s OTR were variable across intervention, with a range of 0.5–1.2 per minute and with all points higher than baseline, and about one OTR every 75 s. Mitch’s strategy use was also more variable than baseline (range = 0.1–0.7 per min), and while the average level was higher, two data points overlapped with baseline data, with about one instance of strategy use about every 3.5 min. Kim’s provided OTR followed a brief increasing trend, and then stabilized at over 1 OTR per minute with all points higher than baseline. Kim’s strategy use was at a higher level than baseline (i.e., about one use every 2.5 min) with high variability (range = 0–0.8 per min) and one data point that overlapped with baseline. Following intervention, both teachers’ Group OTR per minute remained about the same (i.e., Mitch = 0.613; Kim = 0.04). Notably, neither student regularly responded to group OTR.

3.2. Student Behavior

Student responses were presented as stacked bar graphs, with dark gray bars representing prompted communication and white bars representing independent communication. The stacked bars show total communication used during the session. During baseline, both students engaged in stable and low rates of prompted communication, with Katie responding about once every 2 min, and Marquese responding about once every 5 min. Katie did not engage in any independent communication during baseline, and Marquese used independent communication during one session at a rate of 0.8 responses per minute.
Following the intervention, both students engaged in more total communication on average, with both students communicating about once per minute. Katie’s prompted communication rate increased by just over 50% with one data point overlapping with baseline, and she began engaging in independent communication at a rate of one about every 3 min. Marquese’s data are less differentiated than Katie’s data. His total communication was consistently higher during intervention, but did have three overlapping data points for independent communication and two overlapping data points for prompted communication. Notably, both types of communication occurred in every session compared to only one out of four sessions in baseline. It is also worth noting that though the students differed in age and grade, there was no clear differentiation in their data observed as a result of these differences.
Collectively, these data indicate that the use of BST can increase teacher delivery of OTR and the use of specific communication strategies, but do not have sufficient replications to demonstrate a functional relation. It is also worth noting that the overlap of data points for student behavior and specific strategy use suggest these behaviors were less responsive than total OTRs, which had only one overlapping point.

3.3. Social Validity

Table 1 summarizes results from the social validity survey completed by teachers and paraeducators regarding training components and effects. The mean scores for responses indicate agreement with all statements about the training components and effects, and no participant endorsed disagreement. However, for some items, respondents were neutral and neither agreed nor disagreed with the statements. Of note, two participants scored a 3 for the item “the trainer feedback was useful”.
In addition to the 5-point agreement scale, two of the four participants provided written feedback. Mitch shared that “Katie showed clear improvement in the functional use of the device”. Brianna provided a mix of positive and constructive feedback. They wrote that the “trainer was helpful, flexible, and very understanding”; however, they also shared that they would have liked “more training on how to use the device”, and indicated interest in in situ coaching (i.e., “I would have been very open to the trainer interrupting at any point to show me and the student anything needed or necessary to help us communicate”).
Collectively, the results from the social validity questionnaire indicate that the training was well received and useful, but that there is room for improvement in these methods.

4. Discussion

Autistic students face multiple barriers to full participation and engagement in their education. One of the most challenging barriers is related to accessing communication. While a plethora of reliable alternative forms of communication exist to help these students, the adult communication partners are undertrained and underprepared to support meaningful communication for these students in their classrooms [6,7,8,9]. This study investigated the effects of behavioral skills training in increasing the frequency of communication opportunities provided by elementary teachers, and the subsequent effects of those opportunities on prompted and independent communication for Autistic students with complex communication needs. The initial findings suggest that the training package increased teacher use of a variety of general communication strategies as well as student-specific communication strategies for two of two teachers, and increased the average total communication for two of two students. These findings should be interpreted cautiously, as there were insufficient replications to demonstrate a functional relation; however, the results do begin to provide evidence for the effect of, and extend the research on, teacher-delivered communication instruction following the dyadic training of classroom teachers and paraeducators.
First, the findings of this study suggest that following a brief training that includes written and verbal directions, modeling of the target skill, time to rehearse skill implementation, and verbal feedback on implementation in the training environment increased the rate of OTR and use of specific strategies amongst elementary and preschool teachers. These findings address the gap in teacher perceptions related to sufficient training in working with students who use AAC [6,7]. The findings also extend the research related to training paraeducators [12,13,19] by demonstrating that BST is effective for training teachers in communication strategies. Next, these findings provide initial support for dyadic training, which allows for a greater number of communication partners to be trained simultaneously and increases the feasibility of implementation compared to 1:1 training [11]. These results also show the effect that teacher-implemented strategies can have, and demonstrate that in addition to directing paraeducators, teachers can improve their own implementation of communication strategies. When paired with pyramidal training approaches [13], these findings suggest that professional development could be delivered to a small group consisting of a teacher and paraeducators and could be followed up by teacher-delivered training and coaching.
Second, the increase in student communication (both prompted and independent) provides additional evidence that strategy delivery aligned with a functional view of communication can be effective for students with complex communication needs. Similar to previous studies, the change in communication partner strategy use resulted in improved communication outcomes for students as well [12,13]. Mitch’s comment regarding improvements in Katie’s use of her device provides further evidence of the benefits for students using these methods. The results of this study also support work demonstrating that communication strategies that include the targeted acquisition of specific functions can also be augmented with general communication training [18,19]. Using a function-based communication approach resulted in both general increases in communication, but also allowed for the individualization of goals based on student-individualized education programs.
Third, the teacher and paraeducator responses to social validity questionnaires indicated that the use of BST to increase staff use of communication strategies was well received, but could be improved. Interestingly, the staff in Class 1 who received individual training consistently rated the methods and results higher than the staff in Class 2, who were trained in the dyadic format. One recurring issue in the extant research on staff training is the use of 1:1 training in studies [11]. This format is most likely necessitated by the research designs used; however, it is possible that scheduling time for training could also prevent group trainings (as was the case in Class 1). This leaves practitioners in the unenviable position of prioritizing between two problems. First, both teachers and paraeducators recognize training gaps and a need to improve their practices [8,9]. Conflicting with this issue is the lack of time to attend and participate in professional development opportunities. Both the pyramidal approach [13] and the dyadic training used in this study are potential solutions to this problem, but do not address the point raised by Brianna, which highlights the need for ongoing coaching and support following the brief trainings common to the extant research.

Limitations and Future Directions

The limitations of this study suggest avenues for future research. First, and perhaps most importantly, the methods in this study were only used in two classrooms. This limited replication minimizes the generalizability of these results and means that no functional relationship can be found. Future studies should replicate these methods in accordance with design standards set out by What Works Clearinghouse [23]. Of particular importance is ensuring sufficient sample size and replications to provide at least three opportunities to demonstrate an experimental effect. Second, this study focused on teacher use of communication strategies, but also provided training to paraeducators. Future studies could collect data on both communication partners to examine any differentiation in effects, as well as provide evidence of changes in paraeducator implementation. Third, only two raters coded behaviors, and one was the experimenter. The design of future studies would be strengthened by including more raters to increase confidence in the data collected. Finally, this study only examined the effects of one brief training on communication partner skills. Future studies could use more sophisticated designs to examine the effects of both the initial training, as well as the effects of conducting follow up coaching.

5. Conclusions

This preliminary study used dyadic training to measure the effects of communication partner training on elementary and preschool teachers and students with complex communication needs. The initial results are encouraging and indicate that both teachers’ use of strategies and student communication increased. This is particularly important for the students, for whom improved communication is directly related to social and academic potential. These methods begin to address the gap in both the feasibility of training for school staff and improving access to all aspects of life for Autistic people, and warrant extension and expansion in research and practice.

Author Contributions

Conceptualization, E.J.A.; methodology, E.J.A.; software, E.J.A.; validation, E.O. and N.B.; formal analysis, E.J.A.; writing—original draft preparation, E.J.A.; writing—review and editing, E.O. and N.B.; visualization, E.J.A.; supervision, E.J.A.; project administration, E.J.A.; funding acquisition, E.J.A. All authors have read and agreed to the published version of the manuscript.

Funding

This research was funded by Bowling Green State University Office of Sponsored Programs and Research Building Strength Grant, grant number 33000403.

Institutional Review Board Statement

The study was conducted in accordance with the Declaration of Helsinki, and approved by the Institutional Review Board (or Ethics Committee) of Bowling Green State University (protocol code 1956358-10 and date of approval 14 December 2022).

Informed Consent Statement

Informed consent was obtained from all subjects involved in the study.

Data Availability Statement

The raw data supporting the conclusions of this article will be made available by the authors on request.

Conflicts of Interest

The authors declare no conflicts of interest.

References

  1. Anderson, E.J.; Brock, M.E.; Shawbitz, K.N. Philosophical perspectives and practical considerations for the inclusion of students with developmental disabilities. Educ. Sci. 2022, 12, 478. [Google Scholar] [CrossRef]
  2. Brady, N.C.; Bruce, S.; Goldman, A.; Erickson, K.; Mineo, B.; Ogletree, B.T.; Paul, D.; Romski, M.; Sevcik, R.; Siegel, E.; et al. Communication services and supports for individuals with severe disabilities: Guidance for assessment and intervention. Am. J. Intellect. Dev. Disabil. 2016, 121, 121–138. [Google Scholar] [CrossRef] [PubMed]
  3. Light, J.; Drager, K. AAC technologies for young children with complex communication needs: State of the science and future research directions. Augment. Altern. Commun. 2007, 23, 204–216. [Google Scholar] [CrossRef] [PubMed]
  4. Drager, K.; Light, J.; McNaughton, D. Effects of AAC interventions on communication and language for young children with complex communication needs. J. Pediatr. Rehabil. Med. 2010, 3, 303–310. [Google Scholar] [CrossRef] [PubMed]
  5. Andzik, N.R.; Chung, Y.C.; Kranak, M.P. Communication opportunities for elementary school students who use augmentative and alternative communication. Augment. Altern. Commun. 2016, 32, 272–281. [Google Scholar] [CrossRef] [PubMed]
  6. Alexandra Da Fonte, M.; Boesch, M.C.; DeLuca, E.R.; Papp, S.K.; Mohler, A.E.; Holmes, E.E.; Clouse, K.A.; Young, R.D.; Urbano, R. Current preparation status in AAC: Perspectives of special education teachers in the United States. Augment. Altern. Commun. 2022, 38, 29–40. [Google Scholar] [CrossRef] [PubMed]
  7. Finke, E.H.; Finke, E.H.; McNaughton, D.B.; Drager, K.D. “All children can and should have the opportunity to learn”: General education teachers’ perspectives on including children with autism spectrum disorder who require AAC. Augment. Altern. Commun. 2009, 25, 110–122. [Google Scholar] [CrossRef] [PubMed]
  8. Leatherman, E.M.; Wegner, J.R. Augmentative and alternative communication in the classroom: Teacher practices and experiences. Lang. Speech Hear. Serv. Sch. 2022, 53, 874–893. [Google Scholar] [CrossRef] [PubMed]
  9. Carter, E.; O’Rourke, L.; Sisco, L.G.; Pelsue, D. Knowledge, responsibilities, and training needs of paraprofessionals in elementary and secondary schools. Remedial Spec. Educ. 2009, 30, 344–359. [Google Scholar] [CrossRef]
  10. Miltenberger, R. Behavior Modification Principles and Procedures, 6th ed.; Cengage Learning: Boston, MA, USA, 2015. [Google Scholar]
  11. Brock, M.E.; Anderson, E.J. Training paraprofessionals who work with students with intellectual and developmental disabilities: What does the research say? Psych. Sch. 2020, 58, 702–722. [Google Scholar] [CrossRef]
  12. Wermer, L.; Brock, M.E.; Seaman, R.L. Efficacy of a teacher training a paraprofessional to promote communication for a student with autism and complex communication needs. Focus Autism Other Dev. Disabil. 2018, 33, 217–226. [Google Scholar] [CrossRef]
  13. Andzik, N.R.; Schaefer, J.M.; Christensen, V.L. The effects of teacher-delivered behavior skills training on paraeducators’ use of a communication intervention for a student with autism who uses AAC. Augment. Altern. Commun. 2021, 37, 1–13. [Google Scholar] [CrossRef]
  14. Douglas, S.N.; Bowles, R.; Plavnick, J.; Dunkel-Jackson, S.M.; Sun, T.; Bagawan, A. An online communication partner training program: POWR+ intervention results for teachers, paraeducators, and children. Rural Spec. Educ. Q. 2024, 43, 78–90. [Google Scholar] [CrossRef]
  15. Kashinath, S.; Dukhovny, E.; Polit, P. Effects of a coaching intervention on paraeducator use of aided language modeling in classroom settings: A pilot investigation. Commun. Disord. Q. 2022, 44, 33–44. [Google Scholar] [CrossRef]
  16. Walker, V.L.; Carpenter, M.E.; Lyon, K.J.; Garcia, M.; Johnson, H. Coaching paraeducators to implement functional communication training involving augmentative and alternative communication for students with autism spectrum disorder. Augment. Altern. Commun. 2021, 37, 129–140. [Google Scholar] [CrossRef] [PubMed]
  17. Walker, V.L.; Carpenter, M.E.; Clausen, A.; Ealer, K.; Lyon, K.J. Special educators as coaches to support paraprofessional implementation of functional communication training. J. Posit. Behav. Interv. 2021, 23, 174–184. [Google Scholar] [CrossRef]
  18. Lorah, E.R.; Parnell, A. Acquisition of tacting using a speech-generating device in group learning environments for preschoolers with autism. J. Dev. Phys. Disabil. 2017, 29, 597–609. [Google Scholar] [CrossRef]
  19. Anderson, E.J.; Brock, M.E.; Shawbitz, K.N. Training paraeducators to promote communication opportunities for students with complex communication needs. J. Behav. Educ. 2024, in press. [Google Scholar] [CrossRef]
  20. Cooper, J.; Heron, T.; Heward, W. Applied Behavior Analysis, 3rd ed.; Pearson: London, UK, 2020. [Google Scholar]
  21. Gast, D.; Lloyd, B.; Ledford, J. Multiple baseline and multiple probe designs. In Single Case Research Methodology: Applications in Special and Behavioral Sciences, 3rd ed.; Ledford, J., Gast, D., Eds.; Routledge: Oxfordshire, UK, 2018; pp. 239–282. [Google Scholar]
  22. Kratochwill, T.R.; Levin, J.R. Enhancing the scientific credibility of single-case intervention research: Randomization to the rescue. Psychol. Methods 2014, 15, 124–144. [Google Scholar] [CrossRef] [PubMed]
  23. Kratochwill, T.R.; Hitchcock, J.; Horner, R.H.; Levin, J.R.; Odom, S.L.; Rindskopf, D.M.; Shadish, W.R. Single-Case Designs Technical Documentation. Available online: http://ies.ed.gov/ncee/wwc/pdf/wwc_scd.pdf (accessed on 27 July 2024).
Figure 1. Communication strategy use. Note: Session duration varied between 3.5 and 10 min and took place 2–3 days per week. Staff behaviors are displayed on the line graph, and student behaviors are displayed on the bar graph. The solid vertical line that bisects all graphs represents the introduction of the intervention package and shows that training occurred on day 12 for Class 1 and day 18 for Class 2. BST = behavioral skills training; OTR = opportunities to respond.
Figure 1. Communication strategy use. Note: Session duration varied between 3.5 and 10 min and took place 2–3 days per week. Staff behaviors are displayed on the line graph, and student behaviors are displayed on the bar graph. The solid vertical line that bisects all graphs represents the introduction of the intervention package and shows that training occurred on day 12 for Class 1 and day 18 for Class 2. BST = behavioral skills training; OTR = opportunities to respond.
Disabilities 04 00035 g001
Table 1. Teacher and paraeducator social validity questionnaire results.
Table 1. Teacher and paraeducator social validity questionnaire results.
Category and ItemResponsesM
Training Components
  Trainer was responsive to questions4, 4, 5, 54.5
  Trainer presented material clearly4, 4, 5, 54.5
  Trainer model was clear4, 4, 5, 54.5
  I liked the rehearsal portion of the training4, 4, 5, 54.5
  The trainer feedback was useful3, 3, 5, 54
  I liked the training on requests3, 4, 5, 54.25
  I liked the training on comments3, 4, 5, 54.25
  I liked the training on conversation exchanges4, 4, 5, 54.5
Training Effects
  Training on contriving communication was useful3, 4, 5, 54.25
  I will use communication contriving strategies in the future3, 4, 5, 54.5
  My skills in contriving communication improved through the project4, 4, 5, 54.5
  My student benefited from my participation in these trainings4, 4, 5, 54.5
Note: Response options: 1 = Strongly disagree. 2 = Disagree. 3 = Neither agree nor disagree. 4 = Agree. 5 = Strongly agree.
Disclaimer/Publisher’s Note: The statements, opinions and data contained in all publications are solely those of the individual author(s) and contributor(s) and not of MDPI and/or the editor(s). MDPI and/or the editor(s) disclaim responsibility for any injury to people or property resulting from any ideas, methods, instructions or products referred to in the content.

Share and Cite

MDPI and ACS Style

Anderson, E.J.; Oehrtman, E.; Brown, N. Dyadic Training of Communication Partners for Autistic Students: A Feasibility Study. Disabilities 2024, 4, 556-567. https://doi.org/10.3390/disabilities4030035

AMA Style

Anderson EJ, Oehrtman E, Brown N. Dyadic Training of Communication Partners for Autistic Students: A Feasibility Study. Disabilities. 2024; 4(3):556-567. https://doi.org/10.3390/disabilities4030035

Chicago/Turabian Style

Anderson, Eric J., Emily Oehrtman, and Nicholas Brown. 2024. "Dyadic Training of Communication Partners for Autistic Students: A Feasibility Study" Disabilities 4, no. 3: 556-567. https://doi.org/10.3390/disabilities4030035

APA Style

Anderson, E. J., Oehrtman, E., & Brown, N. (2024). Dyadic Training of Communication Partners for Autistic Students: A Feasibility Study. Disabilities, 4(3), 556-567. https://doi.org/10.3390/disabilities4030035

Article Metrics

Back to TopTop