Critical Review of Cp Calculation Within the Fluidized Bed of Cement Rotary Kilns
Abstract
1. Introduction
| Year | Source | Country | Energy Per Type of Process [GJ/ton Clinker] | |
|---|---|---|---|---|
| Wet | Dry | |||
| 1994 | [9] | U.S. | 366 PJ total | - |
| 2002 | [10,11,12] | Global | 5.3–7.1 | 3.06 |
| 2006 | [13] | Global | 6.38 | 3.55 |
| 2006 | [13,14] | Global | - | 3.42 |
| 2007 | [5] | U.S. | 6.5 | 5.3 |
| 2011, 2017 | [15,16] | Asia | 5.68–6.28 | 4.6 |
| 2014 | [17] | Global | - | 3.5 |
| 2020 | [3] | Iran | - | 3.4 |
| 2022 | [18] | Global | 5.29 | 3.4 |
| Technology | Specific Thermal Energy Demand | |
|---|---|---|
| [MJ/ton Clinker] | Weighted Average [MJ/ton Clinker] | |
| Dry kiln with preheater and pre-calciner | 3000 < 4000 | 3515 |
| Dry kiln with preheater without pre-calciner | 3100 to 4200 | 3700 |
| Semi-wet/semi-dry process | 3300 to 5400 | 3918 |
| Dry kiln without preheater (long dry kiln) | Up to 5000 | 3570 |
| Wet process | 5000 to 6400 | 5512 |
| Shaft kilns | 3100 to 6500 and higher | n.a. |

2. Methodology
- The system is assumed to be in a steady state with constant flow [22].
- The model is considered one-dimensional (1D).
- The fluidized bed height remains constant along the entire length of the kiln [23].
- The decomposition of calcium carbonate is assumed to take place primarily in the pre-calciner, so the CO2 source term of the energy equation can be ignored for the case of the rotary kiln.
- The chemical reactions are restricted to five main ones (shown in Table 3) with corresponding kinetics [25,26,27,28] whose reaction rate is determined by an Arrhenius-type law with fixed values in the enthalpies of the reactions, the latent heat of the solid, activation energies and pre-exponential factors remain constant.
- The emission factors are assumed to remain constant over the entire length of the rotary kiln for the gas phase, the fluidized bed and the inner wall.
| Reactions | Temperature Range [K] | |
|---|---|---|
| 1 | CaCO3 CaO + CO2 | 823–1233 |
| 2 | 2CaO + SiO2 C2S | 873–1573 |
| 3 | C2S + CaO C3S | 1473–1553 |
| 4 | 3CaO + Al2O3 C3A | 1453–1553 |
| 5 | 4CaO + Al2O3 + Fe2O3 C4AF | 1453–1553 |
| 6 | Clinker(sol) Clinker(liq) | >1553 |
- Group A: CaCO3, CaO, SiO2, Al2O3, and Fe2O3.
- Group B: C2S, C3S, C3A, and C4AF.
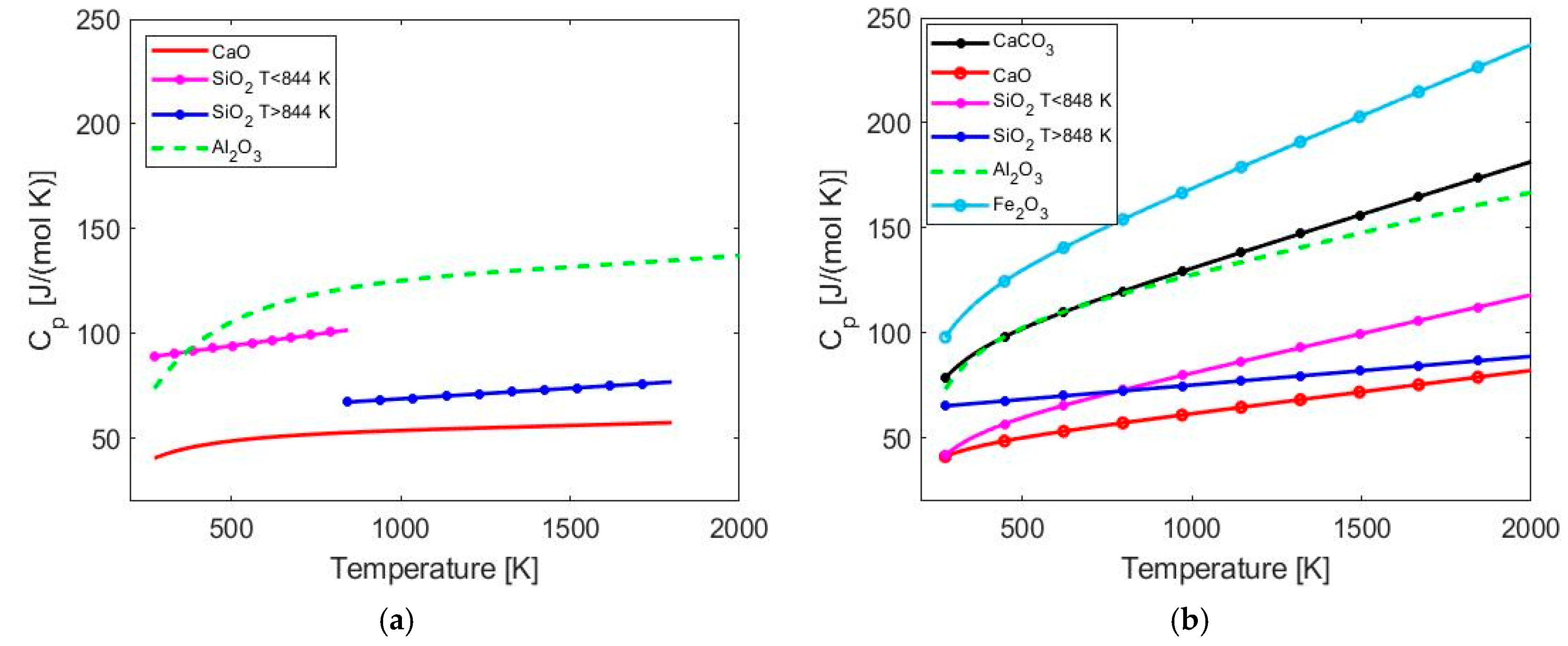
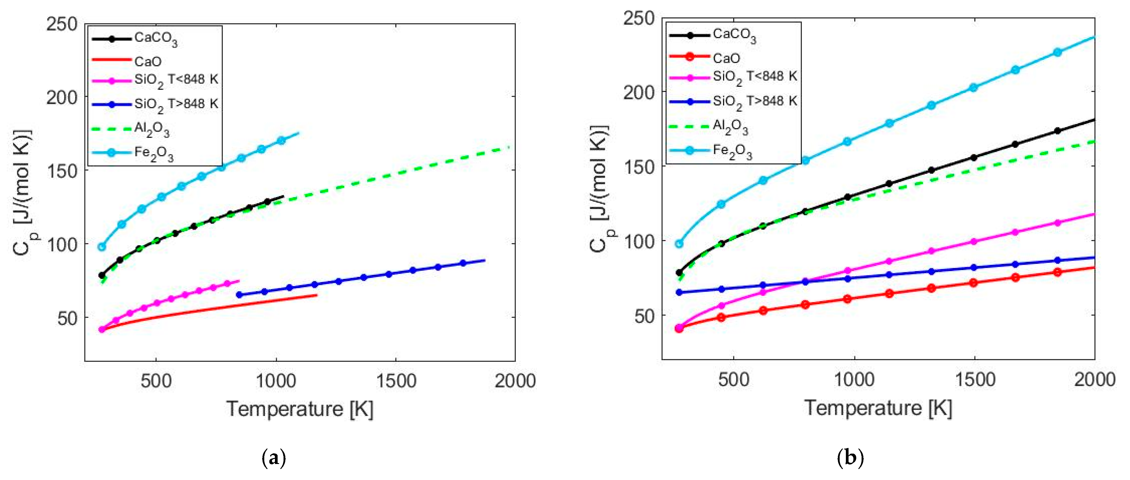
2.1. Calculations of Cp for Components of Group A
- CaCO3
- CaO
- SiO2
- Al2O3
- Fe2O3
- CaO
- Al2O3
- SiO2, quartz a
- SiO2, quartz β
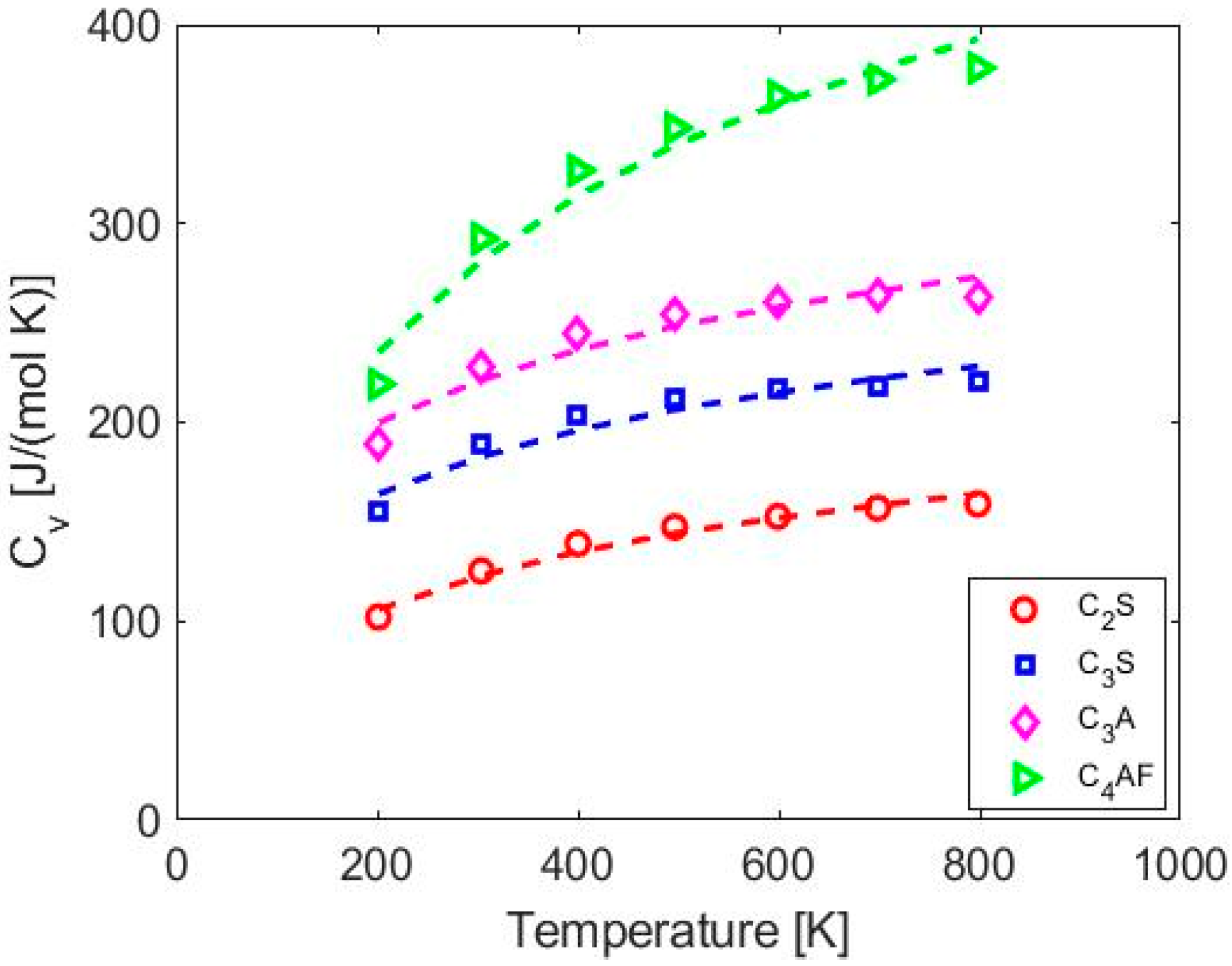
2.2. Calculations of Cp for Components of Group B
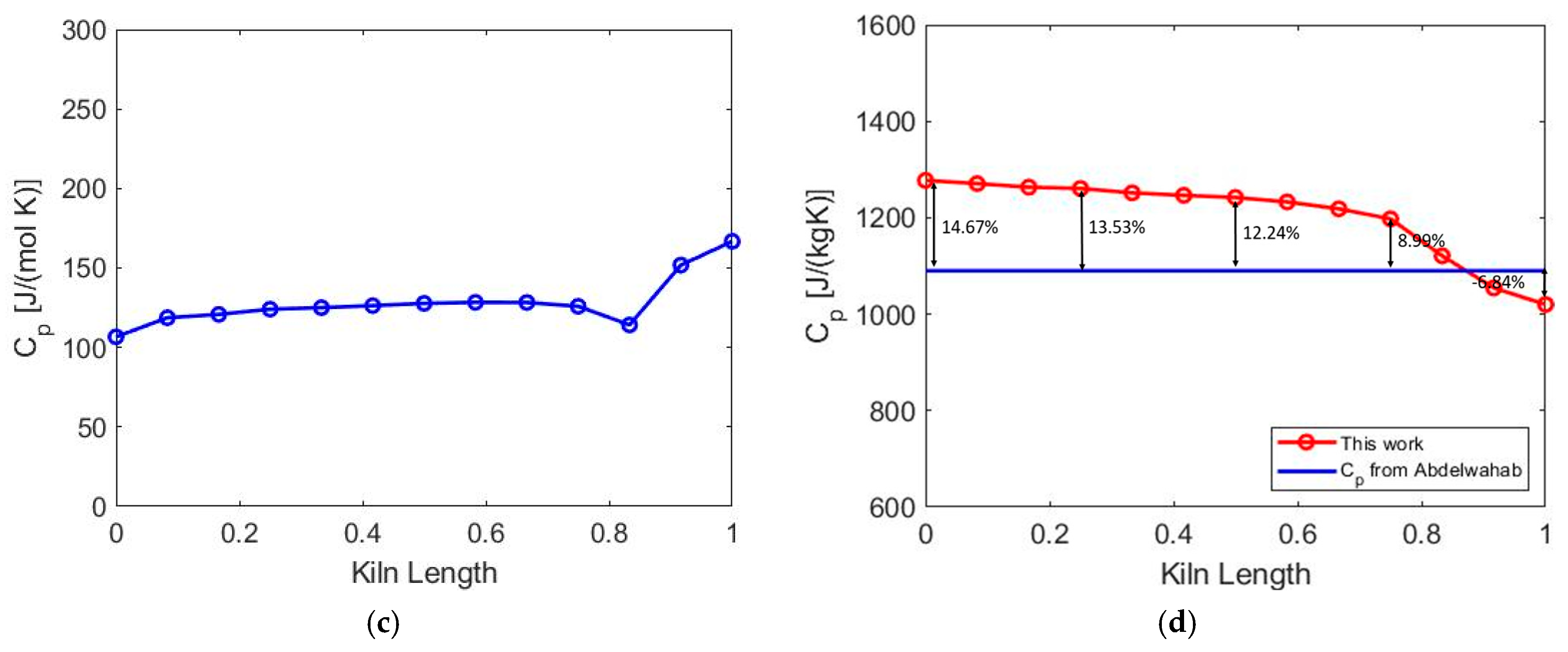
2.3. Calculations of Cp for the Mixed Fluidized Bed
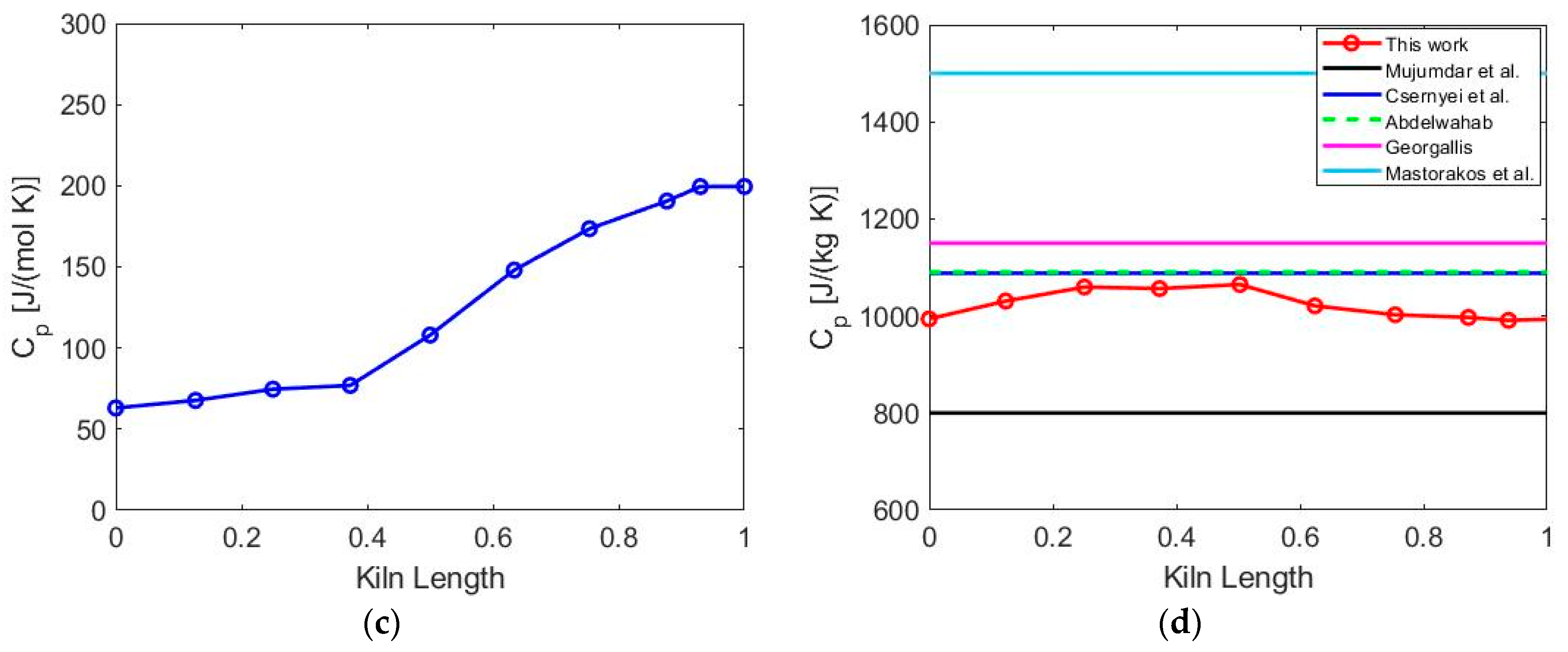
3. Results and Discussion
4. Conclusions and Future Outlook
Author Contributions
Funding
Institutional Review Board Statement
Informed Consent Statement
Data Availability Statement
Conflicts of Interest
Abbreviations
| C2S | dicalcium silicate: 2CaO∙SiO2 (Belite) |
| C3S | tricalcium silicate: 3CaO∙SiO2 (Alite) |
| C3A | tricalcium aluminate: 3CaO∙Al2O3 (Aluminate) |
| C4AF | tetracalicium aluminoferrite: 4CaO∙Al2O3∙Fe2O3 (Ferrite) |
| DFT | Density Functional Theory |
| MC | Monte Carlo |
| MD | Molecular dynamics |
| PFR | Plug flow reactor |
References
- Oda, J.; Akimoto, K.; Tomoda, T.; Nagashima, M.; Wada, K.; Sano, F. International comparisons of energy efficiency in power, steel, and cement industries. Energy Policy 2012, 44, 118–129. [Google Scholar] [CrossRef]
- Atmaca, A.; Yumrutaş, R. Analysis of the parameters affecting energy consumption of a rotary kiln in cement industry. Appl. Therm. Eng. 2014, 66, 435–444. [Google Scholar] [CrossRef]
- Mujumdar, K.S.; Ganesh, K.V.; Kulkarni, S.B.; Ranade, V.V. Rotary Cement Kiln Simulator (RoCKS): Integrated modeling of pre-heater, calciner, kiln and clinker cooler. Chem. Eng. Sci. 2007, 62, 2590–2607. [Google Scholar] [CrossRef]
- Mokrzycki, E.; Uliasz-Bocheńczyk, A.; Sarna, M. Use of alternative fuels in the Polish cement industry. Appl. Energy 2003, 74, 101–111. [Google Scholar] [CrossRef]
- Van Oss, H.G. Reducing cement’s CO2 footprint. Priv. Sect. Dev. 2011, 10, 12–15. Available online: https://www.proparco.fr/en/article/reducing-cements-co2-footprint (accessed on 20 December 2023).
- Bohan, R.P. Heat transfer in rotary kilns: A retrospect. In Proceedings of the 2016 IEEE-IAS/PCA Cement Industry Technical Conference, Dallas, TX, USA, 13–20 May 2016; IEEE: New York, NY, USA, 2016; pp. 1–6. [Google Scholar] [CrossRef]
- Sadighi, S.; Shirvani, M.; Ahmad, A. Rotary cement kiln coating estimator: Integrated modelling of kiln with shell temperature measurement. Can. J. Chem. Eng. 2011, 89, 116–125. [Google Scholar] [CrossRef]
- Tscheng, S.H.; Watkinson, A.P. Convective heat transfer in a rotary kiln. Can. J. Chem. Eng. 1979, 57, 433–443. [Google Scholar] [CrossRef]
- Martin, N.; Worrell, E.; Price, L. Energy Efficiency and Carbon Dioxide Emissions Reduction Opportunities in the U.S. Cement Industry; Lawrence Berkeley National Laboratory: Berkeley, CA, USA, 1999. [Google Scholar]
- WBCSD. Toward a Sustainable Cement Industry; Climate Change; WBCSD: Geneva, Switzerland, 2002. [Google Scholar]
- Taylor, M.; Tam, C.; Gielen, D. Energy Efficiency and CO2 Emissions from the Global Cement Industry. In Proceedings of the IEA-WBCSD Workshop, Paris, France, 4–5 September 2006. [Google Scholar]
- Ishak, S.A.; Hashim, H. Low carbon measures for cement plant—A review. J. Clean. Prod. 2015, 103, 260–274. [Google Scholar] [CrossRef]
- Benhelal, E.; Zahedi, G.; Shamsaei, E.; Bahadori, A. Global strategies and potentials to curb CO2 emissions in cement industry. J. Clean. Prod. 2013, 51, 142–161. [Google Scholar] [CrossRef]
- Mirzakhani, M.A.; Tahouni, N.; Panjeshahi, M.H. Energy benchmarking of cement industry, based on Process Integration concepts. Energy 2017, 130, 382–391. [Google Scholar] [CrossRef]
- International Finance Corporation. Improving Thermal and Electric Energy Efficiency at Cement Plants; World Bank: Washington, DC, USA, 2017. [Google Scholar] [CrossRef]
- Madlool, N.A.; Saidur, R.; Hossain, M.S.; Rahim, N.A. A critical review on energy use and savings in the cement industries. Renew. Sustain. Energy Rev. 2011, 15, 2042–2060. [Google Scholar] [CrossRef]
- IEA. Technology Roadmap—Low-Carbon Transition in the Cement Industry; IEA: Paris, France, 2018; Available online: https://www.iea.org/reports/technology-roadmap-low-carbon-transition-in-the-cement-industry (accessed on 20 December 2023).
- Sahoo, N.; Kumar, A.; Samsher. Review on energy conservation and emission reduction approaches for cement industry. Environ. Dev. 2022, 44, 100767. [Google Scholar] [CrossRef]
- Marmier, A. Decarbonisation Options for the Cement Industry; Publications Office: Luxembourg, 2023; Available online: https://publications.jrc.ec.europa.eu/repository/handle/JRC131246 (accessed on 20 December 2023).
- Mungyeko Bisulandu, B.-J.R.; Pongo, P.C. Les énergies renouvelables face à l’épuisement des énergies fossiles: Utilisation et Valorisation des déchets dans les fours de cimenterie. In Proceedings of the 7éme Édition COFRET, Paris, France, 23–25 April 2014; pp. 905–918. [Google Scholar]
- Mungyeko Bisulandu, B.-J.R.; Marias, F. Modeling of the Thermochemical Conversion of Biomass in Cement Rotary Kiln. Waste Biomass Valor. 2021, 12, 1005–1024. [Google Scholar] [CrossRef]
- Mujumdar, K.S.; Ranade, V.V. Simulation of Rotary Cement Kilns Using a One-Dimensional Model. Chem. Eng. Res. Des. 2006, 84, 165–177. [Google Scholar] [CrossRef]
- Mujumdar, K.S.; Arora, A.; Ranade, V.V. Modeling of Rotary Cement Kilns: Applications to Reduction in Energy Consumption. Ind. Eng. Chem. Res. 2006, 45, 2315–2330. [Google Scholar] [CrossRef]
- Darabi, P. A Mathematical Model for Cement Kilns. Master’s Thesis, University of British Columbia, Vancouver, BC, Canada, 2007. [Google Scholar] [CrossRef]
- Colina-Morles, E.; Medina, J.; Falconí, M.; Morocho, V. Phenomenological modelling and computer simulation of a clinker kiln. In Proceedings of the 2016 IEEE Ecuador Technical Chapters Meeting (ETCM), Guayaquil, Ecuador, 12–14 October 2016; IEEE: Piscataway, NJ, USA, 2016. [Google Scholar]
- González, H.; Zarate Evers, C.M.; Alviso, D.; Rolon, J.C. Numerical study of a rotary kiln. A case study of an industrial plant in Paraguay. In Proceedings of the 16th Brazilian Congress of Thermal Sciences and Engineering, Vitória, Brazil, 7–10 November 2016. [Google Scholar] [CrossRef]
- Abdulkadir, A.A.A. Modeling of Solid Reaction Behavior in Direct Heated Rotary Kilns. Ph.D. Thesis, Otto-von-Guericke-University of Magdeburg, Magdeburg, Germany, 2017. [Google Scholar]
- Pieper, C.; Liedmann, B.; Wirtz, S.; Scherer, V.; Bodendiek, N.; Schaefer, S. Interaction of the combustion of refuse derived fuel with the clinker bed in rotary cement kilns: A numerical study. Fuel 2020, 266, 117048. [Google Scholar] [CrossRef]
- Martin, G. Chemical Engineering and Thermodynamics applied to the Cement Rotary Kiln. Nature 1932, 130, 867. [Google Scholar] [CrossRef]
- Georgallis, M. Mathematical Modelling of Lime Kilns. Ph.D. Thesis, University of British Columbia, Vancouver, BC, Canada, 2004. [Google Scholar] [CrossRef]
- Csernyei, C.; Straatman, A.G. Numerical modeling of a rotary cement kiln with improvements to shell cooling. Int. J. Heat Mass Transf. 2016, 102, 610–621. [Google Scholar] [CrossRef]
- Perry, R.H.; Green, D.W. (Eds.) Perry’s Chemical Engineers’ Handbook, 8th ed.; McGraw-Hill: New York, NY, USA, 2008. [Google Scholar]
- Haas, J.L., Jr.; Robinson, G.R., Jr.; Hemingway, B.S. Thermodynamic tabulations for selected phases in the system CaO-Al2O3-SiO2-H2 at 101.325 kPa (1 atm) between 273.15 and 1800 K. J. Phys. Chem. Ref. Data 1981, 10, 575–670. [Google Scholar] [CrossRef]
- Mai, N.L.; Hoang, N.-H.; Do, H.T.; Pilz, M.; Trinh, T.T. Elastic and thermodynamic properties of the major clinker phases of Portland cement: Insights from first principles calculations. Constr. Build. Mater. 2021, 287, 122873. [Google Scholar] [CrossRef]
- Kurth, S.; Marques, M.A.L.; Gross, E.K.U. Density-Functional Theory. In Encyclopedia of Condensed Matter Physics; Elsevier: Amsterdam, The Netherlands, 2005; pp. 395–402. [Google Scholar] [CrossRef]
- Smith, N.O. The difference between Cp and Cv for liquids and solids. J. Chem. Educ. 1965, 42, 654. [Google Scholar] [CrossRef]
- Mastorakos, E.; Massias, A.; Tsakiroglou, C.D.; Goussis, D.A.; Burganos, V.N.; Payatakes, A.C. CFD predictions for cement kilns including flame modelling, heat transfer and clinker chemistry. Appl. Math. Model. 1999, 23, 55–76. [Google Scholar] [CrossRef]
- Abdolhosseini Qomi, M.J.; Ulm, F.-J.; Pellenq, R.J.-M. Physical Origins of Thermal Properties of Cement Paste. Phys. Rev. Appl. 2015, 3, 064010. [Google Scholar] [CrossRef]
- Spang, H.A. A dynamic model of a cement kiln. Automatica 1972, 8, 309–323. [Google Scholar] [CrossRef]













| Components | a1 | a0 | R2 |
|---|---|---|---|
| C2S | 41.774 | −115.4 | 0.9642 |
| C3S | 46.334 | −81.538 | 0.9108 |
| C3A | 52.824 | −80.033 | 0.9125 |
| C4AF | 113.6 | −366.6 | 0.9546 |
| Authors | Year | Ref. Source | Missing Component |
|---|---|---|---|
| Spang et al. | 1972 | [39] | Al2O3; Fe2O3 |
| Mastorakos et al. | 1999 | [37] | [-] |
| Mujumdar et al. | 2006 | [22] | SiO2; Al2O3; Fe2O3 |
| Mujumdar et al. | 2006 | [23] | SiO2; Al2O3; Fe2O3 |
| Darabi et al. | 2007 | [24] | SiO2; Al2O3; Fe2O3 |
| Csernyei et al. | 2016 | [31] | SiO2; Al2O3; Fe2O3 |
| Colina-Morles et al. | 2016 | [25] | Fe2O3 |
| Gonzales et al. | 2016 | [26] | [-] |
| Abdelwahab et al. | 2017 | [27] | [-] |
| Pieper et al. | 2020 | [28] | SiO2; Al2O3; Fe2O3 |
| Mungyeko Bisulandu and Marias | 2021 | [21] | [-] |
| Literature Source | Cp [J/(kg K)] |
|---|---|
| Pieper et al. [28] | Polynomial for SiO2 |
| Mastorakos et al. [37] | 1500 |
| Mungyeko Bisulandu and Marias [21] | - |
| Colina-Morles et al. [25] | Cp solids relation [Cs = 1000 × (0.88 + 0.000293 Ts)] |
| Mujumdar et al. [22] | 800 |
| Csernyei et al. [31] | 1088 (from Darabi [24]) |
| Darabi [24] | 1088 |
| Gonzales et al. [26] | 800 (from Mujumdar et al. [22]) |
| Abdelwahab et al. [27] | 1090 |
| Georgallis [30] | 1150 |
Disclaimer/Publisher’s Note: The statements, opinions and data contained in all publications are solely those of the individual author(s) and contributor(s) and not of MDPI and/or the editor(s). MDPI and/or the editor(s) disclaim responsibility for any injury to people or property resulting from any ideas, methods, instructions or products referred to in the content. |
© 2026 by the authors. Licensee MDPI, Basel, Switzerland. This article is an open access article distributed under the terms and conditions of the Creative Commons Attribution (CC BY) license.
Share and Cite
Kostarellou, E.; Gkagkari, E.; Mouratidis, M.; Damartzis, T.; Skevis, G.; Katsinos, A.; Kaimakamis, T.; Tomboulides, A.; Michalis, V.K.; Stroungaris, V.; et al. Critical Review of Cp Calculation Within the Fluidized Bed of Cement Rotary Kilns. Physchem 2026, 6, 10. https://doi.org/10.3390/physchem6010010
Kostarellou E, Gkagkari E, Mouratidis M, Damartzis T, Skevis G, Katsinos A, Kaimakamis T, Tomboulides A, Michalis VK, Stroungaris V, et al. Critical Review of Cp Calculation Within the Fluidized Bed of Cement Rotary Kilns. Physchem. 2026; 6(1):10. https://doi.org/10.3390/physchem6010010
Chicago/Turabian StyleKostarellou, Evanthia, Evdokia Gkagkari, Michail Mouratidis, Theodoros Damartzis, George Skevis, Alexandros Katsinos, Thomas Kaimakamis, Ananias Tomboulides, Vasileios K. Michalis, Vasileios Stroungaris, and et al. 2026. "Critical Review of Cp Calculation Within the Fluidized Bed of Cement Rotary Kilns" Physchem 6, no. 1: 10. https://doi.org/10.3390/physchem6010010
APA StyleKostarellou, E., Gkagkari, E., Mouratidis, M., Damartzis, T., Skevis, G., Katsinos, A., Kaimakamis, T., Tomboulides, A., Michalis, V. K., Stroungaris, V., Poulianas, N., Katsiotis, M. S., Asimakopoulou, A., & Tsimpanogiannis, I. N. (2026). Critical Review of Cp Calculation Within the Fluidized Bed of Cement Rotary Kilns. Physchem, 6(1), 10. https://doi.org/10.3390/physchem6010010

