Characterization of Ashes from Sewage Sludge–Limestone Incineration: Study of SSA Properties and Reactivity for SCM Use
Abstract
1. Introduction
2. Materials and Methods
2.1. Raw Materials
2.2. SSA Characterization
2.3. SSA Behavior in Aqueous Solution
2.4. Reactivity
2.4.1. R3 (Rapid, Reproducible, Relevant) Test
- Ca(OH)2 initial: Total mass of portlandite introduced for R3 test
- Ca(OH)2 SSA: Total content of portlandite and calcium oxide in raw SSA determined initially by XRD
- Ca(OH)2 remaining: Total content of portlandite after 7 days of R3 test determined by TGA
2.4.2. Strength Activity Index (SAI)
- Rci: Compressive strength of the SSA-modified mortar at time t
- Rcreference: Compressive strength of the reference mortar without SSA at time t
3. Results
3.1. Properties of SSA
3.1.1. Physical Properties
3.1.2. Chemical Properties
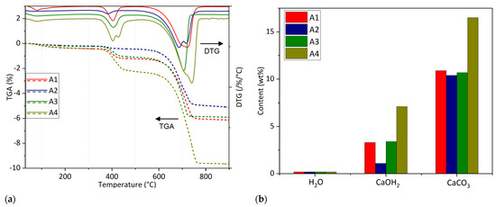
3.1.3. Mineralogical Composition
- Wi: Weight percentage of each chemical element i to be determined in wt%
- Wj: Weight percentage of each phase j determined by XRD in wt%
- Mj: Molar mass of phase j in g/mol
- Mi: Molar mass of element i in g/mol
3.2. Electrical Conductivity in Water Solution
3.3. Sampling over Time
3.3.1. Mineralogical Analysis of Filtered Solid
3.3.2. Chemical Analysis of Filtrate
3.4. Reactivity of SSA
3.4.1. Reactivity Assessed Using the R3 Method
3.4.2. Reactivity Assessed Using Mechanical Properties
4. Conclusions
- -
- A significant Ca(OH)2 formation was observed after contact with water, due to the lime content in SSA, leading to a highly alkaline medium.
- -
- A formation of ettringite only for A3 and A4 in aqueous solution.
- -
- A decrease in electrical conductivity indicates slightly higher reactivity for A1 and A2.
- -
- The heavy metal’s leachability showed low concentrations, and the waste is therefore considered non-hazardous.
- -
- In terms of reactivity assessment, the key findings are as follows:
- -
- The four SSAs showed a low reactivity compared to other common SCMs such as slag and metakaolin.
- -
- The SAI results of A1 and A2 presented a value higher than 75%, which confirms their reactivity.
- -
- A strong correlation was confirmed between the heat release and the compressive strength of SSA blended cement mortars at 7 days.
Author Contributions
Funding
Data Availability Statement
Acknowledgments
Conflicts of Interest
References
- Donatello, S.; Tyrer, M.; Cheeseman, C.R. EU Landfill Waste Acceptance Criteria and EU Hazardous Waste Directive Compliance Testing of Incinerated Sewage Sludge Ash. Waste Manag. 2010, 30, 63–71. [Google Scholar] [CrossRef] [PubMed]
- Garcés, P.; Pérez Carrión, M.; García-Alcocel, E.; Payá, J.; Monzó, J.; Borrachero, M.V. Mechanical and Physical Properties of Cement Blended with Sewage Sludge Ash. Waste Manag. 2008, 28, 2495–2502. [Google Scholar] [CrossRef] [PubMed]
- Donatello, S.; Cheeseman, C.R. Recycling and Recovery Routes for Incinerated Sewage Sludge Ash (ISSA): A Review. Waste Manag. 2013, 33, 2328–2340. [Google Scholar] [CrossRef]
- Liu, D.-S.; Wang, C.-Q.; Mei, X.-D.; Huang, Q.; Ding, S.-M. An Effective Treatment Method for Shale Gas Drilling Cuttings Solidified Body. Environ. Sci. Pollut. Res. 2019, 26, 17853–17857. [Google Scholar] [CrossRef] [PubMed]
- Haustein, E.; Kuryłowicz-Cudowska, A.; Łuczkiewicz, A.; Fudala-Książek, S.; Cieślik, B.M. Influence of Cement Replacement with Sewage Sludge Ash (SSA) on the Heat of Hydration of Cement Mortar. Materials 2022, 15, 1547. [Google Scholar] [CrossRef] [PubMed]
- Smol, M.; Kulczycka, J.; Henclik, A.; Gorazda, K.; Wzorek, Z. The Possible Use of Sewage Sludge Ash (SSA) in the Construction Industry as a Way towards a Circular Economy. J. Clean. Prod. 2015, 95, 45–54. [Google Scholar] [CrossRef]
- Maozhe, C.; Blanc, D.; Gautier, M.; Mehu, J.; Gourdon, R. Environmental and Technical Assessments of the Potential Utilization of Sewage Sludge Ashes (SSAs) as Secondary Raw Materials in Construction. Waste Manag. 2013, 33, 1268–1275. [Google Scholar]
- Lynn, C.J.; Dhir, R.K.; Ghataora, G.S.; West, R.P. Sewage Sludge Ash Characteristics and Potential for Use in Concrete. Constr Build. Mater. 2015, 98, 767–779. [Google Scholar] [CrossRef]
- Cyr, M.; Klysz, G.; Juilen, S.; Clastres, P. Les Cendres d’incinération de Boues de Station de Traitement Des Eaux Polluées Sont-Elles Utilisables Dans La Matrice Cimentaire? Comparaison avec les cendres volantes de charbon. Environ. Ingénierie Développement 2003, 29, 22–29. [Google Scholar]
- Świerczek, L.; Cieślik, B.M.; Konieczka, P. Challenges and Opportunities Related to the Use of Sewage Sludge Ash in Cement-Based Building Materials—A Review. J. Clean. Prod. 2021, 287, 125054. [Google Scholar] [CrossRef]
- Donatello, S.; Freeman-Pask, A.; Tyrer, M.; Cheeseman, C.R. Effect of Milling and Acid Washing on the Pozzolanic Activity of Incinerator Sewage Sludge Ash. Cem. Concr. Compos. 2010, 32, 54–61. [Google Scholar] [CrossRef]
- Fontes, C.M.A.; Barbosa, M.C.; Toledofilho, R.D.; Gonçalves, J.P. Potentiality of Sewage Sludge as as Mineral Additive in Cement Mortar and High Performance Concrete. In Proceedings of the Conference: Use of Recycled Materials in Buildings and Structures, Barcelona, Spain, 8–11 November 2004; RILEM Publications: Champs-sur-Marne, France, 2004; pp. 797–806. [Google Scholar]
- Pinheiro, V.D.; Alexandre, J.; Xavier, G.d.C.; Marvila, M.T.; Monteiro, S.N.; de Azevedo, A.R.G. Methods for Evaluating Pozzolanic Reactivity in Calcined Clays: A Review. Materials 2023, 16, 4778. [Google Scholar] [CrossRef] [PubMed]
- Golewski, G.L. The Role of Pozzolanic Activity of Siliceous Fly Ash in the Formation of the Structure of Sustainable Cementitious Composites. Sustain. Chem. 2022, 3, 520–534. [Google Scholar] [CrossRef]
- Cyr, M.; Coutand, M.; Clastres, P. Technological and Environmental Behavior of Sewage Sludge Ash (SSA) in Cement-Based Materials. Cem. Concr. Res. 2007, 37, 1278–1289. [Google Scholar] [CrossRef]
- Van Caneghem, J.; Brems, A.; Lievens, P.; Block, C.; Billen, P.; Vermeulen, I.; Dewil, R.; Baeyens, J.; Vandecasteele, C. Fluidized Bed Waste Incinerators: Design, Operational and Environmental Issues. Prog. Energy Combust. Sci. 2012, 38, 551–582. [Google Scholar] [CrossRef]
- Liu, J.; Zeng, J.; Sun, S.; Huang, S.; Kuo, J.; Chen, N. Combined Effects of FeCl3 and CaO Conditioning on SO2, HCl and Heavy Metals Emissions during the DDSS Incineration. Chem. Eng. J. 2016, 299, 449–458. [Google Scholar] [CrossRef]
- Zacharczuk, W.; Andruszkiewicz, A.; Tatarek, A.; Alahmer, A.; Alsaqoor, S. Effect of Ca-Based Additives on the Capture of SO2 during Combustion of Pulverized Lignite. Energy 2021, 231, 120988. [Google Scholar] [CrossRef]
- Wolf, K.J.; Smeda, A.; Müller, M.; Hilpert, K. Investigations on the Influence of Additives for SO2 Reduction during High Alkaline Biomass Combustion. Energy Fuels 2005, 19, 820–824. [Google Scholar] [CrossRef]
- Qi, J.; Han, K.; Wang, Q.; Gao, J. Carbonization of Biomass: Effect of Additives on Alkali Metals Residue, SO2 and NO Emission of Chars during Combustion. Energy 2017, 130, 560–569. [Google Scholar] [CrossRef]
- Elled, A.L.; Åmand, L.E.; Leckner, B.; Andersson, B.Å. Influence of Phosphorus on Sulphur Capture during Co-Firing of Sewage Sludge with Wood or Bark in a Fluidised Bed. Fuel 2006, 85, 1671–1678. [Google Scholar] [CrossRef]
- Xu, Y.; Zhang, L.; Chen, J.; Liu, T.; Li, N.; Xu, J.; Yin, W.; Li, D.; Zhang, Y.; Zhou, X. Phosphorus Recovery from Sewage Sludge Ash (SSA): An Integrated Technical, Environmental and Economic Assessment of Wet-Chemical and Thermochemical Methods. J. Environ. Manag. 2023, 344, 118691. [Google Scholar] [CrossRef] [PubMed]
- Paya, J.; Borrachero, M.V.; Monzo, J.; Peris-Mora, E.; Amahjour, F. Enhanced Conductivity Measurement Techniques for Evaluation of Fly Ash Pozzolanic Activity. Cem. Concr. Res. 2000, 31, 41–49. [Google Scholar] [CrossRef]
- de Azevedo Basto, P.; Savastano Junior, H.; de Melo Neto, A.A. Characterization and Pozzolanic Properties of Sewage Sludge Ashes (SSA) by Electrical Conductivity. Cem. Concr. Compos. 2019, 104, 103410. [Google Scholar] [CrossRef]
- Delair, S.; Guyonnet, R.; Govin, A.; Guilhot, B. Study of Efflorescence Forming Process on Cementitious Materials. In Proceedings of the 5th International Conference on Concrete under Severe Conditions of Environment and Loading, Tours, France, 4–6 June 2007. [Google Scholar]
- Gao, N.; Kamran, K.; Quan, C.; Williams, P.T. Thermochemical Conversion of Sewage Sludge: A Critical Review. Prog. Energy Combust. Sci. 2020, 79, 100843. [Google Scholar] [CrossRef]
- Li, X.; Snellings, R.; Antoni, M.; Alderete, N.M.; Ben Haha, M.; Bishnoi, S.; Cizer, Ö.; Cyr, M.; De Weerdt, K.; Dhandapani, Y.; et al. Reactivity Tests for Supplementary Cementitious Materials: RILEM TC 267-TRM Phase 1. Mater. Struct. 2018, 51, 151. [Google Scholar] [CrossRef]
- Zhang, J.; Scherer, G.W. Comparison of Methods for Arresting Hydration of Cement. Cem. Concr. Res. 2011, 41, 1024–1036. [Google Scholar] [CrossRef]
- Juenger, M.C.G.; Snellings, R.; Bernal, S.A. Supplementary Cementitious Materials: New Sources, Characterization, and Performance Insights. Cem. Concr. Res. 2019, 122, 257–273. [Google Scholar] [CrossRef]
- Coutand, M.; Cyr, M.; Clastres, P. Use of Sewage Sludge Ash as Mineral Admixture in Mortars. Proc. Inst. Civ. Eng. Constr. Mater. 2006, 159, 153–162. [Google Scholar] [CrossRef]
- Xie, W.; Liu, K.; Pan, W.-P.; Riley, J.T. Interaction between Emissions of SO2 and HCl in Fluidized Bed Combustors. Fuel 1999, 78, 1425–1436. [Google Scholar] [CrossRef]
- Mejdi, M.; Saillio, M.; Chaussadent, T.; Divet, L.; Tagnit-Hamou, A. Hydration Mechanisms of Sewage Sludge Ashes Used as Cement Replacement. Cem. Concr. Res. 2020, 135, 106115. [Google Scholar] [CrossRef]
- Assi, A.; Bilo, F.; Federici, S.; Zacco, A.; Depero, L.E.; Bontempi, E. Bottom Ash Derived from Municipal Solid Waste and Sewage Sludge Co-Incineration: First Results about Characterization and Reuse. Waste Manag. 2020, 116, 147–156. [Google Scholar] [CrossRef] [PubMed]
- El Fami, N.; Ez-zaki, H.; Sassi, O.; Boukhari, A.; Diouri, A. Rheology, Calorimetry and Electrical Conductivity Related-Properties for Monitoring the Dissolution and Precipitation Process of Cement-Fly Ash Mixtures. Powder Technol. 2022, 411, 117937. [Google Scholar] [CrossRef]
- Bullard, J.W.; Jennings, H.M.; Livingston, R.A.; Nonat, A.; Scherer, G.W.; Schweitzer, J.S.; Scrivener, K.L.; Thomas, J.J. Mechanisms of Cement Hydration. Cem. Concr. Res. 2011, 41, 1208–1223. [Google Scholar] [CrossRef]
- Kang, S.M.; Na, S.H.; Lee, S.H.; Song, M.S.; Lee, W.G.; Song, Y.J. Effects of Ettringite Formation on the Compressive Strength of Mortar during Activation of Blast-Furnace Slag without Ordinary Portland Cement. Mater. Res. Innov. 2015, 19, 545–548. [Google Scholar] [CrossRef]
- Blotevogel, S.; Ehrenberg, A.; Steger, L.; Doussang, L.; Kaknics, J.; Patapy, C.; Cyr, M. Ability of the R3 Test to Evaluate Differences in Early Age Reactivity of 16 Industrial Ground Granulated Blast Furnace Slags (GGBS). Cem. Concr. Res. 2020, 130, 105998. [Google Scholar] [CrossRef]
- Aubert, J.E.; Husson, B.; Sarramone, N. Utilization of Municipal Solid Waste Incineration (MSWI) Fly Ash in Blended Cement. Part 1: Processing and Characterization of MSWI Fly Ash. J. Hazard. Mater. 2006, 136, 624–631. [Google Scholar] [CrossRef]
- Pacewska, B.; Wilińska, I. Usage of Supplementary Cementitious Materials: Advantages and Limitations: Part I. C–S–H, C–A–S–H and Other Products Formed in Different Binding Mixtures. J. Therm. Anal. Calorim. 2020, 142, 371–393. [Google Scholar] [CrossRef]
- Decree of 12 December 2014. Available online: https://www.legifrance.gouv.fr (accessed on 2 April 2024).
- Chang, Z.; Long, G.; Xie, Y.; Zhou, J.L. Chemical Effect of Sewage Sludge Ash on Early-Age Hydration of Cement Used as Supplementary Cementitious Material. Constr. Build. Mater. 2022, 322, 126116. [Google Scholar] [CrossRef]
- Avet, F.; Li, X.; Ben Haha, M.; Bernal, S.A.; Bishnoi, S.; Cizer, Ö.; Cyr, M.; Dolenec, S.; Durdzinski, P.; Haufe, J.; et al. Report of RILEM TC 267-TRM Phase 2: Optimization and Testing of the Robustness of the R3 Reactivity Tests for Supplementary Cementitious Materials. Mater. Struct. 2022, 55, 92. [Google Scholar] [CrossRef]
- Ali, H.A.; Xuan, D.; Poon, C.S. Assessment of Long-Term Reactivity of Initially Lowly-Reactive Solid Wastes as Supplementary Cementitious Materials (SCMs). Constr. Build. Mater. 2020, 232, 117192. [Google Scholar] [CrossRef]
- Ramanathan, S.; Kasaniya, M.; Tuen, M.; Thomas, M.D.A.; Suraneni, P. Linking Reactivity Test Outputs to Properties of Cementitious Pastes Made with Supplementary Cementitious Materials. Cem. Concr. Compos. 2020, 114, 103742. [Google Scholar] [CrossRef]
- Wang, Y.; Burris, L.; Shearer, C.R.; Hooton, D.; Suraneni, P. Strength Activity Index and Bulk Resistivity Index Modifications That Differentiate Inert and Reactive Materials. Cem. Concr. Compos. 2021, 124, 104240. [Google Scholar] [CrossRef]
- Baeza-Brotons, F.; Garcés, P.; Payá, J.; Saval, J.M. Portland Cement Systems with Addition of Sewage Sludge Ash. Application in Concretes for the Manufacture of Blocks. J. Clean. Prod. 2014, 82, 112–124. [Google Scholar] [CrossRef]
- Liang, C.; Le, X.; Fang, W.; Zhao, J.; Fang, L.; Hou, S. The Utilization of Recycled Sewage Sludge Ash as a Supplementary Cementitious Material in Mortar: A Review. Sustainability 2022, 14, 4432. [Google Scholar] [CrossRef]
- Gupta, S.; Chaudhary, S. State of the Art Review on Supplementary Cementitious Materials in India—II: Characteristics of SCMs, Effect on Concrete and Environmental Impact. J. Clean. Prod. 2022, 357, 131945. [Google Scholar] [CrossRef]
- Lavagna, L.; Nisticò, R. An Insight into the Chemistry of Cement—A Review. Appl. Sci. 2023, 13, 203. [Google Scholar] [CrossRef]







| OPC | A1 | A2 | A3 | A4 | |
| Oxide Content (wt%) | |||||
| CaO | 62.4 | 30.8 | 36.0 | 47.8 | 41.8 |
| SiO2 | 19.2 | 20.0 | 22.0 | 17.9 | 16.7 |
| Al2O3 | 4.9 | 6.4 | 7.7 | 3.3 | 2.5 |
| Fe2O3 | 3.7 | 15.4 | 9.1 | 4.9 | 8.9 |
| MgO | 2.1 | 1.5 | 1.5 | 1.9 | 1.8 |
| SO3 | 3.8 | 5.3 | 5.6 | 4.7 | 4.8 |
| K2O | 1.0 | 1.3 | 1.6 | 1.6 | 1.4 |
| Na2O | 0.2 | 0.4 | 0.4 | 0.4 | 0.3 |
| P2O5 | 0.1 | 10.3 | 10.6 | 10.6 | 12.7 |
| TiO2 | 0.3 | 0.6 | 0.6 | 0.5 | 0.4 |
| MnO | 0.1 | 0.1 | 0.1 | 0.2 | 0.04 |
| Cl | 0.1 | 0.1 | 0.1 | - | 0.2 |
| LOI * | 1.6 | 7.6 | 4.6 | 5.8 | 9.2 |
| Physical properties | |||||
| d10 (µm) | 1.4 | 1.9 | 3.4 | 3.4 | 2.1 |
| d50 (µm) | 10.5 | 23.5 | 28.1 | 22.9 | 19.9 |
| d90 (µm) | 31.0 | 109.3 | 109.6 | 115.4 | 92.5 |
| Density (g/cm3) | 3.2 | 3.0 | 2.9 | 2.8 | 2.7 |
| Specific surface area BET (m2/g) | 1.8 | 7.8 | 7.3 | 5.8 | 4.6 |
| Moisture content (%) | - | 0.4 | 0.2 | 0.2 | 0.20 |
| Concentration (mg/kg Dry Mass) | A1 | A2 | A3 | A4 | |
| Major Elements | Ca | 200,080 | 178,440 | 273,160 | 265,390 |
| Fe | 120,070 | 68,710 | 33,580 | 61,330 | |
| P | 45,620 | 41,780 | 43,350 | 52,800 | |
| Al | 32,840 | 49,670 | 15,560 | 8960 | |
| S | 24,140 | 29,080 | 21,600 | 23,460 | |
| K | 13,170 | 15,400 | 15,290 | 11,600 | |
| Na | 2860 | 4930 | 270 | 2640 | |
| Minor Elements | Mn | 1762 | 1171 | 1026 | 239 |
| Zn | 1178 | 992 | 1189 | 1262 | |
| Cu | 509 | 473 | 920 | 902 | |
| Cr | 227 | 159 | 68 | 80 | |
| Se | 134 | 234 | 209 | 134 | |
| Pb | 133 | 98 | 31 | 92 | |
| Ni | nd | nd | 45 | 745 | |
| Mo | 19 | 18 | 12 | 12 | |
| Co | nd | nd | 9 | 7 | |
| As | 7 | 5 | 12 | 7 | |
| Cd | 2 | 3 | 1 | 2 | |
| Ba | 0.6 | 0.7 | 0.3 | 0.6 |
| Mineralogical Phases (wt%) | A1 | A2 | A3 | A4 |
|---|---|---|---|---|
| Whitlockite | 11 | 10 | 15 | 19 |
| Calcite | 9 | 8 | 10 | 17 |
| Illite | 9 | 10 | 2 | 6 |
| Hematite | 7 | 5 | 4 | 4 |
| Anhydrite | 7 | 5 | 7 | 6 |
| Lime | 6 | 10 | 20 | 6 |
| Quartz | 5 | 9 | 5 | 6 |
| Biotite | 5 | 4 | 1 | - |
| Portlandite | 4 | 1 | 4 | 7 |
| Dolomite | 2 | 2 | 5 | 5 |
| Albite | 3 | 2 | 1 | 1 |
| Other | 5 | 7 | 6 | 3 |
| Amorphous | 28 | 28 | 20 | 18 |
| Leached Elements | Concentration (mg/kg Dry Mass) | Limit * (mg/kg Dry Mass) | ||||
|---|---|---|---|---|---|---|
| A1 | A2 | A3 | A4 | Inert | Non-Hazardous | |
| Cr | 1.0 | 0.1 | 3.5 | 0.0 | 0.5 | 10 |
| Ni | 0.0 | 0.0 | 0.0 | 0.0 | 0.4 | 10 |
| Cu | 0.2 | 0.0 | 0.5 | 0.9 | 2 | 50 |
| Zn | 27.5 | 3.4 | 4.6 | 10.3 | 4 | 50 |
| Mo | 2.3 | 0.6 | 2.5 | 2.1 | 0.5 | 10 |
| Cd | 0.0 | 0.0 | 0.0 | 0.0 | 0.04 | 1 |
| Pb | 0.3 | 0.2 | 0.6 | 0.0 | 0.5 | 10 |
| As | 0.0 | 0.0 | 0.0 | 0.0 | 0.5 | 2 |
| Ba | 8.9 | 74.4 | 15.3 | 0.1 | 20 | 100 |
| Se | 0.0 | 0.0 | 0.1 | 0.0 | 0.1 | 0.5 |
Disclaimer/Publisher’s Note: The statements, opinions and data contained in all publications are solely those of the individual author(s) and contributor(s) and not of MDPI and/or the editor(s). MDPI and/or the editor(s) disclaim responsibility for any injury to people or property resulting from any ideas, methods, instructions or products referred to in the content. |
© 2024 by the authors. Licensee MDPI, Basel, Switzerland. This article is an open access article distributed under the terms and conditions of the Creative Commons Attribution (CC BY) license (https://creativecommons.org/licenses/by/4.0/).
Share and Cite
Shehadeh, D.; Govin, A.; Grosseau, P.; Krour, H.; Bessette, L.; Ziegler, G.; Serclerat, A. Characterization of Ashes from Sewage Sludge–Limestone Incineration: Study of SSA Properties and Reactivity for SCM Use. Constr. Mater. 2024, 4, 611-628. https://doi.org/10.3390/constrmater4030033
Shehadeh D, Govin A, Grosseau P, Krour H, Bessette L, Ziegler G, Serclerat A. Characterization of Ashes from Sewage Sludge–Limestone Incineration: Study of SSA Properties and Reactivity for SCM Use. Construction Materials. 2024; 4(3):611-628. https://doi.org/10.3390/constrmater4030033
Chicago/Turabian StyleShehadeh, Danah, Alexandre Govin, Philippe Grosseau, Hichem Krour, Laetitia Bessette, Gonzague Ziegler, and Anthony Serclerat. 2024. "Characterization of Ashes from Sewage Sludge–Limestone Incineration: Study of SSA Properties and Reactivity for SCM Use" Construction Materials 4, no. 3: 611-628. https://doi.org/10.3390/constrmater4030033
APA StyleShehadeh, D., Govin, A., Grosseau, P., Krour, H., Bessette, L., Ziegler, G., & Serclerat, A. (2024). Characterization of Ashes from Sewage Sludge–Limestone Incineration: Study of SSA Properties and Reactivity for SCM Use. Construction Materials, 4(3), 611-628. https://doi.org/10.3390/constrmater4030033

