Kinetics of γ-LiAlO2 Formation out of Li2O-Al2O3 Melt—A Molecular Dynamics-Informed Non-Equilibrium Thermodynamic Study
Abstract
1. Introduction
2. Materials and Methods
2.1. Schematic Explanation and Representation of the Solidification System
2.2. Thermodynamic Extremal Principle (TEP): Evolution Equations
2.3. CALPHAD
2.4. Molecular Dynamic (MD) Simulation
3. Results
3.1. γ-LiAlO2 Phase Evolution Computationally Investigated for the Cooling Rates 2 Kmin−1, 10 Kmin−1, 40 Kmin−1, 60 Kmin−1, and 100 Kmin−1 for Each of the Binary Melts, C1, C2, and C3
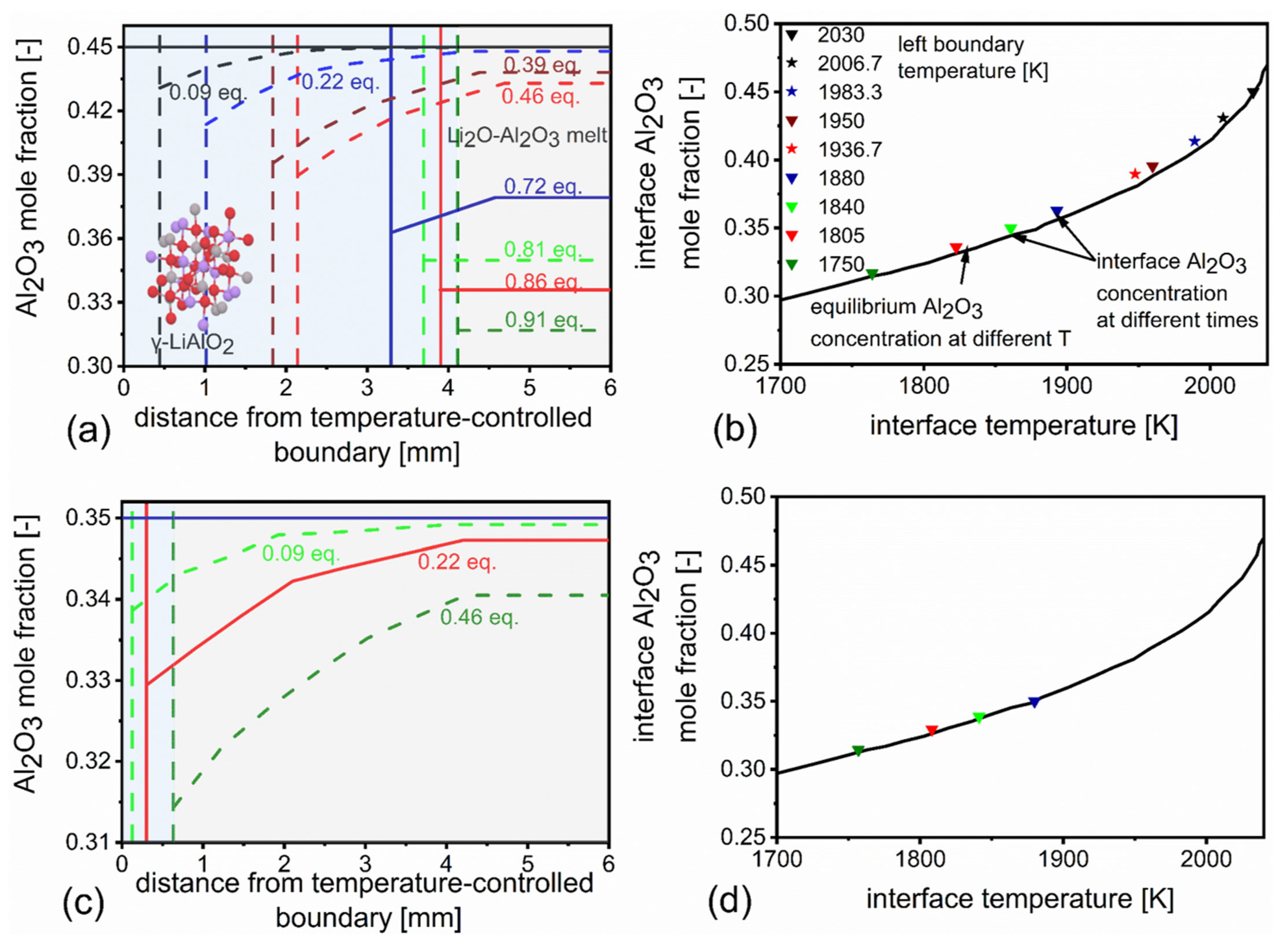
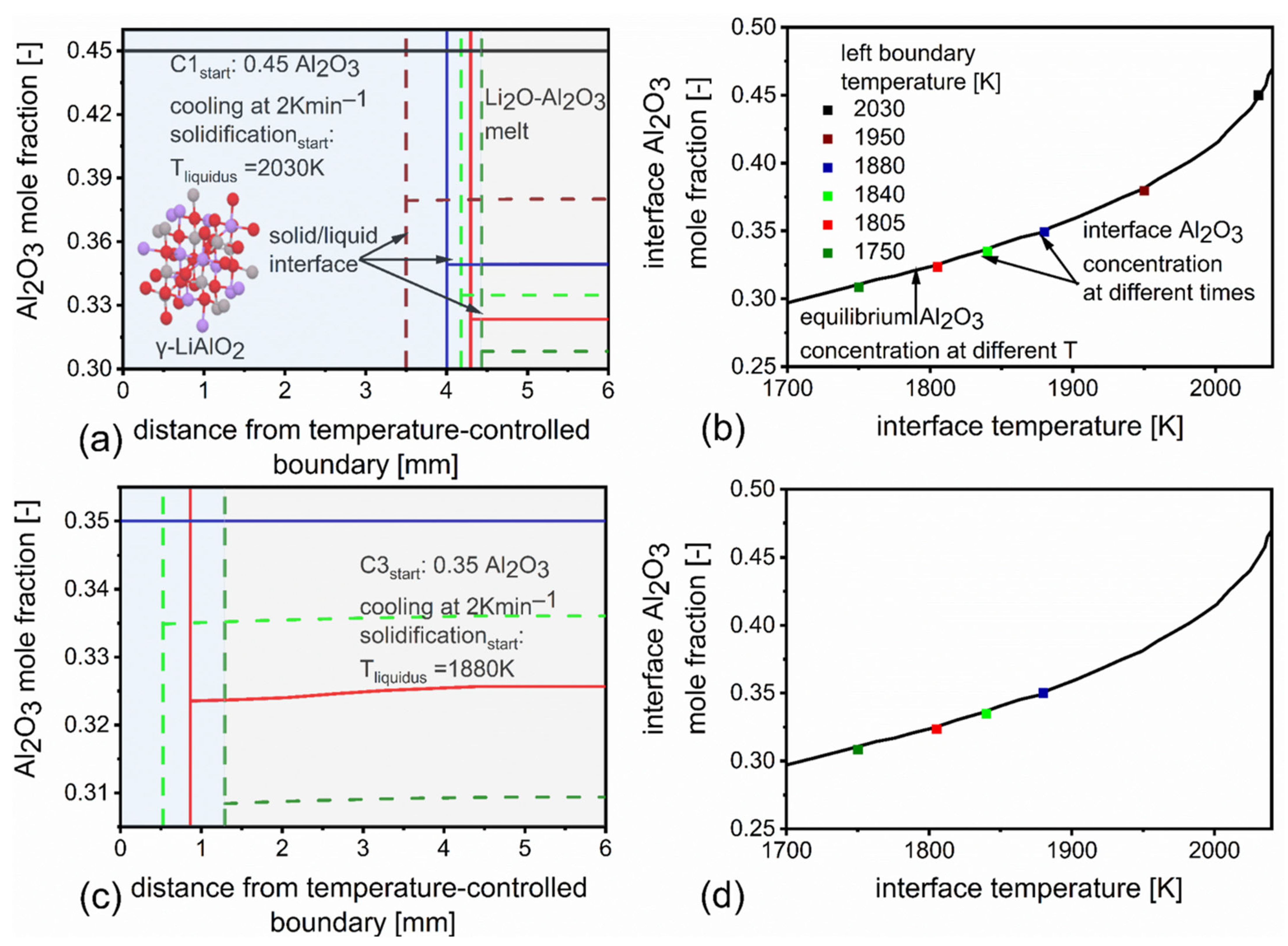
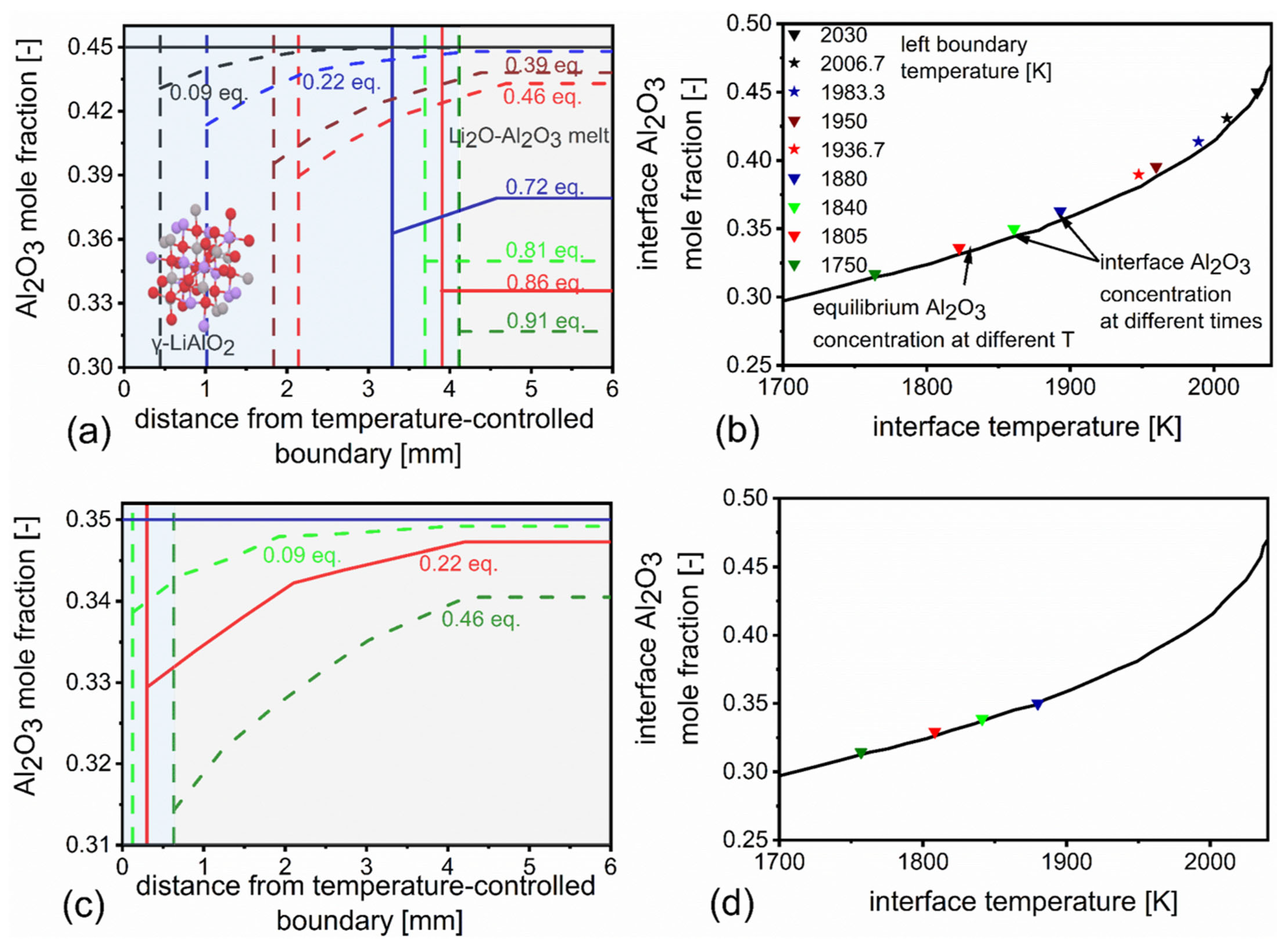
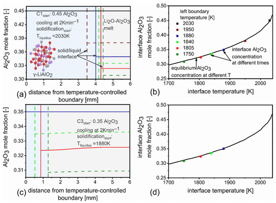
3.2. Further Investigation of the Melt Conditions and the Solidification Forces Prevalent for Melts C1 and C3 for the Cooling Rates 2 Kmin−1 and 100 Kmin−1
3.3. Evolution of the Temperature Field for Melts C1 and C3 for the Cooling Rate 100 Kmin−1
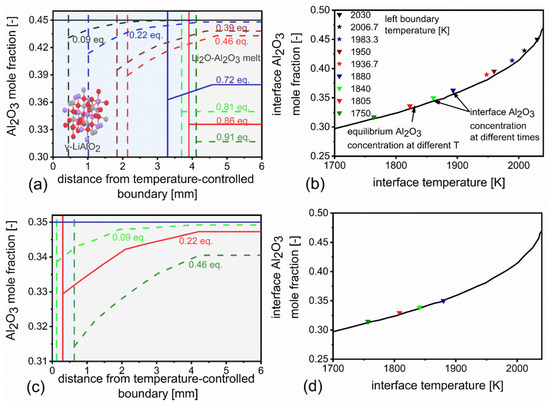
3.4. Investigation for the Solidification Evolution for Melt C3 When the Boundary Temperature Is Held Constant at 1750 K for 20 Min Following the Cooling Regime from 1880 K to 1750 K at 100 Kmin−1
4. Discussion
5. Conclusions
Author Contributions
Funding
Data Availability Statement
Acknowledgments
Conflicts of Interest
References
- Hayes, P.C.; Nicol, S.; Jak, E. Solidification of oxide melts. In Proceedings of the 11th International Conference on Molten Slags, Fluxes and Salts, E-Proceedings, EA20191127–0704, Virtual, Seoul, Korea, 21–25 February 2021. [Google Scholar]
- Tian, Y.; Li, G.; Li, Y.; Li, T.; Yuan, C.; Liu, Y. Thermodynamics and Kinetics on Hot State Modification of BOF Slag by Adding SiO2. Metall. Mater. Trans. B 2023, 54, 1131–1143. [Google Scholar] [CrossRef]
- Wang, Z.; Sohn, I. Understanding the solidification and leaching behavior of synthesized Cr-containing stainless steel slags with varying Al2O3/SiO2 mass ratios. Ceram. Int. 2021, 47, 10918–10926. [Google Scholar] [CrossRef]
- Ding, B.; Liao, Q.; Zhu, X.; Wang, H. Deep insight into phase transition and crystallization of high temperature molten slag during cooling: A review. Appl. Therm. Eng. 2021, 184, 116260. [Google Scholar] [CrossRef]
- Esfahani, S.; Barati, M. Effect of slag composition on the crystallization of synthetic CaO–SiO2–Al2O3–MgO slags: Part I—Crystallization behavior. J. Non-Cryst. Solids 2016, 436, 35–43. [Google Scholar] [CrossRef]
- Zeng, Q.; Li, J.; Yu, Y.; Zhu, H. Effect of Cooling Rate on Crystallization Behavior of CaO-SiO2-MgO-Cr2O3 Based Slag. High Temp. Mat. Pr. 2020, 39, 74–80. [Google Scholar] [CrossRef]
- Gan, L.; Zhang, C.; Zhou, J.; Shangguan, F. Continuous cooling crystallization kinetics of a molten blast furnace slag. J. Non-Cryst. Solids 2012, 358, 20–24. [Google Scholar] [CrossRef]
- Klaffenbach, E.; Montenegro, V.; Guo, M.; Blanpain, B. Sustainable and comprehensive utilization of copper slag: A review and critical analysis. J. Sustain. Met. 2023, 9, 468–496. [Google Scholar] [CrossRef]
- Wang, Z.; Sohn, I. Selective elemental concentration during the solidification of stainless steel slags for increased Cr recovery with MnO addition. J. Am. Ceram. Soc. 2020, 103, 6012–6024. [Google Scholar] [CrossRef]
- Huo, X.; Zhang, X.; Ding, Z.; Zhang, M.; Guo, M. A clean approach for detoxification of industrial chromium-bearing stainless steel slag: Selective crystallization control and binary basicity effect. J. Hazard. Mater. 2023, 446, 130746. [Google Scholar] [CrossRef]
- Li, Y.; Gao, J.; Lan, X.; Feng, G.; Zhang, Y.; Guo, Z. Solidification and recovery of Cr from hazardous Cr-bearing steel slag: Selective solidification, super-gravity separation and crystal characterization. Sep. Purif. Technol. 2023, 306, 122616. [Google Scholar] [CrossRef]
- Wittkowski, A.; Schirmer, T.; Qiu, H.; Goldmann, D.; Fittschen, U.E. Speciation of manganese in a synthetic recycling slag relevant for lithium recycling from lithium-ion batteries. Metals 2021, 11, 188. [Google Scholar] [CrossRef]
- Schirmer, T.; Qiu, H.; Goldmann, D.; Stallmeister, C.; Friedrich, B. Influence of P and Ti on Phase Formation at Solidification of Synthetic Slag Containing Li, Zr, La, and Ta. Minerals 2022, 12, 310. [Google Scholar] [CrossRef]
- Das, P.; Upadhyay, S.; Dubey, S.; Singh, K.K. Waste to wealth: Recovery of value-added products from steel slag. J. Environ. Chem. Eng. 2021, 9, 105640. [Google Scholar] [CrossRef]
- Schirmer, T.; Hiller, J.; Weiss, J.; Munchen, D.; Lucas, H.; Fittschen, U.E.; Friedrich, B. Behavior of Tantalum in a Fe-Dominated Synthetic Fayalitic Slag System—Phase Analysis and Incorporation. Minerals 2024, 14, 262. [Google Scholar] [CrossRef]
- Ma, Z.; Zhao, Z.; Guo, W.; Guo, X. Effect of TiO2 Addition and Cooling Rate on Crystallization Behavior of Separated Slag Containing Low-grade RE. ISIJ Int. 2023, 63, 1274–1280. [Google Scholar] [CrossRef]
- Li, Z.; Li, J.; Sun, Y.; Seetharaman, S.; Liu, L.; Wang, X.; Zhang, Z. Effect of Al 2 O 3 addition on the precipitated phase transformation in Ti-bearing blast furnace slags. Metall. Mater. Trans. B 2016, 47, 1390–1399. [Google Scholar] [CrossRef]
- Liu, L.; Hu, M.L.; Bai, C.G.; Lü, X.W.; Xu, Y.Z.; Deng, Q.Y. Effect of cooling rate on the crystallization behavior of perovskite in high titanium-bearing blast furnace slag. Int. J. Min. Met. Mater. 2014, 21, 1052–1061. [Google Scholar] [CrossRef]
- Li, B.; Du, X.; Shen, Y.; Zhang, Z.; Rong, T. Nonisothermal crystallization, growth, and shape control of magnetite crystals in molten nickel slag during continuous cooling. Metall. Mater. Trans. B 2022, 53, 1816–1826. [Google Scholar] [CrossRef]
- Huang, Z.; Qiu, R.; Lin, K.; Ruan, J.; Xu, Z. In situ recombination of elements in spent lithium-ion batteries to recover high-value γ-LiAlO2 and LiAl5O8. Environ. Sci. Tech. 2021, 55, 7643–7653. [Google Scholar] [CrossRef]
- Lourens, F.; Suhr, E.; Schnickmann, A.; Schirmer, T.; Ludwig, A. High-Throughput Study of the Phase Constitution of the Thin Film System Mg-Mn-Al-O. Adv. Eng. Mater. 2024, 26, 2302091. [Google Scholar]
- Schwan, L.; Bröckel, U. First Approach Using Fluidic Force Microscopy (FluidFM®) to Measure Adhesion Forces between Droplets and Flat/Rough Surfaces Immersed in Water. Processes 2024, 12, 99. [Google Scholar] [CrossRef]
- Schnickmann, A.; Hampel, S.; Schirmer, T.; Fittschen, U.E. Formation of Lithium-Manganates in a Complex Slag System Consisting of Li2O-MgO-Al2O3-SiO2-CaO-MnO—A First Survey. Metals 2023, 13, 2006. [Google Scholar] [CrossRef]
- Acker, S.; Namyslo, J.C.; Rudolph, M.; Strube, F.; Fittschen, U.E.; Qiu, H.; Goldmann, D.; Schmidt, A. Polyether-tethered imidazole-2-thiones, imidazole-2-selenones and imidazolium salts as collectors for the flotation of lithium aluminate and spodumene. RSC Adv. 2023, 13, 6593–6605. [Google Scholar] [CrossRef] [PubMed]
- Zgheib, A.; Acker, S.; Fischer, M.H.; Namyslo, J.C.; Strube, F.; Rudolph, M.; Fittschen, U.E.A.; Wollmann, A.; Weber, A.P.; Nieger, M.; et al. Lithium aluminate flotation by pH-and light-switchable collectors based on the natural product punicine. RSC Adv. 2024, 14, 9353–9364. [Google Scholar] [CrossRef] [PubMed]
- Li, H.; Ranneberg, M.; Fischlschweiger, M. High-Temperature Phase Behavior of Li2O-MnO with a Focus on the Liquid-to-Solid Transition. JOM 2023, 75, 5796–5807. [Google Scholar] [CrossRef]
- Schnickmann, A.; De Abreu, D.A.; Fabrichnaya, O.; Schirmer, T. Stabilization of Mn4+ in synthetic slags and identification of important slag forming phases. Minerals 2024, 14, 368. [Google Scholar] [CrossRef]
- Li, H.; Qiu, H.; Schirmer, T.; Goldmann, D.; Fischlschweiger, M. Tailoring Lithium Aluminate Phases Based on Thermodynamics for an Increased Recycling Efficiency of Li-Ion Batteries. ACS ES T Eng. 2022, 2, 1883–1895. [Google Scholar] [CrossRef]
- Dolotko, O.; Gehrke, N.; Malliaridou, T.; Sieweck, R.; Herrmann, L.; Hunzinger, B.; Knapp, M.; Ehrenberg, H. Universal and efficient extraction of lithium for lithium-ion battery recycling using mechanochemistry. Commun. Chem. 2023, 6, 49. [Google Scholar] [CrossRef]
- Schirmer, T.; Wahl, M.; Bock, W.; Kopnarski, M. Determination of the Li distribution in synthetic recycling slag with SIMS. Metals 2021, 11, 825. [Google Scholar] [CrossRef]
- Elwert, T.; Goldmann, D.; Strauss, K.; Schirmer, T. Phase composition of high lithium slags from the recycling of lithium ion batteries. World Metall. Erzmetall 2012, 65, 163–171. [Google Scholar]
- Tabero, P.; Frąckowiak, A.; Dąbrowska, G. Reinvestigations of the LiO–AlO system. Part I: LiAlO and LiAlO. Polish J. Chem. Technol. 2021, 23, 30–36. [Google Scholar]
- Qiu, H.; Li, H.; Fischlschweiger, M.; Ranneberg, M.; Graupner, T.; Lucas, H.; Stallmeister, C.; Friedrich, B.; Yagmurlu, B.; Goldmann, D. Valorization of lithium containing slags from pyrometallurgical recycling route of spent lithium-ion batteries: The enrichment of γ-LiAlO2 phase from thermodynamic controlled and modified slags. Miner. Eng. 2024, 217, 108918. [Google Scholar] [CrossRef]
- Setyawan, W.; Senor, D.J.; Devanathan, R. Role of interfaces in damage process of irradiated lithium aluminate nanocrystals. J. Am. Ceram. Soc. 2019, 102, 1982–1993. [Google Scholar] [CrossRef]
- Twardak, A.; Bilski, P.; Marczewska, B.; Lee, J.I.; Kim, J.L.; Gieszczyk, W.; Mrozik, A.; Sądel, M.; Wróbel, D. Properties of lithium aluminate for application as an OSL dosimeter. Radiat. Phys. Chem. 2014, 104, 76–79. [Google Scholar] [CrossRef][Green Version]
- Abdou, M.A.; Morley, N.B.; Ying, A.Y. Overview of fusion blanket R&D in the US over the last decade. Nucl. Eng. Technol. 2005, 37, 401–422. [Google Scholar]
- Terada, S.; Nagashima, I.; Higaki, K.; Ito, Y. Stability of LiAlO2 as electrolyte matrix for molten carbonate fuel cells. J. Power Sources 1998, 75, 223–229. [Google Scholar] [CrossRef]
- Schirmer, T.; Qiu, H.; Li, H.; Goldmann, D.; Fischlschweiger, M. Li-distribution in compounds of the Li2O-MgO-Al2O3-SiO2-CaO system—A first survey. Metals 2020, 10, 1633. [Google Scholar] [CrossRef]
- Rannenberg, M.; Lucas, H.; Li, H.; Graupner, T.; Fischlschweiger, M.; Friedrich, B. Evaluation of Li and Mn influence on Al-Ca-Si-O slag system regarding pyrometallurgical LIB treatment. In Proceedings of the 8th International Slag Valorisation Symposium, Leuven, Belgium, 18–20 April 2023; pp. 205–209. [Google Scholar]
- Sommerfeld, M.; Vonderstein, C.; Dertmann, C.; Klimko, J.; Oráč, D.; Miškufová, A.; Havlík, T.; Friedrich, B. A combined pyro-and hydrometallurgical approach to recycle pyrolyzed lithium-ion battery black mass part 1: Production of lithium concentrates in an electric arc furnace. Metals 2020, 10, 1069. [Google Scholar] [CrossRef]
- Li, Y.; Guo, K.; Xiang, J.; Pei, G.; Lv, X. Effect of cooling method on the mineralogy and stability of steel slag. ISIJ Int. 2022, 62, 2197–2206. [Google Scholar] [CrossRef]
- Liu, J.J.; Chen, G.; Yan, P.C.; Planpain, B.; Moelans, N.; Guo, M. In-situ observation of isothermal CaSiO3 crystallization in CaO–Al2O3–SiO2 melts: A study of the effects of temperature and composition. J. Cryst. Growth 2014, 402, 1–8. [Google Scholar] [CrossRef]
- Klug, J.L.; Hagemann, R.; Heck, N.C.; Vilela, A.C.; Heller, H.P.; Scheller, P.R. Solidification Behaviour of Slags: The Single Hot Thermocouple Technique. J. Manuf. Sci. Prod. 2013, 13, 91–102. [Google Scholar] [CrossRef]
- Rachmawati, C.; Weiss, J.; Lucas, H.I.; Löwer, E.; Leißner, T.; Ebert, D.; Möckel, R.; Friedrich, B.; Peuker, U.A. Characterisation of the Grain Morphology of Artificial Minerals (EnAMs) in Lithium Slags by Correlating Multi-Dimensional 2D and 3D Methods. Minerals 2024, 14, 130. [Google Scholar] [CrossRef]
- Chakrabarty, S.; Li, H.; Schirmer, T.; Hampel, S.; Fittschen, U.E.; Fischlschweiger, M. Non-equilibrium thermodynamic modelling of cooling path dependent phase evolution of Li2SiO3 from Li2O-SiO2 melt by considering mixed kinetic phenomena and time-dependent concentration fields. Scri Mater. 2024, 242, 115922. [Google Scholar] [CrossRef]
- Nicol, S.; Jak, E.; Hayes, P.C. Effect of the CaO/SiO2 ratio on the controlled solidification of ‘Fe2O3’-CaO-SiO2 melts in air. Min. Proc. Extr. Met. Rev. 2022, 131, 99–110. [Google Scholar] [CrossRef]
- Diao, J.; Xie, B.; Wang, Y.; Ji, C.Q. Mineralogical characterisation of vanadium slag under different treatment conditions. Ironmak. Steelmak. 2009, 36, 476–480. [Google Scholar] [CrossRef]
- Esfahani, S.; Barati, M. Purification of metallurgical silicon using iron as an impurity getter part I: Growth and separation of Si. Met. Mater. Int. 2011, 17, 823–829. [Google Scholar] [CrossRef]
- Durinck, D.; Jones, P.T.; Blanpain, B.; Wollants, P.; Mertens, G.; Elsen, J. Slag solidification modeling using the Scheil–Gulliver assumptions. J. Am. Ceram. Soc. 2007, 90, 1177–1185. [Google Scholar] [CrossRef]
- Jung, S.S.; Kim, G.B.; Sohn, I. Understanding the solidification of stainless steel slag and dust mixtures. J. Am. Ceram. Soc. 2017, 100, 3771–3783. [Google Scholar] [CrossRef]
- Svoboda, J.; Turek, I.; Fischer, F.D. Application of the thermodynamic extremal principle to modeling of thermodynamic processes in material sciences. Phil. Mag. 2005, 85, 3699–3707. [Google Scholar] [CrossRef]
- Fischer, F.D.; Svoboda, J.; Petryk, H. Thermodynamic extremal principles for irreversible processes in materials science. Acta Mater. 2014, 67, 1–20. [Google Scholar] [CrossRef]
- Svoboda, J.; Vala, J.; Gamsjäger, E.; Fischer, F.D. A thick-interface model for diffusive and massive phase transformation in substitutional alloys. Acta Mater. 2006, 54, 3953–3960. [Google Scholar] [CrossRef]
- Svoboda, J.; Fischer, F.D.; Fratzl, P. Diffusion and creep in multi-component alloys with non-ideal sources and sinks for vacancies. Acta Mater. 2006, 54, 3043–3053. [Google Scholar] [CrossRef]
- Svoboda, J.; Gamsjäger, E.; Fischer, F.D. Modeling of massive transformation in substitutional alloys. Met. Mater. Trans. A 2006, 37, 125–132. [Google Scholar] [CrossRef]
- Abart, R.; Svoboda, J.; Jeřabek, P.; Povoden-Karadeniz, E.; Habler, G. Interlayer growth kinetics of a binary solid-solution based on the thermodynamic extremal principle: Application to the formation of spinel at periclase-corundum contacts. Am. J. Sci. 2016, 316, 309–328. [Google Scholar] [CrossRef]
- Chakrabarty, S.; Li, H.; Fischlschweiger, M. Calphad-informed thermodynamic non-equilibrium simulation of non-isothermal solid-state reactions of magnesium aluminate spinel based on the thermodynamic extremal principle. Materialia 2023, 28, 101723. [Google Scholar] [CrossRef]
- Chakrabarty, S.; Li, H.; Fischlschweiger, M. Control of Interface Migration in Nonequilibrium Crystallization of Li2SiO3 from Li2O–SiO2 Melt by Spatiotemporal Temperature and Concentration Fields. ACS Omega 2024, 9, 21557–21568. [Google Scholar] [CrossRef]
- Hampel, S.; Alhafez, I.A.; Schirmer, T.; Merkert, N.; Schnickmann, A.; Li, H.; Fischlschweiger, M.; Adriane, U.E. Engineering compounds for the recovery of critical elements from slags: Melt characteristics of Li5AlO4, LiAlO2 and LiAl5O8. ACS Omega 2024, 9, 24584–24592. [Google Scholar] [CrossRef]
- De Abreu, D.A.; Löffler, M.; Kriegel, M.J.; Fabrichnaya, O. Experimental Investigation and Thermodynamic Modeling of the Li2O–Al2O3 System. J. Phase Equil. Diffus. 2024, 15, 1–20. [Google Scholar]
- Kurz, W.; Fisher, D.J.; Rappaz, M. Fundamentals of Solidification, 5th ed.; Trans Tech Publications Limited: Stafa-Zurich, Switzerland, 2023. [Google Scholar]
- Svoboda, J.; Gamsjäger, E.; Fischer, F.D.; Fratzl, P. Application of the thermodynamic extremal principle to the diffusional phase transformations. Acta Mater. 2004, 52, 959–967. [Google Scholar] [CrossRef]
- Jain, A.; Ong, S.P.; Hautier, G.; Chen, W.; Richards, W.D.; Dacek, S.; Cholia, S.; Gunter, D.; Skinner, D.; Ceder, G.; et al. Commentary: The Materials Project: A materials genome approach to accelerating materials innovation. APL Mat. 2013, 1, 011002. [Google Scholar] [CrossRef]
- Hackl, K.; Fischer, F.D.; Svoboda, J. A study on the principle of maximum dissipation for coupled and non-coupled non-isothermal processes in materials. Proc. R. Soc. A 2011, 467, 1186–1196. [Google Scholar] [CrossRef]
- Coulson, J.M.; Richardson, J.F.; Backhurst, J.R.; Harker, J.H. Chemical Engineering: Fluid Flow, Heat Transfer and Mass Transfer; Pergamon Press: Oxford, UK, 1990; Volume 1. [Google Scholar]
- Denuziere, C.; Roux, N. Data and Properties of Lithium Aluminate γ LiAlO2 (No. CEA-N-2548); CEA Centre d’Etudes Nucleaires de Saclay: Gif-sur-Yvette, France, 1988. [Google Scholar]
- Schulz, B.; Wedemeyer, H. Preparation, characterization and thermal diffusivity of γ-LiAlO2. J. Nucl. Mater. 1986, 139, 35–41. [Google Scholar] [CrossRef]
- Leitner, M.; Leitner, T.; Schmon, A.; Aziz, K.; Pottlacher, G. Thermophysical properties of liquid aluminum. Met. Mater. Trans. A 2017, 48, 3036–3045. [Google Scholar] [CrossRef]
- Waseda, Y.; Ohta, H.; Shibata, H.; Nishi, T. Thermal diffusivity measurements of oxide and metallic melts at high temperature by the laser flash method. High Temp. Mater. Process. 2002, 21, 387–398. [Google Scholar] [CrossRef]
- Lukas, H.; Fries, S.G.; Sundman, B. Computational Thermodynamics: The Calphad Method; Cambridge University Press: Cambridge, UK, 2007; Volume 313. [Google Scholar]
- Chakraborty, S. Diffusion in silicate melts. Rev. Mineral. 1995, 32, 411–504. [Google Scholar]
- Oishi, Y.; Nanba, M.; Pask, J.A. Analysis of Liquid-State Interdiffusion in the System CaO-Al2O3-SiO2 Using Multiatomic Ion Models. J. Am. Ceram. Soc. 1982, 65, 247–253. [Google Scholar] [CrossRef]
- Kuganathan, N.; Dark, J.; Sgourou, E.N.; Panayiotatos, Y.; Chroneos, A. Atomistic simulations of the defect chemistry and self-diffusion of Li-ion in LiAlO2. Energies 2019, 12, 2895. [Google Scholar] [CrossRef]
- Thompson, A.P.; Aktulga, H.M.; Berger, R.; Bolintineanu, D.S.; Brown, W.M.; Crozier, P.S.; in’t Veld, P.J.; Kohlmeyer, A.; Moore, S.G.; Nguyen, T.D.; et al. LAMMPS-a flexible simulation tool for particle-based materials modeling at the atomic, meso, and continuum scales. Comput. Phys. Commun. 2022, 271, 108171. [Google Scholar] [CrossRef]
- Li, H.; Qiu, H.; Ranneberg, M.; Lucas, H.; Graupner, T.; Friedrich, B.; Yagmurlu, B.; Goldmann, D.; Bremer, J.; Fischlschweiger, M. Enhancing Lithium Recycling Efficiency in Pyrometallurgical Processing through Thermodynamic-Based Optmization and Design of Spent Lithium-Iom Battery Slag Compositions. ACS Sustain. Resour. Manag. 2024, 1, 1170–1184. [Google Scholar] [CrossRef]







| Disclaimer/Publisher’s Note: The statements, opinions and data contained in all publications are solely those of the individual author(s) and contributor(s) and not of MDPI and/or the editor(s). MDPI and/or the editor(s) disclaim responsibility for any injury to people or property resulting from any ideas, methods, instructions or products referred to in the content. | 
© 2024 by the authors. Licensee MDPI, Basel, Switzerland. This article is an open access article distributed under the terms and conditions of the Creative Commons Attribution (CC BY) license (https://creativecommons.org/licenses/by/4.0/).
Share and Cite
Chakrabarty, S.; De Abreu, D.A.; Alhafez, I.A.; Fabrichnaya, O.; Merkert, N.; Schnickmann, A.; Schirmer, T.; Fittschen, U.E.A.; Fischlschweiger, M. Kinetics of γ-LiAlO2 Formation out of Li2O-Al2O3 Melt—A Molecular Dynamics-Informed Non-Equilibrium Thermodynamic Study. Solids 2024, 5, 561-579. https://doi.org/10.3390/solids5040038
Chakrabarty S, De Abreu DA, Alhafez IA, Fabrichnaya O, Merkert N, Schnickmann A, Schirmer T, Fittschen UEA, Fischlschweiger M. Kinetics of γ-LiAlO2 Formation out of Li2O-Al2O3 Melt—A Molecular Dynamics-Informed Non-Equilibrium Thermodynamic Study. Solids. 2024; 5(4):561-579. https://doi.org/10.3390/solids5040038
Chicago/Turabian StyleChakrabarty, Sanchita, Danilo Alencar De Abreu, Iyad Alabd Alhafez, Olga Fabrichnaya, Nina Merkert, Alena Schnickmann, Thomas Schirmer, Ursula E. A. Fittschen, and Michael Fischlschweiger. 2024. "Kinetics of γ-LiAlO2 Formation out of Li2O-Al2O3 Melt—A Molecular Dynamics-Informed Non-Equilibrium Thermodynamic Study" Solids 5, no. 4: 561-579. https://doi.org/10.3390/solids5040038
APA StyleChakrabarty, S., De Abreu, D. A., Alhafez, I. A., Fabrichnaya, O., Merkert, N., Schnickmann, A., Schirmer, T., Fittschen, U. E. A., & Fischlschweiger, M. (2024). Kinetics of γ-LiAlO2 Formation out of Li2O-Al2O3 Melt—A Molecular Dynamics-Informed Non-Equilibrium Thermodynamic Study. Solids, 5(4), 561-579. https://doi.org/10.3390/solids5040038
 
         
                                                


