High-Pressure Synthesis of the Iodide Carbonate Na5(CO3)2I
Abstract
1. Introduction
2. Materials and Methods
2.1. Sample Preparation
2.2. X-ray Diffraction
2.3. Density Functional Theory Calculations
3. Results
3.1. Crystal Structure of the Iodide Carbonate Na5(CO3)2I
| Crystal Data | DFT Results | ||
|---|---|---|---|
| Chemical formula | Na5(CO3)2I | Na5(CO3)2I | Na5(CO3)2I |
| Mr | 361.87 | 361.87 | |
| Crystal system, space group | Tetragonal, I41/amd | Tetragonal, I41/amd | Tetragonal, I41/amd |
| Temperature (K) | 298 | 298 | |
| Pressure (GPa) | 18(1) | 25.1(5) | 21.5 |
| a, c (Å) | 6.4543(17), 14.638(6) | 6.4154(9), 14.504(4) | 6.4162, 14.5214 |
| V (Å3) | 609.8(4) | 597.0(2) | 597.8089 |
| Z | 4 | 4 | |
| Radiation type | Synchrotron, λ = 0.4100 Å | Synchrotron, λ = 0.4100 Å | |
| μ (mm−1) | 1.28 | 1.31 | |
| Crystal size (mm) | 0.003 × 0.003 × 0.003 | 0.003 × 0.003 × 0.003 | |
| Data Collection | |||
| Absorption correction | Multi-scan | Multi-scan | |
| No. of measured, independent, and observed [I > 2σ(I)] reflections | 757, 253, 215 | 458, 268, 192 | |
| Rint | 0.046 | 0.033 | |
| (sin θ/λ)max (Å−1) | 0.713 | 0.885 | |
| Refinement | |||
| R[F2 > 2σ(F2)], wR(F2), S | 0.050, 0.130, 1.07 | 0.073, 0.195, 0.98 | |
| No. of reflections | 253 | 268 | |
| No. of parameters | 24 | 24 | |
| Δρmax, Δρmin (e Å−3) | 1.33, −1.69 | 2.98, −1.90 | |
| Crystal Structure | |||
| Wyckoff site, fractional atomic coordinates (x y z) | I1: 4b, (0 1/4 3/8) Na1: 4a, (0 3/4 1/8) Na2: 16f, (0.2448(4) 0 0) O1: 8e, (0 1/4 0.0213(5)) O2: 16h, (0 0.0788(10) 0.1500(4)) C1: 8e, (0 1/4 0.1092(8)) | I1: 4b, (0 1/4 3/8) Na1: 4a, (0 3/4 1/8) Na2: 16f, (0.2454(6) 0 0) O1: 8e, (0 1/4 0.0184(8)) O2: 16h, (0 0.0787(14) 0.1509(6)) C1: 8e, (0 1/4 0.1093(10)) | I1: 4b, (0 1/4 3/8) Na1: 4a, (0 3/4 1/8) Na2: 16f, (0.2430 0 0) O1: 8e, (0 1/4 0.0203) O2: 16h, (0 0.0758 0.1517) C1: 8e, (0 1/4 0.1093) |
| Uiso (Å2) | I1: 0.0189(4) Na1: 0.0156(13) Na2: 0.0199(9) O1: 0.0192(16) O2: 0.0219(11) C1: 0.0139(19) | I1: 0.0163(5) Na1: 0.0169(18) Na2: 0.0172(11) O1: 0.017(2) O2: 0.0184(15) C1: 0.011(2) | |
3.2. Stability and Decompression Behavior of Na5(CO3)2I
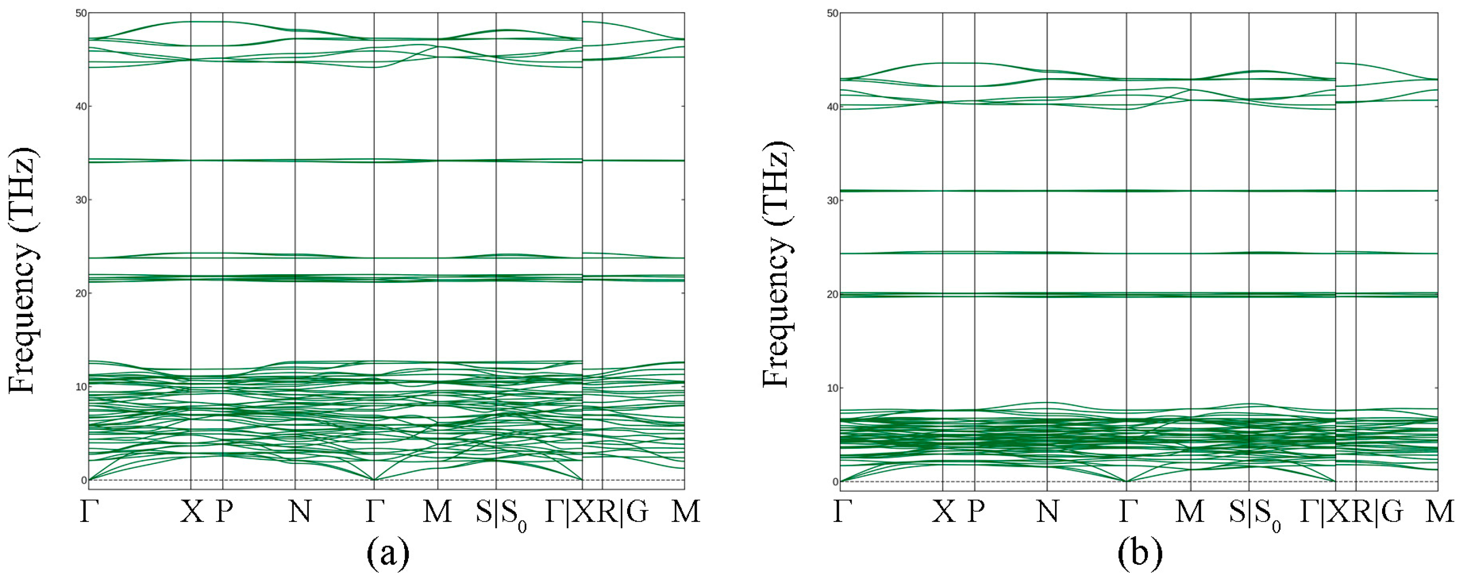
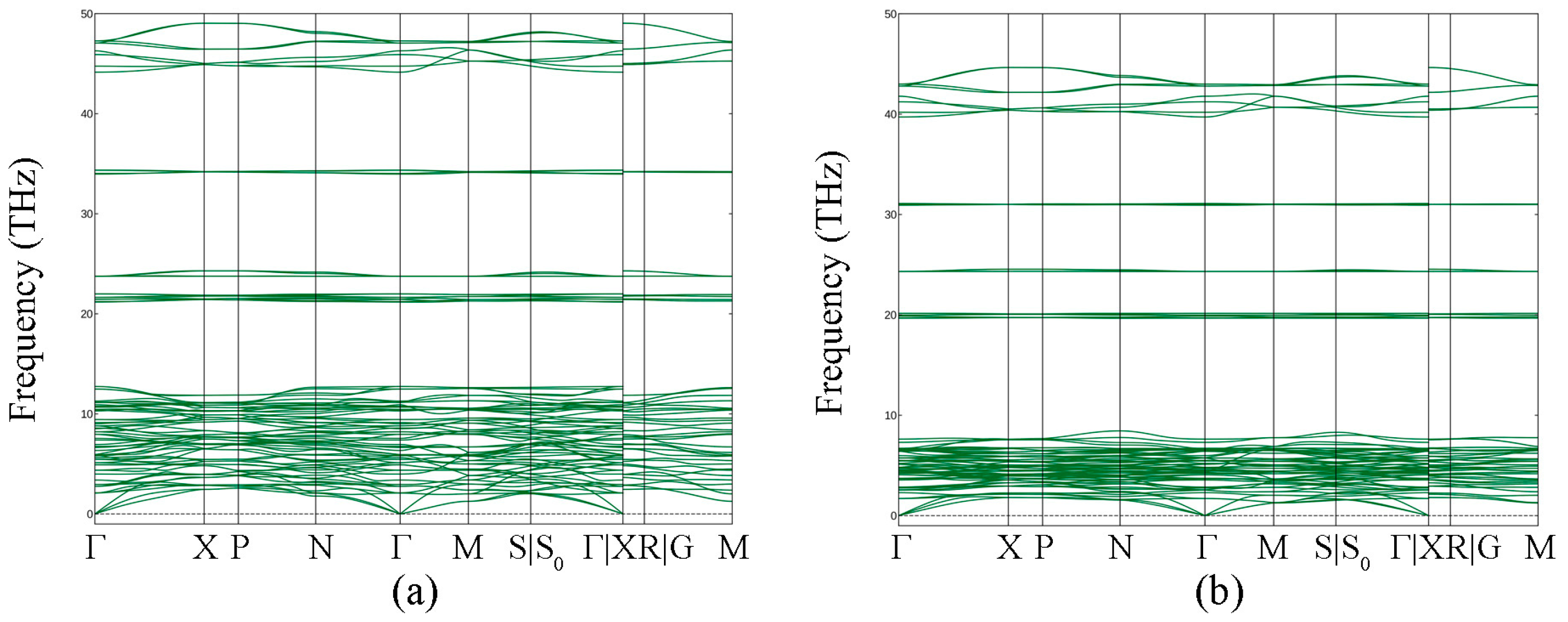
3.3. Electronic Properties of Na5(CO3)2I
4. Conclusions
Author Contributions
Funding
Data Availability Statement
Acknowledgments
Conflicts of Interest
References
- Lobanov, S.S.; Dong, X.; Martirosyan, N.S.; Samtsevich, A.I.; Stevanovic, V.; Gavryushkin, P.N.; Litasov, K.D.; Greenberg, E.; Prakapenka, V.B.; Oganov, A.R.; et al. Raman spectroscopy and x-ray diffraction of sp3 CaCO3 at lower mantle pressures. Phys. Rev. B 2017, 96, 104101. [Google Scholar] [CrossRef]
- Spahr, D.; Binck, J.; Bayarjargal, L.; Luchitskaia, R.; Morgenroth, W.; Comboni, D.; Milman, V.; Winkler, B. Tetrahedrally Coordinated sp3-Hybridized Carbon in Sr2CO4 Orthocarbonate at Ambient Conditions. Inorg. Chem. 2021, 60, 5419–5422. [Google Scholar] [CrossRef] [PubMed]
- Spahr, D.; Konig, J.; Bayarjargal, L.; Milman, V.; Perlov, A.; Liermann, H.P.; Winkler, B. Sr[C2O5] is an Inorganic Pyrocarbonate Salt with [C2O5]2− Complex Anions. J. Am. Chem. Soc. 2022, 144, 2899–2904. [Google Scholar] [CrossRef] [PubMed]
- Spahr, D.; Konig, J.; Bayarjargal, L.; Luchitskaia, R.; Milman, V.; Perlov, A.; Liermann, H.P.; Winkler, B. Synthesis and Structure of Pb[C2O5]: An Inorganic Pyrocarbonate Salt. Inorg. Chem. 2022, 61, 9855–9859. [Google Scholar] [CrossRef] [PubMed]
- Yin, Y.; Aslandukova, A.; Jena, N.; Trybel, F.; Abrikosov, I.A.; Winkler, B.; Khandarkhaeva, S.; Fedotenko, T.; Bykova, E.; Laniel, D.; et al. Unraveling the Bonding Complexity of Polyhalogen Anions: High-Pressure Synthesis of Unpredicted Sodium Chlorides Na2Cl3 and Na4Cl5 and Bromide Na4Br5. JACS Au 2023, 3, 1634–1641. [Google Scholar] [CrossRef] [PubMed]
- Zhang, W.; Oganov, A.R.; Goncharov, A.F.; Zhu, Q.; Boulfelfel, S.E.; Lyakhov, A.O.; Stavrou, E.; Somayazulu, M.; Prakapenka, V.B.; Konopkova, Z. Unexpected stable stoichiometries of sodium chlorides. Science 2013, 342, 1502–1505. [Google Scholar] [CrossRef] [PubMed]
- Zhang, L.; Wang, Y.; Lv, J.; Ma, Y. Materials discovery at high pressures. Nat. Rev. Mater. 2017, 2, 17005. [Google Scholar] [CrossRef]
- Miao, M.S.; Sun, Y.H.; Zurek, E.; Lin, H.Q. Chemistry under high pressure. Nat. Rev. Chem. 2020, 4, 508–527. [Google Scholar] [CrossRef]
- ICSD Database. Available online: https://icsd.products.fiz-karlsruhe.de.
- Aslandukov, A.; Aslandukov, M.; Dubrovinskaia, N.; Dubrovinsky, L. Domain Auto Finder (DAFi) program: The analysis of single-crystal X-ray diffraction data from polycrystalline samples. J. Appl. Crystallogr. 2022, 55, 1383–1391. [Google Scholar] [CrossRef]
- Kantor, I.; Prakapenka, V.; Kantor, A.; Dera, P.; Kurnosov, A.; Sinogeikin, S.; Dubrovinskaia, N.; Dubrovinsky, L. BX90: A new diamond anvil cell design for X-ray diffraction and optical measurements. Rev. Sci. Instrum. 2012, 83, 125102. [Google Scholar] [CrossRef]
- Akahama, Y.; Kawamura, H. Pressure calibration of diamond anvil Raman gauge to 310 GPa. J. Appl. Phys. 2006, 100, 043516. [Google Scholar] [CrossRef]
- Fedotenko, T.; Dubrovinsky, L.; Aprilis, G.; Koemets, E.; Snigirev, A.; Snigireva, I.; Barannikov, A.; Ershov, P.; Cova, F.; Hanfland, M. Laser heating setup for diamond anvil cells for in situ synchrotron and in house high and ultra-high pressure studies. Rev. Sci. Instrum. 2019, 90, 104501. [Google Scholar] [CrossRef]
- Rigaku OD and CryAlis PRO; Rigaku Oxford Diffraction Ltd.: Abingdon, UK, 2018.
- Dolomanov, O.V.; Bourhis, L.J.; Gildea, R.J.; Howard, J.A.K.; Puschmann, H. OLEX2: A complete structure solution, refinement and analysis program. J. Appl. Crystallogr. 2009, 42, 339–341. [Google Scholar] [CrossRef]
- Hrubiak, R.; Smith, J.S.; Shen, G. Multimode scanning X-ray diffraction microscopy for diamond anvil cell experiments. Rev. Sci. Instrum. 2019, 90, 025109. [Google Scholar] [CrossRef] [PubMed]
- Kresse, G.; Furthmuller, J. Efficiency of ab-initio total energy calculations for metals and semiconductors using a plane-wave basis set. Comput. Mater. Sci. 1996, 6, 15–50. [Google Scholar] [CrossRef]
- Blochl, P.E. Projector augmented-wave method. Phys. Rev. B 1994, 50, 17953–17979. [Google Scholar] [CrossRef] [PubMed]
- Kresse, G.; Joubert, D. From ultrasoft pseudopotentials to the projector augmented-wave method. Phys. Rev. B 1999, 59, 1758–1775. [Google Scholar] [CrossRef]
- Perdew, J.P.; Burke, K.; Ernzerhof, M. Generalized Gradient Approximation Made Simple. Phys. Rev. Lett. 1996, 77, 3865–3868. [Google Scholar] [CrossRef] [PubMed]
- Momma, K.; Izumi, F. VESTA: A three-dimensional visualization system for electronic and structural analysis. J. Appl. Crystallogr. 2008, 41, 653–658. [Google Scholar] [CrossRef]
- Togo, A.; Oba, F.; Tanaka, I. First-principles calculations of the ferroelastic transition between rutile-type and CaCl2-type SiO2 at high pressures. Phys. Rev. B 2008, 78, 134106. [Google Scholar] [CrossRef]
- Léger, J.M.; Haines, J.; Danneels, C.; Oliveira, L.S.d. The TlI-type structure of the high-pressure phase of NaBr and NaI; pressure-volume behaviour to 40 GPa. J. Phys. Condens. Matter 1998, 10, 4201–4210. [Google Scholar] [CrossRef]
- Dusek, M.; Chapuis, G.; Meyer, M.; Petricek, V. Sodium carbonate revisited. Acta Crystallogr. B 2003, 59, 337–352. [Google Scholar] [CrossRef] [PubMed]
- Gavryushkin, P.N.; Behtenova, A.; Popov, Z.I.; Bakakin, V.V.; Likhacheva, A.Y.; Litasov, K.D.; Gavryushkin, A. Toward Analysis of Structural Changes Common for Alkaline Carbonates and Binary Compounds: Prediction of High-Pressure Structures of Li2CO3, Na2CO3, and K2CO3. Cryst. Growth Des. 2016, 16, 5612–5617. [Google Scholar] [CrossRef]
- Sun, W.; Dacek, S.T.; Ong, S.P.; Hautier, G.; Jain, A.; Richards, W.D.; Gamst, A.C.; Persson, K.A.; Ceder, G. The thermodynamic scale of inorganic crystalline metastability. Sci. Adv. 2016, 2, e1600225. [Google Scholar] [CrossRef] [PubMed]
- Duan, Y. A first-principles density functional theory study of the electronic structural and thermodynamic properties of M2ZrO3 and M2CO3 (M = Na, K) and their capabilities for CO2 capture. J. Renew. Sustain. Energy 2012, 4, 013109. [Google Scholar] [CrossRef]
- Cai, W.; Chen, J.; Pan, S.; Yang, Z. Enhancement of band gap and birefringence induced via π-conjugated chromophore with “tail effect”. Inorg. Chem. Front. 2022, 9, 1224–1232. [Google Scholar] [CrossRef]
- Kesek, M.; Kurt, K. First-principles calculations to investigate structural, electronic and phonon properties of sodium bromide (NaBr) and sodium iodide (NaI) crystals. Comput. Condens. Matter. 2022, 31, e00682. [Google Scholar] [CrossRef]




Disclaimer/Publisher’s Note: The statements, opinions and data contained in all publications are solely those of the individual author(s) and contributor(s) and not of MDPI and/or the editor(s). MDPI and/or the editor(s) disclaim responsibility for any injury to people or property resulting from any ideas, methods, instructions or products referred to in the content. |
© 2024 by the authors. Licensee MDPI, Basel, Switzerland. This article is an open access article distributed under the terms and conditions of the Creative Commons Attribution (CC BY) license (https://creativecommons.org/licenses/by/4.0/).
Share and Cite
Yin, Y.; Dubrovinsky, L.; Aslandukov, A.; Aslandukova, A.; Akbar, F.I.; Zhou, W.; Hanfland, M.; Abrikosov, I.A.; Dubrovinskaia, N. High-Pressure Synthesis of the Iodide Carbonate Na5(CO3)2I. Solids 2024, 5, 333-340. https://doi.org/10.3390/solids5020022
Yin Y, Dubrovinsky L, Aslandukov A, Aslandukova A, Akbar FI, Zhou W, Hanfland M, Abrikosov IA, Dubrovinskaia N. High-Pressure Synthesis of the Iodide Carbonate Na5(CO3)2I. Solids. 2024; 5(2):333-340. https://doi.org/10.3390/solids5020022
Chicago/Turabian StyleYin, Yuqing, Leonid Dubrovinsky, Andrey Aslandukov, Alena Aslandukova, Fariia Iasmin Akbar, Wenju Zhou, Michael Hanfland, Igor A. Abrikosov, and Natalia Dubrovinskaia. 2024. "High-Pressure Synthesis of the Iodide Carbonate Na5(CO3)2I" Solids 5, no. 2: 333-340. https://doi.org/10.3390/solids5020022
APA StyleYin, Y., Dubrovinsky, L., Aslandukov, A., Aslandukova, A., Akbar, F. I., Zhou, W., Hanfland, M., Abrikosov, I. A., & Dubrovinskaia, N. (2024). High-Pressure Synthesis of the Iodide Carbonate Na5(CO3)2I. Solids, 5(2), 333-340. https://doi.org/10.3390/solids5020022

