You are currently viewing a new version of our website. To view the old version click .
Solids
  • Article
  • Open Access

3 May 2024

Enhanced Thermoelectric Performance of Na0.55CoO2 Ceramics Doped by Transition and Heavy Metal Oxides

,
,
,
,
and
1
Department of Physical, Colloid and Analytical Chemistry, Organic Substances Technology Faculty, Belarusian State Technological University, Sverdlova St. 13a, 220006 Minsk, Belarus
2
Thermophysical Measurement Lab, A.V. Luikov Heat and Mass Transfer Institute of the National Academy of Sciences of Belarus, Brovki St. 15, 220072 Minsk, Belarus
3
Department of Glass and Ceramics Technology, Chemical Technology and Engineering Faculty, Belarusian State Technological University, Sverdlova St. 13a, 220006 Minsk, Belarus
4
Physical and Chemical Investigations Methods Center, Belarusian State Technological University, Sverdlova St. 13a, 220006 Minsk, Belarus

Abstract

Using the solid-state reactions method Na0.55(Co,M)O2 (M = Cr, Ni, Zn, W, and Bi) ceramics were prepared and their crystal structure, microstructure, electrophysical, thermophysical, and thermoelectric properties were studied. Doping of Na0.55CoO2 by transition or heavy metal oxides led to the increase in the grain size of ceramics, a decrease in electrical resistivity and thermal diffusivity values, and a sharp increase in the Seebeck coefficient, which resulted in essential enhancement of their thermoelectric properties. The largest power factor (1.04 mW/(m·K2) at 1073 K) and figure of merit (0.702 at 1073 K) among the studied samples possessed the Na0.55Co0.9Bi0.1O2 compound, which also demonstrated the highest values of the Seebeck coefficient (666 μV/K at 1073 K). The obtained results show that the doping of layered sodium cobaltite by different metal oxides allows for improving its stability, microstructure, and functional properties, which proves the effectiveness of the doping strategy for developing new thermoelectric oxides with enhanced thermoelectric performance.

1. Introduction

Waste heat, evolving into the environment by industrial enterprises, cars, and households, can be directly and effectively converted into electrical energy using thermoelectrogenerators (TEGs). The concept of TEGs can be realized with the use of thermoelectric materials, which should possess at the same time both low thermal conductivity (λ) and electrical resistivity (ρ) and high values of the Seebeck coefficient (S) [1,2,3,4,5]. Due to the strong interconnection of the above mentioned properties, the number of thermoelectric materials is strongly restricted. Nevertheless, since the 1960s, a number of effective thermoelectrics have been developed, which are successfully used in the production of thermoelectric devices of different purposes (TEGs, thermoelectric refrigerators (coolers), thermocouples, etc.) [6,7,8]. Traditional thermoelectrics on the base of layered chalcogenides of bismuth and tellurium possess several drawbacks since they contain toxic, rare, and expensive components, are unstable in the air at high temperatures due to oxidation by atmospheric oxygen, etc. Nevertheless, such drawbacks are absent for oxide thermoelectrics [9,10,11,12,13]. One of the well-known representatives of thermoelectrics is layered sodium cobaltite first characterized by Terasaki et al. [14]. Having unique electrotransport properties, layered sodium cobaltite is tested as a possible material for p-branches of TEGs [6,7,15], cathode material for sodium-ion batteries (SIBs), etc. [16,17,18,19]. Its crystal hydrate, NaxCoO2·yH2O, below 4 K undergoes a transition into a superconducting state [20]. The physicochemical and functional properties of NaxCoO2 strongly depend on the sodium content (xNa) [21,22], which also determines the phase structure.
Sodium cobaltite, α-NaxCoO2 (0.9 ≤ x ≤ 1.0) possesses an O3 structure, α’-NaxCoO2 has an O’3 structure (monoclinically distorted O3 phase), β-NaxCoO2 (0.55 ≤ x ≤ 0.6) has a P3 structure, and γ-NaxCoO2 (0.55 ≤ x/y ≤ 0.74) has a P2-structure [23]. The letter characterizes the oxygen setting of sodium (octahedral (O) or prismatic (P)), and the number (two or three) shows the quantity of CoO2 layers in the c period of the NaxCoO2 crystal lattice.
Different approaches are used to improve the thermoelectric and other functional properties of NaxCoO2: (i) doping strategy (in sublattices of sodium [24,25] or cobalt [26,27,28,29]), (ii) modification strategy (by metals [30,31], reduced graphene oxide [32], etc.), and (iii) microstructure regulation strategy [33,34,35], etc.
In our previous works [36,37], we estimated the possibility of improving the thermoelectric performance of NaxCoO2 by its doping for different transition and non-transition metal oxides.
The aim of this study was to examine the effect of NaxCoO2 doping by some transition (Cr2O3, NiO and ZnO) and heavy metal oxide (WO3 and Bi2O3) on the crystal structure, microstructure, stability, electron transport, and thermophysical and thermoelectric properties of the obtained NaxCo0.90M0.10O2 (M = Cr, Ni, Zn, W and Bi) complex oxides.

2. Materials and Methods

Ceramic samples of Na0.60Co0.90M0.10O2 (M = Cr, Ni, Zn, W, and Bi) materials were prepared by the solid-state reactions method following the reaction scheme:
0.9Na2CO3 + 0.3/x MxOy+ 0.9 Co3O4 + (0.75 − 0.15 y/x) O2 = 3 Na0.60Co0.90M0.10O2 + 0.9 CO2
Powders of Na2CO3 (99%), Co3O4 (99%), Cr2O3 (99%), NiO (99.99%), WO3 (99.99%), and Bi2O3 (99.99%) were mixed in proportions of Na:Co:M = 0.6:0.9:0.1. The excess amount of Na2CO3 was introduced in the batch to compensate for the losses of the Na2O in the ceramics due to its high-temperature treatment and to obtain the samples of the following composition Na0.55(Co,M)O2 (M = Cr, Ni, Zn, W, and Bi) [21,38]. Weighed batches were mixed with C2H5OH (~3–5 wt.%) and then milled in a PM 100 Retsch planetary mill (material of beakers and grinding balls is ZrO2) for 90 min at 300 rpm. Obtained slurries were dried and pressed in the form of tablets with a diameter of 19 mm and height of 2–3 mm. Afterward, the as-obtained samples were calcined in air for 12 h at a temperature of 1133 K. After calcination, the samples were crushed in an agate mortar, then milled in the planetary mill and pressed in the form of bars with dimensions of 5 × 5 × 30 mm3 and tablets having a diameter of 15 mm and height of 2–3 mm, which were sintered in air for 12 h at a temperature of 1203 K [36].
According to [39,40], the oxygen sublattice of NaxCoO2 layered cobaltite contains a negligible quantity of vacancies, so the oxidation degree of cobalt in these phases is controlled only by the content of sodium (xNa) in them ( Na x + 1 Co 1 - x + 4 Co x + 3 O 2 ).The average oxidation degree of cobalt and real sodium content in the obtained ceramic materials were determined by means of iodiometric [38] and reverse potentiometric titration [41] (see Supplementary Information).
The phase identification of the samples and calculation of their lattice parameters were performed by means of X-ray diffraction analysis (XRD) using Bruker D8 XRDAdvance X-ray diffractometer CuKα radiation (λ = 1.5406Å). The values of the coherent scattering area for the Na0.55Co0.90M0.10O2 ceramics were calculated using the Debye–Sherrer equation (DS) (2) [42] and the size-strain (DSS) method (3) [43]:
DS = (0.9λ)/(β × cosΘ),
(d × β × cosΘ) = (0.9λ/DSS)(d2 × β × cosΘ) + (ε/2)2
where d is the interplanar distance, nm, β is the full width of the reflex at its half maxima, rad, Θ is the diffraction angle, ° and ε is the microstrain.
The degree of crystallographic orientation of the grains of Na0.55Co0.90M0.10O2 ceramics was estimated via the Lotgering factor [3,44]:
f = (pp0)/(1 − p0)
where p = ΣI(00l)/ΣI(hkl) (ΣI is the sum of the counts of X-ray diffraction peaks of the synthesized samples) and p0 = ΣI0(00l)/ΣI0(hkl) (ΣI0 is the sum of the counts of X-ray diffraction peaks of the randomly oriented sample). Here p0 was calculated from the peak intensities of the reference phase (JCPDC #00-030-1182)).
The apparent density of synthesized ceramics (dEXP) was determined from the mass and geometrical dimensions of the samples, and their total porosity (Πt) was calculated as
Πt = (1 − dEXP/dXRD) × 100%·
where dXRD is the X-ray density of the samplesin g/cm3.
The open porosity of the samples (Πo) was determined by weighing the samples of Na0.55Co0.9M0.1O2 ceramics saturated by ethylacetate for 45 min under a vacuum of 25–30 Pa and introduced into the liquid ethylacetate following the equation:
Πo = ((m1m)/(m1m2)) × 100%
where m is the mass of the dry ceramic sample g; m1 and m2 are the masses of the sample saturated by the liquid ethylacetate at weighing in the air and introduced into the liquid ethylacetate, respectively.
The microstructure and chemical composition of the Na0.55Co0.90M0.10O2 samples were studied using scanning electron microscopy (SEM) by a JEOL JSM–5610LV scanning electron microscope equipped with an EDX JED–2201 X-ray energy dispersive chemical analysis system.
The electrical resistivity (ρ) and the Seebeck coefficient (S) of the sintered ceramics were measured in the air within a temperature interval of 323–1073 K following the procedure described in [36].
The thermal diffusivity (η) of the layered cobaltites was studied in the helium atmosphere within the temperature interval of 323–1073 K by means of an LFA 457 MicroFlash device (NETZSCH). The thermal conductivity of Na0.55Co0.9M0.1O2 sintered ceramics was calculated by the equation
λ = η × dEXP × Cp
where Cp is heat capacity, calculated by the Dulong–Petit law. This approach can be used for the estimation of the Cp values of ceramics examined. As in [45], it was found that the heat capacity of the layered sodium cobaltite near 300 K becomes slightly dependent on temperature and reaches a plateau.
The phonon (λph) and electronic (λel) parts of the thermal conductivity of ceramics were roughly approximated by Equations (8) and (9)
λ = λel + λph
λel = (L × T)/ρ
where L is Lorentz number (L = 2.45 × 10–8 W × Ω × K–2).
The values of power factor (P) and figure of merit (ZT) of the Na0.55Co0.9M0.1O2 layered oxides were calculated as
P = S2
and
ZT = (P × T)/λ.

3. Results and Discussion

The sodium content in the as-obtained samples (xNa), determined by iodometry and reverse potentiometry, was about 0.55 for all the samples under study (Table 1). The average oxidation state of cobalt in Na0.55Co0.90M0.10O2 (M = Cr, Co, Ni, Zn, W, and Bi) layered cobaltites varied within 3.17–3.61 (Table 1), increasing in the case of the substitution of the acceptor character (Ni or Zn instead of Co) and decreasing at the substitution of the donor character (W or Bi instead of Co).
Table 1. Values of sodium content (xNa), the oxidation state of cobalt (Co+z), lattice constants (a, c, c/a, V), Lotgering factor (f), size of the coherent scattering area obtained using the Scherrer equation (Ds), and the size-strain method (DSS), microstrain (ε), and X-ray density (dXRD) of ceramic samples Na0.55Co0.90M0.10O2 (M = Cr, Ni, Zn, W, and Bi).
The obtained samples of Na0.55Co0.90M0.10O2 (M = Cr, Ni, Zn, W, and Bi), like Na0.55CoO2 base cobaltite, possessed a hexagonal structure, which corresponds to the structure of γ-NaxCoO2 phase [46,47] (Figure 1a). Additionally, the reflexes of the impurity phase, Co3O4, were identified in their powder diffractograms.
Figure 1. X-ray powder diffractograms (CuKα–radiation) (a), size-strain plots (b), and coherent scatting area (c) for Na0.55CoO2 (1) sodium cobaltite and Na0.55Co0.90M0.10O2 (M = Cr (2), Ni (3), Zn (4), W (5), and Bi (6)) solid solutions.
This phase forms due to the partial degradation of the ceramic surface by its interaction with the CO2 and H2O vapors present in an atmosphere according to the reactions (12) and (13):
Na0.55CoO2 + 0.275 CO2 = 0.275 Na2CO3 + 1/3 Co3O4 + 0.196 O2
Na0.55CoO2 + 0.275 H2O = 0.55 NaOH + 1/3Co3O4 + 0.196 O2
The reflex intensities of the Co3O4 phase for Na0.55Co0.90M0.10O2 compounds were essentially smaller than those for the base Na0.55CoO2 phase (Figure 1a), and the content of Co3O4 oxide in these materials estimated using methods described in [48], was equal to 30 mol.% for Na0.55CoO2, 16 mol.% for M = W, 15 mol.% for M = Cr, and Ni, 12 mol.% for M = Zn, and 8 mol.% for M = Bi. The obtained results indicated the increase in the chemical stability of the layered sodium cobaltite in an atmosphere of wet air at its doping by transition or heavy metal oxides due to the increase of the metal–oxygen interactions in their structure.
The values of the a lattice constant of the Na0.55Co0.90M0.10O2 solid solution slightly increased, but the c lattice constant decreased compared to the parent phase of Na0.55CoO2 (Table 1). As a result, the values of volume of the unit cell of Na0.55Co0.90M0.10O2 cobaltites at the variation of their cationic composition retained almost unchanged, but their axial ratio essentially decreased at the partial substitution of cobalt by other metals in Na0.55CoO2. Such a substitution slightly affects the size of the unit cell of layered sodium cobaltite but results in its significant deformation—contraction in the direction of the c axis (perpendicular to the conducting –[CoO2]– layers) and enlarging in the direction of the a axis (parallel to the conducting –[CoO2]– layers).
The coherent scattering area of the Na0.55Co0.90M0.10O2 materials obtained using different approaches (Figure 1b) is essentially large (up to 29–63% and 15–35% according to the results of the Sherrer and size-strain methods, respectively) (Figure 1c, Table 1) than for the base-layered sodium cobaltite phase. In turn, the microstrain values of the Na0.55Co0.90M0.10O2 ceramics were slightly (M = Cr and W) or essentially (M = Ni, Zn, and Bi) smaller in comparison to the parent Na0.55CoO2 cobaltite (Table 1).
The Lotgering factor values of the ceramics increased from 0.35 for Na0.55CoO2 (moderate orientation [44]) to 0.60–0.64 for Na0.55Co0.90M0.10O2 (M = Ni and Zn) (good orientation [44]) and 0.82–0.89 for Na0.55Co0.90M0.10O2 (M = Cr, W, and Bi) (very good orientation [44]) (Table 1). Therefore, the doping of Na0.55CoO2 by different metal oxides increased the grain crystallographic orientation degree of the ceramics (its texturing degree). The most prominent effect among samples synthesized in this work was observed for Na0.55Co0.90W0.10O2.
The apparent density values of the Na0.55Co0.90M0.10O2 ceramics varied within 3.43–3.72 g/cm3 and decreased at the partial substitution of Co by Cr, Ni, or Zn and increased at the substitution of Co by W and Bi (Table 2). The open porosity values of ceramics varied within 17–22% and were close to each other for the samples having different cationic compositions. The closed porosity of the ceramics was negligible (Table 2).
Table 2. Values of apparent density (dEXP), total (Πt) and open (Πo) porosity, electrical resistivity (ρ1073), Seebeck coefficient (S1073), power factor (P1073), and figure of merit (ZT1073) of Na0.55Co0.9M0.1O2 (M = Cr, Ni, Zn, W, and Bi) ceramics.
According to the SEM results, the grains of the Na0.55CoO2 ceramics were plate-like, with dimensions (l) of 5–10 μm and thicknesses of 2–4 μm (average dimension (lav) of about 8 μm and aspect ratio (AR) of about 2.7). The microstructure of the Na0.55Co0.90M0.10O2 materials was similar to the Na0.55CoO2 one but they differed in the size and aspect ratio (form) of the grains (Figure 2b–f). The grain size of the Na0.55Co0.90M0.10O2 (M = Cr, Ni, and Zn) ceramics was varied, within 8–15 μm with a thickness of 3–6 μm (lav (AR) was about 11 μm (2.8), 13 μm (2.6), and 9μm (1.8) for M = Cr, Ni, and Zn, respectively). Doping of layered sodium cobaltite ceramics with bismuth or tungsten oxides results in an increase of its grain size by up to 12–21 μm and a decrease of the thickness of the grains by up to 1–3 μm. For Na0.55Co0.90W0.10O2 and Na0.55Co0.90Bi0.10O2, the lav (AR) values were equal to about 13 μm (7.5) and 16 μm (8.0), respectively. As a result, the anisotropy of grains of layered sodium cobaltite ceramics increased at its doping by heavy metal oxides containing highly charged metal ions (Bi5+, W6+).
Figure 2. Electron micrographs of ceramic cleavages Na0.55Co0.90M0.10O2: M = Cr (a), Co (b), Ni (c), Zn (d), W (e), and Bi (f)).
According to the EDX results (see Supplementary Information, Table S1) the cationic composition of the cobalt sublattice of the Na0.55Co0.90M0.10O2 compounds was close to the aim one, and the distribution of elements within the volume of ceramics was close to uniform (Figure 3).
Figure 3. Element mapping images of the Na0.55Co0.90W0.10O2 ceramic sample.
As can be seen from Figure 4a, Na0.55CoO2 ceramics possess a metallic conductivity character (∂ρ/∂T > 0), which changed into a semiconducting one (∂ρ/∂T < 0) near 520 K, like the conductivity crossover in layered calcium cobaltite of Ca3Co4O9+δ [49]. The electrical resistivity values of the Ni-doped sample are close to the Na0.55CoO2 ones, but Na0.55Co0.90Ni0.10O2 demonstrates only the semiconducting conductivity character within the whole studied temperature range. The other Na0.55CoO2 substitutes, like the parent phase, demonstrated conductivity crossover, but their temperature shifts to the higher values (for example, to ~720 K for Na0.55Co0.90Cr0.10O2 or ~920 K for Na0.55Co0.90W0.10O2 (Figure 4a)). The doping of layered sodium cobaltite by different metal oxides results in a decrease its electrical resistivity values (Figure 4a,d, Table 2) due to the donor character of doping (W or Bi for Co), decreasing the grain boundaries density (increase of grains size), which serve as charge carriers scattering regions, and also due to the decreasing of high-resistive Co3O4 phase content in the samples [50] (Figure 1a). Note that the electrical resistivity values of all samples are getting closer at a high temperature. Therefore, ρ values of Na0.55Co0.90M0.10O2 (M = Ni and W) at 1073 K are slightly larger, and for Na0.55Co0.90M0.10O2 (M = Cr, Zn, and Bi), they are comparatively smaller than those of Na0.55CoO2 (Figure 4d and Table 2).
Figure 4. Temperature dependences of electrical resistivity ρ (a), Seebeck’s coefficient S (b), and power factor P (c) of ceramic samples of Na0.55CoO2 sodium cobaltite (1) and Na0.55Co0.90M0.10O2 (M = Cr (2), Ni (3), Zn (4), W (5), and Bi(6)) solid solutions. Insets show the electrical resistivity ρ1073 (d), Seebeck’s coefficient S1073 (e), and power factor P1073 (f) valuesof Na0.55Co0.90M0.10O2 solid solutions compared to the Na0.55CoO2 phase.
The positive sign of the Seebeck coefficient (Figure 4b) of all the studied samples points out that holes are the main charge carriers, and they are p-type conductors. The change in the values of the Seebeck coefficient at high temperatures is practically linear (Figure 4b). This dependence follows Equation (14), usually used for the description of the thermoelectric properties of metals and degenerated semiconductors [3,4]:
S = [(8π2kB2)/(3eh)] × m* × T × (π/3n)2/3
where kB is the Boltzmann constant, m* is the density of a state’s effective mass, h is the Planks constant, e is the charge of the electron, T is the absolute temperature, and n is the charge carrier’s concentration.
Doping of Na0.55CoO2 by different transition or heavy metal oxides results in the sharp increase of its Seebeck coefficient, which is more pronounced at high temperatures (Figure 4b,e and Table 2). This is probably caused by an increase in the configurational entropy that is provided by the presence of Co in different charge (Co2+, Co3+, and Co4+) and spin (high-, intermediate- and low-spin states) states [51]. The highest S values among the studied samples demonstrated that Na0.55Co0.90W0.10O2 and Na0.55Co0.90Bi0.10O2 complex oxides (620 and 666 μV/K at 1073 K, respectively) are 2.18 and 2.33 times larger than for the parent Na0.55CoO2 phase (Figure 4e and Table 2). These phases are prospective materials for p-legs of ceramic (oxide) thermocouples. It should be noted that similar results were obtained when studying the Seebeck coefficient of cobalt-substituted derivatives of Ca3Co4O9+δ layered cobaltite [52].
Power factor values of Na0.55CoO2 derivatives are essentially larger compared to the parent phase due to their low electrical resistivity and high Seebeck coefficient (Figure 4c,f and Table 2). They increased as the temperature increased and reached the maximum value of 0.846 and 1.038 mV/(m·K2) for Na0.55Co0.90Cr0.10O2 and Na0.55Co0.90Bi0.10O2 ceramics, respectively. That is 5.01 and 6.14 times larger than for the undoped sodium cobaltite (Table 2 and Figure 4e).
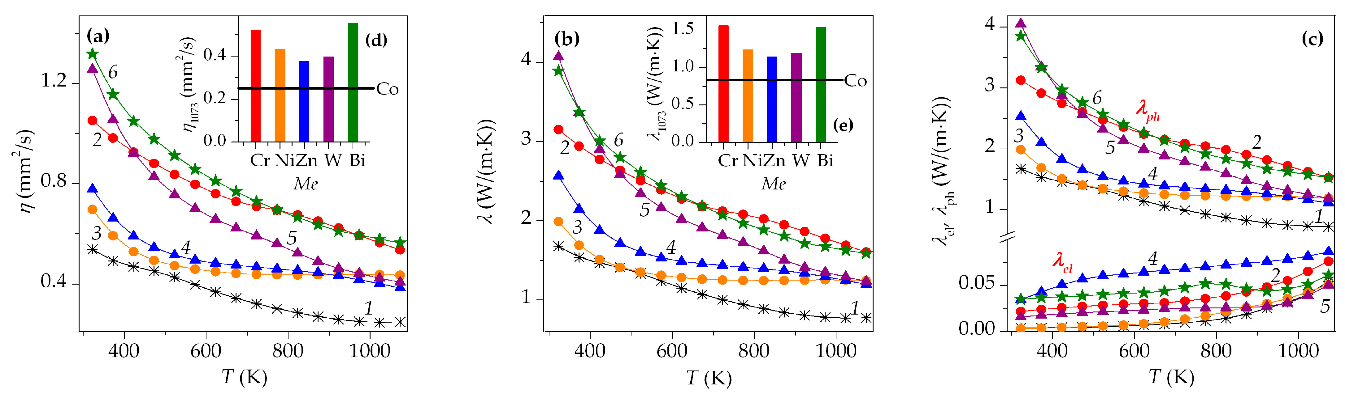
Both the thermal diffusivity and thermal conductivity values of Na0.55Co0.10M0.10O2 ceramics decreased as the temperature increased (Figure 5a,b) and increased at the doping of Na0.55CoO2 by different metal oxides (Figure 5d,e), probably mainly due to the increase of the ceramics′ grains size, resulting in a decrease of the density of the grain boundaries, serving as effective regions of phonons scattering [37]. The electronic part of the thermal conductivity of the ceramics was relatively small (λel/λ = 0.04–0.07) and increased with temperature increase. The phonon part dominated and decreased at temperature gain (Figure 5c).
Figure 5. Temperature dependences of thermal diffusivity η (a), total thermal conductivity λ (b), lattice λlat and electron λel contributions, and (c)in thermal conductivity of ceramic samples of Na0.55CoO2 sodium cobaltite (1) and Na0.55Co0.90M0.10O2 (M = Cr (2), Ni (3), Zn (4), W (5), and Bi (6)) solid solutions. Insets show the thermal diffusivity η1073 (d) and total thermal conductivity λ1073 (e) values of Na0.55Co0.90M0.10O2 solid solutions compared to the Na0.55CoO2 sodium cobaltite.
Figure of merit values of the studied ceramics sharply increased with the temperature increase and doping of layered sodium cobaltite by different transition and heavy metal oxides (Figure 6 and Table 2). The maximum thermoelectric performance was demonstrated for the Na0.55Co0.90W0.10O2 and Na0.55Co0.90Bi0.10O2 complex. Their ZT values reached 0.643 and 0.702 at 1073 K, which is 2.76 and 3.01 times larger than for the parent Na0.55CoO2 phase.
Figure 6. Temperature dependences of figure of merit ZT (a) of ceramic samples of Na0.55CoO2 sodium cobaltite (1) and Na0.55Co0.90M0.10O2 (M = Cr(2), Ni(3), Zn(4), W(5), and Bi(6)) solid solutions. Insets show the figure of merit ZT1073 (b) values of Na0.55Co0.90M0.10O2 solid solutions compared to the unsubstituted Na0.55CoO2 phase.
Thus, the obtained results show the effectiveness of the doping strategy used in this work to enhance the thermoelectric characteristics of layered sodium cobaltite and give the possibility of recommending Na0.55Co0.90M0.10O2 (M = W, Bi) ceramics as the prospective material for p-branches of high-temperature thermoelectric devices used for the effective and direct conversion of heat into electrical energy.

4. Conclusions

Summarizing the results of the present contribution, partial substitution of Co by different transitions (Cr, Ni, and Zn) or heavy metals (W and Bi) in Na0.55CoO2 (up to 10 mol.%) retains the crystal structure of this phase unchanged and slightly affects its lattice constants, but increases the chemical stability, coherent scattering area, grain size, and grain orientation degree of Na0.55Co0.90M0.10O2 solid solutions compared to the unsubstituted Na0.55CoO2 phase. Such a substitution leads to the decrease of the values of electrical resistivity of Na0.55Co0.90M0.10O2 ceramics, and an increase in their thermal diffusivity, thermal conductivity, and the Seebeck coefficient values. The maximum S values possess Na0.55Co0.90W0.10O2 and Na0.55Co0.90Bi0.10O2 materials (620 and 666 μV/K at 1073 K, respectively), which are 2.18 and 2.33 times larger, than for the base Na0.55CoO2 phase. As a result, the power factor and figure of merit values of Na0.55Co0.90M0.10O2 solid solutions are essentially higher than those for Na0.55CoO2 sodium cobaltite, and the maximum thermoelectric performance demonstrates Na0.55Co0.90W0.10O2 and Na0.55Co0.90Bi0.10O2 compounds, where ZT values at 1073 K reach 0.643 and 0.702, which is 2.76 and 3.01 times larger than those for the Na0.55CoO2 phase. The obtained results demonstrate the effectiveness of the doping strategy for the enhancement of the thermoelectric performance of layered sodium cobaltite derivatives. Materials possessing the best thermoelectric characteristic among the studied samples (Na0.55Co0.90W0.10O2 and Na0.55Co0.90Bi0.10O2) can be used as p-branches of high-temperature thermoelectric modules and generators, as well as p-legs of ceramic (oxide) thermocouples.

Supplementary Materials

The following supporting information can be downloaded at https://www.mdpi.com/article/10.3390/solids5020017/s1: Table S1: Chemical composition of ceramic samples of layered cobaltite of Na0.55CoO2 and Na0.55Co0.90M0.10O2 (M = Cr, Ni, Zn, and W) solid solutions.

Author Contributions

Conceptualization, A.I.K.; methodology, A.I.K., E.A.C. and N.S.K.; software, N.S.K.; validation, A.I.K. and E.A.C.; formal analysis, N.S.K. and E.A.C.; investigation, N.S.K., L.E.E., N.N.G. and A.V.P.; resources, A.I.K.; data curation, A.I.K.; writing—original draft preparation, N.S.K. and A.I.K.; writing—review and editing, A.I.K.; visualization, N.S.K.; supervision, A.I.K.; project administration, A.I.K.; funding acquisition, A.I.K. and N.S.K. All authors have read and agreed to the published version of the manuscript.

Funding

This work was supported by the Ministry of Education of the Republic of Belarus under project number 20111575 and by the Belarusian Republican Foundation for Fundamental Research, under project number 20122443.

Data Availability Statement

All data generated or analyzed during this study are included in this published article.

Acknowledgments

The authors would like to thank Dzmitry S. Kharytonau for fruitful discussions of research results and Dzmitry S. Darashchuk for technical support.

Conflicts of Interest

The authors declare no conflicts of interest.

References

  1. Prado-Gonjal, J.; López, C.A.; Pinacca, R.M.; Serrano-Sánchez, F.; Nemes, N.M.; Dura, O.J.; Martinez, J.L.; Fernández-Díaz, M.T.; Alonso, J.A. Correlatoin between crystal structure and thermoelectric properties of Sr1–xTi0.9Nb0.1O3–δ ceramics. Crystals 2020, 10, 100. [Google Scholar] [CrossRef]
  2. Flitcroft, J.M.; Pallikara, I.; Skelton, J. Thermoelectric Properties of Pnma and Rocksalt SnS and SnSe. Solids 2022, 3, 155–176. [Google Scholar] [CrossRef]
  3. Yu, J.; Chen, K.; Azough, F.; Alvarez-Ruiz, D.T.; Reece, M.I.; Freer, R. Enhancing the thermoelectric performance of calcium cobaltite ceramics by tuning composition and processing. ACS Appl. Mater. Interfaces 2020, 12, 47634–47646. [Google Scholar] [CrossRef] [PubMed]
  4. Zhang, W.; Zhu, K.; Liu, J.; Wang, J.; Yan, K.; Liu, P.; Wang, Y. Influence of the phase transformation in NaxCoO2 ceramics on thermoelectric properties. Ceram. Int. 2018, 44, 17251–17257. [Google Scholar] [CrossRef]
  5. Li, Z.; Xiao, C.; Xie, Y. Layered thermoelectric materials: Structure, bonding, and performance mechanisms. Appl. Phys. Rev. 2020, 9, 011303. [Google Scholar] [CrossRef]
  6. Chen, W.-H.; Lin, Y.-K.; Luo, D.; Jin, L.; Hoang, A.T.; Saw, L.H.; Nižetič, S. Effects of material doping on the performance of thermoelectric generator with/without equal segments. Appl. Energy 2023, 350, 121709. [Google Scholar] [CrossRef]
  7. Koumoto, K.; Terasaki, I.; Funahashi, R. Complex oxide materials for potential thermoelectric applications. MRS Bull. 2006, 31, 206–210. [Google Scholar] [CrossRef]
  8. Han, Y.; Ruan, Y.; Xue, M.; Wu, Y.; Shi, M.; Song, Z.; Zhou, Y.; Teng, J. Effect of annealing time on the cyclic characteristics of ceramic oxide thin film thermocouples. Micromachines 2022, 13, 1970. [Google Scholar] [CrossRef]
  9. Ozkurt, B.; Madre, M.A.; Sotelo, A.; Portero, M.A.T. Enhanced thermoelectric properties in Bi2Sr2–xBaxCo2Oy by Ba doping. Phys. B Condens. Matter 2022, 643, 414138. [Google Scholar] [CrossRef]
  10. Klyndyuk, A.; Chizhova, E.; Latypov, R.; Shevchenko, S.; Kononovich, V.M. Effect of the addition of copper particles on the thermoelectric properties of the Ca3Co4O9+δ ceramics produced by two-step sintering. Russ. J. Inorg. Chem. 2022, 67, 237–244. [Google Scholar] [CrossRef]
  11. Xiao, X.; Arif, S.; Ding, J.; Widenmeyer, M.; Constantinescu, G.; Kovalevsky, A.; Zhang, H.; Xie, W.; Weidenkaff, A. Molten salt synthesized La-substituted CaTiO3 thermoelectric ceramics. Open Ceram. 2023, 17, 100522. [Google Scholar] [CrossRef]
  12. Rubesova, K.; Jakes, V.; Jankovský, O.; Lojka, M.; Sedmidubský, D. Bismuth calcium cobaltite thermoelectrics: A study of precursor reactivity and its influence on the phase formation. J. Phys. Chem. Solids 2022, 164, 110631. [Google Scholar] [CrossRef]
  13. Sotelo, A.; Rasekh, S.; Torres, M.A.; Bosque, P.; Madre, M.A.; Diez, J.C. Effect of synthesis methods on the Ca3Co4O9 thermoelectric ceramic performances. J. Solid State Chem. 2015, 221, 247–254. [Google Scholar] [CrossRef]
  14. Terasaki, I.; Sasago, Y.; Uchinokura, K. Large thermoelectric power in NaCo2O4 single crystals. Phys. Rev. B 1997, 56, R12685–R12687. [Google Scholar] [CrossRef]
  15. Bresch, S.; Stargardt, P.; Moos, R.; Mieller, B. Co-fired multilayer thermoelectric generators based on textured calcium cobaltite. Adv. Electron. Mater. 2023, 10, 2300366. [Google Scholar] [CrossRef]
  16. Molenda, J.; Baster, D.; Milewska, A.; Świerczek, K.; Bora, D.K.; Braun, A.; Tobola, J. Electronic origin of difference in discharge curve between LixCoO2 and NaxCoO2 cathodes. Solid State Ion. 2014, 271, 15–27. [Google Scholar] [CrossRef]
  17. Pohle, B.; Gorbunov, M.; Lu, Q.; Bahrami, A.; Nielsch, K.; Mikhailova, D. Structural and electrochemical properties of layered P2-Na0.8Co0.8Ti0.2O2 cathode in sodium-ion batteries. Energies 2022, 15, 3371. [Google Scholar] [CrossRef]
  18. Nguyen, L.M.; Nguyen, V.H.; Nguyen, D.M.N.; Le, M.K.; Tran, V.M.; Le, M.L.P. Evaluating electrochemical properties of layered NaxMn0.5Co0.5O2 obtained at different calcined temperatures. Chemengineering 2023, 7, 33. [Google Scholar] [CrossRef]
  19. Baster, D.; Zając, W.; Kondracki, Ł.; Hartman, F.; Molenda, J. Improvement of electrochemical performance of Na0.7Co1–yMnyO2–cathode material for rechargeable sodium-ion batteries. Solid State Ion. 2016, 288, 213–218. [Google Scholar] [CrossRef]
  20. Banobre-López, M.; Rivadulla, F.; Caudillo, R.; López-Quintela, M.A.; Rivas, J.; Goodenough, J.B. Role of doping and Dimensionality in the Superconductivity of NaxCoO2. Chem. Mater. 2005, 17, 1965–1968. [Google Scholar] [CrossRef]
  21. Krasutskaya, N.S.; Klyndyuk, A.I.; Evseeva, L.E.; Tanaeva, S.A. Synthesis and properties of NaxCoO2 (x =0.55, 0.89) oxide thermoelectrics. Inorg. Mater. 2016, 52, 393–399. [Google Scholar] [CrossRef]
  22. Akram, R.; Khan, J.; Rafique, S.; Hussain, M.; Maqsood, A.; Naz, A.A. Enhanced thermoelectric properties of single phase Na doped NaxCoO2 thermoelectric material. Mater. Lett. 2021, 300, 130180. [Google Scholar] [CrossRef]
  23. Rowe, D.M. Thermoelectric Handbook. Macro to Nano; CRC Press Taylor and Francis Group: BocaRaton, FL, USA, 2006; 481p. [Google Scholar]
  24. Kurniawan, I.; Prijamboedi, B. Enthalpy of formation of NaxCoO2 and (Na,Mg)xCoO2 systems: A first principle calculation study. J. Phys. Conf. Ser. 2019, 1204, 012028. [Google Scholar] [CrossRef]
  25. Yang, X.; Wang, X.; Liu, J.; Hu, Z. Power factor enhancement in NaxCoO2 doped by Bi. J. Alloys Compd. 2014, 582, 59–63. [Google Scholar] [CrossRef]
  26. Park, K.; Choi, J.W.; Lee, G.W.; Kim, S.-J.; Lim, Y.-S.; Choi, S.-M.; Seo, W.-S.; Lim, S.M. Thermoelectric properties of solution-combustion-processed Na(Co1–xNix)2O4. Met. Mater. Int. 2012, 18, 1061–1065. [Google Scholar] [CrossRef]
  27. Pršić, S.; Savić, S.M.; Branković, Z.; Vrtnik, S.; Dapčevic, A.; Branković, Z. Mechanochemically assisted solid-state and citric acid complex syntheses of Cu-doped sodium cobaltite ceramics. J. Alloys Compd. 2015, 640, 480–487. [Google Scholar] [CrossRef]
  28. Zhou, R.; Li, J.; Wei, W.; Li, X.; Luo, M. Atomic substituents effect on boosting desalination performances of Zn-doped NaxCoO2. Desalination 2020, 496, 114695. [Google Scholar] [CrossRef]
  29. Nojiri, Y.; Ohtaki, M. Site-selective substitution by transition metal cations for NaCo2O4 viaion-exchange. J. Ceram. Soc. Jpn. 2005, 113, 400–404. [Google Scholar] [CrossRef][Green Version]
  30. Ito, M.; Furumoto, D. Microstructure and thermoelectric properties of NaxCo2O4/Ag composite synthesized by the polymerized complex method. J. Alloys Compd. 2008, 450, 517–520. [Google Scholar] [CrossRef]
  31. Seetawan, T.; Amornkitbamrung, V.; Burinprakhon, T.; Maensiri, S.; Kurosaki, K.; Muta, H.; Uno, M.; Yamanaka, S. Thermoelectric power and electrical resistivity of Ag-doped Na1.5Co2O4. J. Alloys Compd. 2006, 407, 314–317. [Google Scholar] [CrossRef]
  32. Nakhowong, R. Effect of reduced grapheme oxide on the enhancement of thermoelectric power factor of γ-NaxCo2O4. Mater. Sci. Eng. B 2020, 261, 114679. [Google Scholar] [CrossRef]
  33. Tsuruta, A.; Tanaka, M.; Mikami, M.; Kinemuchi, Y.; Masuda, Y.; Shin, W.; Terasaki, I. Development of Na0.5CoO2 thick film prepared by screen-printing process. Materials 2020, 13, 2805. [Google Scholar] [CrossRef] [PubMed]
  34. Matsubara, I.; Zhou, Y.; Takeuchi, T.; Funahashi, R.; Shikano, M.; Murayama, N.; Shin, W.; Izu, N. Thermoelectric properties of spark-plasma-sintered Na1+xCo2O4 ceramics. J. Ceram. Soc. Jpn. 2003, 111, 238–241. [Google Scholar] [CrossRef]
  35. Chen, C.; Zhang, T.; Donelson, R.; Chu, D.; Tan, T.T.; Li, S. Thermoelectric properties of Na0.8Co1–xFexO2 ceramic prepared by spark plasma sintering. Ceram. Mater. Energy Appl. 2015, 35, 35–41. [Google Scholar] [CrossRef]
  36. Klyndyuk, A.I.; Krasutskaya, N.S.; Chizhova, E.A.; Evseeva, L.E.; Tanaeva, S.A. Synthesis and properties of Na0.55Co0.9M0.1O2 (M = Sc, Ti, Cr–Zn, Mo, W, Pb, Bi) solid solutions. Glass Phys. Chem. 2016, 42, 100–107. [Google Scholar] [CrossRef]
  37. Krasutskaya, N.; Klyndyuk, A. Effect of cobalt substitution on the microstructure and properties of Na0.9CoO2. J. Thermoelectr. 2012, 4, 39–44. [Google Scholar]
  38. Klyndyuk, A.I.; Krasutskaya, N.S.; Dyatlova, E.M. Influence of sintering temperature on the properties of NaxCoO2 ceramics. Proc. BSTU. 2010, XVIII, 99–102. (In Russian) [Google Scholar]
  39. Viciu, L.; Huang, Q.; Cava, R.J. Stoichiometric oxygen content in NaxCoO2. Phys. Rev. B 2006, 73, 212107. [Google Scholar] [CrossRef]
  40. Joo, W.; Yoo, H.-I. Point defect structure of γ-NaxCoO2. Solid State Ion. 2018, 314, 74–80. [Google Scholar] [CrossRef]
  41. Paytnitsky, I.V. Analitical Chemistry of Cobalt; Science: Moscow, Russia, 1965; 292p. (In Russian) [Google Scholar]
  42. Seema; Kumar, N.; Chand, S. Structural, morphological, optical and dielectric properties of Ti1–xFexO2 nanoparticles synthesized using sol-gel method. J. Sol-Gel Sci. Technol. 2022, 105, 163–175. [Google Scholar] [CrossRef]
  43. Jalil, M.T.; Harbbi, K.H. Using the size strain plot method to specity lattice parameters. Haitham J. Pure Appl. Sci. 2023, 36, 123–129. [Google Scholar] [CrossRef]
  44. Lotgering, F.K. Topotactical Reactions with Ferrimagnetic Oxides Having Hexagonal Crystal structures I. J. Inorg. Nucl. Chem. 1959, 9, 113–123. [Google Scholar] [CrossRef]
  45. Zorkovská, A.; Feher, A.; Sébek, J.; Šantavá, E.; Bradaric, I. Non-Fermi-liquid behavior in the layered NaxCoO2. Low Temp. Phys. 2007, 33, 944–947. [Google Scholar] [CrossRef]
  46. Delmas, C.; Braconnier, J.-J.; Fouassier, C.; Hagenmuller, P. Electrochemical intercalation of sodium in NaxCoO2 bronzes. Solid State Ion. 1981, 3–4, 165–169. [Google Scholar] [CrossRef]
  47. Zhou, R.; Guo, X.; Li, X.; Kang, Y.; Luo, M. An insight into the promotion effect of Na+/vacancy ordering on desalination performance of NaxCoO2. Desalination 2020, 478, 114301. [Google Scholar] [CrossRef]
  48. Tahashi, M.; Ogawa, K.; Takahashi, M.; Goto, H. Effect of compositional ratio of cobalt to calcium on crystal phase and thermoelectric properties of oxide thermoelectric material composed of sintered Ca3Co4O9/Ca3Co2O6 mixture. J. Ceram. Soc. Jpn. 2013, 121, 444–447. [Google Scholar] [CrossRef]
  49. Lin, Y.-H.; Lan, J.; Shen, Z.; Liu Yu Nan, C.-W.; Li, J.-F. High-temperature electrical transport behaviors in textured Ca3Co4O9-based polycrystalline ceramics. Appl. Phys. Lett. 2009, 94, 072107. [Google Scholar] [CrossRef]
  50. Klyndyuk, A.I.; Krasutskaya, N.S.; Chizhova, E.A. Synthesis and thermoelectric properties of ceramics based on Bi2Ca2Co1.7Oy oxide. Glass Phys. Chem. 2018, 44, 100–107. [Google Scholar] [CrossRef]
  51. Koshibae, W.; Tsutsui, K.; Maekawa, S. Thermopower in cobalt oxides. Phys. Rev. B 2000, 62, 6869–6872. [Google Scholar] [CrossRef]
  52. Klyndyuk, A.I.; Matsukevich, I.V. Synthesis, structure, and properties of Ca3Co3.85M0.15O9+δ (M = Ti–Zn, Mo, W, Pb, Bi) layered thermoelectrics. Inorg. Mater. 2015, 51, 944–950. [Google Scholar] [CrossRef]
Disclaimer/Publisher’s Note: The statements, opinions and data contained in all publications are solely those of the individual author(s) and contributor(s) and not of MDPI and/or the editor(s). MDPI and/or the editor(s) disclaim responsibility for any injury to people or property resulting from any ideas, methods, instructions or products referred to in the content.

Article Metrics

Citations

Article Access Statistics

Multiple requests from the same IP address are counted as one view.